Study on the Geological Condition Analysis and Grade Division of High Altitude and Cold Stope Slope
Abstract
:1. Introduction
2. BP Neural Network
2.1. BP Neural Network Operation Mechanism
2.2. Data Processing
2.3. BP Neural Network Forward Transmission and Reverse Feedback
3. Construction of a BP Neural Network Suitable for Preparing Iron Ore Slopes
3.1. Geological Condition Analysis and Network Output Parameter Setting
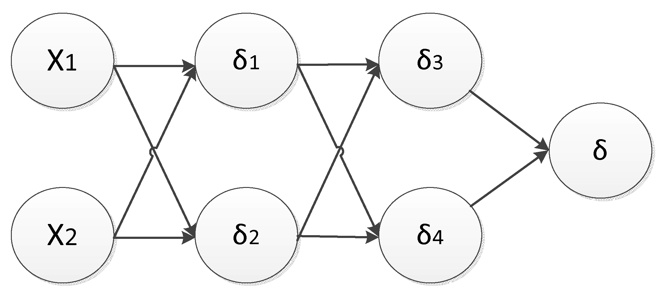
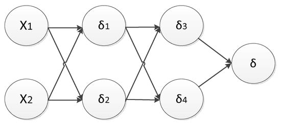
3.2. Determination of the Grid Structure
3.3. Selection and Processing of Training Samples
3.4. Sample Training and Result Analysis
4. Grade Division of Slope Geological Conditions in Preparation for Iron Mines
4.1. Determination of Parameter Samples of Geological Condition Indicators
4.2. Calculation Results and Analysis
5. Concluding Remarks
Author Contributions
Funding
Institutional Review Board Statement
Informed Consent Statement
Data Availability Statement
Conflicts of Interest
References
- Fang, R.K.; Liu, Y.H. Review of regional landslide risk assessment methods based on machine learning. Chin. J. Geol. Hazard Control 2021, 32, 1–5. [Google Scholar]
- Feng, T.J. Assessment of the Loss of Ecological Carrying Capacity Caused by Landslide Disasters in the Southeastern Mountainous Area of Jilin Province. Master’s Thesis, Northeast Normal University, Changchun, China, 2016. [Google Scholar]
- Shang, G.A. Analysis of dump slope deformation monitoring data based on the re-scaled range analysis method. Opencast Min. Technol. 2018, 33, 64–67. [Google Scholar]
- Li, C.H.; Xiao, Y.G. Research status and trend of deformation and failure mechanisms of rock slopes in high altitude and cold areas. Chin. J. Eng. Sci. 2019, 41, 1374–1386. [Google Scholar]
- Han, G. Research on the Key Technique of Stability and Safety Control of High Bedding Rock Slope in Open-Pit Mine. Ph.D. Thesis, University of Science and Technology Beijing, Beijing, China, 2017; pp. 57–63. [Google Scholar]
- Liu, J. Stability Evaluation of Open-Pit Mine Slope Based on Fuzzy-Random Reliability. Master’s Thesis, Central South University, Changsha, China, 2013; pp. 56–58, 70–72. [Google Scholar]
- Luo, X.D. Stability Analysis and Engineering Application of High Slope in Open-Pit Mine in Cold Area, 1st ed.; China Meteorological Press: Beijing, China, 2015; pp. 38–39, 46–48. [Google Scholar]
- Chen, Y.C. Preliminary Study on Rock and Soil Slope Stability under the Freez-ing-Thawing Condition. Master’s Thesis, Xi’an Technological University, Xi’an, China, 2006; pp. 7–10, 14–15. [Google Scholar]
- Luo, X.D.; Huang, C.L.; Rong, Z.X.; Lv, Q.S. Study of physico-mechanical characteristics of rocks in slope of Mengku iron mine under freezing-thawing cyclic effect. Rock Soil Mech. 2011, 32 (Suppl. S1), 155–159. [Google Scholar]
- Deng, H.W.; Tian, W.G.; Zhou, K.P.; Li, J.L. Progress in freezing-thawing rock mechanics from 2001 to 2012. Tech. Rev. 2013, 31, 74–79. [Google Scholar]
- Meng, L.L.; Chen, Q.F. Stability analysis of high-altitude and high-cold slopes in preparation for iron mine. Non-Ferr. Met. Min. Part 2020, 72, 5–9. [Google Scholar]
- Li, Z.; Nadim, F.; Huang, H.; Uzielli, M.; Lacasse, S. Quantitative vulnerability estimation for scenario-based landslide hazards. Landslides 2010, 7, 125–134. [Google Scholar] [CrossRef]
- Zhang, B. Geological Characteristics and Genesis of the Preparatory Iron Deposit in Hejing County, Xinjiang. Master’s Thesis, Chang’an University, Xi’an, China, 2016; pp. 14–15, 64–66. [Google Scholar]
- Jordá-Bordehore, L. Application of Q slope to Assess the Stability of Rock Slopes in Madrid Province, Spain. Rock Mech. Rock Eng. 2017, 50, 1947–1957. [Google Scholar] [CrossRef]
- Bar, N.; Barton, N. The Q-Slope Method for Rock Slope Engineering. Rock Mech. Rock Eng. 2017, 50, 3307–3322. [Google Scholar] [CrossRef]
- Bar, N.; Barton, N. Rock Slope Design using Q-slope and Geophysical Survey Data. Period. Polytech. Civ. Eng. 2018, 62, 893–900. [Google Scholar] [CrossRef]
- Niu, P.F.; Zhou, A.H. Stability prediction of rock slopes of Central South Highway based on PCA and BP neural network. J. Inst. Disaster Prev. Sci. Technol. 2020, 22, 10–16. [Google Scholar]
- Jiang, J. BP neural Networks for Prediction of Factor of safety of Slope Stability. In Proceedings of the 2011 IEEE 2nd International Conference on Computing, Control and Industrial Engineering, Wuhan, China, 20–21 August 2011; Institute of Electrical and Electronics Engineers Inc.: Piscataway, NJ, USA, 2011; Volume 115, pp. 347–350. [Google Scholar]
- Zhao, Y.J.; Zhang, E.L.; Gong, Z.Z. The application of BP neural network in slope stability prediction. West. Explor. Eng. 2014, 26, 23–25. [Google Scholar]
- Feng, X.T.; Wang, Y.J. Neural network estimation of slope stability. J. Eng. Geol. 1995, 3, 54–61. [Google Scholar]
- Chang, S.K.; Lee, D.H.; Wu, J.H.; Juang, C.H. Rainfall-based criteria for assessing slump rate of mountainous highway slopes: A case study of slopes along Highway 18 in Alishan, Tai-wan. Eng. Geol. 2011, 118, 63–74. [Google Scholar] [CrossRef]
- Lin, H.M.; Chang, S.K.; Wu, J.H.; Juang, C.H. Neural network-based model for assessing failure potential of highway slopes in the Alishan, Taiwan Area: Pre- and post-earthquake investigation. Eng. Geol. 2009, 104, 280–289. [Google Scholar] [CrossRef]














| Geological Condition Level | Grade Description | Represents the Value |
|---|---|---|
| Grade I | Good, not easy to damage | (0, 0, 0, 1) |
| Grade II | Better, with potential destructive factors | (0, 0, 1, 0) |
| Grade III | Poor, damage may occur | (0, 1, 0, 0) |
| Grade IV | Poor, easy to cause damage | (1, 0, 0, 0) |
| Serial Number | Freeze-Thaw Coefficient | Hydrology Geology | Unit Weight (KN/m3) | Cohesion (KPa) | Internal Friction Angle φ (°) | Slope (°) | Slope Height (m) | Porosity (%) | Geology Grade |
|---|---|---|---|---|---|---|---|---|---|
| 1 | 0.42 | 2 | 12 | 0 | 30 | 45 | 8 | 1.62 | IV |
| 2 | 0.61 | 1 | 12 | 0 | 30 | 35 | 4 | 1.38 | II |
| 3 | 0.77 | 1 | 18 | 5 | 30 | 20 | 8 | 0.56 | I |
| 4 | 0.77 | 1 | 18 | 36 | 11 | 65 | 50 | 1.64 | I |
| 5 | 0.2 | 1 | 18.5 | 25 | 0 | 30 | 6 | 0.8 | IV |
| 7 | 0.42 | 2 | 20 | 20 | 36 | 45 | 50 | 1.38 | IV |
| 7 | 0.43 | 2 | 20 | 17 | 14 | 65 | 36 | 1.4 | III |
| 8 | 0.64 | 1 | 20 | 20 | 36 | 45 | 500 | 1.21 | IV |
| 9 | 0.76 | 1 | 21.4 | 10 | 30.34 | 30 | 20 | 0.65 | I |
| 10 | 0.62 | 1 | 21.4 | 8 | 28 | 45 | 31 | 0.73 | I |
| 11 | 0.68 | 2 | 21.4 | 10 | 30 | 30 | 20 | 0.75 | I |
| 12 | 0.54 | 1 | 22 | 10 | 36 | 45 | 50 | 1.1 | IV |
| 13 | 0.48 | 1 | 22 | 20 | 36 | 45 | 50 | 1.22 | IV |
| 14 | 0.33 | 2 | 22.4 | 10 | 35 | 45 | 10 | 1.62 | IV |
| 15 | 0.38 | 2 | 22.4 | 15 | 15 | 70 | 66 | 0.36 | I |
| 16 | 0.82 | 1 | 22.4 | 10 | 35 | 30 | 10 | 0.7 | I |
| 17 | 0.8 | 1 | 25 | 48 | 40 | 49 | 330 | 1.23 | I |
| 18 | 0.7 | 1 | 25 | 46 | 35 | 50 | 284 | 0.8 | II |
| 19 | 0.91 | 1 | 25 | 55 | 36 | 44.5 | 299 | 0.68 | I |
| 20 | 0.78 | 1 | 25 | 46 | 35 | 46 | 393 | 1.52 | I |
| 21 | 0.8 | 1 | 25 | 60 | 20 | 65 | 48 | 0.8 | IV |
| 22 | 0.7 | 1 | 25 | 20 | 16 | 45 | 123 | 1.3 | I |
| 23 | 0.91 | 1 | 25 | 50 | 35 | 50 | 84 | 0.66 | IV |
| 24 | 0.78 | 1 | 25 | 25 | 22 | 35 | 68 | 1.46 | IV |
| 25 | 0.4 | 2 | 26 | 150 | 45 | 30 | 200 | 1.46 | IV |
| 26 | 0.4 | 2 | 26 | 10 | 8 | 40 | 164 | 0.58 | I |
| 27 | 0.56 | 2 | 27 | 40 | 35 | 43 | 420 | 1.64 | IV |
| 28 | 0.88 | 1 | 27 | 50 | 40 | 42 | 407 | 0.8 | I |
| 29 | 0.93 | 1 | 27 | 35 | 35 | 42 | 359 | 0.68 | I |
| 30 | 0.35 | 2 | 27 | 32 | 33 | 42.4 | 289 | 1.4 | IV |
| 31 | 0.44 | 2 | 27 | 40 | 35 | 47.1 | 292 | 0.21 | IV |
| 32 | 0.84 | 1 | 27 | 37.5 | 35 | 37.8 | 320 | 0.65 | II |
| 33 | 0.36 | 2 | 27 | 17 | 20 | 50 | 98 | 0.56 | I |
| 34 | 0.55 | 1 | 27 | 16 | 13 | 60 | 164 | 0.68 | I |
| 35 | 0.88 | 2 | 27 | 18 | 45 | 70 | 212 | 0.82 | IV |
| 36 | 0.76 | 2 | 27 | 16 | 13 | 35 | 30 | 1.2 | IV |
| 37 | 0.37 | 1 | 27 | 17 | 20 | 80 | 15 | 0.96 | IV |
| 38 | 0.92 | 1 | 27.3 | 14 | 31 | 41 | 110 | 0.73 | II |
| 39 | 0.79 | 1 | 27.3 | 31.5 | 29.7 | 41 | 135 | 0.75 | I |
| 40 | 0.86 | 1 | 27.3 | 16.8 | 28 | 50 | 90.5 | 1.1 | III |
| 41 | 0.82 | 1 | 27.3 | 10 | 39 | 40 | 480 | 1.22 | I |
| 42 | 0.78 | 1 | 27.3 | 26 | 31 | 50 | 92 | 0.48 | I |
| 43 | 0.61 | 1 | 27.3 | 36 | 11 | 35 | 55 | 1.24 | I |
| 44 | 0.86 | 1 | 27.3 | 17 | 20 | 70.1 | 135 | 0.88 | IV |
| 45 | 0.54 | 1 | 27.3 | 60 | 23 | 45 | 95 | 0.92 | I |
| 46 | 0.46 | 1 | 27.3 | 14 | 17 | 45 | 22 | 0.66 | III |
| 47 | 0.56 | 2 | 31 | 68 | 37 | 49 | 200 | 0.68 | IV |
| 48 | 0.22 | 2 | 31.3 | 68 | 37 | 46 | 366 | 0.68 | IV |
| 49 | 0.47 | 2 | 31.3 | 68.6 | 37 | 47 | 305 | 1.52 | IV |
| 50 | 0.6 | 2 | 31.3 | 68 | 37 | 47 | 213 | 1.3 | IV |
| 51 | 0.22 | 2 | 31.3 | 20 | 15 | 30 | 35 | 1.4 | I |
| 52 | 0.47 | 2 | 31.3 | 14 | 17 | 60 | 22 | 0.86 | II |
| 53 | 0.33 | 2 | 31.3 | 5 | 34 | 55 | 10.5 | 1.23 | I |
| 54 | 0.74 | 2 | 31.3 | 60 | 25 | 52 | 143 | 0.76 | IV |
| Serial Number | Freeze-Thaw Coefficient | Hydrology Geology | Unit Weight (KN/m3) | Cohesion (KPa) | Internal Friction Angle φ (°) | Slope (°) | Slope Height (m) | Porosity (%) |
|---|---|---|---|---|---|---|---|---|
| 1 | 0.971 | 0.911 | 0.467 | 1.000 | 0.333 | 1.000 | 0.644 | 0.928 |
| 2 | 0.965 | 0.943 | 0.314 | 1.000 | 0.714 | 1.000 | 0.771 | 0.921 |
| 3 | 0.986 | 0.970 | 0.185 | 0.698 | 1.000 | 0.321 | 0.495 | 1.000 |
| 4 | 1.000 | 0.993 | 0.463 | 0.097 | 0.681 | 1.000 | 0.533 | 0.973 |
| 5 | 0.987 | 0.933 | 0.233 | 0.667 | 1.000 | 1.000 | 0.600 | 0.947 |
| 7 | 1.000 | 0.941 | 0.213 | 0.213 | 0.433 | 0.799 | 1.000 | 0.967 |
| 7 | 1.000 | 0.957 | 0.396 | 0.489 | 0.584 | 1.000 | 0.100 | 0.975 |
| 8 | 1.000 | 0.999 | 0.922 | 0.922 | 0.858 | 0.822 | 1.000 | 0.998 |
| 9 | 0.993 | 0.976 | 0.398 | 0.370 | 1.000 | 0.977 | 0.303 | 1.000 |
| 10 | 1.000 | 0.983 | 0.064 | 0.667 | 0.234 | 1.000 | 0.369 | 0.995 |
| 11 | 1.000 | 0.910 | 0.413 | 0.364 | 1.000 | 1.000 | 0.318 | 0.995 |
| 12 | 1.000 | 0.981 | 0.132 | 0.617 | 0.434 | 0.798 | 1.000 | 0.977 |
| 13 | 1.000 | 0.979 | 0.131 | 0.212 | 0.435 | 0.798 | 1.000 | 0.970 |
| 14 | 1.000 | 0.925 | 0.012 | 0.567 | 0.552 | 1.000 | 0.567 | 0.942 |
| 15 | 0.999 | 0.953 | 0.367 | 0.580 | 0.580 | 1.000 | 0.885 | 1.000 |
| 16 | 0.993 | 0.983 | 0.265 | 0.458 | 1.000 | 0.708 | 0.458 | 1.000 |
| 17 | 1.000 | 0.999 | 0.853 | 0.713 | 0.762 | 0.707 | 1.000 | 0.997 |
| 18 | 1.000 | 0.998 | 0.828 | 0.680 | 0.758 | 0.652 | 1.000 | 0.999 |
| 19 | 0.998 | 0.998 | 0.837 | 0.636 | 0.763 | 0.706 | 1.000 | 1.000 |
| 20 | 1.000 | 0.999 | 0.876 | 0.769 | 0.826 | 0.769 | 1.000 | 0.996 |
| 21 | 1.000 | 0.994 | 0.246 | 0.844 | 0.402 | 1.000 | 0.470 | 1.000 |
| 22 | 1.000 | 0.995 | 0.603 | 0.684 | 0.750 | 0.276 | 1.000 | 0.990 |
| 23 | 0.994 | 0.992 | 0.416 | 0.184 | 0.175 | 0.183 | 1.000 | 1.000 |
| 24 | 1.000 | 0.994 | 0.280 | 0.280 | 0.370 | 0.017 | 1.000 | 0.9790 |
| 25 | 1.000 | 0.934 | 0.743 | 0.499 | 0.553 | 0.703 | 1.000 | 0.989 |
| 26 | 1.000 | 0.980 | 0.687 | 0.883 | 0.907 | 0.516 | 1.000 | 0.998 |
| 27 | 1.000 | 0.993 | 0.874 | 0.812 | 0.836 | 0.798 | 1.000 | 0.995 |
| 28 | 1.000 | 0.999 | 0.871 | 0.758 | 0.807 | 0.797 | 1.000 | 1.000 |
| 29 | 0.999 | 0.998 | 0.853 | 0.808 | 0.808 | 0.769 | 1.000 | 1.000 |
| 30 | 1.000 | 0.989 | 0.815 | 0.781 | 0.774 | 0.709 | 1.000 | 0.993 |
| 31 | 0.998 | 0.988 | 0.816 | 0.727 | 0.762 | 0.679 | 1.000 | 1.000 |
| 32 | 0.999 | 0.998 | 0.835 | 0.769 | 0.785 | 0.767 | 1.000 | 1.000 |
| 33 | 1.000 | 0.967 | 0.455 | 0.660 | 0.597 | 0.018 | 1.000 | 0.997 |
| 34 | 1.000 | 0.993 | 0.675 | 0.810 | 0.848 | 0.273 | 1.000 | 0.998 |
| 35 | 0.999 | 0.989 | 0.752 | 0.837 | 0.582 | 0.345 | 1.000 | 1.000 |
| 36 | 1.000 | 0.928 | 0.533 | 0.110 | 0.285 | 1.000 | 0.708 | 0.974 |
| 37 | 1.000 | 0.984 | 0.331 | 0.582 | 0.507 | 1.000 | 0.633 | 0.985 |
| 38 | 0.997 | 0.995 | 0.514 | 0.757 | 0.446 | 0.263 | 1.000 | 1.000 |
| 39 | 0.999 | 0.996 | 0.604 | 0.542 | 0.569 | 0.400 | 1.000 | 1.000 |
| 40 | 1.000 | 0.997 | 0.410 | 0.644 | 0.394 | 0.096 | 1.000 | 0.995 |
| 41 | 1.000 | 0.999 | 0.889 | 0.962 | 0.841 | 0.836 | 1.000 | 0.998 |
| 42 | 0.993 | 0.989 | 0.414 | 0.442 | 0.333 | 0.082 | 1.000 | 1.000 |
| 43 | 1.000 | 0.986 | 0.019 | 0.301 | 0.618 | 0.265 | 1.000 | 0.977 |
| 45 | 1.000 | 1.000 | 0.924 | 0.954 | 0.945 | 1.000 | 0.617 | 1.000 |
| 45 | 1.000 | 0.990 | 0.433 | 0.259 | 0.524 | 0.059 | 1.000 | 0.992 |
| 46 | 1.000 | 0.976 | 0.205 | 0.392 | 0.257 | 1.000 | 0.033 | 0.991 |
| 47 | 1.000 | 0.986 | 0.695 | 0.324 | 0.635 | 0.514 | 1.000 | 0.999 |
| 48 | 1.000 | 0.990 | 0.830 | 0.629 | 0.799 | 0.750 | 1.000 | 0.997 |
| 49 | 1.000 | 0.990 | 0.798 | 0.553 | 0.760 | 0.694 | 1.000 | 0.993 |
| 51 | 1.000 | 0.987 | 0.711 | 0.365 | 0.657 | 0.563 | 1.000 | 0.993 |
| 51 | 1.000 | 0.898 | 0.787 | 0.137 | 0.150 | 0.712 | 1.000 | 0.932 |
| 52 | 1.000 | 0.949 | 0.036 | 0.545 | 0.445 | 1.000 | 0.277 | 0.987 |
| 53 | 1.000 | 0.939 | 0.133 | 0.829 | 0.232 | 1.000 | 0.628 | 0.967 |
| 54 | 1.000 | 0.982 | 0.570 | 0.167 | 0.659 | 0.279 | 1.000 | 1.000 |
| Sample Number | Actual Value | Predictive Value | Error | ||||||
|---|---|---|---|---|---|---|---|---|---|
| 1 | 1 | 0 | 0 | 0 | 1.0323 | 0.0366 | 0.0356 | 0.0030 | 0.5% |
| 2 | 0 | 0 | 1 | 0 | 0.0524 | 0.1953 | 0.9481 | 0.0667 | 0.2% |
| 3 | 0 | 0 | 0 | 1 | 0.0081 | 0.2105 | 0.0158 | 0.9531 | 0.6% |
| 4 | 0 | 0 | 0 | 1 | 0.0758 | 0.2103 | 0.0406 | 0.9659 | 2.5% |
| 5 | 1 | 0 | 0 | 0 | 1.0478 | 0.2342 | 0.0339 | 0.2317 | 0.8% |
| 6 | 1 | 0 | 0 | 0 | 1.0489 | 0.0696 | 0.1896 | 0.0642 | 0.7% |
| 7 | 0 | 1 | 0 | 0 | 0.1145 | 1.0945 | 0.0374 | 0.0337 | 0.6% |
| 8 | 1 | 0 | 0 | 0 | 0.9673 | 0.3092 | 0.0422 | 0.0443 | 2.2% |
| 9 | 0 | 0 | 0 | 1 | 0.0918 | 0.0512 | 0.1962 | 1.0266 | 0.6% |
| 10 | 0 | 0 | 0 | 1 | 0.0752 | 0.0833 | 0.0209 | 1.0914 | 1.8% |
| 11 | 0 | 0 | 0 | 1 | 0.0293 | 0.2429 | 0.0194 | 0.9601 | 1.3% |
| 12 | 1 | 0 | 0 | 0 | 1.0302 | 0.2388 | 0.0558 | 0.0764 | 0.3% |
| 13 | 1 | 0 | 0 | 0 | 0.9711 | 0.2089 | 0.0480 | 0.3424 | 0.3% |
| 14 | 1 | 0 | 0 | 0 | 0.9865 | 0.0538 | 0.0670 | 0.1878 | 1.2% |
| 15 | 0 | 0 | 0 | 1 | 0.0209 | 0.2636 | 0.0014 | 0.9606 | 1.0% |
| 16 | 0 | 0 | 0 | 1 | 0.0847 | 0.0299 | 0.0434 | 0.9824 | 2.0% |
| 17 | 0 | 0 | 0 | 1 | 0.3618 | 0.2470 | 0.1938 | 0.9189 | 1.5% |
| 18 | 0 | 0 | 1 | 0 | 0.0325 | 0.0948 | 1.1287 | 0.0322 | 3.1% |
| 19 | 0 | 0 | 0 | 1 | 0.0057 | 0.0249 | 0.1771 | 0.9764 | 2.5% |
| 20 | 0 | 0 | 0 | 1 | 0.3223 | 0.2309 | 0.0500 | 1.0462 | 1.7% |
| 21 | 1 | 0 | 0 | 0 | 1.1517 | 0.1701 | 0.0186 | 0.4066 | 0.9% |
| 22 | 0 | 0 | 0 | 1 | 0.0044 | 0.0317 | 0.2256 | 1.1242 | 0.5% |
| 23 | 1 | 0 | 0 | 0 | 1.1481 | 0.2136 | 0.0531 | 0.0356 | 0.3% |
| 24 | 1 | 0 | 0 | 0 | 0.9817 | 0.0341 | 0.0399 | 0.0888 | 1.2% |
| 25 | 1 | 0 | 0 | 0 | 0.9511 | 0.2632 | 0.0954 | 0.3807 | 1.5% |
| 26 | 0 | 0 | 0 | 1 | 0.3125 | 0.0374 | 0.2708 | 1.0236 | 0.5% |
| 27 | 1 | 0 | 0 | 0 | 1.0945 | 0.1763 | 0.0556 | 0.1471 | 0.4% |
| 28 | 0 | 0 | 0 | 1 | 0.1113 | 0.2537 | 0.0143 | 0.9117 | 0.6% |
| 29 | 0 | 0 | 0 | 1 | 0.1085 | 0.2106 | 0.0484 | 0.2079 | 3.2% |
| 30 | 1 | 0 | 0 | 0 | 0.9495 | 0.1847 | 0.1203 | 0.3937 | 0.4% |
| 31 | 1 | 0 | 0 | 0 | 1.1025 | 0.2556 | 0.0029 | 0.2041 | 1.3% |
| 32 | 0 | 0 | 1 | 0 | 0.1315 | 0.0895 | 1.0778 | 0.1361 | 0.5% |
| 33 | 0 | 0 | 0 | 1 | 0.3289 | 0.3344 | 0.0241 | 0.2299 | 2.2% |
| 34 | 0 | 0 | 0 | 1 | 0.1908 | 0.0543 | 0.1349 | 0.9842 | 1.2% |
| 35 | 1 | 0 | 0 | 0 | 1.0539 | 0.0071 | 0.2508 | 0.3960 | 0.8% |
| 36 | 1 | 0 | 0 | 0 | 1.1564 | 0.0238 | 0.2560 | 0.3913 | 6.1% |
| 37 | 1 | 0 | 0 | 0 | 0.2317 | 0.0826 | 0.1567 | 0.0636 | 0.6% |
| 38 | 0 | 0 | 1 | 0 | 0.3396 | 0.0003 | 1.0133 | 0.0363 | 0.4% |
| 39 | 0 | 0 | 0 | 1 | 0.0323 | 0.0366 | 0.1356 | 1.0230 | 2.1% |
| 40 | 0 | 1 | 0 | 0 | 0.0524 | 0.9953 | 0.0481 | 0.0667 | 0.1% |
| 41 | 0 | 0 | 0 | 1 | 0.0081 | 0.0105 | 0.0158 | 0.9531 | 0.5% |
| 42 | 0 | 0 | 0 | 1 | 0.0758 | 0.2103 | 0.3406 | 0.9659 | 0.4% |
| 43 | 0 | 0 | 0 | 1 | 0.0511 | 0.0632 | 0.0954 | 0.9807 | 0.6% |
| 44 | 1 | 0 | 0 | 0 | 0.9825 | 0.0374 | 0.2708 | 0.0236 | 3.2% |
| 45 | 0 | 0 | 0 | 1 | 0.0945 | 0.1763 | 0.0556 | 0.9471 | 0.4% |
| 46 | 0 | 1 | 0 | 0 | 0.1113 | 1.0537 | 0.0143 | 0.2117 | 1.3% |
| 47 | 1 | 0 | 0 | 0 | 1.1085 | 0.2106 | 0.0484 | 0.2079 | 0.5% |
| 48 | 1 | 0 | 0 | 0 | 0.9495 | 0.1847 | 0.1203 | 0.3937 | 2.2% |
| 49 | 1 | 0 | 0 | 0 | 1.1025 | 0.2556 | 0.0029 | 0.2041 | 1.2% |
| 50 | 1 | 0 | 0 | 0 | 1.1315 | 0.0895 | 0.0778 | 0.1361 | 0.8% |
| 51 | 0 | 0 | 0 | 1 | 0.0289 | 0.3344 | 0.0241 | 0.9299 | 0.6% |
| 52 | 0 | 0 | 1 | 0 | 0.0308 | 0.0543 | 0.9349 | 0.0842 | 0.8% |
| 53 | 0 | 0 | 0 | 1 | 0.0539 | 0.0071 | 0.2508 | 0.9960 | 1.6% |
| 54 | 1 | 0 | 0 | 0 | 0.9564 | 0.0238 | 0.0560 | 0.3913 | 2.3% |
| Sample | Freeze-Thaw Coefficient | Hydrogeology | Unit Weight (kN/m3) | Cohesion C (MPa) | Internal Friction Angle φ (°) | Slope Gradient (°) | Slope Height (m) | Porosity (%) |
|---|---|---|---|---|---|---|---|---|
| 1 | 0.88 | 2 | 25 | 8.2 | 28.8 | 65 | 122 | 1.96 |
| 2 | 0.83 | 2 | 23.7 | 7.3 | 31 | 27 | 185 | 1.25 |
| 3 | 0.76 | 2 | 28.4 | 18.2 | 28.3 | 28 | 137 | 0.7 |
| 4 | 0.92 | 2 | 24.1 | 11.1 | 29.6 | 37 | 240 | 1.23 |
| 5 | 0.9 | 2 | 24.8 | 3.2 | 37.9 | 36 | 185 | 0.8 |
| 6 | 0.94 | 2 | 29.2 | 17.7 | 33.3 | 38 | 180 | 0.68 |
| 7 | 0.36 | 1 | 25.3 | 6.8 | 30.6 | 55 | 80 | 1.94 |
| 8 | 0.28 | 1 | 24.2 | 4.5 | 35.1 | 60 | 85 | 0.8 |
| 9 | 0.7 | 1 | 23.8 | 4.3 | 32.4 | 52 | 40 | 1.65 |
| 10 | 0.72 | 1 | 27.2 | 11.1 | 30.4 | 31 | 73 | 0.73 |
| 11 | 0.75 | 1 | 26.4 | 9 | 31 | 35 | 30 | 0.75 |
| 12 | 0.8 | 1 | 27 | 12.3 | 33 | 41 | 55 | 1.1 |
| 13 | 0.79 | 1 | 29.6 | 8.5 | 32.2 | 43 | 35 | 1 |
| Sample Number | MATLAB Algorithm Prediction Results | Slope Grade | |||
|---|---|---|---|---|---|
| 1 | 0.0759 | 0.0378 | 0.0457 | 1.0286 | I |
| 2 | 0.1556 | 0.9543 | 0.1673 | 0.1744 | III |
| 3 | 1.0885 | 0.0844 | 0.2401 | 0.9332 | I |
| 4 | 0.1281 | 0.3648 | 0.3191 | 0.1930 | IV |
| 5 | 0.3929 | 0.4178 | 0.1265 | 0.7675 | II |
| 6 | 0.4028 | 0.3458 | 0.1476 | 0.9204 | I |
| 7 | 0.5088 | 0.0963 | 0.8371 | 0.2608 | II |
| 8 | 0.3147 | 0.4021 | 0.3597 | 0.3112 | I |
| 9 | 0.5993 | 0.1380 | 0.8891 | 0.2342 | IV |
| 10 | 0.1224 | 0.0445 | 0.9446 | 0.1536 | I |
| 11 | 0.2659 | 0.0408 | 0.6098 | 0.1285 | III |
| 12 | 0.5896 | 0.2179 | 0.7807 | 0.1128 | III |
| 13 | 0.5292 | 0.1991 | 0.7404 | 0.1057 | II |
| Grade and Status of Slope Geological Conditions | |
|---|---|
| 1, 3, 6, 8, 10 | Grade I: good geological conditions, not easy to damage |
| 5, 7, 13 | Grade II: Good geological conditions, with potential damage factors |
| 2, 11, 12 | Grade III: The geological conditions are poor, which may cause damage |
| 4, 9 | Grade IV: Poor geological conditions, easy to cause damage |
Publisher’s Note: MDPI stays neutral with regard to jurisdictional claims in published maps and institutional affiliations. |
© 2021 by the authors. Licensee MDPI, Basel, Switzerland. This article is an open access article distributed under the terms and conditions of the Creative Commons Attribution (CC BY) license (https://creativecommons.org/licenses/by/4.0/).
Share and Cite
Zhang, R.; Wu, S.; Xie, C.; Chen, Q. Study on the Geological Condition Analysis and Grade Division of High Altitude and Cold Stope Slope. Sustainability 2021, 13, 12464. https://doi.org/10.3390/su132212464
Zhang R, Wu S, Xie C, Chen Q. Study on the Geological Condition Analysis and Grade Division of High Altitude and Cold Stope Slope. Sustainability. 2021; 13(22):12464. https://doi.org/10.3390/su132212464
Chicago/Turabian StyleZhang, Ruichong, Shiwei Wu, Chenyu Xie, and Qingfa Chen. 2021. "Study on the Geological Condition Analysis and Grade Division of High Altitude and Cold Stope Slope" Sustainability 13, no. 22: 12464. https://doi.org/10.3390/su132212464
APA StyleZhang, R., Wu, S., Xie, C., & Chen, Q. (2021). Study on the Geological Condition Analysis and Grade Division of High Altitude and Cold Stope Slope. Sustainability, 13(22), 12464. https://doi.org/10.3390/su132212464

