Outdoor Thermal Comfort Optimization through Vegetation Parameterization: Species and Tree Layout
Abstract
:1. Introduction
2. Case Study
3. Methods and Materials
3.1. On-Site Measurements
- ▪
- Measurement of air temperature and relative humidity carried out using a Ø 12 mm probe, with a high resolution of 0.01 and an accuracy of ±0.03% RH and ±0.2 °C (+15 to +30 °C);
- ▪
- Wind velocity measurement carried out using a Ø 16 mm fan-assisted measuring probe (max. 960 mm scale) with an accuracy of ±0.2 m/s.
3.2. Atmospheric Simulation
3.2.1. The Simulation’s Boundary Conditions
3.2.2. Generic Scenarios
4. Findings and Analysis
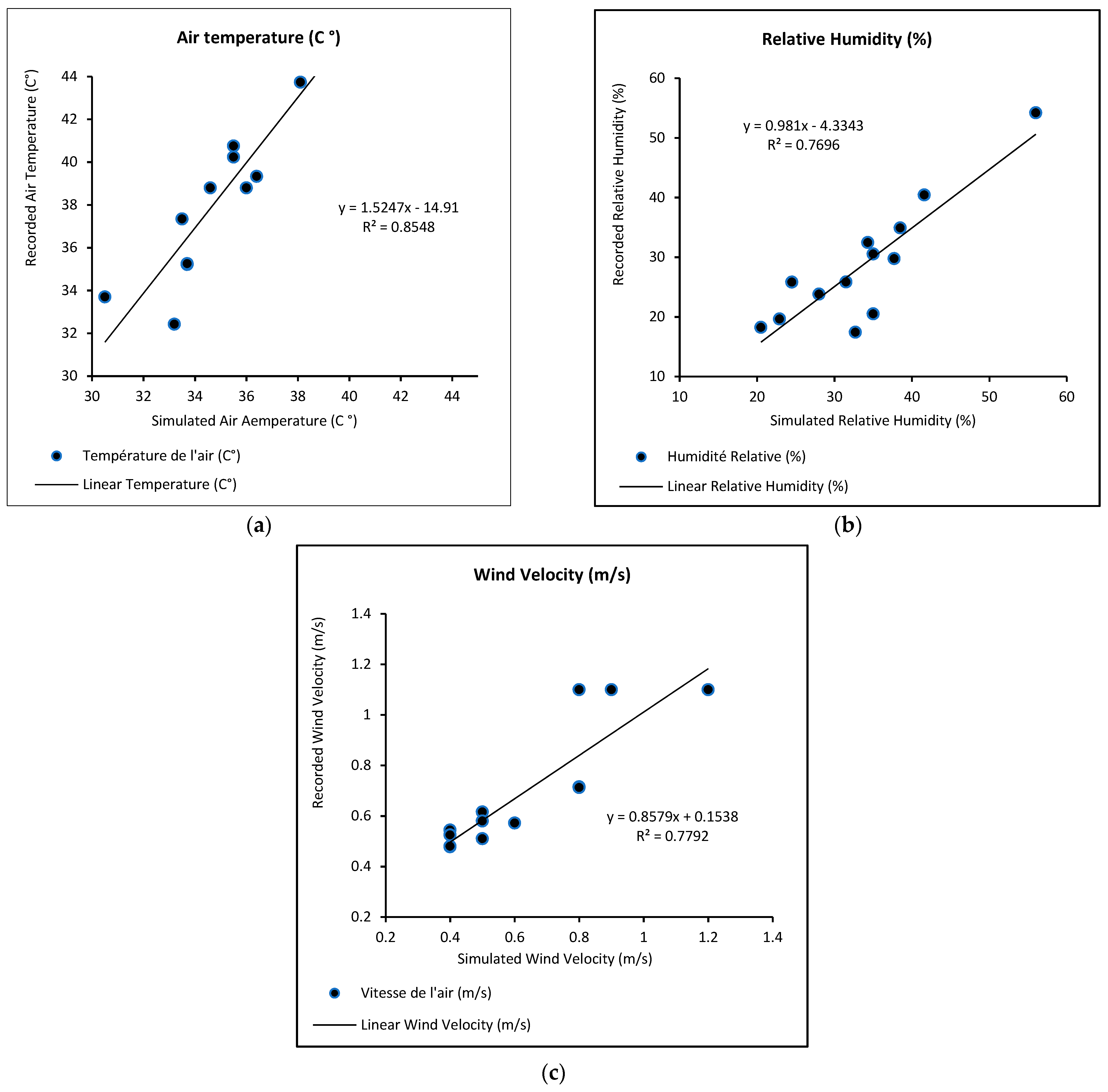
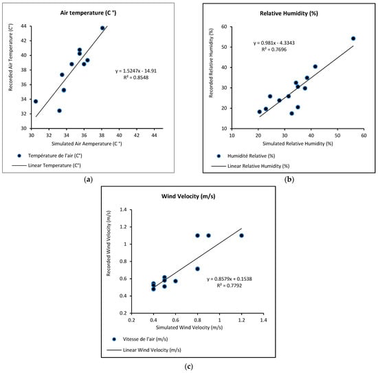
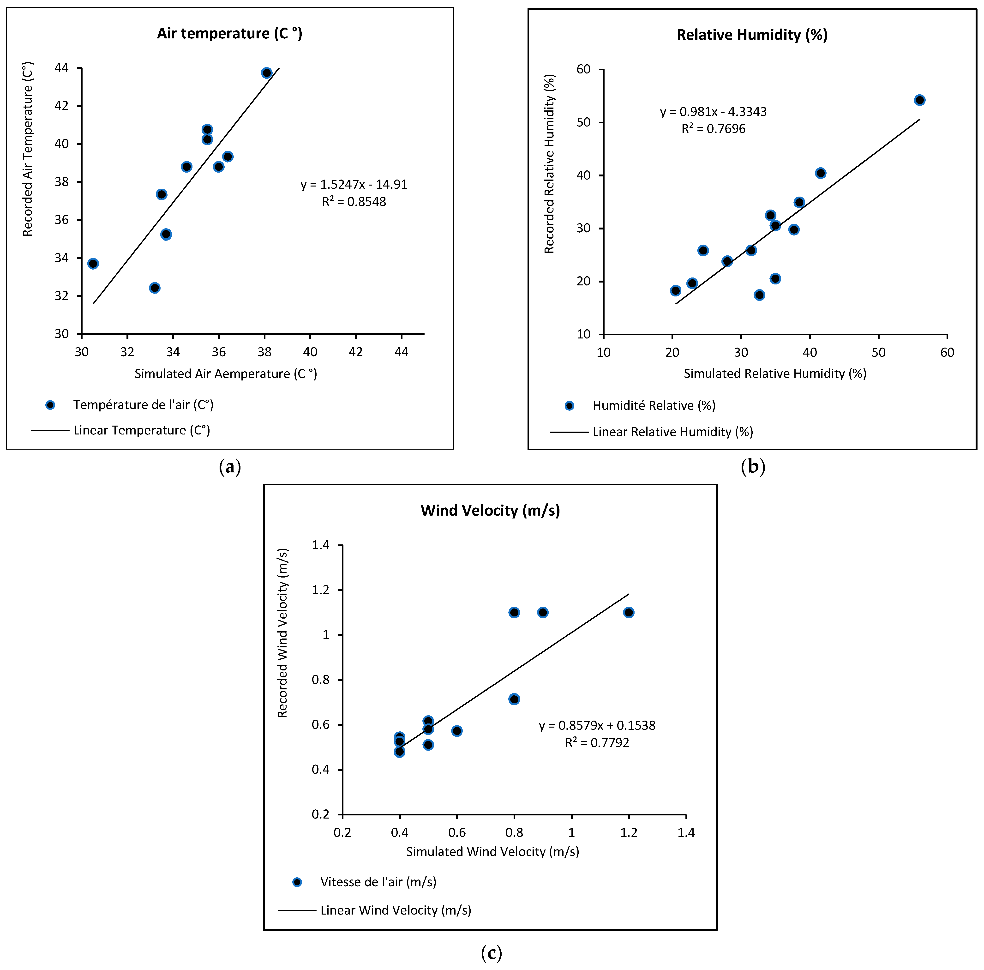
4.1. Atmospheric Model Validation
4.2. Outdoor Thermal Comfort Optimization
4.3. Effect of Tree Species on Outdoor Thermal Comfort
4.3.1. Ficus Trees
4.3.2. Palm Trees
4.3.3. Effect of Tree Layout on Outdoor Thermal Comfort
4.4. Effect of Tree Layout on Outdoor Thermal Comfort
4.4.1. Hydrodynamic Obstruction Effect
4.4.2. Shading Effect
4.5. Limitations
5. Conclusions
Author Contributions
Funding
Institutional Review Board Statement
Informed Consent Statement
Data Availability Statement
Acknowledgments
Conflicts of Interest
References
- United Nations. 68% of the World Population Projected to Live in Urban Areas by 2050, Says UN. Available online: https://www.un.org/development/desa/en/news/population/2018-revision-of-world-urbanization-prospects.html (accessed on 6 February 2021).
- Nuruzzaman, M. Urban Heat Island: Causes, Effects and Mitigation Measures—A Review. Int. J. Environ. Monit. Anal. 2015, 3, 67–73. [Google Scholar] [CrossRef] [Green Version]
- Hammadi, T. The role of urban landscape design in enhancing people’s outdoor places and spaces. Int. J. Adv. Res. 2017, 5, 1084–1099. [Google Scholar] [CrossRef] [Green Version]
- Sayad, B.; Alkama, D.; Rebhi, R.; Kidar, A.; Lorenzini, G.; Ahmad, H.; Menni, Y. Enhanced Outdoor Thermal Comfort Through Natural Design Technique: In-Situ Measurement and Microclimate Simulation. Instrum. Mes. Métrol. 2021, 20, 131–136. [Google Scholar] [CrossRef]
- Bandurski, K.; Bandurska, H.; Kazimierczak-Grygiel, E.; Koczyk, H. The Green structure for outdoor places in dry, hot regions and seasons—Providing HUMAN THERMAL COMFORT in sustainable Cities. Energies 2020, 13, 2755. [Google Scholar] [CrossRef]
- Kamel, T.M. A new comprehensive workflow for modelling outdoor thermal comfort in Egypt. Sol. Energy 2021, 225, 162–172. [Google Scholar] [CrossRef]
- Altunkasa, C.; Uslu, C. Use of outdoor microclimate simulation maps for a planting design to improve thermal comfort. Sustain. Cities Soc. 2020, 57, 102137. [Google Scholar] [CrossRef]
- Lee, V.; Zermoglio, F.; Ebi, K.L. Heat Waves and Human Health Emerging Evidence and Experience to Inform Risk Management in a Warming World; Technical Report; United States Agency for International Development USAID: Washington, DC, USA, 2019. Available online: https://www.climatelinks.org/projects/atlas (accessed on 13 February 2019).
- Grassi, B.; Piana, E.A.; Beretta, G.P.; Pilotelli, M. Dynamic approach to evaluate the effect of reducing district heating temperature on indoor thermal comfort. Energies 2021, 14, 25. [Google Scholar] [CrossRef]
- Kwon, Y.J.; Lee, D.K.; Lee, K. Determining favourable and unfavourable thermal areas in seoul using in-situ measurements: A preliminary step towards developing a smart city. Energies 2019, 12, 2320. [Google Scholar] [CrossRef] [Green Version]
- Lam, C.K.C.; Gao, Y.; Yang, H.; Chen, T.; Zhang, Y.; Ou, C.; Hang, J. Interactive effect between long-term and short-term thermal history on outdoor thermal comfort: Comparison between Guangzhou, Zhuhai and Melbourne. Sci. Total Environ. 2021, 760, 144141. [Google Scholar] [CrossRef]
- Moreno-Rangel, A.; Sharpe, T.; McGill, G.; Musau, F. Thermal comfort assessment of the first residential Passivhaus in Latin America. J. Build. Eng. 2021, 43, 103081. [Google Scholar] [CrossRef]
- Xie, Y.; Niu, J.; Zhang, H.; Liu, S.; Liu, J.; Huang, T.; Li, J.; Mak, C.M. Development of a multi-nodal thermal regulation and comfort model for the outdoor environment assessment. Build. Environ. 2020, 176, 106809. [Google Scholar] [CrossRef]
- Lai, D.; Liu, W.; Gan, T.; Liu, K.; Chen, Q. A review of mitigating strategies to improve the thermal environment and thermal comfort in urban outdoor spaces. Sci. Total Environ. 2019, 661, 337–353. [Google Scholar] [CrossRef]
- Gachkar, D.; Taghvaei, S.H.; Norouzian-Maleki, S. Outdoor thermal comfort enhancement using various vegetation species and materials (case study: Delgosha Garden, Iran). Sustain. Cities Soc. 2021, 75, 103309. [Google Scholar] [CrossRef]
- Sayad, B.; Alkama, D. A combined approach to predict the human thermal comfort in downtown Guelma-Algeria. Int. J. Innov. Stud. Sociol. Humanit. 2021, 6, 1–14. [Google Scholar]
- Sayad, B.; Alkama, D.; Ahmad, H.; Baili, J.; Aljahdaly, N.H.; Menni, Y. Nature-based solutions to improve the summer thermal comfort outdoors. Case Stud. Therm. Eng. 2021, 28, 101399. [Google Scholar] [CrossRef]
- Coccolo, S.; Paoli, M.D.; Stracqualursi, A.; Andreucci, M.B. Design the urban microclimate: Nature-based solutions and technology at nexus. In Urban Services to Ecosystems. Future City; Catalano, C., Andreucci, M.B., Guarino, R., Bretzel, F., Leone, M., Pasta, S., Eds.; Springer: Cham, Switzerland, 2021; Volume 17. [Google Scholar] [CrossRef]
- Susca, T. Nature-based solutions applied to the built environment to alleviate climate change: Benefits, co-benefits, and trade-offs in a geographical multi-scale perspective. In Handbook of Climate Change Mitigation and Adaptation; Gabler: Wiesbaden, Germnay, 2021; pp. 1–52. [Google Scholar]
- Yilmaz, S.; Mutlu, B.E.; Aksu, A.; Mutlu, E.; Qaid, A. Street design scenarios using vegetation for sustainable thermal comfort in Erzurum, Turkey. Environ. Sci. Pollut. Res. 2021, 28, 3672–3693. [Google Scholar] [CrossRef] [PubMed]
- Meili, N.; Acero, J.A.; Peleg, N.; Manoli, G.; Burlando, P.; Fatichi, S. Vegetation cover and plant-trait effects on outdoor thermal comfort in a tropical city. Build. Environ. 2021, 195, 107733. [Google Scholar] [CrossRef]
- Fabbri, K.; Ugolini, A.; Lacovella, A.; Bianchi, P. The effect of vegetation in outdoor thermal comfort in archaeological area in urban context. Build. Environ. 2020, 175, 106816. [Google Scholar] [CrossRef]
- Yang, W.; Lin, Y.; Li, C.-Q. Effects of Landscape Design on Urban Microclimate and Thermal Comfort in Tropical Climate. Adv. Meteorol. 2018, 2018, 1–13. [Google Scholar] [CrossRef]
- Wang, Y.; Bakker, F.; De Groot, R.; Wortche, H.J.; Leemans, R. Effects of urban trees on local outdoor microclimate: Synthesizing field measurements by numerical modelling. Urban Ecosyst. 2015, 18, 1305–1331. [Google Scholar] [CrossRef] [Green Version]
- Ridha, S.; Ginestet, S.; Lorente, S. Effect of the shadings pattern and greenery strategies on the outdoor thermal comfort. Int. J. Eng. Technol. 2018, 10, 108–114. [Google Scholar] [CrossRef] [Green Version]
- Huang, Z.; Wu, C.; Teng, M.; Lin, Y. Impacts of tree canopy cover on microclimate and human thermal comfort in a shallow street canyon in Wuhan, China. Atmosphere 2020, 11, 588. [Google Scholar] [CrossRef]
- Zare, S.; Hasheminejad, N.; Shirvan, H.E.; Hemmatjo, R.; Sarebanzadeh, K.; Ahmadi, S. Comparing universal thermal climate index (UTCI) with selected thermal indices/environmental parameters during 12 months of the year. Weather Clim. Extrem. 2018, 19, 49–57. [Google Scholar] [CrossRef]
- Staiger, H.; Laschewski, G.; Matzarakis, A. Selection of appropriate thermal indices for applications in human biometeorological studies. Atmosphere 2019, 10, 18. [Google Scholar] [CrossRef] [Green Version]
- Fang, Z.; Zhang, Y.; Yang, Y.; Zhou, X.; Zheng, Z. Experimental investigation of standard effective temperature (SET*) adapted for human walking in an indoor and transitional thermal environment. Sci. Total Environ. 2021, 793, 148421. [Google Scholar] [CrossRef]
- Sharmin, T.; Steemers, K.; Humphreys, M. Outdoor thermal comfort and summer PET range: A field study in tropical city Dhaka. Energy Build. 2019, 198, 149–159. [Google Scholar] [CrossRef]
- Ghiai, M.M.; Arjmand, J.T.; Mohammadi, O.; Ahmadi, M.H.; Assad, M.E.H. Investigation and modeling of energy consumption of tall office buildings in Iran ’shot-arid’ and cold’ climate conditions. Int. J. Low Carbon Technol. 2021, 16, 21–34. [Google Scholar] [CrossRef]
- Esbati, S.; Amooie, M.A.; Sadeghzadeh, M.; Ahmadi, M.H.; Pourfayaz, F.; Ming, T. Investigating the effect of using PCM in building materials for energy saving: Case study of Sharif Energy Research Institute. Energy Sci. Eng. 2019, 8, 959–972. [Google Scholar] [CrossRef] [Green Version]
- Alayi, R.; Ahmadi, M.H.; Visei, A.R.; Sharma, S.; Najafi, A. Technical and environmental analysis of photovoltaic and solar water heater cogeneration system: A case study of Saveh City. Int. J. Low Carbon Technol. 2021, 16, 447–453. [Google Scholar] [CrossRef]
- Vakilabadi, M.A.; Afzalabadi, A.; Poorfar, A.K.; Rahbari, A.; Bidi, M.; Ahmadi, M.H.; Ming, T. Technical and economical evaluation of grid-connected renewable power generation system for a residential urban area. Int. J. Low Carbon Technol. 2019, 14, 10–22. [Google Scholar] [CrossRef]
- Khoshbazan, M.; Ahmadi, M.H.; Ming, T.; Arjmand, J.T.; Rahimzadeh, M. Thermo-economic analysis and multi-objective optimization of micro-CHP Stirling system for different climates of Iran. Int. J. Low Carbon Technol. 2018, 13, 388–403. [Google Scholar] [CrossRef]
- Belda, M.; Holtanová, E.; Halenka, T.; Kalvová, J. Climate classification revisited: From Köppen to Trewartha. Clim. Res. 2014, 59, 1–13. [Google Scholar] [CrossRef] [Green Version]
- Sayad, B.; Alkama, D. Microclimatic regulation of palm trees in semi-arid environment during heat stress. J. Fundam. Appl. Sci. 2021, 13, 694–707. [Google Scholar]
- Matzarakis, A.; Mayer, H. Atmospheric conditions and human thermal comfort in urban areas. In Proceedings of the 11th Seminar on Environmental Protection, Environment and Health, Thessaloniki, Greece, 20–23 November 2000; pp. 155–166. [Google Scholar]
- Sayad, B.; Alkama, D. Study of the microclimate behavior in spaces between buildings: Which strategy to adopt during cold season in Guelma’s public SPACES? Xiamen-Custipen Workshop on the Equation of State of Dense Neutron-Rich Matter in the Era of Gravitational Wave Astronomy. AIP Conf. Proc. 2019, 2123, 30007. [Google Scholar] [CrossRef]






| Simulation’s settings | City | Guelma (36°27′43 N; 7°25′33 E; 840 ft) |
| Climate | Semi-arid | |
| Simulation Date | 22 July 2019 | |
| Simulation Time | From 09:00 to 21:00 | |
| UTCI index Calculation | Biomet process | |
| Results visualization | Leonardo plug-in | |
| Configuration’s model | Building | Concrete walls with roof tile |
| Soil and surface | [PL] Concrete light [ST] Asphalt road | |
| Vegetation cover | [BS] Very dense tree, 12 m, Albedo 0.2 [T1] Dense tree, 8 m, Albedo 0.2 |
| Heat Exchanges by Radiation, Reflected and Diffuse, in W/m² | |||
|---|---|---|---|
| Shape and tree canopy | ![]() | ||
| Species | Washingtonia palms | Ficus Benjamina | Ficus Nitida |
| Reflected radiation | 281.41 | 405.29 | 409.05 |
| Diffuse radiation | 77.06 | 74.51 | 71.6 |
| Wind Velocity Charts at 2:00 p.m. | ||||
|---|---|---|---|---|
| Wind Velocity Variations (m/s) | Current Tree Layout | New Tree Layout | ||
| Souidani Boudjemaa Boulevard | Max | 1.2 | Current tree layout![]() | |
| Moy | 1.2 | |||
| Min | 1.1 | |||
| Max | 1.2 | New tree layout![]() | ||
| Moy | 1.2 | |||
| Min | 1.2 | |||
| Time: 10:00 a.m. | Time: 01:00 p.m. | Time: 04:00 p.m. | |
|---|---|---|---|
| Sun Rise: 52.27° | Sun Rise: 73.14° | Sun Rise: 43.01° | |
| Current tree layout | Tree size: 8 m Shadow length: 6.1 m ![]() | Tree size: 8 m Shadow length: 2.4 m ![]() | Tree size: 8 m Shadow length: 8.5 m ![]() |
| New tree layout I | Tree size: 8 m Shadow length: 6.1 m ![]() | Tree size: 8 m Shadow length: 2.4 m ![]() | Tree size: 8 m Shadow length: 8.5 m ![]() |
| New tree layout II | Tree size: 8–12 m Shadow length: 6.1–9.2 m ![]() | Tree size: 8–12 m Shadow length: 2.4–3.6 m ![]() | Tree size: 8–12 m Shadow length: 8.5–12.8 m ![]() |
Publisher’s Note: MDPI stays neutral with regard to jurisdictional claims in published maps and institutional affiliations. |
© 2021 by the authors. Licensee MDPI, Basel, Switzerland. This article is an open access article distributed under the terms and conditions of the Creative Commons Attribution (CC BY) license (https://creativecommons.org/licenses/by/4.0/).
Share and Cite
Sayad, B.; Alkama, D.; Rebhi, R.; Menni, Y.; Ahmad, H.; Inc, M.; Sharifpur, M.; Lorenzini, G.; Azab, E.; Elnaggar, A.Y. Outdoor Thermal Comfort Optimization through Vegetation Parameterization: Species and Tree Layout. Sustainability 2021, 13, 11791. https://doi.org/10.3390/su132111791
Sayad B, Alkama D, Rebhi R, Menni Y, Ahmad H, Inc M, Sharifpur M, Lorenzini G, Azab E, Elnaggar AY. Outdoor Thermal Comfort Optimization through Vegetation Parameterization: Species and Tree Layout. Sustainability. 2021; 13(21):11791. https://doi.org/10.3390/su132111791
Chicago/Turabian StyleSayad, Bouthaina, Djamel Alkama, Redha Rebhi, Younes Menni, Hijaz Ahmad, Mustafa Inc, Mohsen Sharifpur, Giulio Lorenzini, Ehab Azab, and Ashraf Y. Elnaggar. 2021. "Outdoor Thermal Comfort Optimization through Vegetation Parameterization: Species and Tree Layout" Sustainability 13, no. 21: 11791. https://doi.org/10.3390/su132111791
APA StyleSayad, B., Alkama, D., Rebhi, R., Menni, Y., Ahmad, H., Inc, M., Sharifpur, M., Lorenzini, G., Azab, E., & Elnaggar, A. Y. (2021). Outdoor Thermal Comfort Optimization through Vegetation Parameterization: Species and Tree Layout. Sustainability, 13(21), 11791. https://doi.org/10.3390/su132111791













