Chain Innovation Mechanism of the Manufacturing Industry in the Yangtze River Delta of China Based on Evolutionary Game
Abstract
:1. Introduction
2. Literature Review
3. Evolutionary Game Model Construction
3.1. Evolutionary Game Model Assumptions
3.2. Construction of Payment Matrix
4. Stability Analysis of Technological Innovation Evolutionary Game Model
4.1. Construction of Income Expectation Function
4.2. Solving the Evolutionary Stability Strategy
4.3. Stability Analysis of Equilibrium
5. Simulation Analysis
5.1. Analysis of the Dynamic Evolution of Participants’ Initial Willingness
5.2. The Influence of Government Support on Collaborative Innovation in the Industrial Chain
5.3. The Impact of Penalties on Collaborative Innovation in the Industrial Chain
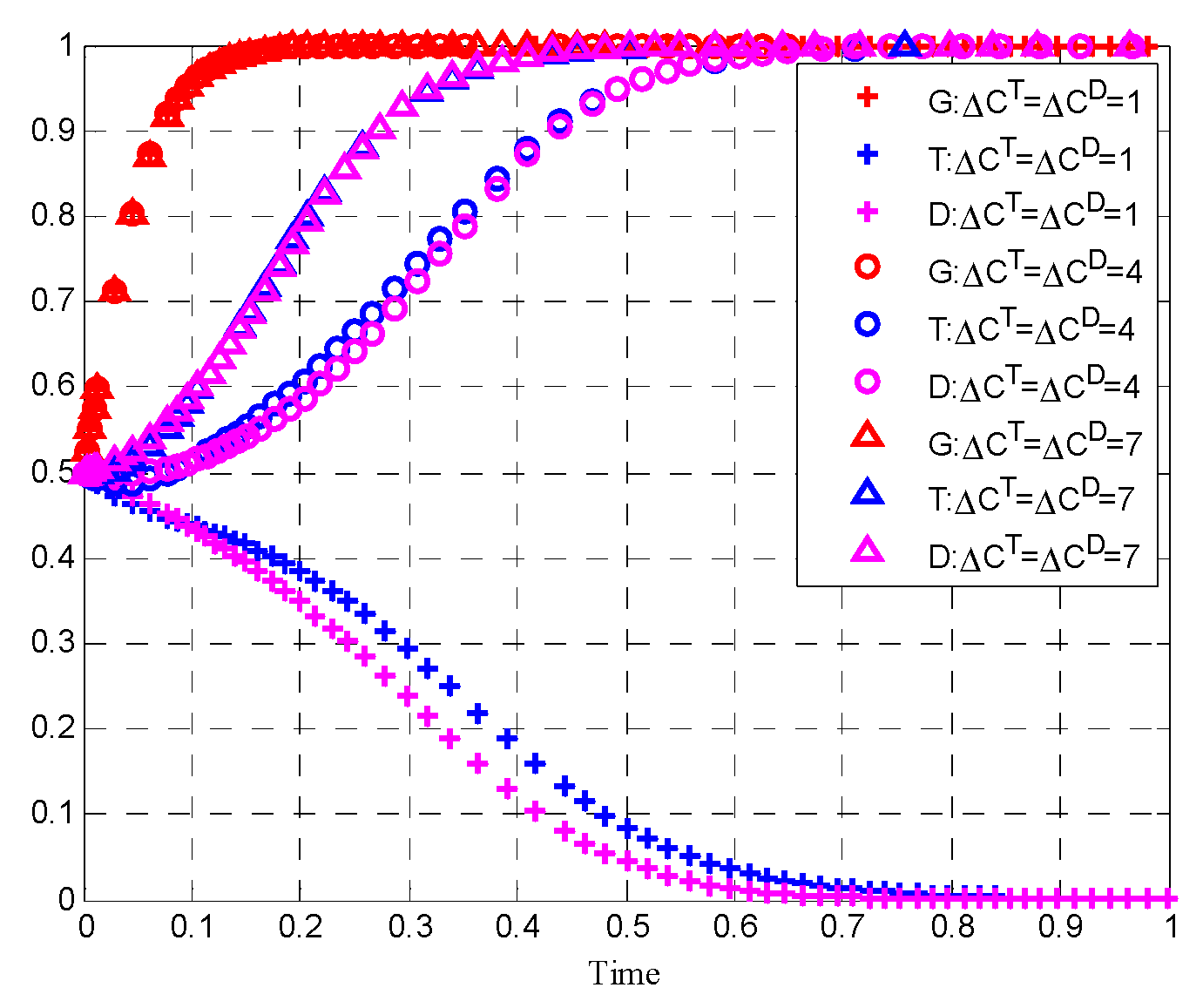
5.4. Impact of Changes in Collaborative Benefits on Collaborative Innovation in the Industrial Chain
5.5. Discussion
6. Conclusions
- The government, upstream enterprises, and downstream enterprises have different degrees of influence on each other’s willingness to participate. This is mainly reflected in two aspects: First, the government’s willingness to participate has a greater impact on upstream enterprises, while downstream enterprises are less affected by the government. For example, the new energy automobile industry has shifted from the financial subsidy funded by application promotion to the postsubsidy era that focuses on R&D. Second, upstream enterprises and downstream enterprises have different influence on each other, and downstream enterprises are more sensitive to upstream enterprises’ willingness to participate in collaborative innovation. With the increase in R&D investment of upstream manufacturing enterprises in the Yangtze River Delta, innovation resources have been brought together, which has led to an increase in the number of downstream enterprises participating.
- Upstream enterprises are more affected by government funding support, and downstream enterprises are more affected by government policy support. The government provides R&D funding support to upstream enterprises to attract more upstream enterprises to participate in collaborative innovation. Achievement transformation, tax incentives, and other policies have reduced the cost of downstream enterprises participating in collaborative innovation, have increased the conversion rate of new technologies, and have also attracted more downstream enterprises to participate in collaborative innovation.
- Penalties and benefits distribution has a more significant impact on downstream enterprises compared with upstream enterprises. Upstream enterprises focus on R&D and pursue social value, while downstream enterprises are more affected by the market and pursue their interests.
Author Contributions
Funding
Institutional Review Board Statement
Informed Consent Statement
Data Availability Statement
Conflicts of Interest
References
- Chen, Y.; Liu, Y. How biased technological progress sustainably improve the energy efficiency: An empirical research of manufacturing industry in China. Energy 2021, 230, 120823. [Google Scholar] [CrossRef]
- Bai, Y.; Song, S.; Jiao, J.; Yang, R. The impacts of government R&D subsidies on green innovation: Evidence from Chinese energy-intensive firms. J. Clean. Prod. 2019, 233, 819–829. [Google Scholar]
- Chen, Y.; Wang, M.; Feng, C.; Zhou, H.; Wang, K. Total factor energy efficiency in Chinese manufacturing industry under industry and regional heterogeneities. Resour. Conserv. Recycl. 2021, 168, 105255. [Google Scholar] [CrossRef]
- Hu, D.; Jiao, J.; Tang, Y.; Han, X.; Sun, H. The effect of global value chain position on green technology innovation efficiency: From the perspective of environmental regulation. Ecol. Indic. 2021, 121, 107195. [Google Scholar] [CrossRef]
- Ying, L.; Li, M.; Yang, J. Agglomeration and driving factors of regional innovation space based on intelligent manufacturing and green economy. Environ. Technol. Innov. 2021, 22, 101398. [Google Scholar] [CrossRef]
- Li, F.; Liu, W.; Bi, K. Exploring and visualizing spatial-temporal evolution of patent collaboration networks: A case of China’s intelligent manufacturing equipment industry. Technol. Soc. 2021, 64, 101483. [Google Scholar] [CrossRef]
- Lin, S.; Lin, R.; Sun, J.; Wang, F.; Wu, W. Dynamically evaluating technological innovation efficiency of high-tech industry in China: Provincial, regional and industrial perspective. Socio-Econ. Plan. Sci. 2021, 74, 100939. [Google Scholar] [CrossRef]
- Durana, P.; Zauskova, A.; Vagner, L.; Zadnanova, S. Earnings Drivers of Slovak Manufacturers: Efficiency Assessment of Innovation Management. Appl. Sci. 2020, 10, 4251. [Google Scholar] [CrossRef]
- Kovacova, M.; Segers, C.; Tumpach, M.; Michalkova, L. Big Data-driven Smart Manufacturing: Sustainable Production Processes, Real-Time Sensor Networks, and Industrial Value Creation. Econ. Manag. Financ. Mark. 2020, 15, 54–60. [Google Scholar]
- Riley, C.; Vrbka, J.; Rowland, Z. Internet of Things-enabled Sustainability, Big Data-driven Decision-Making Processes, and Digitized Mass Production in Industry 4.0-based Manufacturing Systems. J. Self-Gov. Manag. Econ. 2021, 9, 42–52. [Google Scholar]
- Tan, S.; Hu, B.; Kuang, B.; Zhou, M. Regional differences and dynamic evolution of urban land green use efficiency within the Yangtze River Delta, China. Land Use Policy 2021, 106, 105449. [Google Scholar] [CrossRef]
- Yu, X.; Wu, Z.; Zheng, H.; Li, M.; Tan, T. How urban agglomeration improve the emission efficiency? A spatial econometric analysis of the Yangtze River Delta urban agglomeration in China. J. Environ. Manag. 2020, 260, 110061. [Google Scholar] [CrossRef]
- Dai, X.; Sun, Z. Does firm innovation improve aggregate industry productivity? Evidence from Chinese manufacturing firms. Struct. Chang. Econ. Dyn. 2021, 56, 1–9. [Google Scholar] [CrossRef]
- Cheng, M.; Shao, Z.; Gao, F.; Yang, C.; Tong, C.; Yang, J.; Zhang, W. The effect of research and development on the energy conservation potential of China’s manufacturing industry: The case of east region. J. Clean. Prod. 2020, 258, 120558. [Google Scholar] [CrossRef]
- Bos, J.W.B.; Economidou, C.; Sanders, M.W.J.L. Innovation over the industry life-cycle: Evidence from EU manufacturing. J. Econ. Behav. Organ. 2013, 86, 78–91. [Google Scholar] [CrossRef]
- Bin, G. Technology acquisition channels and industry performance: An industry-level analysis of Chinese large- and medium-size manufacturing enterprises. Res. Policy 2008, 37, 194–209. [Google Scholar] [CrossRef]
- Obradović, T.; Vlačić, B.; Dabić, M. Open innovation in the manufacturing industry: A review and research agenda. Technovation 2021, 102, 102221. [Google Scholar] [CrossRef]
- Wang, W.; Yu, B.; Yan, X.; Yao, X.; Liu, Y. Estimation of innovation’s green performance: A range-adjusted measure approach to assess the unified efficiency of China’s manufacturing industry. J. Clean. Prod. 2017, 149, 919–924. [Google Scholar] [CrossRef]
- Li, L. China’s manufacturing locus in 2025: With a comparison of “Made-in-China 2025” and “Industry 4.0”. Technol. Forecast. Soc. Chang. 2018, 135, 66–74. [Google Scholar] [CrossRef]
- Duan, Y.; Liu, S.; Cheng, H.; Chin, T.; Luo, X. The moderating effect of absorptive capacity on transnational knowledge spillover and the innovation quality of high-tech industries in host countries: Evidence from the Chinese manufacturing industry. Int. J. Prod. Econ. 2021, 233, 108019. [Google Scholar] [CrossRef]
- Yang, Z.; Lin, Y. The effects of supply chain collaboration on green innovation performance:An interpretive structural modeling analysis. Sustain. Prod. Consum. 2020, 23, 1–10. [Google Scholar] [CrossRef]
- Huiling, L.; Dan, L. Value chain reconstruction and sustainable development of green manufacturing industry. Sustain. Comput. Inform. Syst. 2020, 28, 100418. [Google Scholar] [CrossRef]
- Luo, Q.; Miao, C.; Sun, L.; Meng, X.; Duan, M. Efficiency evaluation of green technology innovation of China’s strategic emerging industries: An empirical analysis based on Malmquist-data envelopment analysis index. J. Clean. Prod. 2019, 238, 117782. [Google Scholar] [CrossRef]
- Yin, S.; Zhang, N.; Li, B.; Dong, H. Enhancing the effectiveness of multi-agent cooperation for green manufacturing: Dynamic co-evolution mechanism of a green technology innovation system based on the innovation value chain. Environ. Impact Assess. Rev. 2021, 86, 106475. [Google Scholar] [CrossRef]
- Yin, S.; Zhang, N.; Li, B. Enhancing the competitiveness of multi-agent cooperation for green manufacturing in China: An empirical study of the measure of green technology innovation capabilities and their influencing factors. Sustain. Prod. Consum. 2020, 23, 63–76. [Google Scholar] [CrossRef]
- Turken, N.; Geda, A. Supply chain implications of industrial symbiosis: A review and avenues for future research. Resour. Conserv. Recycl. 2020, 161, 104974. [Google Scholar] [CrossRef]
- Skippari, M.; Laukkanen, M.; Salo, J. Cognitive barriers to collaborative innovation generation in supply chain relationships. Ind. Mark. Manag. 2017, 62, 108–117. [Google Scholar] [CrossRef]
- Wang, C.; Hu, Q. Knowledge sharing in supply chain networks: Effects of collaborative innovation activities and capability on innovation performance. Technovation 2020, 94–95, 102010. [Google Scholar] [CrossRef]
- Cao, M.; Zhang, Q. Supply chain collaborative advantage: A firm’s perspective. Int. J. Prod. Econ. 2010, 128, 358–367. [Google Scholar] [CrossRef]
- Chen, L.; Zhao, X.; Tang, O.; Price, L.; Zhang, S.; Zhu, W. Supply chain collaboration for sustainability: A literature review and future research agenda. Int. J. Prod. Econ. 2017, 194, 73–87. [Google Scholar] [CrossRef]
- Kapoor, R.; McGrath, P.J. Unmasking the interplay between technology evolution and R&D collaboration: Evidence from the global semiconductor manufacturing industry, 1990–2010. Res. Policy 2014, 43, 555–569. [Google Scholar]
- Cao, M.; Zhang, Q. Supply chain collaboration: Impact on collaborative advantage and firm performance. J. Oper. Manag. 2011, 29, 163–180. [Google Scholar] [CrossRef]
- Ge, Z.; Hu, Q.; Goh, C.-H.; Zhao, R. Action-dependent commitment in vertical collaborations: The effect of demand-creating innovations in a supply chain. Transp. Res. Part E Logist. Transp. Rev. 2021, 147, 102164. [Google Scholar] [CrossRef]
- Shen, B.; Xu, X.; Chan, H.L.; Choi, T.-M. Collaborative innovation in supply chain systems: Value creation and leadership structure. Int. J. Prod. Econ. 2021, 235, 108068. [Google Scholar] [CrossRef]
- Hong, J.; Zheng, R.; Deng, H.; Zhou, Y. Green supply chain collaborative innovation, absorptive capacity and innovation performance: Evidence from China. J. Clean. Prod. 2019, 241, 118377. [Google Scholar] [CrossRef]
- Xu, J.; Hou, Q.; Niu, C.; Wang, Y.; Xie, Y. Process optimization of the University-Industry-Research collaborative innovation from the perspective of knowledge management. Cogn. Syst. Res. 2018, 52, 995–1003. [Google Scholar] [CrossRef]
- Lee, H.-F.; Miozzo, M. Which types of knowledge-intensive business services firms collaborate with universities for innovation? Res. Policy 2019, 48, 1633–1646. [Google Scholar] [CrossRef]
- Yang, Z.; Chen, H.; Du, L.; Lin, C.; Lu, W. How does alliance-based government-university-industry foster cleantech innovation in a green innovation ecosystem? J. Clean. Prod. 2021, 283, 124559. [Google Scholar] [CrossRef]
- Yu, X.; Lan, Y.; Zhao, R. Strategic green technology innovation in a two-stage alliance: Vertical collaboration or co-development? Omega 2021, 98, 102116. [Google Scholar] [CrossRef]
- Raweewan, M.; Ferrell, W.G. Information sharing in supply chain collaboration. Comput. Ind. Eng. 2018, 126, 269–281. [Google Scholar] [CrossRef]
- Yu, B.; Wang, J.; Lu, X.; Yang, H. Collaboration in a low-carbon supply chain with reference emission and cost learning effects: Cost sharing versus revenue sharing strategies. J. Clean. Prod. 2020, 250, 119460. [Google Scholar] [CrossRef]
- Soh, P.-H.; Subramanian, A.M. When do firms benefit from university–industry R&D collaborations? The implications of firm R&D focus on scientific research and technological recombination. J. Bus. Ventur. 2014, 29, 807–821. [Google Scholar]
- Dong, F.; Li, W. Research on the coupling coordination degree of “upstream-midstream-downstream” of China’s wind power industry chain. J. Clean. Prod. 2021, 283, 124633. [Google Scholar] [CrossRef]
- Zhang, H.; Wang, M.; Cheng, Z.; Wan, L. Technology-sharing strategy and incentive mechanism for R&D teams of manufacturing enterprises. Phys. A Stat. Mech. Appl. 2020, 555, 124546. [Google Scholar]
- Liao, S.-H.; Hu, D.-C.; Ding, L.-W. Assessing the influence of supply chain collaboration value innovation, supply chain capability and competitive advantage in Taiwan’s networking communication industry. Int. J. Prod. Econ. 2017, 191, 143–153. [Google Scholar] [CrossRef]
- Zhu, Q.-H.; Dou, Y.-J. Evolutionary Game Model between Governments and Core Enterprises in Greening Supply Chains. Syst. Eng.-Theory Pract. 2007, 27, 85–89. [Google Scholar] [CrossRef]
- Sun, H.; Wan, Y.; Zhang, L.; Zhou, Z. Evolutionary game of the green investment in a two-echelon supply chain under a government subsidy mechanism. J. Clean. Prod. 2019, 235, 1315–1326. [Google Scholar] [CrossRef]
- Liu, X.; Fang, Z.; Zhang, N.; Liu, K.; Jingfeng, Z. An evolutionary game model and its numerical simulation for collaborative innovation of multiple agents in carbon fiber industry in China. Sustain. Comput. Inform. Syst. 2019, 24, 100350. [Google Scholar] [CrossRef]
- Hou, J.; Li, B. The Evolutionary Game for Collaborative Innovation of the IoT Industry under Government Leadership in China: An IoT Infrastructure Perspective. Sustainability 2020, 12, 3648. [Google Scholar] [CrossRef]
- Li, J.; Ren, H.; Zhang, C.; Li, Q.; Duan, K. Substantive Innovation or Strategic Innovation? Research on Multiplayer Stochastic Evolutionary Game Model and Simulation. Complexity 2020, 2020, 9640412. [Google Scholar]
- De Jesus Pacheco, D.A.; Ten Caten, C.S.; Jung, C.F.; Navas, H.V.G.; Cruz-Machado, V.A. Eco-innovation determinants in manufacturing SMEs from emerging markets: Systematic literature review and challenges. J. Eng. Technol. Manag. 2018, 48, 44–63. [Google Scholar] [CrossRef]
- Wei, J.; Wang, C. Improving interaction mechanism of carbon reduction technology innovation between supply chain enterprises and government by means of differential game. J. Clean. Prod. 2021, 296, 126578. [Google Scholar] [CrossRef]
- Tian, Y.; Wang, Y.; Xie, X.; Jiao, J.; Jiao, H. The impact of business-government relations on firms’ innovation: Evidence from Chinese manufacturing industry. Technol. Forecast. Soc. Chang. 2019, 143, 1–8. [Google Scholar] [CrossRef]
- Chen, H.; Wang, J.; Miao, Y. Evolutionary game analysis on the selection of green and low carbon innovation between manufacturing enterprises. Alex. Eng. J. 2021, 60, 2139–2147. [Google Scholar] [CrossRef]
- Fan, K.; Hui, E.C.M. Evolutionary game theory analysis for understanding the decision-making mechanisms of governments and developers on green building incentives. Build. Environ. 2020, 179, 106972. [Google Scholar] [CrossRef]
- Zhang, Y.; Chen, W.; Mi, Y. Third-party remanufacturing mode selection for competitive closed-loop supply chain based on evolutionary game theory. J. Clean. Prod. 2020, 263, 121305. [Google Scholar] [CrossRef]
- Chen, W.; Hu, Z.-H. Using evolutionary game theory to study governments and manufacturers’ behavioral strategies under various carbon taxes and subsidies. J. Clean. Prod. 2018, 201, 123–141. [Google Scholar] [CrossRef]
- Sheng, J.; Zhou, W.; Zhu, B. The coordination of stakeholder interests in environmental regulation: Lessons from China’s environmental regulation policies from the perspective of the evolutionary game theory. J. Clean. Prod. 2020, 249, 119385. [Google Scholar] [CrossRef]
- Sigmund, K.; Nowak, M.A. Evolutionary game theory. Curr. Biol. 1999, 9, R503–R505. [Google Scholar] [CrossRef] [Green Version]
- Yuyin, Y.; Jinxi, L. The effect of governmental policies of carbon taxes and energy-saving subsidies on enterprise decisions in a two-echelon supply chain. J. Clean. Prod. 2018, 181, 675–691. [Google Scholar] [CrossRef]
- Lv, B.; Qi, X. Research on partner combination selection of the supply chain collaborative product innovation based on product innovative resources. Comput. Ind. Eng. 2019, 128, 245–253. [Google Scholar] [CrossRef]
- Liu, C.; Li, L. Place-based techno-industrial policy and innovation: Government responses to the information revolution in China. China Econ. Rev. 2021, 66, 101600. [Google Scholar] [CrossRef]
- Silva, M.E.; Silvestre, B.S.; Del Vecchio Ponte, R.C.; Cabral, J.E.O. Managing micro and small enterprise supply chains: A multi-level approach to sustainability, resilience and regional development. J. Clean. Prod. 2021, 311, 127567. [Google Scholar] [CrossRef]
- Zheng, W.; Zhang, J. Does tax reduction spur innovation? Firm-level evidence from China. Financ. Res. Lett. 2021, 39, 101575. [Google Scholar] [CrossRef]
- Lin, B.; Luan, R. Are government subsidies effective in improving innovation efficiency? Based on the research of China’s wind power industry. Sci. Total Environ. 2020, 710, 136339. [Google Scholar] [CrossRef]
- Zu, Y.; Chen, L.; Fan, Y. Research on low-carbon strategies in supply chain with environmental regulations based on differential game. J. Clean. Prod. 2018, 177, 527–546. [Google Scholar] [CrossRef]
- Kang, K.-N.; Park, H. Influence of government R&D support and inter-firm collaborations on innovation in Korean biotechnology SMEs. Technovation 2012, 32, 68–78. [Google Scholar]
- Wang, X.; Li, Z.; Shaikh, R.; Ranjha, A.R.; Batala, L.K. Do government subsidies promote financial performance? Fresh evidence from China’s new energy vehicle industry. Sustain. Prod. Consum. 2021, 28, 142–153. [Google Scholar] [CrossRef]
- Zhang, S.; Yang, D.; Qiu, S.; Bao, X.; Li, J. Open innovation and firm performance: Evidence from the Chinese mechanical manufacturing industry. J. Eng. Technol. Manag. 2018, 48, 76–86. [Google Scholar] [CrossRef]
- Wang, Y.; Pan, J.-F.; Pei, R.-M.; Yi, B.-W.; Yang, G.-L. Assessing the technological innovation efficiency of China’s high-tech industries with a two-stage network DEA approach. Socio-Econ. Plan. Sci. 2020, 71, 100810. [Google Scholar] [CrossRef]
- Feng, P.; Ke, S. Self-selection and performance of R&D input of heterogeneous firms: Evidence from China’s manufacturing industries. China Econ. Rev. 2016, 41, 181–195. [Google Scholar]
- Zhao, X.; Xue, Y.; Ding, L. Implementation of low carbon industrial symbiosis systems under financial constraint and environmental regulations: An evolutionary game approach. J. Clean. Prod. 2020, 277, 124289. [Google Scholar] [CrossRef]
- Liu, T.; Li, K.-W. Analyzing Chinas productivity growth: Evidence from manufacturing industries. Econ. Syst. 2012, 36, 531–551. [Google Scholar] [CrossRef]
- Kumar, G.; Meena, P.; Difrancesco, R.M. How do collaborative culture and capability improve sustainability? J. Clean. Prod. 2021, 291, 125824. [Google Scholar] [CrossRef]
- Zhou, H.; Li, L. The impact of supply chain practices and quality management on firm performance: Evidence from China’s small and medium manufacturing enterprises. Int. J. Prod. Econ. 2020, 230, 107816. [Google Scholar] [CrossRef]
- Wang, L.; Szirmai, A. Capital inputs in the Chinese economy: Estimates for the total economy, industry and manufacturing. China Econ. Rev. 2012, 23, 81–104. [Google Scholar] [CrossRef]
- Liu, D.; Chen, T.; Liu, X.; Yu, Y. Do more subsidies promote greater innovation? Evidence from the Chinese electronic manufacturing industry. Econ. Model. 2019, 80, 441–452. [Google Scholar] [CrossRef]
- Zeng, W.; Li, L.; Huang, Y. Industrial collaborative agglomeration, marketization, and green innovation: Evidence from China’s provincial panel data. J. Clean. Prod. 2021, 279, 123598. [Google Scholar] [CrossRef]
- Wei, S.; Zhang, Z.; Ke, G.Y.; Chen, X. The more cooperation, the better? Optimizing enterprise cooperative strategy in collaborative innovation networks. Phys. Stat. Mech. Appl. 2019, 534, 120810. [Google Scholar] [CrossRef]
- Hong, J.; Liao, Y.; Zhang, Y.; Yu, Z. The effect of supply chain quality management practices and capabilities on operational and innovation performance: Evidence from Chinese manufacturers. Int. J. Prod. Econ. 2019, 212, 227–235. [Google Scholar] [CrossRef]
- Wu, W.; Zhang, T.; Xie, X.; Huang, Z. Regional low carbon development pathways for the Yangtze River Delta region in China. Energy Policy 2021, 151, 112172. [Google Scholar] [CrossRef]
- 2020 Shanghai Statistical Communiqué on National Economic and Social Development. Available online: http://tjj.sh.gov.cn/tjgb/20210317/234a1637a3974c3db0cc47a37a3c324f.html (accessed on 25 august 2021).
- 2020 Statistical Communiqué on National Economic and Social Development of Jiangsu Province. Available online: http://tj.jiangsu.gov.cn/art/2021/3/10/art_4031_9698925.html (accessed on 25 august 2021).
- 2020 Statistical Communiqué on the National Economic and Social Development of Zhejiang Province. Available online: http://tjj.zj.gov.cn/art/2021/2/28/art_1229129205_4524495.html (accessed on 25 august 2021).
- Statistical Communiqué on the 2020 National Economic and Social Development of Anhui Province. Available online: https://www.ah.gov.cn/zfsj/tjgb/2020n/553965781.html (accessed on 25 august 2021).










| Strategy | Downstream Enterprises | ||
|---|---|---|---|
| Upstream enterprises | Collaboration () | ||
| Noncollaboration () | |||
| Strategy | Downstream Enterprises | ||
|---|---|---|---|
| Upstream enterprises | Collaboration () | ||
| Noncollaboration () | |||
| Equilibrium Point | Eigenvalues λ1 | Eigenvalues λ2 | Eigenvalues λ3 |
|---|---|---|---|
| E1 | E2 | E3 | E4 | E5 | E6 | E7 | E8 | ||
|---|---|---|---|---|---|---|---|---|---|
| Type 1 | λ1 | + | + | + | + | − | − | − | − |
| λ2 | +/− | + | + | − | − | +/− | + | − | |
| λ3 | − | + | + | − | − | + | + | − | |
| Stability | Unstable point | Saddle point | Saddle point | Unstable point | ESS | Unstable point | Unstable point | ESS | |
| Type 2 | λ1 | + | + | + | + | − | − | − | − |
| λ2 | +/− | + | +/− | − | +/− | − | +/− | − | |
| λ3 | +/− | +/− | + | − | + | − | + | − | |
| Stability | Unstable point | Saddle point | Saddle point | Unstable point | Unstable point | ESS | Unstable point | ESS | |
| Type 3 | λ1 | + | + | + | + | − | − | − | − |
| λ2 | +/− | + | +/− | − | + | + | − | − | |
| λ3 | − | + | + | − | − | + | + | − | |
| Stability | Unstable point | Saddle point | Saddle point | Unstable point | Unstable point | Unstable point | Unstable point | ESS |
Publisher’s Note: MDPI stays neutral with regard to jurisdictional claims in published maps and institutional affiliations. |
© 2021 by the authors. Licensee MDPI, Basel, Switzerland. This article is an open access article distributed under the terms and conditions of the Creative Commons Attribution (CC BY) license (https://creativecommons.org/licenses/by/4.0/).
Share and Cite
Yu, N.; Zhao, C. Chain Innovation Mechanism of the Manufacturing Industry in the Yangtze River Delta of China Based on Evolutionary Game. Sustainability 2021, 13, 9729. https://doi.org/10.3390/su13179729
Yu N, Zhao C. Chain Innovation Mechanism of the Manufacturing Industry in the Yangtze River Delta of China Based on Evolutionary Game. Sustainability. 2021; 13(17):9729. https://doi.org/10.3390/su13179729
Chicago/Turabian StyleYu, Na, and Chunfeng Zhao. 2021. "Chain Innovation Mechanism of the Manufacturing Industry in the Yangtze River Delta of China Based on Evolutionary Game" Sustainability 13, no. 17: 9729. https://doi.org/10.3390/su13179729
APA StyleYu, N., & Zhao, C. (2021). Chain Innovation Mechanism of the Manufacturing Industry in the Yangtze River Delta of China Based on Evolutionary Game. Sustainability, 13(17), 9729. https://doi.org/10.3390/su13179729
