Contributions of Seasonal Rainfall to Recent Trends in Cameroon’s Cotton Yields
Abstract
1. Introduction
2. Study Area, Data and Method
2.1. Study Area and Data
2.2. Method
2.2.1. Precipitation Indices
2.2.2. Statistical Analyses
3. Results and Discussions
3.1. Spatial Pattern of Seasonal Rainfall Indices
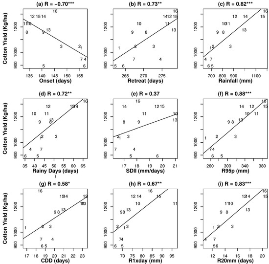
3.2. General Response of Cotton Yields to Seasonal Rainfall Indices
3.3. Analysis of Cotton Yield and Seasonal Rainfall Trends
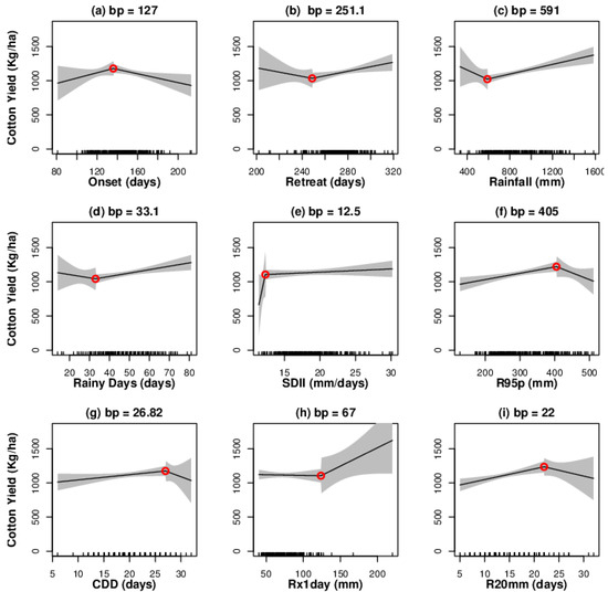
3.4. Critical Points for Cotton Yield
4. Conclusions
Author Contributions
Funding
Institutional Review Board Statement
Informed Consent Statement
Data Availability Statement
Acknowledgments
Conflicts of Interest
References
- Folefack, D.P.; Klassou, C.E.L.E.S.T.I.N.; Enam, J.E.A.N. Price adjustments to cotton crisis in Cameroon: Factors and consequences of farmers’ adaptations. Life Sci. Int. J. Spec. Ed. Cotton Policies 2009, 1, 89–99. [Google Scholar]
- Bella-Medjo (Tsogo), M. Analyse Multi-Échelle de la Variabilité Pluviométrique au Cameroun et ses Conséquences sur le Rendement du Coton. Ph.D. Thesis, Université Pierre et Marie Curie, Paris, France, 2009. [Google Scholar]
- Folefack, D.P.; Bakwowi, J.N.; Kpade, P.C. La crise de la filière cotonnière et sécurité alimentaire au Nord Cameroun. J. Appl. Biosci. 2014, 75, 6221–6231. [Google Scholar] [CrossRef][Green Version]
- Sanogo, S.; Fink, A.H.; Omotosho, J.A.; Ba, A.; Redl, R.; Ermert, V. Spatio-temporal characteristics of the recent rainfall recovery in West Africa. Int. J. Climatol. 2015, 35, 4589–4605. [Google Scholar] [CrossRef]
- MINADER. Ministry of Agriculture and Rural Development. 2012. Available online: https://www.mard.gov.vn/en/Pages/default.aspx (accessed on 20 October 2021).
- Blanc, E.; Quirion, P.; Strobl, E. The climatic determinants of cotton yields: Evidence from a plot in West Africa. Agric. For. Meteorol. 2008, 148, 1093–1100. [Google Scholar] [CrossRef][Green Version]
- Sultan, B.; Bella-Medjo, M.; Berg, A.; Quirion, P.; Janicot, S. Multi-scales and multi-sites analyses of the role of rainfall in cotton yields in West Africa. Int. J. Climatol. A J. R. Meteorol. Soc. 2010, 30, 58–71. [Google Scholar] [CrossRef]
- Leblois, A.; Quirion, P.; Sultan, B. Price vs. weather shock hedging for cash crops: Ex ante evaluation for cotton producers in Cameroon. Ecol. Econ. 2014, 101, 67–80. [Google Scholar] [CrossRef]
- Gérardeaux, E.; Loison, R.; Palaï, O.; Sultan, B. Adaptation strategies to climate change using cotton (Gossypium hirsutum L.) ideotypes in rainfed tropical cropping systems in Sub-Saharan Africa. A modeling approach. Field Crop. Res. 2018, 226, 38–47. [Google Scholar] [CrossRef]
- Njouenwet, I.; Vondou, D.A.; Dassou, E.F.; Ayugi, B.O.; Nouayou, R. Assessment of agricultural drought during crop-growing season in the Sudano–Sahelian region of Cameroon. Nat. Hazards 2021, 106, 561–577. [Google Scholar] [CrossRef]
- Zhang, W.; Brandt, M.; Tong, X.; Tian, Q.; Fensholt, R. Impacts of the seasonal distribution of rainfall on vegetation productivity across the Sahel. Biogeosciences 2018, 15, 319–330. [Google Scholar] [CrossRef]
- Djoufack, V.; Fontaine, B.; Martiny, N.; Tsaléfac, M. Climatic and demographic determinants of vegetation cover in northern Cameroon. Int. J. Remote Sens. 2012, 33, 6904–6926. [Google Scholar] [CrossRef]
- Thompson, L.M. Weather variability, climatic change, and grain production. Science 1975, 188, 535–541. [Google Scholar] [CrossRef] [PubMed]
- Bell, M.A.; Fischer, R.A.; Byerlee, D.; Sayre, K. Genetic and agronomic contributions to yield gains: A case study for wheat. Field Crop. Res. 1995, 44, 55–65. [Google Scholar] [CrossRef]
- Nicholls, N. Increased Australian wheat yield due to recent climate trends. Nature 1997, 387, 484–485. [Google Scholar] [CrossRef]
- Lobell, D.B.; Asner, G.P. Climate and management contributions to recent trends in U. S. agricultural yields. Science 2003, 299, 1032. [Google Scholar] [CrossRef]
- Liebmann, B.; Camargo, S.J.; Seth, A.; Marengo, J.A.; Carvalho, L.M.; Allured, D.; Vera, C.S. Onset and End of the Rainy Season in South America in Observations and the ECHAM 4.5 Atmospheric General Circulation Model. J. Clim. 2007, 20, 2037–2050. [Google Scholar] [CrossRef]
- Muggeo, V.M. Estimating regression models with unknown break-points. Stat. Med. 2003, 22, 3055–3071. [Google Scholar] [CrossRef]
- Brandt, M.; Tappan, G.; Diouf, A.A.; Beye, G.; Mbow, C.; Fensholt, R. Woody vegetation die off and regeneration in response to rainfall variability in the West African Sahel. Remote Sens. 2017, 9, 39. [Google Scholar] [CrossRef]
- Mboka, J.J.M.; Kouna, S.B.; Chouto, S.; Djuidje, F.K.; Nguy, E.B.; Fotso-Kamga, G.; Yepdo, Z.D. Simulated impact of global warming on extreme rainfall events over Cameroon during the 21st century. Weather 2020, 76, 1–7. [Google Scholar] [CrossRef]






| Cotton Regions | Stations | Latitude (°N) | Longitude (°E) | Altitude (m) |
|---|---|---|---|---|
| Maroua Nord | Guetale | 10.07 | 13.91 | 490 |
| Maroua Sud | Maroua | 10.58 | 14.30 | 428 |
| Hina-Marbak | 10.37 | 13.85 | 544 | |
| Kaélé | Guidiguis | 10.10 | 14.71 | 362 |
| Kaélé | 10.08 | 14.43 | 388 | |
| Tchatibali | Tchatibali | 10.05 | 14.91 | 815 |
| Yagoua | 10.35 | 15.23 | 325 | |
| Guider | Bidzar | 9.9 | 14.12 | 470 |
| Guider | 9.03 | 13.95 | 356 | |
| Garoua | Pitoa | 9.34 | 13.53 | 274 |
| Garoua | 8.56 | 13.05 | 213 | |
| Ngong | Fignole | 8.57 | 13.05 | 523 |
| Mayo-Galké | Bere | 9.01 | 14.23 | 238 |
| Madingring | 8.45 | 15.00 | 430 | |
| Tchollire | 8.4 | 14.16 | 392 | |
| Touboro | Touboro | 7.67 | 15.37 | 500 |
| Index name | Definitions | Units |
|---|---|---|
| Onset of wet season (onset) | The minimum value in the accumulative anomaly of daily rainfall | Day of year |
| Retreat of wet season (retreat) | The maximum value of the accumulative anomaly of daily rainfall | Day of year |
| Seasonal rainfall amount | Rainfall amount during the wet season | mm/y |
| Rainy days | Number of days with rainfall >1 mm between the onset and the retreat of the wet season | Days |
| Rainfall intensity (SDII) | Ratio of annual total rainfall and number of rainy days >1 mm | mm day−1 |
| Heavy-rainfall events (R95p) | Sum of annual rainfall events exceeding the (2000–2012) 95th percentile | mm |
| Consecutive dry days (CDD) | Maximum number of consecutive days with rainfall < 1 mm during wet season | Days |
| Maximum 1 day precipitation (Rx1day) | Annual highest daily precipitation | mm |
| Heavy precipitation days (R20mm) | Annual count of days with daily precipitation totals above 20 mm | Days |
| Percentage of Stations with | |||||
|---|---|---|---|---|---|
| Seasonal Indices | m ± Δm | Positive Trend | Significant Positive Trend | Negative Trend | Significant Negative Trend |
| Onset date | 44 | 14.29 | 56.25 | 11.11 | |
| Retreat date | 25 | 0 | 75 | 33.33 | |
| Rainfall amount | 18.75 | 0 | 81.25 | 23.08 | |
| Rainy days | 25 | 0 | 75 | 25 | |
| Rainfall intensity | 68.75 | 27.27 | 31.25 | 0 | |
| R95p | 56.25 | 11.11 | 43.75 | 14.29 | |
| CDD | 43.75 | 0 | 56.25 | 11.11 | |
| Rx1day | 50 | 12.50 | 50 | 12.50 | |
| R20mm | 43.75 | 0 | 56.25 | 11.11 | |
Publisher’s Note: MDPI stays neutral with regard to jurisdictional claims in published maps and institutional affiliations. |
© 2021 by the authors. Licensee MDPI, Basel, Switzerland. This article is an open access article distributed under the terms and conditions of the Creative Commons Attribution (CC BY) license (https://creativecommons.org/licenses/by/4.0/).
Share and Cite
Njouenwet, I.; Vondou, D.A.; Ashu, S.V.N.; Nouayou, R. Contributions of Seasonal Rainfall to Recent Trends in Cameroon’s Cotton Yields. Sustainability 2021, 13, 12086. https://doi.org/10.3390/su132112086
Njouenwet I, Vondou DA, Ashu SVN, Nouayou R. Contributions of Seasonal Rainfall to Recent Trends in Cameroon’s Cotton Yields. Sustainability. 2021; 13(21):12086. https://doi.org/10.3390/su132112086
Chicago/Turabian StyleNjouenwet, Ibrahim, Derbetini Appolinaire Vondou, Stephanie Vanessa Ngono Ashu, and Robert Nouayou. 2021. "Contributions of Seasonal Rainfall to Recent Trends in Cameroon’s Cotton Yields" Sustainability 13, no. 21: 12086. https://doi.org/10.3390/su132112086
APA StyleNjouenwet, I., Vondou, D. A., Ashu, S. V. N., & Nouayou, R. (2021). Contributions of Seasonal Rainfall to Recent Trends in Cameroon’s Cotton Yields. Sustainability, 13(21), 12086. https://doi.org/10.3390/su132112086

