Zigbee and Long-Range Architecture Based Monitoring System for Oil Pipeline Monitoring with the Internet of Things
Abstract
:1. Introduction
- (a)
- A hybrid architecture is proposed for real-time monitoring of oil pipelines using 2.4 GHz-based Zigbee and LoRa communication with a cloud server.
- (b)
- Customized detection end device, monitoring end device, safety operation controller, and gateway are designed and developed based on 2.4 GHz-based Zigbee and LoRa.
- (c)
- Zigbee simulation is performed on the OPNET simulator for evaluating the PDR, retransmission attempts, throughput, medium access control (MAC) queue size, and queue delay.
- (d)
- The distinct evaluation metrics of LoRa such as bit rate, link budget, and receiver sensitivity are also presented.
- (e)
- A Cayenne cloud is implemented for logging the pressure sensor value of the pipeline through the internet.
2. Related Studies
3. Proposed Architecture
3.1. System Architecture
3.2. Network Architecture
- (a)
- Communication:
- (b)
- Security
- (c)
- Interference
4. Hardware Design
- (a)
- Monitoring End device section
- (b)
- Detection End device
- (c)
- Safety Operation controller
- (d)
- LoRa based Gateway
5. Simulation Analysis
5.1. Zigbee
- (a)
- Packet delivery ratio
- (b)
- Retransmission Attempts
- (c)
- Throughput
- (d)
- Queue Size and Queuing Delay
- (a)
- End-end delay
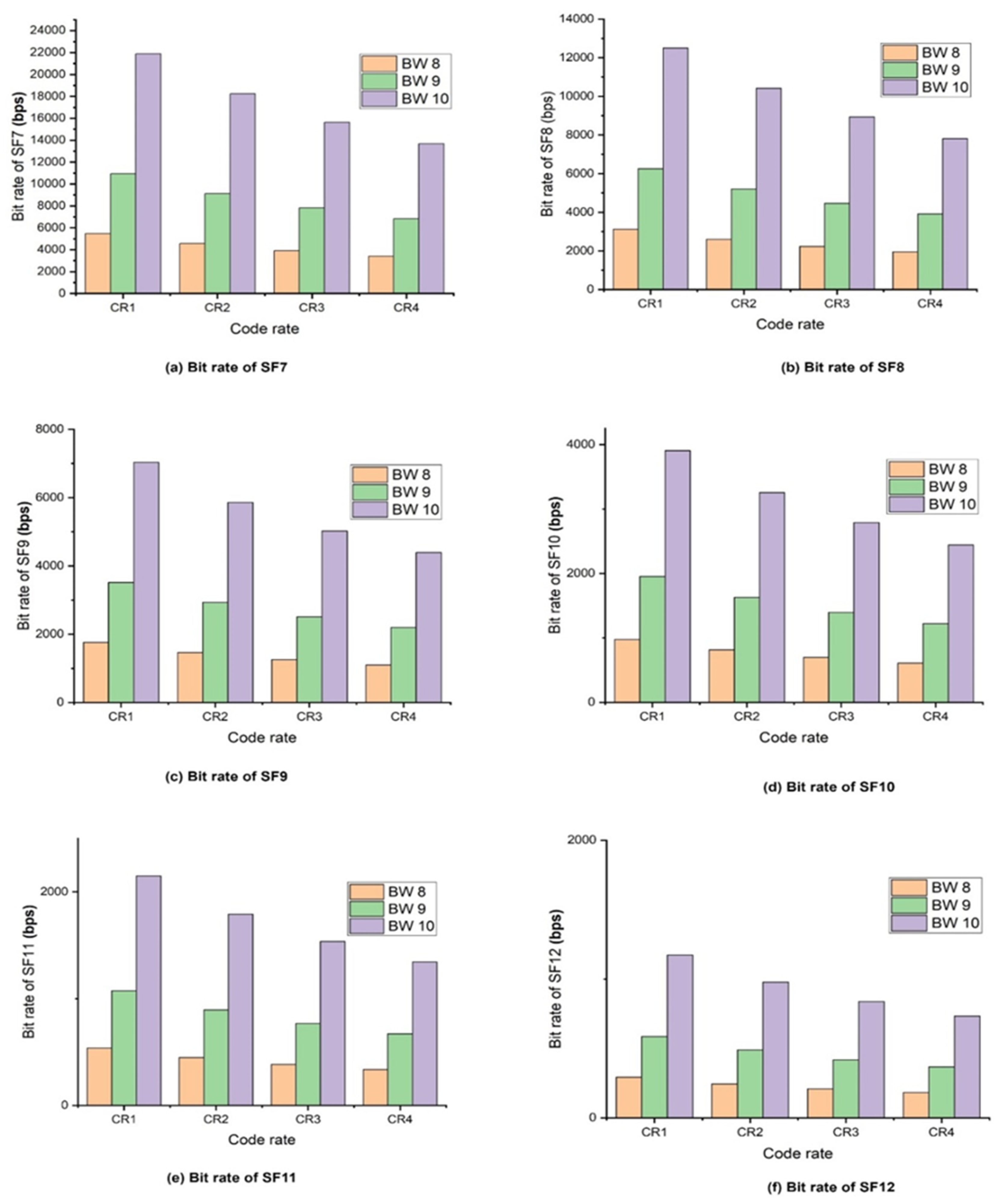
5.2. LoRa
- (a)
- Bit rate:
- (b)
- Link budget:
- (c)
- Receiver sensitivity:
6. Experimental Results
7. Conclusions
Author Contributions
Funding
Institutional Review Board Statement
Informed Consent Statement
Data Availability Statement
Conflicts of Interest
Abbreviations
| PHMSA | Pipeline and Hazardous Materials Safety Administration |
| LoRa | Long-range |
| MAC | medium access control |
| SCADA | Supervisory Control and Data Acquisition |
| PLCs | programmable logic controllers |
| RTUs | remote terminal units |
| HMI | Human-Machine Interface |
| WSN | wireless sensor network |
| WPAN | wireless personal area network |
| LPWAN | low power wide area network |
| PAN | personal area network |
| NWK | network |
| ZDO | ZigBee device objects |
| PSDU | PHY service Data Unit |
| CR | Code Rate |
| BW | Bandwidth |
| SF | Spreading Factor |
| LoRaWAN | LoRA wide area network |
| SNR | Signal-to-Noise ratio |
| FSPL | free space path loss |
| LCD | liquid crystal display |
| PDR | Packet Delivery Ratio |
| APS | Application Support |
| PAN ID | Personal Area Network Identifier |
| IP | Internet Protocol |
References
- Rehman, K.; Nawaz, F. Remote pipeline monitoring using wireless sensor networks. In Proceedings of the 2017 International Conference on Communication, Computing and Digital Systems (C-CODE), Islamabad, Pakistan, 8–9 March 2017; pp. 32–37. [Google Scholar]
- Boaz, L.; Kaijage, S.; Sinde, R. An overview of pipeline leak detection and location systems. In Proceedings of the 2nd Pan African International Conference on Science, Computing and Telecommunications (PACT 2014), Arusha, Tanzania, 14 July 2014; pp. 133–137. [Google Scholar]
- Xiao, Q.; Li, J.; Sun, J.; Feng, H.; Jin, S. Natural-gas pipeline leak location using variational mode decomposition analysis and cross-time–frequency spectrum. Measurement 2018, 124, 163–172. [Google Scholar] [CrossRef]
- Cramer, R.; Shaw, D.; Tulalian, R.; Angelo, P.; van Stuijvenberg, M. Detecting and correcting pipeline leaks before they become a big problem. Mar. Technol. Soc. J. 2015, 49, 31–46. [Google Scholar] [CrossRef]
- Jia, Z.; Wang, Z.; Sun, W.; Li, Z. Pipeline leakage localization based on distributed FBG hoop strain measurements and support vector machine. Optik 2019, 176, 1–13. [Google Scholar] [CrossRef]
- Pipeline Incident 20 Year Trends—PHMSA. Available online: https://www.phmsa.dot.gov/data-and-statistics/pipeline/pipeline-incident-20-year-trends (accessed on 30 May 2021).
- Dai, L.; Wang, D.; Wang, T.; Feng, Q.; Yang, X. Analysis and comparison of long-distance pipeline failures. J. Pet. Eng. 2017, 2017. [Google Scholar] [CrossRef] [Green Version]
- Olugboji, O.; Abolarin, M.; Adedipe, O.; Atolagbe, G.; Sadiq, A.; Ajayi, O. Development of a Low-Cost Smart PIG and Wireless Sensor for the Detection of Pipeline Defects and Anomalies. J. Eng. Res. Dev. 2020, 3, 68–75. [Google Scholar]
- Zhang, J. Designing a cost-effective and reliable pipeline leak-detection system. Pipes Pipelines Int. 1997, 42, 20–26. [Google Scholar]
- Golmohamadi, M. Pipeline Leak Detection. Master’s Thesis, Missouri University of Science and Technology, Rolla, MO, USA, 2015. [Google Scholar]
- Geiger, G.; Vogt, D.; Tetzner, R. State-of-the-art in leak detection and localization. Oil Gas. Eur. Mag. 2006, 32, 193. [Google Scholar]
- Rahman, M.A.; Asyhari, A.T. The Emergence of Internet of Things (Iot): Connecting Anything, Anywhere. Computers 2019, 8, 40. [Google Scholar] [CrossRef] [Green Version]
- Al-Fuqaha, A.; Guizani, M.; Mohammadi, M.; Aledhari, M.; Ayyash, M. Internet of things: A survey on enabling technologies, protocols, and applications. IEEE Commun. Surv. Tutor. 2015, 17, 2347–2376. [Google Scholar] [CrossRef]
- Čolaković, A.; Hadžialić, M. Internet of Things (IoT): A review of enabling technologies, challenges, and open research issues. Comput. Netw. 2018, 144, 17–39. [Google Scholar] [CrossRef]
- Lee, J.-S.; Huang, Y.-C. ITRI ZBnode: A ZigBee/IEEE 802.15. 4 platform for wireless sensor networks. In Proceedings of the 2006 IEEE International Conference on Systems, Man and Cybernetics, Taipei, Taiwan, 8–11 October 2006; Volume 2, pp. 1462–1467. [Google Scholar]
- Farahani, S. ZigBee and IEEE 802.15.4 Protocol Layers. ZigBee Wirel. Netw. Transceivers 2008, 33–135. [Google Scholar] [CrossRef]
- Baviskar, J.; Mulla, A.; Upadhye, M.; Desai, J.; Bhovad, A. Performance analysis of ZigBee based real time Home Automation system. In Proceedings of the 2015 International Conference on Communication, Information & Computing Technology (ICCICT), Mumbai, India, 16–17 January 2015; pp. 1–6. [Google Scholar]
- Moridi, M.A.; Kawamura, Y.; Sharifzadeh, M.; Chanda, E.K.; Wagner, M.; Okawa, H. Performance analysis of ZigBee network topologies for underground space monitoring and communication systems. Tunn. Undergr. Space Technol. 2018, 71, 201–209. [Google Scholar] [CrossRef]
- Priyanka, E.B.; Krishnamurthy, K.; Maheswari, C. Remote monitoring and control of pressure and flow in oil pipelines transport system using PLC based controller. In Proceedings of the 2016 Online International Conference on Green Engineering and Technologies (IC-GET), Tamil Nadu, India, 19 November 2016; pp. 1–6. [Google Scholar]
- Ali, S.; Ashraf, A.; Qaisar, S.B.; Afridi, M.K.; Saeed, H.; Rashid, S.; Sheikh, A.A. SimpliMote: A wireless sensor network monitoring platform for oil and gas pipelines. IEEE Syst. J. 2016, 12, 778–789. [Google Scholar] [CrossRef]
- Gómez, C.; Green, D.R. Small unmanned airborne systems to support oil and gas pipeline monitoring and mapping. Arab. J. Geosci. 2017, 10, 202. [Google Scholar] [CrossRef]
- Razvarz, S.; Vargas-Jarillo, C.; Jafari, R.; Gegov, A. Flow control of fluid in pipelines using PID controller. IEEE Access 2019, 7, 25673–25680. [Google Scholar] [CrossRef]
- Aghenta, L.O.; Iqbal, M.T. Low-cost, open source IoT-based SCADA system design using thinger. IO and ESP32 thing. Electronics 2019, 8, 822. [Google Scholar] [CrossRef] [Green Version]
- Wang, C.; Liu, M.; Xu, A.; Zhang, J. The application of PLC control system in oil and gas pipeline transportation. DEStech Trans. Eng. Technol. Res. 2017. [Google Scholar] [CrossRef]
- Priyanka, E.B.; Maheswari, C.; Ponnibala, M.; Thangavel, S. SCADA based remote monitoring and control of pressure & flow in fluid transport system using IMC-PID controller. Adv. Syst. Sci. Appl. 2019, 19, 140–162. [Google Scholar]
- Priyanka, E.B.; Maheswari, C.; Meenakshipriya, B. Parameter monitoring and control during petrol transportation using PLC based PID controller. J. Appl. Res. Technol. 2016, 14, 125–131. [Google Scholar] [CrossRef]
- Savazzi, S.; Guardiano, S.; Spagnolini, U. Wireless sensor network modeling and deployment challenges in oil and gas refinery plants. Int. J. Distrib. Sens. Netw. 2013, 9, 383168. [Google Scholar] [CrossRef]
- Sun, J.; Zhang, Z.; Sun, X. The Intelligent Crude Oil Anti-theft System Based on IoT under Different Scenarios. Procedia Comput. Sci. 2016, 96, 1581–1588. [Google Scholar] [CrossRef] [Green Version]
- Anupama, K.R.; Kamdar, N.; Kamalampet, S.K.; Vyas, D.; Sahu, S.; Shah, S. A wireless sensor network based pipeline monitoring system. In Proceedings of the 2014 International Conference on Signal Processing and Integrated Networks (SPIN), Delhi, India, 20–21 February 2014; pp. 412–419. [Google Scholar]
- Ali, S.; Qaisar, S.B.; Saeed, H.; Khan, M.F.; Naeem, M.; Anpalagan, A. Network challenges for cyber physical systems with tiny wireless devices: A case study on reliable pipeline condition monitoring. Sensors 2015, 15, 7172–7205. [Google Scholar] [CrossRef] [Green Version]
- Zanella, A.; Bui, N.; Castellani, A.; Vangelista, L.; Zorzi, M. Internet of things for smart cities. IEEE Internet Things J. 2014, 1, 22–32. [Google Scholar] [CrossRef]
- Varghese, S.G.; Kurian, C.P.; George, V.I.; John, A.; Nayak, V.; Upadhyay, A. Comparative study of ZigBee topologies for IoT-based lighting automation. IET Wirel. Sens. Syst. 2019, 9, 201–207. [Google Scholar] [CrossRef]
- Howitt, I.; Gutierrez, J.A. IEEE 802.15. 4 low rate-wireless personal area network coexistence issues. In 2003 IEEE Wireless Communications and Networking; WCNC: Charlotte, NC, USA, 2003; Volume 3, pp. 1481–1486. [Google Scholar]
- Stevanovic, D.; Vlajic, N. Performance of IEEE 802.15. 4 in wireless sensor networks with a mobile sink implementing various mobility strategies. In Proceedings of the 2008 33rd IEEE Conference on Local Computer Networks (LCN), Montreal, QC, Canada, 14–17 October 2008; pp. 680–688. [Google Scholar]
- Zigbee Addressing and Packet Structure—Internet of Things for Architects. Available online: https://www.oreilly.com/library/view/internet-of-things/9781788470599/4b61c16d-3cf6-4d5e-a4f2-8688779f5d76.xhtml (accessed on 13 July 2021).
- Ray, P.P. A survey of IoT cloud platforms. Futur. Comput. Inform. J. 2016, 1, 35–46. [Google Scholar] [CrossRef]
- Sendra, S.; García, L.; Lloret, J.; Bosch, I.; Vega-Rodríguez, R. LoRaWAN network for fire monitoring in rural environments. Electronics 2020, 9, 531. [Google Scholar] [CrossRef] [Green Version]
- Cayenne Features—Developer myDevices.com. Available online: https://developers.mydevices.com/cayenne/features/ (accessed on 20 July 2021).
- Aalsalem, M.Y.; Khan, W.Z.; Gharibi, W.; Armi, N. An intelligent oil and gas well monitoring system based on Internet of Things. In Proceedings of the 2017 International Conference on Radar, Antenna, Microwave, Electronics, and Telecommunications, ICRAMET 2017, Jakarta, Indonesia, 23–24 October 2017; pp. 124–127. [Google Scholar] [CrossRef]
- Abbod, A.A.; Zwyer, N.B. Using Internet of Things Techniques to Measure Parameters of Oil Tanks. J. Pet. Res. Stud. 2021, 11, 153–167. [Google Scholar] [CrossRef]
- Wu, Q.; Chen, X.; Yu, H.; Liu, Q.; Yang, Y. Real-time data visualization method for oil pipeline monitoring based on Internet of Things. In IOP Conference Series: Materials Science and Engineering; IOP Publishing: Bristol, UK, 2020; Volume 768, p. 052124. [Google Scholar] [CrossRef]
- Baiji, Y.; Sundaravadivel, P. ILoLeak-detect: An IoT-based LoRAWAN-enabled oil leak detection system for smart cities. In Proceedings of the 2019 IEEE International Symposium on Smart Electronic Systems iSES 2019, Rourkela, India, 16–18 December 2019; pp. 262–267. [Google Scholar] [CrossRef]
- Ahmed, S.; le Mouël, F.; Stouls, N. Resilient IoT-based Monitoring System for Crude Oil Pipelines. In Proceedings of the 2020 7th International Conference on Internet of Things: Systems, Management and Security (IOTSMS), Paris, France, 14–16 December 2020; pp. 1–7. [Google Scholar]
- Aba, E.N.; Olugboji, O.A.; Nasir, A.; Olutoye, M.A.; Adedipe, O. Petroleum pipeline monitoring using an internet of things (IoT) platform. SN Appl. Sci. 2021, 3, 1–12. [Google Scholar] [CrossRef]





















| Year | 2010 | 2011 | 2012 | 2013 | 2014 | 2015 | 2016 | 2017 | 2018 | 2019 |
|---|---|---|---|---|---|---|---|---|---|---|
| Incidents | 340 | 344 | 366 | 401 | 455 | 460 | 420 | 415 | 405 | 362 |
| Network Layer Parameters | |
| Parameter | Value |
| ZigBee end device | 12 |
| Zigbee router | 4 |
| Zigbee coordinator | 1 |
| Packet size | 1024 bytes |
| Packet interval time | Constant (1.0) |
| Physical Layer Parameters | |
| Parameter | Value |
| Transmission band | 2.4 GHz |
| Transmission Power | 0.05W |
| Receiver Sensitivity | −85 |
| Parameter | Average Data |
|---|---|
| Queuing size | 0.5 |
| Queuing delay | 0.01 s |
| Throughput (bits/Second) | 45,000 bits/s |
| Retransmission Attempts (Packets) | 0.5 packets |
| Packet Delivery ratio | 90% |
| End-to-end delay (Sec) | 0.013 s |
| Research | Objective | Communication | Customized Node | Customized Gateway | Simulation-Based Analysis | Monitoring Critical Parameters | Remote Monitoring |
|---|---|---|---|---|---|---|---|
| [25] | Oil pipeline system to prevent crack during transportation online | PLC communication | Not implemented | Not implemented | Not performed | Flow, pressure | SCADA is implemented as a remote monitoring system |
| [39] | WSN & IoT-enabled system for monitoring oil | Implemented short-range RF communication | Not implemented | Not implemented | Not available | Vibration, Flow & pressure | Not available |
| [40] | IoT-based system monitoring the parameters of oil tanks | XBee S1 pro | Only proposed transmitter & receiver node | Serial communication is implemented for communicating data to the cloud server | Simulation not performed | Fire, temperature & humidity | Cloud-based Thingsspeak server is implemented for remote monitoring |
| [41] | Measurement nodes can collect information using IoT technology, which will subsequently be sent to the aggregate node | 2.4 GHZ | No | No | Network simulation is not implemented | Temperature, pressure | A server is designed and implemented for remote monitoring |
| [42] | LoRaWAN based oil leak detection system | LoRaWAN | Implemented the sensor node that is readymade | Not customized but LoRaWAN gateway is implemented | NA | Flow, pressure & temperature | Thingspeak server is for remote monitoring and analytics purpose |
| [43] | Detection and mitigation of pipeline failures | LoRaWAN | Customized Sensor node not implemented | Gateway is not available | NA | Not mentioned | A cloud server is not implemented |
| [44] | real-time pipeline monitoring and determine the location of the damage on a pipeline | Wi-Fi | The Arduino-based module is implemented. Customization is not implemented | Gateway is not implemented. The data is communicated with a Wi-Fi-based Arduino module | NA | Propagating Pulses | Thingspeak server is for remote monitoring and analytics purpose |
| Proposed work | Hybrid architecture for real-time oil pipeline monitoring | 2.4 GHz-based Zigbee and 433 MHz based LoRa | Customized sensor node with 2.4 GHz-based Zigbee and LoRa module | LoRa and ESP 8266 Wi-Fi module is integrated for customizing gateway | Zigbee and LoRa simulations are performed | Pressure and flow meter in real-time | IoT-based Cayenne is implemented for remote monitoring of oil pipeline |
Publisher’s Note: MDPI stays neutral with regard to jurisdictional claims in published maps and institutional affiliations. |
© 2021 by the authors. Licensee MDPI, Basel, Switzerland. This article is an open access article distributed under the terms and conditions of the Creative Commons Attribution (CC BY) license (https://creativecommons.org/licenses/by/4.0/).
Share and Cite
Singh, R.; Baz, M.; Narayana, C.L.; Rashid, M.; Gehlot, A.; Akram, S.V.; Alshamrani, S.S.; Prashar, D.; AlGhamdi, A.S. Zigbee and Long-Range Architecture Based Monitoring System for Oil Pipeline Monitoring with the Internet of Things. Sustainability 2021, 13, 10226. https://doi.org/10.3390/su131810226
Singh R, Baz M, Narayana CL, Rashid M, Gehlot A, Akram SV, Alshamrani SS, Prashar D, AlGhamdi AS. Zigbee and Long-Range Architecture Based Monitoring System for Oil Pipeline Monitoring with the Internet of Things. Sustainability. 2021; 13(18):10226. https://doi.org/10.3390/su131810226
Chicago/Turabian StyleSingh, Rajesh, Mohammed Baz, Ch. Lakshmi Narayana, Mamoon Rashid, Anita Gehlot, Shaik Vaseem Akram, Sultan S. Alshamrani, Deepak Prashar, and Ahmed Saeed AlGhamdi. 2021. "Zigbee and Long-Range Architecture Based Monitoring System for Oil Pipeline Monitoring with the Internet of Things" Sustainability 13, no. 18: 10226. https://doi.org/10.3390/su131810226
APA StyleSingh, R., Baz, M., Narayana, C. L., Rashid, M., Gehlot, A., Akram, S. V., Alshamrani, S. S., Prashar, D., & AlGhamdi, A. S. (2021). Zigbee and Long-Range Architecture Based Monitoring System for Oil Pipeline Monitoring with the Internet of Things. Sustainability, 13(18), 10226. https://doi.org/10.3390/su131810226

