A Novel Optimization Method for Conventional Primary and Secondary School Classrooms in Southern China Considering Energy Demand, Thermal Comfort and Daylighting
Abstract
:1. Introduction
1.1. Background
1.2. Literature Review
1.2.1. Parametric Design and Architectural Design Optimization
1.2.2. Optimization of Educational Architecture Design
1.2.3. Application of the Meta-Model in Architectural Design Optimization
1.3. Research Gaps and Main Contributions
2. Methodology
2.1. Physical Modeling
2.1.1. Optimization Objectives
Energy Performance Indicators
Thermal Comfort Indicator
Daylighting Indicator
2.1.2. Optimization Variables
2.1.3. Establishment of a Physical Model and Sample Space
2.1.4. Sensitivity Analysis and Modified Physical Model
2.2. Efficient Optimization
2.2.1. Meta-Model
2.2.2. Division of Sample Space and Model Evaluation
2.2.3. Multi-Objective Algorithm and Pareto Optimal Solutions
2.2.4. Scheme Analysis
3. Case Study
3.1. Case Information and Climate Characteristics
3.2. Classroom Modeling
3.3. Classroom Efficient Optimization
3.3.1. Training and Evaluation of the ANN Model
3.3.2. Multi-Objective Optimization and Scheme Analysis
4. Conclusions
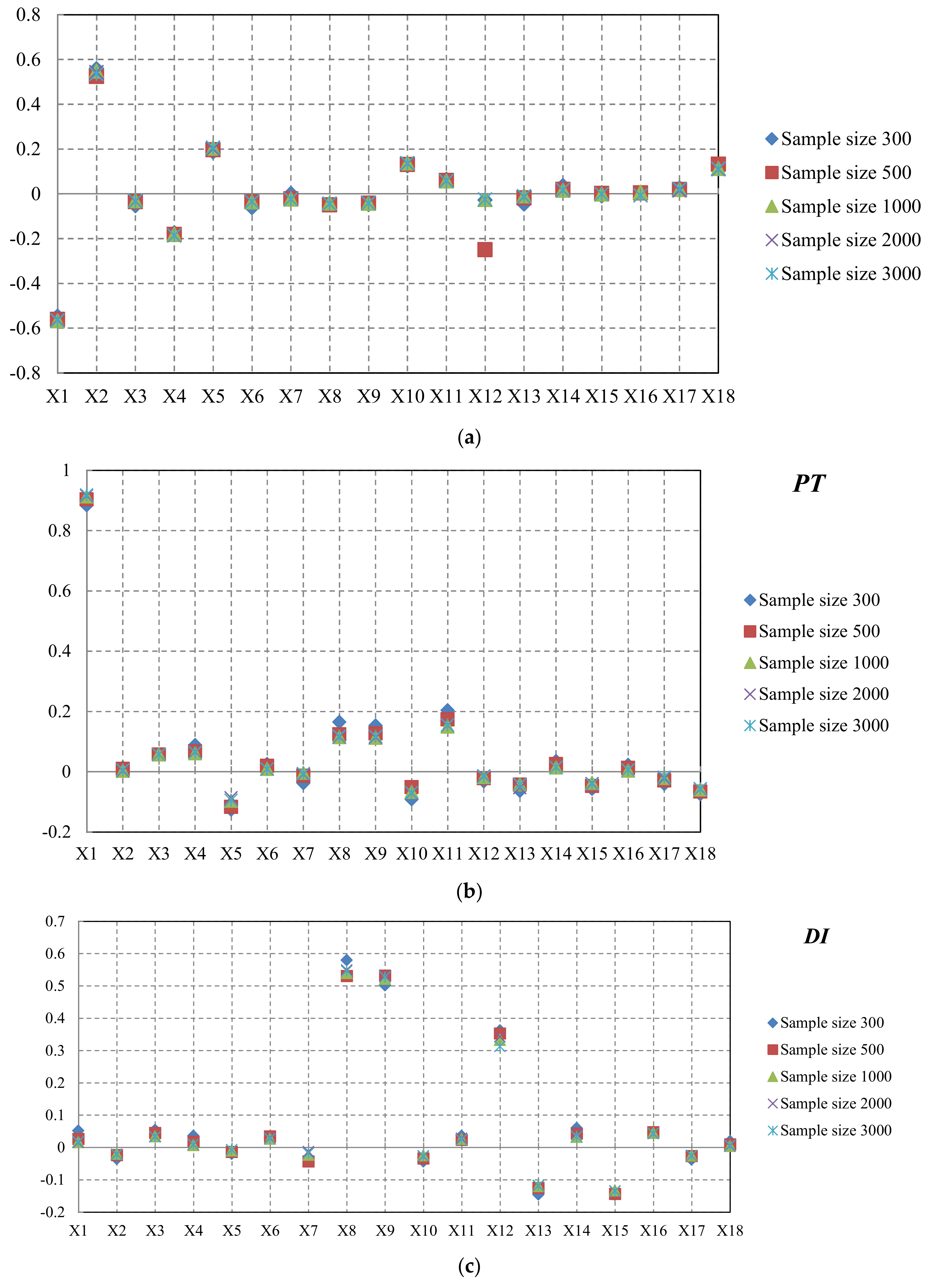
- The sensitivity analysis method based on the regression method is used to study the correlation between optimization variables and optimization objectives. The results show that for different sample sizes, the standardization coefficient of each variable is slightly different, but the overall trend is consistent. Among them, wall material density, wall specific heat and orientation have little influence on the three optimization objectives ( ).
- The grid search algorithm is used to optimize the hyperparameters of the ANN model, and the influence of different sample sizes is compared. The results show that when the sample size reaches 1000, the accuracy and stability of the algorithm perform well. At this time, the mean relative error of each optimization objective is 2.26% (TES), 4.15% (PT) and 2.61% (DI), and the R2 value is 0.97.
- In this paper, the trained ANN model is coupled with the NSGA-II to achieve multi-objective optimization. After optimization, the TES, PT and DI fluctuate in a certain range, at 1622.2–2389 kWh per year, 43–81.7% and 71.1–92.2%, respectively.
- Finally, the benchmark scheme is compared with the optimized design schemes. The results show that the optimization indicators (TES, PT and DI) reflect an improved design scheme. Among them, TES decreased by 810.8 kWh at most, PT increased by 47.8% at most and DI increased by 4.2% at most.
Author Contributions
Funding
Institutional Review Board Statement
Informed Consent Statement
Data Availability Statement
Conflicts of Interest
Nomenclature
| CES | Annual cooling energy consumption |
| Ces | Hourly cooling energy consumption |
| COP | Coefficient of performance |
| DI | Percentage of daylight illuminance on the working face is greater than 500 lux during the use period of the whole year |
| Di | Number of hours when the daylighting illumination on the working face is greater than 500 lux during the use period of the whole year |
| DX | Direct expansion |
| HES | Annual heating energy consumption |
| Hes | Hourly heating energy consumption |
| HVAC | Heating, ventilation and air conditioning |
| LES | Annual lighting energy consumption |
| Les | Hourly lighting energy consumption |
| Nc | Annual cooling hours |
| Nh | Annual heating hours |
| Nl | Annual lighting hours |
| NO | Annual zone occupied hours |
| SHGC | Solar heat gain coefficient |
| PT | Percentage of the number of hours with PMV value within the range of −1 to 1 in the total number of hours in the use period of the whole year |
| Pt | Number of hours when the indoor PMV value is greater than −1 and less than 1 during the whole year’s building use period |
| TES | Total annual energy consumption |
| VRV | Variable refrigerant volume |
| VT | Visible transmittance |
| WWR | Window-to-wall ratio |
| ANN | Artificial neural network |
| BP | Back propagation |
| GP | Gaussian process |
| NSGA-II | Non-dominated sorting genetic algorithm II |
| SVM | Support vector machine |
| Standardization value of y | |
| Mean of y | |
| Standard deviation of y | |
| Standardization value of x | |
| Mean of x | |
| Standard deviation of x | |
| Coefficient before standardization | |
| Standardization coefficient | |
| Constant term before standardization | |
| Standardization constant term |
References
- Xu, Y.; Yan, C.; Liu, H.; Wang, J.; Yang, Z.; Jiang, Y. Smart energy systems: A critical review on design and operation optimization. Sustain. Cities Soc. 2020, 62, 102369. [Google Scholar] [CrossRef]
- Attia, S.; Shadmanfar, N.; Ricci, F. Developing two benchmark models for nearly zero energy schools. Appl. Energy 2020, 263, 114614. [Google Scholar] [CrossRef] [Green Version]
- Yan, C.; Wang, S.; Xiao, F. A simplified energy performance assessment method for existing buildings based on energy bill disaggregation. Energy Build. 2012, 55, 563–574. [Google Scholar] [CrossRef]
- Ma, H.; Lai, J.; Li, C.; Yang, F.; Li, Z. Analysis of school building energy consumption in Tianjin, China. Energy Procedia 2019, 158, 3476–3481. [Google Scholar] [CrossRef]
- Wirz-Justice, A.; Skene, D.J.; Munch, M. The relevance of daylight for humans. Biochem. Pharmacol. 2020, 10, 114304. [Google Scholar] [CrossRef]
- Li, B.; You, L.; Zheng, M.; Wang, Y.; Wang, Z. Energy consumption pattern and indoor thermal environment of residential building in rural China. Energy Built Environ. 2020, 1, 327–336. [Google Scholar] [CrossRef]
- Leccese, F.; Rocca, M.; Salvadori, G.; Belloni, E.; Buratti, C. Towards a holistic approach to indoor environmental quality assessment: Weighting schemes to combine effects of multiple environmental factors. Energy Build. 2021, 245, 111056. [Google Scholar] [CrossRef]
- Fan, C.; Xiao, F.; Li, Z.; Wang, J. Unsupervised data analytics in mining big building operational data for energy efficiency enhancement: A review. Energy Build. 2018, 159, 296–308. [Google Scholar] [CrossRef]
- Sun, Y. Sensitivity analysis of macro-parameters in the system design of net zero energy building. Energy Build. 2015, 86, 464–477. [Google Scholar] [CrossRef]
- Ascione, F.; Bianco, N.; Maria Mauro, G.; Napolitano, D.F. Building envelope design: Multi-objective optimization to minimize energy consumption, global cost and thermal discomfort. Application to different Italian climatic zones. Energy 2019, 174, 359–374. [Google Scholar] [CrossRef]
- Hu, J.; Wu, J. Analysis on the Influence of Building Envelope to Public Buildings Energy Consumption Based on DeST Simulation. Procedia Eng. 2015, 121, 1620–1627. [Google Scholar] [CrossRef]
- Zhai, Y.; Wang, Y.; Huang, Y.; Meng, X. A multi-objective optimization methodology for window design considering energy consumption, thermal environment and visual performance. Renew. Energy 2019, 134, 1190–1199. [Google Scholar] [CrossRef]
- Chang, S.; Castro-Lacouture, D.; Yamagata, Y. Decision support for retrofitting building envelopes using multi-objective optimization under uncertainties. J. Build. Eng. 2020, 32, 101413. [Google Scholar] [CrossRef]
- Pan, L.; Li, K.; Xue, W.; Liu, G. Multi-objective Optimization for Building Performance Design Considering Thermal Comfort and Energy Consumption. In Proceedings of the 35th Chinese Control Conference, Chengdu, China, 27–29 July 2016; pp. 2799–2803. [Google Scholar]
- Zhu, L.; Wang, B.; Sun, Y. Multi-objective optimization for energy consumption, daylighting and thermal comfort performance of rural tourism buildings in north China. Build. Environ. 2020, 176, 106841. [Google Scholar] [CrossRef]
- Li, J.; Afsari, K.; Li, N.; Peng, J.; Wu, Z.; Cui, H. A review for presenting building information modeling education and research in China. J. Clean. Prod. 2020, 259, 120885. [Google Scholar] [CrossRef]
- Rikard, K.; Carin, L. Health and behavior of children in classrooms with and without windows. J. Environ. Psychol. 1992, 12, 305–317. [Google Scholar]
- Day, J.K.; McIlvennie, C.; Brackley, C.; Tarantini, M.; Piselli, C.; Hahn, J.; O’Brien, W.; Rajus, V.S.; De Simone, M.; Kjærgaard, M.B.; et al. A review of select human-building interfaces and their relationship to human behavior, energy use and occupant comfort. Build. Environ. 2020, 178, 106920. [Google Scholar] [CrossRef]
- Barrett, P.; Davies, F.; Zhang, Y.; Barrett, L. The impact of classroom design on pupils’ learning: Final results of a holistic, multi-level analysis. Build. Environ. 2015, 89, 118–133. [Google Scholar] [CrossRef] [Green Version]
- Doulos, L.T.; Kontadakis, A.; Madias, E.N.; Sinou, M.; Tsangrassoulis, A. Minimizing energy consumption for artificial lighting in a typical classroom of a Hellenic public school aiming for near Zero Energy Building using LED DC luminaires and daylight harvesting systems. Energy Build. 2019, 194, 201–217. [Google Scholar] [CrossRef]
- Zhang, A.; Bokel, R.; van den Dobbelsteen, A.; Sun, Y.; Huang, Q.; Zhang, Q. Optimization of thermal and daylight performance of school buildings based on a multi-objective genetic algorithm in the cold climate of China. Energy Build. 2017, 139, 371–384. [Google Scholar] [CrossRef]
- Acosta-Acosta, D.F.; El-Rayes, K. Optimal design of classroom spaces in naturally-ventilated buildings to maximize occupant satisfaction with human bioeffluents/body odor levels. Build. Environ. 2020, 169, 106543. [Google Scholar] [CrossRef]
- Ascione, F.; Bianco, N.; De Masi, R.F.; Mauro, G.M.; Vanoli, G.P. Energy retrofit of educational buildings: Transient energy simulations, model calibration and multi-objective optimization towards nearly zero-energy performance. Energy Build. 2017, 144, 303–319. [Google Scholar] [CrossRef]
- Bakmohammadi, P.; Noorzai, E. Optimization of the design of the primary school classrooms in terms of energy and daylight performance considering occupants’ thermal and visual comfort. Energy Rep. 2020, 6, 1590–1607. [Google Scholar] [CrossRef]
- Yan, C.; Gang, W.; Niu, X.; Peng, X.; Wang, S. Quantitative evaluation of the impact of building load characteristics on energy performance of district cooling systems. Appl. Energy 2017, 205, 635–643. [Google Scholar] [CrossRef]
- Wang, R.; Lu, S.; Feng, W. A three-stage optimization methodology for envelope design of passive house considering energy demand, thermal comfort and cost. Energy 2020, 192, 116723. [Google Scholar] [CrossRef]
- Chen, J.; Gao, X.; Hu, Y.; Zeng, Z.; Liu, Y. A meta-model-based optimization approach for fast and reliable calibration of building energy models. Energy 2019, 188, 116046. [Google Scholar] [CrossRef]
- Yu, W.; Li, B.; Jia, H.; Zhang, M.; Wang, D. Application of multi-objective genetic algorithm to optimize energy efficiency and thermal comfort in building design. Energy Build. 2015, 88, 135–143. [Google Scholar] [CrossRef]
- Asadi, E.; Silva, M.G.d.; Antunes, C.H.; Dias, L.; Glicksman, L. Multi-objective optimization for building retrofit: A model using genetic algorithm and artificial neural network and an application. Energy Build. 2014, 81, 444–456. [Google Scholar] [CrossRef]
- Zhou, Y.P.; Wu, J.Y.; Wang, R.Z.; Shiochi, S. Energy simulation in the variable refrigerant flow air-conditioning system under cooling conditions. Energy Build. 2007, 39, 212–220. [Google Scholar] [CrossRef]
- Zhou, Y.P.; Wu, J.Y.; Wang, R.Z.; Shiochi, S.; Li, Y.M. Simulation and experimental validation of the variable-refrigerant-volume (VRV) air-conditioning system in EnergyPlus. Energy Build. 2008, 40, 1041–1047. [Google Scholar] [CrossRef]
- Design Standard for Energy Efficiency of Public Buildings; National Standards of the People’s Republic of China. 2015. Available online: http://www.jianbiaoku.com/webarbs/book/73810/1628137.shtml (accessed on 1 September 2021).
- Zomorodian, Z.S.; Tahsildoost, M.; Hafezi, M. Thermal comfort in educational buildings: A review article. Renew. Sustain. Energy Rev. 2016, 59, 895–906. [Google Scholar] [CrossRef]
- Pilechiha, P.; Mahdavinejad, M.; Pour Rahimian, F.; Carnemolla, P.; Seyedzadeh, S. Multi-objective optimisation framework for designing office windows: Quality of view, daylight and energy efficiency. Appl. Energy 2020, 261, 114356. [Google Scholar] [CrossRef]
- Konstantzos, I.; Tzempelikos, A.; Chan, Y.-C. Experimental and simulation analysis of daylight glare probability in offices with dynamic window shades. Build. Environ. 2015, 87, 244–254. [Google Scholar] [CrossRef]
- Fantozzi, F.; Rocca, M. An Extensive Collection of Evaluation Indicators to Assess Occupants’ Health and Comfort in Indoor Environment. Atmosphere 2020, 11, 90. [Google Scholar] [CrossRef] [Green Version]
- Ciardiello, A.; Rosso, F.; Dell’Olmo, J.; Ciancio, V.; Ferrero, M.; Salata, F. Multi-objective approach to the optimization of shape and envelope in building energy design. Appl. Energy 2020, 280, 115984. [Google Scholar] [CrossRef]
- Pannier, M.-L.; Schalbart, P.; Peuportier, B. Comprehensive assessment of sensitivity analysis methods for the identification of influential factors in building life cycle assessment. J. Clean. Prod. 2018, 199, 466–480. [Google Scholar] [CrossRef]
- Tian, W. A review of sensitivity analysis methods in building energy analysis. Renew. Sustain. Energy Rev. 2013, 20, 411–419. [Google Scholar] [CrossRef]
- Flannery, M.J.; Rangan, K.P. Partial adjustment toward target capital structures. J. Financ. Econ. 2006, 79, 469–506. [Google Scholar] [CrossRef]
- Chen, V.C.P.; Tsui, K.-L.; Barton, R.R.; Allen, J.K. A review of design and modeling in computer experiments. In Handbook of Statistics; Elsevier: Amsterdam, The Netherlands, 2003; Volume 22, pp. 231–261. [Google Scholar]
- Roman, N.D.; Bre, F.; Fachinotti, V.D.; Lamberts, R. Application and characterization of metamodels based on artificial neural networks for building performance simulation: A systematic review. Energy Build. 2020, 217, 109972. [Google Scholar] [CrossRef]
- Desai, M.; Shah, M. An anatomization on breast cancer detection and diagnosis employing multi-layer perceptron neural network (MLP) and Convolutional neural network (CNN). Clin. eHealth 2021, 4, 1–11. [Google Scholar] [CrossRef]
- Østergård, T.; Jensen, R.L.; Maagaard, S.E. A comparison of six metamodeling techniques applied to building performance simulations. Appl. Energy 2018, 211, 89–103. [Google Scholar] [CrossRef]
- Monsef, H.; Naghashzadegan, M.; Jamali, A.; Farmani, R. Comparison of evolutionary multi objective optimization algorithms in optimum design of water distribution network. Ain Shams Eng. J. 2019, 10, 103–111. [Google Scholar] [CrossRef]
- Code for Design of School; National Standards of the People’s Republic of China. 2011. Available online: http://www.jianbiaoku.com/webarbs/book/414/2559815.shtml (accessed on 1 September 2021).
- Jihad, A.; Lamia, A. Daylight and Energy Performance Optimization in Hot-Arid Regions: Application and adaptation guide for designers in the UAE. Procedia Manufacturing 2020, 44, 237–244. [Google Scholar] [CrossRef]
- Chen, X.; Yang, H.; Zhang, W. Simulation-based approach to optimize passively designed buildings: A case study on a typical architectural form in hot and humid climates. Renew. Sustain. Energy Rev. 2018, 82, 1712–1725. [Google Scholar] [CrossRef]







| No. | Optimization Variables | Values |
|---|---|---|
| X1 | Cooling setpoint (°C) | 24; 25; 26; 27; 28 |
| X2 | Heating setpoint (°C) | 18; 19; 20; 21; 22 |
| X3 | Solar absorptivity of wall (-) | 0.1; 0.2; 0.3; 0.4; 0.5; 0.6; 0.7; 0.8; 0.9 |
| X4 | Thickness of wall (m) | 0.20; 0.25; 0.30; 0.35; 0.40 |
| X5 | Thermal conductivity of wall (W/m·K) | 0.2; 0.3; 0.4; 0.5; 0.6; 0.7; 0.8; 0.9 |
| X6 | Wall material density (kg/m3) | 500; 600; 700; 800; 900; 1000; 1100; 1200; 1300; 1400; 1500; 1600; 1700; 1800; 1900; 2000 |
| X7 | Wall specific heat (J/(kg·K)) | 800; 900; 1000; 1100; 1200; 1300; 1400; 1500; 1600; 1700; 1800; 1900; 2000; 2100; 2200; 2300; 2400; 2500 |
| X8 | WWR of side B wall (-) | 0.2; 0.3; 0.4; 0.5; 0.6; 0.7; 0.8 |
| X9 | WWR of side D wall (-) | 0.2; 0.3; 0.4; 0.5; 0.6; 0.7; 0.8 |
| X10 | U-value of external windows (W/m2K) | 0.8; 0.9; 1.0; 1.1; 1.2; 1.3; 1.4; 1.5 |
| X11 | SHGC of external windows (-) | 0.2; 0.3; 0.4; 0.5; 0.6 |
| X12 | VT of external windows (-) | 0.4; 0.5; 0.6; 0.7; 0.8 |
| X13 | Overhanging depth of side B external window (m) | 0.1; 0.2; 0.3; 0.4; 0.5; 0.6; 0.7; 0.8; 0.9; 1.0; 1.1; 1.2; 1.3; 1.4; 1.5; 1.6; 1.7; 1.8; 1.9; 2.0 |
| X14 | Overhanging height of side B external window (m) | 0; 0.1; 0.2; 0.3; 0.4; 0.5 |
| X15 | Overhanging depth of side D external window (m) | 0.1; 0.2; 0.3; 0.4; 0.5; 0.6; 0.7; 0.8; 0.9; 1.0; 1.1; 1.2; 1.3; 1.4; 1.5; 1.6; 1.7; 1.8; 1.9; 2.0 |
| X16 | Overhanging height of side D external window (m) | 0; 0.1; 0.2; 0.3; 0.4; 0.5 |
| X17 | Orientation (°) | 0; 30; 60; 90; 120; 150; 180; 210; 240; 270; 300; 330; 360 |
| X18 | Air tightness (1/h) | 0.05; 0.10; 0.15; 0.20; 0.25; 0.30; 0.35; 0.40; 0.45; 0.50; 0.55; 0.60 |
| Sample Size 300 | Sample Size 500 | Sample Size 1000 | Sample Size 2000 | Sample Size 3000 | |
|---|---|---|---|---|---|
| TES | 0.904 | 0.927 | 0.934 | 0.931 | 0.926 |
| PT | 0.87 | 0.902 | 0.907 | 0.903 | 0.91 |
| DI | 0.802 | 0.914 | 0.923 | 0.917 | 0.926 |
| Hyperparameters | Search Space of Hyperparameters | Optimal Hyperparameters |
|---|---|---|
| Activation function | sigmoid, tanh, relu | relu |
| Hidden layer sizes | 1; 2; 3; ……; 20 | 12 |
| Hidden layer numbers | 1; 2; 3; 4 | 1 |
| Sample Size | TES | PT | DI | R2 |
|---|---|---|---|---|
| 100 | 8.62% | 31.42% | 5.61% | 0.73 |
| 300 | 3.16% | 12.45% | 3.30% | 0.915 |
| 500 | 2.31% | 4.52% | 2.86% | 0.971 |
| 1000 | 2.26% | 4.15% | 2.61% | 0.970 |
| 2000 | 2.49% | 4.42% | 2.60% | 0.970 |
| 3000 | 2.48% | 4.29% | 2.63% | 0.969 |
| Parameter | Value |
|---|---|
| Population size | 50 |
| Maximum number of iterations | 100 |
| Crossover probability | 0.8 |
| Mutation probability | 0.6 |
| Optimization Variables | Energy Optimal | Thermal Comfort Optimal | Daylighting Optimal | Benchmark Scheme |
|---|---|---|---|---|
| Cooling setpoint (°C) | 28 | 28 | 28 | 26 |
| Heating setpoint (°C) | 18 | 18 | 18 | 18 |
| Solar absorptivity of wall (-) | 0.1 | 0.9 | 0.1 | 0.3 |
| Thickness of wall (m) | 0.4 | 0.4 | 0.4 | 0.24 |
| Thermal conductivity of wall (W/mK) | 0.2 | 0.2 | 0.2 | 0.6 |
| WWR of side B wall (-) | 0.2 | 0.2 | 0.8 | 0.6 |
| WWR of side D wall (-) | 0.5 | 0.6 | 0.8 | 0.6 |
| U-value of external windows (W/m2K) | 0.8 | 0.8 | 0.8 | 2.2 |
| SHGC of external windows (-) | 0.2 | 0.6 | 0.4 | 0.35 |
| VT of external windows (-) | 0.8 | 0.8 | 0.8 | 0.8 |
| Overhanging depth of side B external window (m) | 2 | 2 | 0.1 | 0 |
| Overhanging height of side B external window (m) | 0 | 0 | 0.5 | 0 |
| Overhanging depth of side D external window (m) | 0.1 | 0.1 | 0.1 | 0 |
| Overhanging height of side D external window (m) | 0.5 | 0.5 | 0.5 | 0 |
| Air tightness (1/h) | 0.05 | 0.05 | 0.05 | 0.3 |
| TES (kWh) | 1622.2 | 2072.3 | 2389 | 2433 |
| PT (%) | 59.3 | 81.7 | 72.3 | 33.9 |
| DI (%) | 80.7 | 71.1% | 92.2% | 88% |
Publisher’s Note: MDPI stays neutral with regard to jurisdictional claims in published maps and institutional affiliations. |
© 2021 by the authors. Licensee MDPI, Basel, Switzerland. This article is an open access article distributed under the terms and conditions of the Creative Commons Attribution (CC BY) license (https://creativecommons.org/licenses/by/4.0/).
Share and Cite
Xu, Y.; Yan, C.; Qian, H.; Sun, L.; Wang, G.; Jiang, Y. A Novel Optimization Method for Conventional Primary and Secondary School Classrooms in Southern China Considering Energy Demand, Thermal Comfort and Daylighting. Sustainability 2021, 13, 13119. https://doi.org/10.3390/su132313119
Xu Y, Yan C, Qian H, Sun L, Wang G, Jiang Y. A Novel Optimization Method for Conventional Primary and Secondary School Classrooms in Southern China Considering Energy Demand, Thermal Comfort and Daylighting. Sustainability. 2021; 13(23):13119. https://doi.org/10.3390/su132313119
Chicago/Turabian StyleXu, Yizhe, Chengchu Yan, Hao Qian, Liang Sun, Gang Wang, and Yanlong Jiang. 2021. "A Novel Optimization Method for Conventional Primary and Secondary School Classrooms in Southern China Considering Energy Demand, Thermal Comfort and Daylighting" Sustainability 13, no. 23: 13119. https://doi.org/10.3390/su132313119
APA StyleXu, Y., Yan, C., Qian, H., Sun, L., Wang, G., & Jiang, Y. (2021). A Novel Optimization Method for Conventional Primary and Secondary School Classrooms in Southern China Considering Energy Demand, Thermal Comfort and Daylighting. Sustainability, 13(23), 13119. https://doi.org/10.3390/su132313119

