Health Impact Attributable to Improvement of PM2.5 Pollution from 2014–2018 and Its Potential Benefits by 2030 in China
Abstract
:1. Introduction
2. Materials and Methods
2.1. Data Sources
2.2. Assessment of Health Burden
2.2.1. Global Exposure Mortality Model (GEMM)
2.2.2. Estimation of Premature Mortality
2.3. Sensitivity Analysis
2.4. Health Benefits by 2030
3. Results
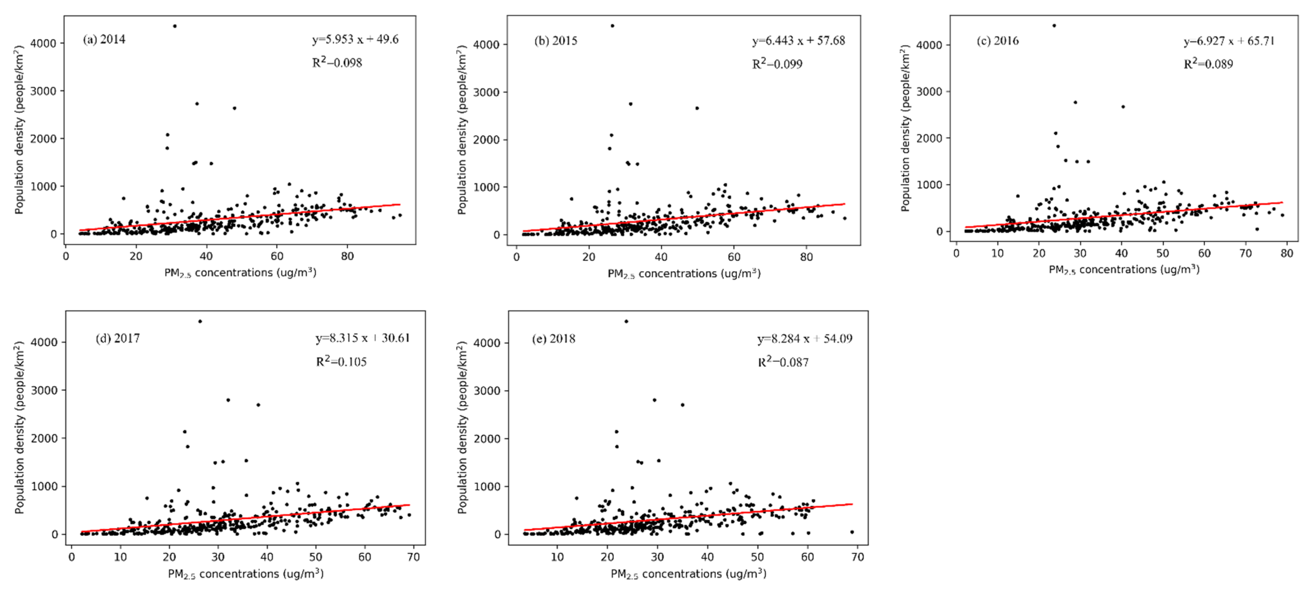
3.1. Spatial Distribution of PM2.5 Pollution and Its Relationship with Population Density
3.2. Health Burden Attributable to PM2.5 and Factor Contribution Analysis
3.3. Changes in Health Burden at the City Level
3.4. Potential Benefits from Achieving PM2.5 Control Targets by 2030
3.5. Classification of Potential Benefits and Policy Recommendations
4. Discussion
5. Conclusions
Supplementary Materials
Author Contributions
Funding
Institutional Review Board Statement
Informed Consent Statement
Data Availability Statement
Conflicts of Interest
References
- Fu, B.; Zhuang, X.; Jiang, G.; Shi, J.; Lu, Y. Environmental problems and challenge in China. Environ. Sci. Technol. 2007, 41, 7597–7602. [Google Scholar] [CrossRef] [PubMed] [Green Version]
- Aghion, P.; Durlauf, S.N. Handbook of Economic Growth, 1st ed.; Elsevier: Amsterdam, The Netherlands, 2005; pp. 1559–1560. [Google Scholar]
- Liang, W.; Yang, M. Urbanization, economic growth and environmental pollution: Evidence from China. Sustain. Comput. Inform. 2019, 21, 1–9. [Google Scholar] [CrossRef]
- Ameen, R.F.M.; Mourshed, M. Urban environmental challenges in developing countries—A stakeholder perspective. Habitat Int. 2017, 64, 1–10. [Google Scholar] [CrossRef]
- City, B.L.; Assessment, E. Urbanization and health. Bull. World Health Organ. 2010, 88, 245–246. [Google Scholar]
- WHO. Air Pollution. Available online: https://www.who.int/health-topics/air-pollution#tab=tab_1 (accessed on 10 November 2020).
- Pope, C.A.; Dockery, D.W. Health effects of fine particulate air pollution: Lines that connect. J. Air Waste Manag. 2006, 56, 709–742. [Google Scholar] [CrossRef]
- Lin, H.; Liu, T.; Xiao, J.; Zeng, W.; Li, X.; Guo, L.; Zhang, Y.; Xu, Y.; Tao, J.; Xian, H.; et al. Mortality burden of ambient fine particulate air pollution in six Chinese cities: Results from the Pearl River Delta study. Environ. Int. 2016, 96, 91–97. [Google Scholar] [CrossRef]
- Ho, H.C.; Wong, M.S.; Yang, L.; Shi, W.; Yang, J.; Bilal, M.; Chan, T.C. Spatiotemporal influence of temperature, air quality, and urban environment on cause-specific mortality during hazy days. Environ. Int. 2018, 112, 10–22. [Google Scholar] [CrossRef]
- Pope III, C.A.; Burnett, R.T.; Thun, M.J.; Calle, E.E.; Krewski, D.; Ito, K.; Thurston, G.D. Lung cancer, cardiopulmonary mortality, and long-term exposure to fine particulate air pollution. JAMA 2002, 287, 1132–1141. [Google Scholar] [CrossRef] [Green Version]
- Guo, Y.; Jia, Y.; Pan, X.; Liu, L.; Wichmann, H.E. The association between fine particulate air pollution and hospital emergency room visits for cardiovascular diseases in Beijing, China. Sci. Total Environ. 2009, 407, 4826–4830. [Google Scholar] [CrossRef]
- Chen, H.; Burnett, R.T.; Kwong, J.C.; Villeneuve, P.J.; Goldberg, M.S.; Brook, R.D.; van Donkelaar, A.; Jerrett, M.; Martin, R.V.; Kopp, A.; et al. Spatial Association Between Ambient Fine Particulate Matter and Incident Hypertension. Circulation 2014, 129, 562–569. [Google Scholar] [CrossRef] [Green Version]
- Guan, W.-J.; Zheng, X.-Y.; Chung, K.F.; Zhong, N.-S. Impact of air pollution on the burden of chronic respiratory diseases in China: Time for urgent action. Lancet 2016, 388, 1939–1951. [Google Scholar] [CrossRef]
- Huang, F.; Pan, B.; Wu, J.; Chen, E.; Chen, L. Relationship between exposure to PM2.5 and lung cancer incidence and mortality: A meta-analysis. Oncotarget 2017, 8, 43322–43331. [Google Scholar] [CrossRef] [PubMed] [Green Version]
- Li, R.; Zhou, R.; Zhang, J. Function of PM2.5 in the pathogenesis of lung cancer and chronic airway inflammatory diseases. Oncol. Lett. 2018, 15, 7506–7514. [Google Scholar] [CrossRef] [PubMed] [Green Version]
- Cohen, A.J.; Brauer, M.; Burnett, R.; Anderson, H.R.; Frostad, J.; Estep, K.; Balakrishnan, K.; Brunekreef, B.; Dandona, L.; Dandona, R.; et al. Estimates and 25-year trends of the global burden of disease attributable to ambient air pollution: An analysis of data from the Global Burden of Diseases Study 2015. Lancet 2017, 389, 1907–1918. [Google Scholar] [CrossRef] [Green Version]
- Ministry of Ecological Environment of the People’s Republic of China. Available online: http://www.mee.gov.cn/ (accessed on 10 November 2020).
- Apte, J.S.; Marshall, J.D.; Cohen, A.J.; Brauer, M. Addressing global mortality from ambient PM2.5. Environ. Sci. Technol. 2015, 49, 8057–8066. [Google Scholar] [CrossRef]
- Zhang, Q.; He, K.; Hou, H. Policy: Cleaning China’s air. Nature 2012, 484, 161–162. [Google Scholar] [CrossRef]
- SCPRC. Air Pollution Prevention and Control Action Plan. 2013. Available online: http://www.gov.cn/zhengce/content/2013-09/13/content_4561.htm (accessed on 10 November 2020).
- Zhang, Q.; Zheng, Y.; Tong, D.; Shao, M.; Wang, S.; Zhang, Y.; Xu, X.; Wang, J.; He, H.; Liu, W.; et al. Drivers of improved PM2.5 air quality in China from 2013 to 2017. Proc. Natl. Acad. Sci. USA 2019, 116, 24463–24469. [Google Scholar] [CrossRef] [Green Version]
- Xu, Y.; Xue, W.; Lei, Y.; Huang, Q.; Zhao, Y.; Cheng, S.; Ren, Z.; Wang, J. Spatiotemporal variation in the impact of meteorological conditions on PM2.5 pollution in China from 2000 to 2017. Atmos. Environ. 2020, 223, 117215. [Google Scholar] [CrossRef]
- Zhong, Q.; Tao, S.; Ma, J.; Liu, J.; Shen, H.; Shen, G.; Guan, D.; Yun, X.; Meng, W.; Yu, X.; et al. PM2.5 reductions in Chinese cities from 2013 to 2019 remain significant despite the inflating effects of meteorological conditions. One Earth 2021, 4, 448–458. [Google Scholar] [CrossRef]
- Duan, N. Models for human exposure to air pollution. Environ. Int. 1982, 8, 305–309. [Google Scholar] [CrossRef]
- Ott, W.R. Total human exposure. Environ. Sci. Technol. 1985, 19, 880–886. [Google Scholar] [CrossRef]
- Zou, B.; Li, S.; Lin, Y.; Wang, B.; Cao, S.; Zhao, X.; Peng, F.; Qin, N.; Guo, Q.; Feng, H.; et al. Efforts in reducing air pollution exposure risk in China: State versus individuals. Environ. Int. 2020, 137, 105504. [Google Scholar] [CrossRef] [PubMed]
- Lu, X.; Lin, C.; Li, Y.; Yao, T.; Fung, J.C.; Lau, A.K. Assessment of health burden caused by particulate matter in southern China using high-resolution satellite observation. Environ. Int. 2017, 98, 160–170. [Google Scholar] [CrossRef]
- Wu, J.; Zhu, J.; Li, W.; Xu, D.; Liu, J. Estimation of the PM2.5 health effects in China during 2000–2011. Environ. Sci. Pollut. Control. Ser. 2017, 24, 10695–10707. [Google Scholar] [CrossRef]
- Song, C.; He, J.; Wu, L.; Jin, T.; Chen, X.; Li, R.; Ren, P.; Zhang, L.; Mao, H. Health burden attributable to ambient PM2.5 in China. Environ. Pollut. 2017, 223, 575–586. [Google Scholar] [CrossRef]
- Wang, Q.; Wang, J.; He, M.Z.; Kinney, P.L.; Li, T. A county-level estimate of PM2.5-related chronic mortality risk in China based on multi-model exposure data. Environ. Int. 2018, 110, 105–112. [Google Scholar] [CrossRef] [PubMed] [Green Version]
- Guan, Y.; Kang, L.; Wang, Y.; Zhang, N.; Ju, M. Health loss attributed to PM2.5 pollution in China’s cities: Economic impact, annual change and reduction potential. J. Clean. Prod. 2019, 217, 284–294. [Google Scholar] [CrossRef]
- Feng, L.; Ye, B.; Feng, H.; Ren, F.; Huang, S.; Zhang, X.; Zhang, Y.; Du, Q.; Ma, L. Spatiotemporal Changes in Fine Particulate Matter Pollution and the Associated Mortality Burden in China between 2015 and 2016. Int. J. Environ. Res. Public Health 2017, 14, 1321. [Google Scholar] [CrossRef] [Green Version]
- Wang, Q.; Wang, J.; Zhou, J.; Ban, J.; Li, T. Estimation of PM2.5-associated disease burden in China in 2020 and 2030 using population and air quality scenarios: A modelling study. Lancet Planet. Health 2019, 3, E71–E80. [Google Scholar] [CrossRef] [Green Version]
- Li, Y.; Liao, Q.; Zhao, X.; Tao, Y.; Bai, Y.; Peng, L. Premature mortality attributable to PM2.5 pollution in China during 2008-2016: Underlying causes and responses to emission reductions. Chemosphere 2021, 263, 127925. [Google Scholar] [CrossRef]
- Maji, K.J. Substantial changes in PM2.5 pollution and corresponding premature deaths across China during 2015–2019: A model prospective. Sci. Total Environ. 2020, 729, 138838. [Google Scholar] [CrossRef]
- Mao, H.N.; Ahn, Y.Y.; Bhaduri, B.; Thakur, G. Improving land use inference by factorizing mobile phone call activity matrix. J. Land Use Sci. 2017, 12, 138–153. [Google Scholar] [CrossRef]
- Wu, W.; Yang, X.; Yao, M.; Wu, G.; Xu, J.; Zhao, X.; Zhang, J. Assessment of mortality burden and economic loss attributed to long-term PM2.5 exposure in the Beijing-Tianjin-Hebei area. Chin. J. Epidemiol. 2020, 41, 1471–1476. [Google Scholar]
- Burnett, R.T.; Pope III, C.A.; Ezzati, M.; Olives, C.; Lim, S.S.; Mehta, S.; Shin, H.H.; Singh, G.; Hubbell, B.; Brauer, M.; et al. An integrated risk function for estimating the global burden of disease attributable to ambient fine particulate matter exposure. Environ. Health Perspect. 2014, 122, 397–403. [Google Scholar] [CrossRef]
- Maji, K.J.; Ye, W.F.; Arora, M.; Nagendra, S.M.S. PM2.5-related health and economic loss assessment for 338 Chinese cities. Environ. Int. 2018, 121, 392–403. [Google Scholar] [CrossRef] [PubMed]
- Pope, C.A.; Cohen, A.J.; Burnett, R.T. Cardiovascular disease and fine particulate matter. Circ. Res. 2018, 122, 1645–1647. [Google Scholar] [CrossRef] [PubMed]
- Burnett, R.; Chen, H.; Szyszkowicz, M.; Fann, N.; Hubbell, B.; Pope, C.A.; Apte, J.S.; Brauer, M.; Cohen, A.; Weichenthal, S.; et al. Global estimates of mortality associated with long-term exposure to outdoor fine particulate matter. Proc. Natl. Acad. Sci. USA 2018, 115, 9592–9597. [Google Scholar] [CrossRef] [PubMed] [Green Version]
- Hammer, M.S.; van Donkelaar, A.; Li, C.; Lyapustin, A.; Sayer, A.M.; Hsu, N.C.; Levy, R.C.; Garay, M.J.; Kalashnikova, O.V.; Kahn, R.A.; et al. Global Estimates and Long-Term Trends of Fine Particulate Matter Concentrations (1998–2018). Environ. Sci. Technol. 2020, 54, 7879–7890. [Google Scholar] [CrossRef] [PubMed]
- Dobson, J.; Bright, E.; Coleman, P.; Durfee, R.; Worley, B. A global population database for estimating populations at risk. Photogramm. Eng. Remote Sens. 2000, 66, 849–857. [Google Scholar]
- Chen, Y.; Guo, F.; Wang, J.; Cai, W.; Wang, C.; Wang, K. Provincial and gridded population projection for China under shared socioeconomic pathways from 2010 to 2100. Sci. Data 2020, 7, 83. [Google Scholar] [CrossRef] [Green Version]
- GBD Database. Available online: http://ghdx.healthdata.org/gbd-results-tool (accessed on 10 November 2020).
- Zhou, M.; Wang, H.; Zhu, J.; Chen, W.; Wang, L.; Liu, S.; Li, Y.; Wang, L.; Liu, Y.; Yin, P.; et al. Cause-specific mortality for 240 causes in China during 1990–2013: A systematic subnational analysis for the Global Burden of Disease Study 2013. Lancet 2016, 387, 251–272. [Google Scholar] [CrossRef]
- RESDC. Available online: http://www.resdc.cn (accessed on 10 November 2020).
- Zhao, H. Progress of formulating “13th Five-year Plan” for national environmental protection. Environ. Prot. 2014, 42, 28–32. [Google Scholar]
- Samir, K.C.; Lutz, W. The human core of the shared socioeconomic pathways: Population scenarios by age, sex and level of education for all countries to 2100. Glob. Environ. Chang. 2017, 42, 181–192. [Google Scholar]
- Korhonen, A.; Lehtomaki, H.; Lehtomaki, H.; Karvosenoja, N.; Karvosenoja, N.; Kupiainen, K.; Sofiev, M.; Palamarchuk, Y.; Kukkonen, J.; Kangas, L.; et al. Influence of spatial resolution on population PM2.5 exposure and health impacts. Air Qual. Atmos. Health 2019, 12, 705–718. [Google Scholar] [CrossRef] [Green Version]
- SCPRC. Healthy China 2030. 2016. Available online: http://www.gov.cn/zhengce/2016-10/25/content_5124174.htm (accessed on 10 November 2020).
- Ma, Z.; Hu, X.; Sayer, A.M.; Levy, R.; Levy, R.; Xue, Y.; Tong, S.; Bi, J.; Huang, L.; Liu, Y. Satellite-based spatiotemporal trends in PM2.5 concentrations: China, 2004–2013. Environ. Health Perspect. 2016, 124, 184–192. [Google Scholar] [CrossRef] [Green Version]
- Xie, G.; Wang, M.; Pan, J.; Zhu, Y. Spatio-temporal variations and trends of MODIS C6.1 Dark Target and Deep Blue merged aerosol optical depth over China during 2000–2017. Atmos. Environ. 2019, 214, 116846. [Google Scholar] [CrossRef]
- Ding, S.; He, J.; Liu, D.; Zhang, R.; Yu, S. The spatially heterogeneous response of aerosol properties to anthropogenic activities and meteorology changes in China during 1980-2018 based on the singular value decomposition method. Sci. Total Environ. 2020, 724, 138135. [Google Scholar] [CrossRef]
- Li, Y.; Song, Y.; Kaskaoutis, D.G.; Zan, J.; Orozbaev, R.; Tan, L.; Chen, X. Aeolian dust dynamics in the Fergana Valley, Central Asia, since ~30 ka inferred from loess deposits. Geosci. Front. 2021, 12, 101180. [Google Scholar] [CrossRef]
- Qin, H.; Liao, T.F. The association between rural-urban migration flows and urban air quality in China. Reg. Environ. Chang. 2016, 16, 1375–1387. [Google Scholar] [CrossRef]
- Lin, B.; Zhu, J. Changes in urban air quality during urbanization in China. J. Clean. Prod. 2018, 188, 312–321. [Google Scholar] [CrossRef]
- Liddle, B.; Lung, S. Age-structure, urbanization, and climate change in developed countries: Revisiting STIRPAT for disaggregated population and consumption-related environmental impacts. Popul. Environ. 2010, 31, 317–343. [Google Scholar] [CrossRef] [Green Version]
- Sadorsky, P. The effect of urbanization on CO2 emissions in emerging economies. Energy Econ. 2018, 41, 147–153. [Google Scholar] [CrossRef]
- Yue, H.; He, C.; Huang, Q.; Yin, D.; Bryan, B.A. Stronger policy required to substantially reduce deaths from PM2.5 pollution in China. Nat. Commun. 2020, 11, 1462. [Google Scholar] [CrossRef] [Green Version]
- Hu, J.; Huang, L.; Chen, M.; Liao, H.; Zhang, H.; Wang, S.; Ying, Q. Premature mortality attributable to particulate matter in China: Source contributions and responses to reductions. Environ. Sci. Technol. 2017, 51, 9950–9959. [Google Scholar] [CrossRef]
- Li, T.; Guo, Y.; Liu, Y.; Wang, J.; Wang, Q.; Sun, Z.; He, M.Z.; Shi, X. Estimating mortality burden attributable to short-term PM2.5 exposure: A national observational study in China. Environ. Int. 2019, 125, 245–251. [Google Scholar] [CrossRef] [PubMed]
- Diao, B.; Ding, L.; Zhang, Q.; Na, J.; Cheng, J. Impact of Urbanization on PM2.5-Related Health and Economic Loss in China 338 Cities. Int. J. Environ. Res. Public Health 2020, 17, 990. [Google Scholar] [CrossRef] [Green Version]
- Xue, T.; Zhu, T.; Zheng, Y.; Liu, J.; Li, X.; Zhang, Q. Change in the number of PM2.5-attributed deaths in China from 2000 to 2010: Comparison between estimations from census-based epidemiology and pre-established exposure-response functions. Environ. Int. 2019, 129, 430–437. [Google Scholar] [CrossRef] [PubMed]
- Lelieveld, J.; Evans, J.S.; Fnais, M.; Giannadaki, D.; Pozzer, A. The contribution of outdoor air pollution sources to premature mortality on a global scale. Nature 2015, 525, 367–371. [Google Scholar] [CrossRef] [PubMed]
- Yang, Y.; Ruan, Z.; Wang, X.; Yang, Y.; Mason, T.G.; Lin, H.; Tian, L. Short-term and long-term exposures to fine particulate matter constituents and health: A systematic review and meta-analysis. Environ. Pollut. 2019, 247, 874–882. [Google Scholar] [CrossRef] [PubMed]














| Cause of Death | β | α | μ | ν | References |
|---|---|---|---|---|---|
| IHD | 0.2969 | 1.9 | 12.0 | 40.2 | Burnett et al. [41] |
| Stroke | 0.2720 | 6.2 | 16.7 | 23.7 | |
| COPD | 0.2510 | 6.5 | 2.5 | 32.0 | |
| LC | 0.2942 | 6.2 | 9.3 | 29.8 | |
| LRI | 0.4468 | 6.4 | 5.7 | 8.4 |
| Year | Premature Deaths (103 Persons) | Decline in Premature Deaths (%) | ||||||||||
|---|---|---|---|---|---|---|---|---|---|---|---|---|
| BTHS | YRD | FWP | CYR | TCC | PRD | BTHS | YRD | FWP | CYR | TCC | PRD | |
| 2014 | 414.49 | 315.88 | 97.08 | 180.39 | 182.21 | 77.75 | 0 | 0 | 0 | 0 | 0 | 0 |
| 2015 | 397.61 | 295.33 | 90.39 | 160.69 | 166.51 | 69.20 | 4.07 | 6.51 | 6.89 | 10.92 | 8.62 | 11.00 |
| 2016 | 377.39 | 270.92 | 90.36 | 156.26 | 156.19 | 64.88 | 8.95 | 14.23 | 6.92 | 13.38 | 14.28 | 16.55 |
| 2017 | 351.19 | 265.01 | 87.79 | 144.28 | 150.88 | 66.59 | 15.27 | 16.10 | 9.57 | 20.02 | 17.19 | 14.35 |
| 2018 | 327.97 | 247.52 | 81.34 | 132.34 | 137.33 | 61.67 | 20.87 | 21.64 | 16.21 | 26.64 | 24.63 | 20.68 |
Publisher’s Note: MDPI stays neutral with regard to jurisdictional claims in published maps and institutional affiliations. |
© 2021 by the authors. Licensee MDPI, Basel, Switzerland. This article is an open access article distributed under the terms and conditions of the Creative Commons Attribution (CC BY) license (https://creativecommons.org/licenses/by/4.0/).
Share and Cite
Ma, Y.; Li, D.; Zhou, L. Health Impact Attributable to Improvement of PM2.5 Pollution from 2014–2018 and Its Potential Benefits by 2030 in China. Sustainability 2021, 13, 9690. https://doi.org/10.3390/su13179690
Ma Y, Li D, Zhou L. Health Impact Attributable to Improvement of PM2.5 Pollution from 2014–2018 and Its Potential Benefits by 2030 in China. Sustainability. 2021; 13(17):9690. https://doi.org/10.3390/su13179690
Chicago/Turabian StyleMa, Yu, Deping Li, and Liang Zhou. 2021. "Health Impact Attributable to Improvement of PM2.5 Pollution from 2014–2018 and Its Potential Benefits by 2030 in China" Sustainability 13, no. 17: 9690. https://doi.org/10.3390/su13179690
APA StyleMa, Y., Li, D., & Zhou, L. (2021). Health Impact Attributable to Improvement of PM2.5 Pollution from 2014–2018 and Its Potential Benefits by 2030 in China. Sustainability, 13(17), 9690. https://doi.org/10.3390/su13179690
