Sustainable Determinants That Affect Tourist Arrival Forecasting
Abstract
:1. Introduction
2. Materials and Methods
3. Results
- First, transferred to the Excel spreadsheet;
- Calculated, to monthly observations;
- Chained indexed (CI) in (5);where Xt is the present month, Xt−1 is the previous month;1. CI = Xt/Xt−1 · 100,
- Indexed (I) to a constant base in (6),where I for 1999 is 100 (1999 = 100) and It−1 is a past index with a constant base;2. I = CIt · It−1/100,
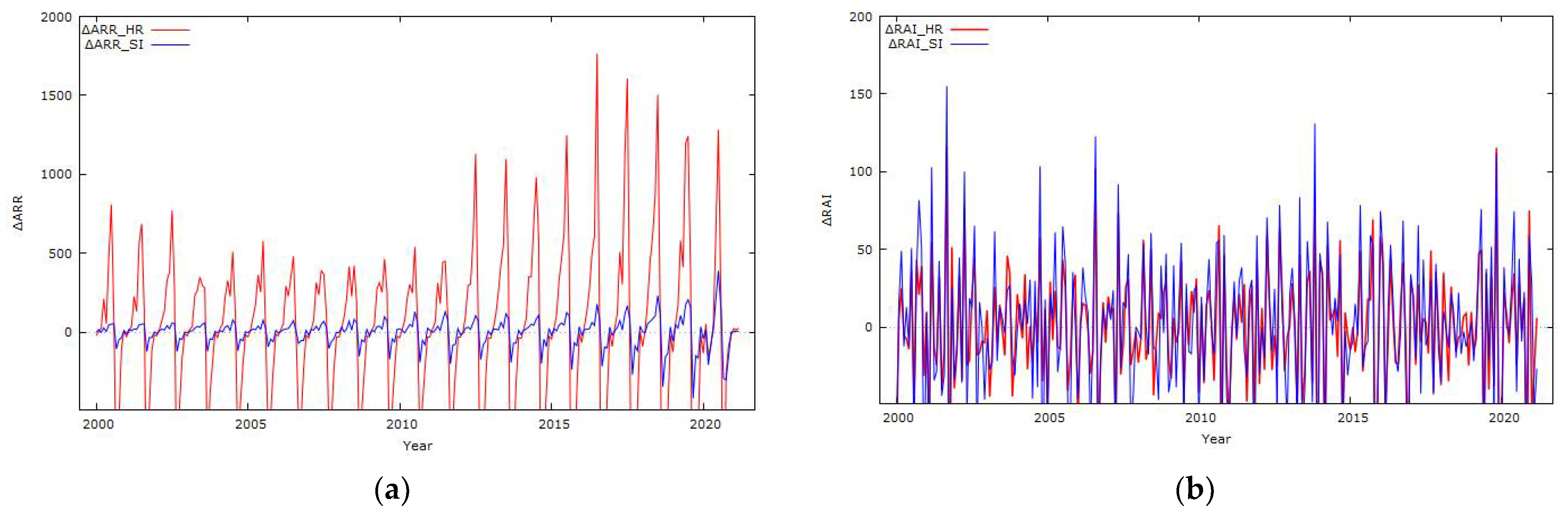
3.1. Familiarisation with the Data—Data Plotting in Logarithms
3.1.1. Data Overview
3.1.2. Data Plotting in First Differences
3.2. Results of VAR
- Croatian ARR is near I(0) with a transitory dummy (0, −1, 0, 0) for April 2020 (−1) and (+1) for May 2020;
- Slovenian ARR is near I(1) with a transitory dummy (0, −1, 1, 1, 1, 1, 0) for April 2020 (−1) and (+1) for May 2020 to August 2020;
- Croatian precipitation is near I(1);
- Slovenian precipitation is near I(1);
- Croatian earthquakes variable is seasonally adjusted and has a logarithm;
- Slovenian earthquakes variable has a logarithm;
- Croatian cloud cover variable is near I(1);
- Slovenian cloud cover variable is near I(1);
- The carbon dioxide variable has a logarithm.
3.3. Results of Cointegration
3.4. Results of the Sensitive Analysis—Pre-Pandemic Effect on a Panel
4. Discussion
- Carbon dioxide strategy;
- Supply of goods and attractions for cloudy days in Croatia;
- Supply of goods and attractions for rainy days in Slovenia;
- Sustain with the measures developed during the pandemic to avoid further spreading of bacillus;
- Using econometrics and predictive analysis to determine and distribute solar days. Sunshine remains a necessary demand condition in both countries.
5. Conclusions
- Tourist demand is not a factual situation;
- Quantitative analysis is essential for better planning and strategic dimensions in tourism;
- Tourism thinking is moving towards sustainable tourism, e.g.:
- Average temperatures should not rise above 31 degrees Celsius during the holidays;
- Rain and cloud cover significantly affect tourism demand;
- CO2 emissions play an essential role for tourists;
Author Contributions
Funding
Data Availability Statement
Acknowledgments
Conflicts of Interest
References
- Data, The World Bank, International Tourism, Number of Arrivals—Slovenia, Croatia, Central Europe and the Baltics, European Union. Available online: https://data.worldbank.org/indicator/ST.INT.ARVL?locations=SI-HR-B8-EU (accessed on 9 August 2021).
- Kitamura, Y.; Karkour, S.; Ichisugi, Y.; Itsubo, N. Evaluation of the Economic, Environmental, and Social Impacts of the COVID-19 Pandemic on the Japanese Tourism Industry. Sustainability 2020, 12, 10302. [Google Scholar] [CrossRef]
- Persson-Fischer, U.; Liu, S. The Impact of a Global Crisis on Areas and Topics of Tourism Research. Sustainability 2021, 13, 906. [Google Scholar] [CrossRef]
- Rodríguez-Antón, J.M.; Alonso-Almeida, M.d.M. COVID-19 Impacts and Recovery Strategies: The Case of the Hospitality Industry in Spain. Sustainability 2020, 12, 8599. [Google Scholar] [CrossRef]
- Higgins-Desbiolles, F. The “War over tourism”: Challenges to Sustainable Tourism in the Tourism Academy after COVID-19. J. Sustain. Tour. 2021, 29, 551–569. [Google Scholar] [CrossRef]
- Gricar, S. Turist kot pacient [Tourist as Patient]. In Proceedings of the Holistic Approach to the Patient, Novo Mesto, Slovenia, 14 November 2019; Kregar Velikonja, N., Leskovic, L., Eds.; University of Novo Mesto Faculty of Health Science: Novo Mesto, Slovenia, 2020; pp. 137–145. [Google Scholar]
- Hall, C.; Scott, M.; Gössling, S. Pandemics, Transformations and Tourism: Be Careful what you wish for. Tour. Geogr. 2021, 22, 577–598. [Google Scholar] [CrossRef]
- Lew, A.A.; Cheer, J.M.; Haywood, M.; Brouder, P.; Salazar, N.B. Visions of Travel and Tourism after the Global COVID-19 Transformation of 2020. Tour. Geogr. 2020, 22, 455–466. [Google Scholar] [CrossRef]
- Hall, C.M. Tourism Planning: Policies, Processes and Relationships, 2nd ed.; Prentice-Hall: Harlow, UK, 2008; pp. 227–244. [Google Scholar]
- Trögl, J.; Pavlorková, J.; Packová, P.; Seják, J.; Kuráň, P.; Popelka, J.; Pacina, J. Indication of Importance of Including Soil Microbial Characteristics into Biotope Valuation Method. Sustainability 2016, 8, 253. [Google Scholar] [CrossRef] [Green Version]
- Schmieder, K. European Lake Shores in Danger—Concepts for a Sustainable Development. Limnologica 2004, 34, 3–14. [Google Scholar] [CrossRef] [Green Version]
- Knezevic, R. Contents and Assessment of Basic Tourism Resources. Tour. Hosp. Manag. 2008, 14, 79–94. [Google Scholar]
- Vuković, A.J.; Terzić, A. Gastronomy and Regional Identity: Balkan versus National Cuisine. In Gastronomy for Tourism Development; Peštek, A., Kukanja, M., Renko, S., Eds.; Emerald Publishing Limited: Bingley, UK, 2020; pp. 1–25. [Google Scholar] [CrossRef]
- Chirivella Caballero, M.; Hart, M. Market dynamics: Three-”S” Tourism and The Mature Single Lady. Int. J. Contemp. Hosp. Manag. 1996, 8, 10–13. [Google Scholar] [CrossRef]
- Rosselló, J.; Becken, S.; Santana-Gallego, M. The Effects of Natural Disasters on International Tourism: A Global Analysis. Tour. Manag. 2020, 79, 104080. [Google Scholar] [CrossRef] [PubMed]
- Enríquez, A.R.; Bujosa Bestard, A. Measuring the Economic Impact of Climate-induced Environmental Changes on Sun-and-beach Tourism. Clim. Chang. 2020, 160, 203–217. [Google Scholar] [CrossRef]
- Nash, K.; Tran, A.; Leota, J.; Scott, A. Economic Threat Heightens Conflict Detection: sLORETA Evidence. Soc. Cogn. Affect. Neurosci. 2020, 15, 981–990. [Google Scholar] [CrossRef]
- Verikios, G. The Dynamic Effects of Infectious Disease Outbreaks: The case of Pandemic Influenza and Human Coronavirus. Socio-Econ. Plan. Sci. 2020, 71, 100898. [Google Scholar] [CrossRef] [PubMed]
- Adamson, C.S.; Chibale, K.; Goss, R.J.M.; Jaspars, M.; Newman, D.; Dorrington, R.A. Antiviral Drug Discovery: Preparing for the Next Pandemic. Chem. Soc. Rev. 2021, 50, 3647–3655. [Google Scholar] [CrossRef] [PubMed]
- Badalič, V. The War Against Vague Threats: The Redefinitions of Imminent Threat and Anticipatory use of Force. Secur. Dialogue 2021, 52, 174–191. [Google Scholar] [CrossRef]
- Davies, S.C.; Audi, H.; Cuddihy, M. Leveraging data and new digital tools to prepare for the next pandemic. Lancet 2021, 397, 1349–1350. [Google Scholar] [CrossRef]
- Ammar, S.E.; Mclntyre, M.; Baker, M.G.; Hales, S. Imported Arboviral Infections in New Zealand, 2001 to 2017: A Risk Factor for Local Transmission. Travel Med. Infect. Dis. 2021, 41, 102047. [Google Scholar] [CrossRef]
- Cevik, S. Going Viral: A Gravity Model of Infectious Diseases and Tourism Flows. Open Econ. Rev. 2021. [Google Scholar] [CrossRef]
- Mpumi, N.; Machunda, R.S.; Mtei, K.M.; Ndakidemi, P.A. Selected Insect Pests of Economic Importance to Brassica oleracea, Their Control Strategies and the Potential Threat to Environmental Pollution in Africa. Sustainability 2020, 12, 3824. [Google Scholar] [CrossRef]
- Folgieri, R.; Baldigara, T.; Gricar, S. Design of a Workbench and Guidelines to Improve the Efficacy of Advertising Messages. In ToSEE–Smart, Experience, Excellence, Proceedings of the ToSEE—Tourism in Southern and Eastern Europe 6th International Scientific Conference, Opatija, Croatia, 30 June—2 July 2021; Faculty of Tourism and Hospitality Management, University of Rijeka: Ika, Croatia, 2021. [Google Scholar]
- Ma, D.; Hu, J.; Yao, F. Big Data Empowering Low-Carbon Smart Tourism Study on Low-Carbon Tourism O2O Supply Chain Considering Consumer Behaviors and Corporate Altruistic Preferences. Comput. Ind. Eng. 2021, 153, 107061. [Google Scholar] [CrossRef]
- Jiménez-Guerrero, J.F.; Piedra-Muñoz, L.; Galdeano-Gómez, E.; Pérez-Mesa, J.C. The Global Economic Crisis and International Tourism: A Sub-Continental Analysis. Tour. Plan. Dev. 2021, 18, 1–24. [Google Scholar] [CrossRef] [Green Version]
- Lim, W.M.; To, W.-M. The Economic Impact of a Global Pandemic on the Tourism Economy: The Case of COVID-19 and Macao’s Destination- and Gambling-Dependent Economy. Curr. Issues Tour. 2021. [Google Scholar] [CrossRef]
- Lipponen, S. Côte d’Ivoire’s Potential as a Sustainable Tourism Destination. Ph.D. Thesis, Haaga-Helia University of Applied Sciences, Helsinki, Finland, 2021. [Google Scholar]
- Juselius, K. Searching for a Theory That Fits the Data: A Personal Research Odyssey. Econometrics 2021, 9, 5. [Google Scholar] [CrossRef]
- Hotez, P.J. Preventing the Next Pandemic, 1st ed.; Johns Hopkins University Press: Baltimore, MD, USA, 2021; pp. 154–196. [Google Scholar]
- Walmsley, A.; Åberg, K.; Blinnikka, P.; Jóhannesson, G.T. Tourism Employment in Nordic Countries: Trends, Practices and Opportunities. In Tourism Employment in Nordic Countries; Walmsley, A., Åberg, K., Blinnikka, P., Jóhannesson, G., Eds.; Palgrave Macmillan: Cham, Switzerland, 2020; pp. 425–442. [Google Scholar] [CrossRef]
- Kassouri, Y.; Altıntaş, H. Human Well-Being Versus Ecological Footprint in MENA Countries: A Trade-off? J. Environ. Manag. 2020, 263, 110405. [Google Scholar] [CrossRef]
- Mabkhot, M.M.; Ferreira, P.; Maffei, A.; Podržaj, P.; Mądziel, M.; Antonelli, D.; Lanzetta, M.; Barata, J.; Boffa, E.; Finžgar, M.; et al. Mapping Industry 4.0 Enabling Technologies into United Nations Sustainability Development Goals. Sustainability 2021, 13, 2560. [Google Scholar] [CrossRef]
- Zhang, J.; Zhang, Y. Low-carbon Tourism System in an Urban Destination. Curr. Issues Tour. 2020, 23, 1688–1704. [Google Scholar] [CrossRef]
- Zhang, J.; Zhang, Y. Assessing the Low-Carbon Tourism in The Tourism-Based Urban Destinations. J. Clean. Prod. 2020, 276, 124303. [Google Scholar] [CrossRef]
- Wei, G.; Tang, Y.; Zhao, M.; Lin, R.; Wu, J. Selecting the Low-Carbon Tourism Destination: Based on Pythagorean Fuzzy Taxonomy Method. Mathematics 2020, 8, 832. [Google Scholar] [CrossRef]
- Eka Mahadewi, N.M. Nomadic Tourism, Education Tourism, Digital Tourism and Event Tourism for Sustainable Tourism. J. Adv. Res. Dyn. Control Syst. 2020, 11, 360–367. [Google Scholar]
- Wong, I.A.; Ma, J.; Xiong, X. Touristic Experience at a Nomadic Sporting Event: Craving Cultural Connection, Sacredness, Authenticity, and Nostalgia. J. Hosp. Tour. Manag. 2020, 44, 70–78. [Google Scholar] [CrossRef]
- McKercher, B.; Tolkach, D.; Eka Mahadewi, N.M.; Ngurah Byomantara, D.G. Individual tourism systems. Tour. Manag. 2021, 82, 104187. [Google Scholar] [CrossRef]
- Alizadeh, M.; Mirzaei, R.; Dittmann, A. Climate Change and its Potential Impacts on Sustainable Tourism Development. Anatolia 2021. [Google Scholar] [CrossRef]
- Sharif, A.; Ullah, S.; Shahbaz, M.; Mahalik, M.K. Sustainable Tourism Development and Globalization: Recent Insights from the United States. Sustain. Dev. 2021. [Google Scholar] [CrossRef]
- Gričar, S.; Šugar, V.; Bojnec, Š. The Missing Link Between Wages and Labour Productivity in Tourism: Evidence from Croatia and Slovenia. Econ. Res.-Ekon. Istraživanja 2021, 34, 732–753. [Google Scholar] [CrossRef]
- Çınar, K. Role of Mobile Technology for Tourism Development. In The Emerald Handbook of ICT in Tourism and Hospitality; Hassan, A., Sharma, A., Eds.; Emerald Publishing Limited: Bingley, UK, 2020; pp. 273–288. [Google Scholar] [CrossRef]
- Papanikolas, Z. The Perpetual Tourist. West. Am. Lit. 1999, 34, 191–195. [Google Scholar] [CrossRef]
- Gričar, S.; Baldigara, T. An explorative study of tourism time series: Evidence from Slovenia and Croatia. Croat. Rev. Econ. Bus. Soc. Stat. 2019, 5, 101–116. [Google Scholar] [CrossRef] [Green Version]
- da Silva Lopes, H.; Remoaldo, P.C.; Ribeiro, V.; Martín-Vide, J. Effects of the COVID-19 Pandemic on Tourist Risk Perceptions—The Case Study of Porto. Sustainability 2021, 13, 6399. [Google Scholar] [CrossRef]
- Liu, S.; Liu, R.; Tan, N. A Spatial Improved-kNN-Based Flood Inundation Risk Framework for Urban Tourism under Two Rainfall Scenarios. Sustainability 2021, 13, 2859. [Google Scholar] [CrossRef]
- Obradović, S.; Stojanović, V. Measuring Residents’ Attitude Toward Sustainable Tourism Development: A Case Study of the Gradac River gorge, Valjevo (Serbia). Tour. Recreat. Res. 2021. [Google Scholar] [CrossRef]
- Hopkins, D. Crises and tourism mobilities. J. Sustain. Tour. 2021, 29, 1423–1435. [Google Scholar] [CrossRef]
- Pollock, D.S.G. Enhanced Methods of Seasonal Adjustment. Econometrics 2021, 9, 3. [Google Scholar] [CrossRef]
- Aslan, A.; Altinoz, B.; Özsolak, B. The Nexus Between Economic Growth, Tourism Development, Energy Consumption, and CO2 Emissions in Mediterranean Countries. Environ. Sci. Pollut. Res. 2021, 28, 3243–3252. [Google Scholar] [CrossRef] [PubMed]
- Sharma, G.D.; Thomas, A.; Paul, J. Reviving Tourism Industry Post-COVID-19: A Resilience-based Framework. Tour. Manag. Perspect. 2021, 37, 100786. [Google Scholar] [CrossRef] [PubMed]
- Singh, T.V. Climatology of Recreation. Tour. Recreat. Res. 1977, 2, 1–12. [Google Scholar] [CrossRef]
- Scott, D.; Hall, C.M.; Gössling, S. Global Tourism Vulnerability to Climate Change. Ann. Tour. Res. 2019, 77, 49–61. [Google Scholar] [CrossRef]
- Figueroa, B.E.; Rotarou, E.S. Sustainable Development or Eco-Collapse: Lessons for Tourism and Development from Easter Island. Sustainability 2016, 8, 1093. [Google Scholar] [CrossRef] [Green Version]
- Donkor, F.K.; Mearns, K. The Nexus of Climate Change and Urban Tourism in South Africa: Triaging Challenges and Optimising Opportunities. In Sustainable Urban Tourism in Sub-Saharan Africa, 1st ed.; Leonard, L., Musavengane, R., Siakwah, P., Eds.; Routledge: London, UK, 2020; p. 15. [Google Scholar] [CrossRef]
- Hoegh-Guldberg, O.; Pendleton, L.; Kaup, A. People and the changing nature of coral reefs. Region. Stud. Marine Sci. 2019, 30, 100699. [Google Scholar] [CrossRef]
- Sharif, A.; Afshan, S.; Nisha, N. Impact of tourism on CO2 emission: Evidence from Pakistan. Asia Pac. J. Tour. Res. 2017, 22, 408–421. [Google Scholar] [CrossRef]
- Taylor, T.; Ortiz, R.A. Impacts of Climate Change on Domestic Tourism in the UK: A Panel Data Estimation. Tour. Econ. 2009, 15, 803–812. [Google Scholar] [CrossRef]
- Wang, L.; Zhou, X.; Lu, M.; Cui, Z. Impacts of Haze Weather on Tourist Arrivals and Destination Preference: Analysis Based on Baidu Index of 73 Scenic Spots in Beijing, China. J. Clean. Prod. 2020, 273, 122887. [Google Scholar] [CrossRef]
- Rutty, M.; Scott, D.; Matthews, L.; Burrowes, R.; Trotman, A.; Mahon, R.; Charles, A. An Inter-Comparison of the Holiday Climate Index (HCI: Beach) and the Tourism Climate Index (TCI) to Explain Canadian Tourism Arrivals to the Caribbean. Atmosphere 2020, 11, 412. [Google Scholar] [CrossRef] [Green Version]
- Vărzaru, A.A.; Bocean, C.G.; Cazacu, M. Rethinking Tourism Industry in Pandemic COVID-19 Period. Sustainability 2021, 13, 6956. [Google Scholar] [CrossRef]
- Endalew, H.A.; Sen, S. Effects of Climate Shocks on Ethiopian Rural Households: An Integrated Livelihood Vulnerability Approach. J. Environ. Plan. Manag. 2021, 64, 399–431. [Google Scholar] [CrossRef]
- Čorak, S.; Boranić Živoder, S.; Marušić, Z. Opportunities for Tourism Recovery and Development During and After COVID-19: Views of Tourism Scholars versus Tourism Practitioners. Tour. Int. Interdiscip. J. 2020, 68, 434–449. [Google Scholar] [CrossRef]
- Koščak, M.; O’Rourke, T. Post-Pandemic Sustainable Tourism Management: The New Reality of Managing Ethical and Responsible Tourism, 1st ed.; Routledge: Abingdon, UK, 2021. [Google Scholar] [CrossRef]
- Hussain, A.; Fusté-Forné, F. Post-Pandemic Recovery: A Case of Domestic Tourism in Akaroa (South Island, New Zealand). World 2021, 2, 127–138. [Google Scholar] [CrossRef]
- Sengel, U. COVID-19 and “New Normal” Tourism: Reconstructing Tourism. J. Tour. Dev. 2021, 35, 217–226. [Google Scholar]
- de Sausmarez, N. Crisis Management, Tourism and Sustainability: The Role of Indicators. J. Sustain. Tour. 2007, 15, 700–714. [Google Scholar] [CrossRef]
- Sridhar, D. COVID-19: What Health Experts Could and Could not Predict. Nat. Med. 2020, 26, 1812. [Google Scholar] [CrossRef] [PubMed]
- Gričar, S.; Bojnec, Š. Microbes and Shocks in Tourist Arrivals. Acad. Tur.—Tour. Innov. J. 2021. forthcoming. [Google Scholar]
- González-Domenech, C.M.; Pérez-Hernández, I.; Gómez-Ayerbe, C.; Viciana Ramos, I.; Palacios-Muñoz, R.; Santos, J. A Pandemic within Other Pandemics. When a Multiple Infection of a Host Occurs: SARS-CoV-2, HIV and Mycobacterium tuberculosis. Viruses 2021, 13, 931. [Google Scholar] [CrossRef]
- Crivellari, A.; Beinat, E. LSTM-Based Deep Learning Model for Predicting Individual Mobility Traces of Short-Term Foreign Tourists. Sustainability 2020, 12, 349. [Google Scholar] [CrossRef] [Green Version]
- Lee, G.H.; Han, H.S. Clustering of Tourist Routes for Individual Tourists using Sequential Pattern Mining. J. Supercomput. 2020, 76, 5364–5381. [Google Scholar] [CrossRef]
- Comerio, N.; Strozzi, F. Tourism and its Economic Impact: A Literature Review using Bibliometric Tools. Tour. Econ. 2019, 25, 109–131. [Google Scholar] [CrossRef]
- Eusébio, C.; Carneiro, M.J.; Madaleno, M.; Robaina, M.; Rodrigues, V.; Russo, M.; Relvas, H.; Gama, C.; Lopes, M.; Seixas, V.; et al. The Impact of Air Quality on Tourism: A Systematic Literature Review. J. Tour. Futures 2021, 7, 111–130. [Google Scholar] [CrossRef]
- Qiucheng, L.; Maoying, W. Tourists’ Pro-environmental Behaviour in Travel Destinations: Benchmarking the Power of Social Interaction and Individual Attitude. J. Sustain. Tour. 2020, 28, 1371–1389. [Google Scholar] [CrossRef]
- Baig, S.; Khan, A.A.; Khan, A.A. A Time Series Analysis of Causality Between Tourist Arrivals and Climatic Effects for Nature-based Tourism Destinations: Evidence from Gilgit-Baltistan, Pakistan. Environ. Dev. Sustain. 2021, 23, 5035–5057. [Google Scholar] [CrossRef]
- Fauzel, S. The Impact of Changes in Temperature and Precipitation on Tourists Arrival: An ARDL Analysis for the Case of a SIDS. Curr. Issues Tour. 2020, 23, 2353–2359. [Google Scholar] [CrossRef]
- Álvarez-Díaz, M.; Rosselló-Nadal, J. Forecasting British Tourist Arrivals in the Balearic Islands Using Meteorological Variables. Tour. Econ. 2010, 16, 153–168. [Google Scholar] [CrossRef]
- Ping-Feng, P.; Wei-Chiang, H. A Recurrent Support Vector Regression Model in Rainfall Forecasting. Hydrol. Process. 2006, 21, 819–827. [Google Scholar] [CrossRef]
- Saverimuttu, V.; Estela Varua, M. Climate Variability in the Origin Countries as a “Push” Factor on Tourist Arrivals in the Philippines. Asia Pac. J. Tour. Res. 2014, 19, 846–857. [Google Scholar] [CrossRef]
- Franzoni, S.; Pelizzari, C. Rainfall financial risk assessment in the hospitality industry. Int. J. Contemp. Hosp. Manag. 2019, 31, 1104–1121. [Google Scholar] [CrossRef]
- Gössling, S.; Bredberg, M.; Randow, A.; Sandström, E.; Svensson, P. Tourist Perceptions of Climate Change: A Study of International Tourists in Zanzibar. Curr. Issues Tour. 2006, 9, 419–435. [Google Scholar] [CrossRef]
- Huang, L.; Yin, X.; Yang, Y.; Luo, M.; Huang, S.S. “Blessing in disguise”: The impact of the Wenchuan Earthquake on Inbound Tourist Arrivals in Sichuan, China. J. Hosp. Tour. Manag. 2020, 42, 58–66. [Google Scholar] [CrossRef]
- Min, J.; Kc, B.; Kim, S.; Lee, J. The Impact of Disasters on a Heritage Tourist Destination: A Case Study of Nepal Earthquakes. Sustainability 2020, 12, 6115. [Google Scholar] [CrossRef]
- Mishra, P.K.; Rout, H.B.; Pradhan, B.B. Seasonality in Tourism and Forecasting Foreign Tourist Arrivals in India. Iranian J. Manag. Stud. 2018, 11, 629–658. [Google Scholar] [CrossRef]
- Prayag, G.; Buda, D.-M.; Jordan, E.J. Mortality Salience and Meaning in Life for Residents Visiting Dark Tourism Sites. J. Sustain. Tour. 2021, 29, 1508–1528. [Google Scholar] [CrossRef]
- Gričar, S. Znanstveno Kritična Izdaja, Umetnost Menedžiranja Kakovosti: Razumevanje [Scientific Critical Edition, The Art of Quality Management: Understanding], 1st ed.; Faculty of Business and Management Sciences, University of Novo Mesto: Novo Mesto, Slovenia, 2021; forthcoming. [Google Scholar]
- Markušić, S.; Stanko, D.; Korbar, T.; Belić, N.; Penava, D.; Kordić, B. The Zagreb (Croatia) M5.5 Earthquake on 22 March 2020. Geosciences 2020, 10, 252. [Google Scholar] [CrossRef]
- Vrbanović, E.; Alajbeg, I.Z.; Alajbeg, I. COVID-19 Pandemic and Zagreb Earthquakes as Stressors in Patients with Temporomandibular Disorders. Oral Dis. 2021, 27, 688–693. [Google Scholar] [CrossRef]
- Markušić, S.; Stanko, D.; Penava, D.; Ivančić, I.; Bjelotomić Oršulić, O.; Korbar, T.; Sarhosis, V. Destructive M6.2 Petrinja Earthquake (Croatia) in 2020—Preliminary Multidisciplinary Research. Remote Sens. 2021, 13, 1095. [Google Scholar] [CrossRef]
- Matečić, I.; Rajić Šikanjić, P.; Perinić Lewis, A. The Potential of Forgotten and Hidden Zagreb Historical Cemeteries in the Design of ‘Dark’ Tourist Experiences. J. Herit. Tour. 2021. [Google Scholar] [CrossRef]
- Krešić, D.; Prebežac, D. Index of destination attractiveness as a tool for destination attractiveness assessment. Tour. Int. Interdiscip. J. 2011, 59, 497–517. [Google Scholar]
- Lise, W.; Tol, R.S.J. Impact of Climate on Tourist Demand. Clim. Chang. 2002, 55, 429–449. [Google Scholar] [CrossRef]
- Steiger, R.; Abegg, B.; Jänicke, L. Rain, Rain, Go Away, Come Again Another Day. Weather Preferences of Summer Tourists in Mountain Environments. Atmosphere 2016, 7, 63. [Google Scholar] [CrossRef] [Green Version]
- Rosselló, J.; Sansó, A. Yearly, Monthly and Weekly Seasonality of Tourism Demand: A Decomposition Analysis. Tour. Manag. 2017, 60, 379–389. [Google Scholar] [CrossRef]
- Saayman, A.; Saayman, M. Determinants of Inbound Tourism to South Africa. Tour. Econ. 2008, 14, 81–96. [Google Scholar] [CrossRef]
- Liu, Y.-Y.; Tseng, F.-M.; Tseng, Y.-H. Big Data Analytics for Forecasting Tourism Destination Arrivals with the Applied Vector Autoregression model. Technol. Forecast. Soc. Chang. 2018, 130, 123–134. [Google Scholar] [CrossRef]
- Pröbstl-Haider, U.; Haider, W.; Wirth, V.; Beardmore, B. Will Climate Change Increase the attractiveness of Summer Destinations in the European Alps? A Survey of German Tourists. J. Outdoor Recreat. Tour. 2015, 11, 44–57. [Google Scholar] [CrossRef]
- Lagos, T.G.; Samra, C.; Anderson, H.; Baker, S.; Leung, J.; Kincheloe, A.; Manning, B.; Tizon, O.D.; Gabrielle Franchino, H. Narrating Hellas: Tourism, news publicity and the refugee Crisis’s impact on Greece’s ‘Nation-Brand’. J. Tour. Hist. 2020, 12, 275–297. [Google Scholar] [CrossRef]
- Guaita Martínez, J.M.; Martín Martín, J.M.; Ostos Rey, M.d.S. An Analysis of the Changes in the Seasonal Patterns of Tourist Behavior During a Process of Economic Recovery. Technol. Forecast. Soc. Chang. 2020, 161, 120280. [Google Scholar] [CrossRef]
- Eissler, Y.; Dorador, C.; Kieft, B.; Molina, V.; Hengst, M. Virus and Potential Host Microbes from Viral-Enriched Metagenomic Characterization in the High-Altitude Wetland, Salar de Huasco, Chile. Microorganisms 2020, 8, 1077. [Google Scholar] [CrossRef]
- Anton, T. Planet of Microbes: The Perils and Potential of Earth’s Essential Life Forms; University of Chicago Press: Chicago, IL, USA, 2017; pp. 154–288. [Google Scholar]
- Zhang, K.; Hou, Y.; Li, G. Threat of Infectious Disease During an Outbreak: Influence on Tourists’ Emotional Responses to Disadvantaged Price Inequality. Ann. Tour. Res. 2020, 84, 102993. [Google Scholar] [CrossRef] [PubMed]
- Churchill, S.A.; Pan, L.; Paramati, S.R. Air Pollution and Tourism: Evidence from G20 Countries. J. Travel Res. 2021, in press. [Google Scholar] [CrossRef]
- Fethi, S.; Senyucel, E. The Role of Tourism Development on CO2 Emission Reduction in an Extended Version of the Environmental Kuznets Curve: Evidence from Top 50 tourist Destination Countries. Environ. Dev. Sustain. 2021, 23, 1499–1524. [Google Scholar] [CrossRef]
- Sun, Y.-Y.; Lin, P.-C.; Higham, J. Managing Tourism Emissions Through Optimising the Tourism Demand Mix: Concept and Analysis. Tour. Manag. 2020, 81, 104161. [Google Scholar] [CrossRef]
- Dorta Antequera, P.; Díaz Pacheco, J.; López Díez, A.; Bethencourt Herrera, C. Tourism, Transport and Climate Change: The Carbon Footprint of International Air Traffic on Islands. Sustainability 2021, 13, 1795. [Google Scholar] [CrossRef]
- Więckowski, M. Will the Consequences of Covid-19 Trigger a Redefining of the Role of Transport in the Development of Sustainable Tourism? Sustainability 2021, 13, 1887. [Google Scholar] [CrossRef]
- Tan, X.; Tu, T.; Gu, B.; Zeng, Y.; Huang, T.; Zhang, Q. Assessing CO2 Emissions from Passenger Transport with the Mixed-Use Development Model in Shenzhen International Low-Carbon City. Land 2021, 10, 137. [Google Scholar] [CrossRef]
- 2030 Climate & Energy Framework. Available online: https://ec.europa.eu/clima/policies/strategies/2030_en (accessed on 2 June 2021).
- SORS, SiStat, Database. Available online: https://pxweb.stat.si/SiStat/en (accessed on 2 June 2021).
- CBS, Croatian Bureau of Statistics, Database. Available online: https://www.dzs.hr/default_e.htm (accessed on 2 June 2021).
- Keeling, C.D.; Piper, S.C.; Bacastow, R.B.; Wahlen, M.; Whorf, T.P.; Heimann, M.; Meijer, H.A. Atmospheric CO2 and CO2 Exchange with the Terrestrial Biosphere and Oceans from 1978 to 2000: Observations and Carbon Cycle Implications. In A History of Atmospheric CO2 and Its Effects on Plants, Animals, and Ecosystems; Ehleringer, J.R., Cerling, T.E., Dearing, M.D., Eds.; Springer: New York, NY, USA, 2005; pp. 83–113. [Google Scholar]
- Scripps, CO2 Program. Available online: https://scrippsco2.ucsd.edu/data/atmospheric_co2/primary_mlo_co2_record.html (accessed on 2 June 2021).
- Harris, I.; Osborn, T.J.; Jones, P.; Lister, D. Version 4 of the CRU TS Monthly High-resolution Gridded Multivariate Climate Dataset. Sci. Data 2020, 7, 109. [Google Scholar] [CrossRef] [Green Version]
- Eurostat, Database. Available online: https://ec.europa.eu/eurostat/data/database (accessed on 2 June 2021).
- WBG, the World Bank Group, Climate Change Knowledge Portal; For Development Practitioners and Policy Makers, Download Data. Available online: https://climateknowledgeportal.worldbank.org/download-data (accessed on 3 June 2021).
- USGS, the U.S. Geological Survey. Available online: https://earthquake.usgs.gov/earthquakes/map/?extent=41.8532,10.30518&extent=47.18971,22.60986&range=search&search=%7B%22name%22:%22Search%20Results%22,%22params%22:%7B%22starttime%22:%221999-12-01%2000:00:00%22,%22endtime%22:%222021-06-09%2023:59:59%22,%22maxlatitude%22:46.483,%22minlatitude%22:42.618,%22maxlongitude%22:19.424,%22minlongitude%22:13.491,%22minmagnitude%22:0.5,%22orderby%22:%22time%22%7D%7D (accessed on 9 June 2021).
- WMO, World Meteorological Organization. Catalogue for Climate Data. Available online: https://climexp.knmi.nl/daily2longerbox.cgi (accessed on 4 June 2021).
- CMHS, Croatian Meteorological and Hydrological Service. Available online: https://meteo.hr/klima.php?section=klima_pracenje¶m=klel&Grad=split_marjan&Mjesec=06&Godina=2019 (accessed on 4 June 2021).
- ECDC, European Centre for Disease Prevention and Control, Surveillance Atlas of Infectious Diseases. Available online: https://atlas.ecdc.europa.eu/public/index.aspx (accessed on 3 June 2021).
- NIPH, National Institute for Public Health, Data Portal. Available online: https://www.nijz.si/sl/podatki (accessed on 3 June 2021).
- GML, Global Monitoring Laboratory, Data, Hegyhatsal, Hungary (HUN). Available online: https://gml.noaa.gov/aftp/data/trace_gases/co2/flask/surface/co2_hun_surface-flask_1_ccgg_month.txt (accessed on 2 June 2021).
- Klein Tank, A.M.G.; Wijngaard, J.B.; Können, G.P.; Böhm, R.; Demarée, G.; Gocheva, A.; Mileta, M.; Pashiardis, S.; Hejkrlik, L.; Kern-Hansen, C.; et al. Daily Dataset of 20th-centurysurface Air Temperature and Precipitation Series for the European Climate Assessment. Int. J. Climatol. 2002, 22, 1441–1453. [Google Scholar] [CrossRef]
- Distance.to. Available online: https://www.distance.to/Hegyh%C3%A1ts%C3%A1l,K%C3%B6rmendi-J%C3%A1r%C3%A1s,Vas,HUN/46.839293528426964,16.349038795165256; https://www.distance.to/Hegyh%C3%A1ts%C3%A1l,K%C3%B6rmendi-J%C3%A1r%C3%A1s,Vas,HUN/46.4742807677737,16.59975694701302 (accessed on 4 June 2021).
- Žitnik, B. CO2 Capture Readiness of Unit 6 in Thermal Power Plant Šoštanj. Electr. Power Res. Inst. 2010, 2034, 218. [Google Scholar]
- Bi, J.-W.; Liu, Y.; Li, H. Daily Tourism Volume Forecasting for Tourist Attractions. Ann. Tour. Res. 2020, 83, 102923. [Google Scholar] [CrossRef]
- Adedoyin, F.F.; Bekun, F.V. Modelling the interaction between tourism, energy consumption, pollutant emissions and Urbanisation: Renewed Evidence from Panel VAR. Environ. Sci. Pollut. Res. 2020, 27, 38881–38900. [Google Scholar] [CrossRef] [PubMed]
- Flores-Ruiz, D.; Elizondo-Salto, A.; Barroso-González, M.d.l.O. Using Social Media in Tourist Sentiment Analysis: A Case Study of Andalusia during the Covid-19 Pandemic. Sustainability 2021, 13, 3836. [Google Scholar] [CrossRef]
- Constantino, H.A.; Fernandes, P.O.; Teixeira, J.P. Tourism Demand Modelling and Forecasting with Artificial Neural Network Models: The Mozambique Case Study. Tékhne Rev. Appl. Manag. Stud. 2016, 14, 113–124. [Google Scholar] [CrossRef]
- Folgieri, R.; Baldigara, T.; Mamula, M. Artificial Neural Networks-based Econometric Models for Tourism Demand Forecasting. In Tourism and Creative Industries: Trends and Challenges, Proceedings of the 4th International Scientific Conference ToSEE—Tourism in Southern and Eastern Europe 2017, Opatija, Croatia, 4–6 May 2017; Marković, S., Smolčić Jurdana, D., Eds.; Faculty of Tourism and Hospitality Management, University of Rijeka: Opatija, Croatia, 2017; pp. 169–182. [Google Scholar]
- Hay, S.I.; Battle, K.E.; Pigott, D.M.; Smith, D.L.; Moyes, C.L.; Bhatt, S.; Brownstein, J.S.; Collier, N.; Myers, M.F.; George, D.B.; et al. Global Mapping of Infectious Disease. R. Soc. 2013, 368, 1614. [Google Scholar] [CrossRef]
- Ashley, A.R.; Parmeter, F.C. Sensitivity Analysis of an OLS Multiple Regression Inference with Respect to Possible Linear Endogeneity in the Explanatory Variables, for Both Modest and for Extremely Large Samples. Econometrics 2020, 8, 11. [Google Scholar] [CrossRef] [Green Version]
- Becker, W.; Paruolo, P.; Saltelli, A. Variable Selection in Regression Models Using Global Sensitivity Analysis. J. Time Ser. Econom. 2021, in press. [Google Scholar] [CrossRef]
- Qian, L.; Zheng, C.; Wang, J.; Pérez Sánchez, M.d.l.Á.; Parra López, E.; Li, H. Dark Tourism Destinations: The Relationships Between Tourists’ On-Site Experience, Destination Image and Behavioural Intention. Tour. Rev. 2021, in press. [Google Scholar]
- Lapajne, J.; Šket Motnikar, B.; Zabukovec, B.; Zupančič, P. Spatially Smoothed Seismicity Modelling of Seismic Hazard in Slovenia. J. Seismol. 1997, 1, 73–89. [Google Scholar] [CrossRef]
- Markušić, S.; Herak, M. Seismic Zoning of Croatia. Nat. Hazards 1998, 18, 269–285. [Google Scholar] [CrossRef]
- Tang, Y. Dark Tourism to Seismic Memorial Sites. In The Palgrave Handbook of Dark Tourism Studies; Stone, P., Hartmann, R., Seaton, T., Sharpley, R., White, L., Eds.; Palgrave Macmillan: London, UK, 2018; pp. 423–441. [Google Scholar] [CrossRef]
- Kužnik, L.; Veble, N. Into the Dark—Dark Stories in the Cities of Brežice and Krško in Slovenia as a Basis for the Future Dark Tourism Products. Int. J. Tour. Cities 2018, 4, 40–53. [Google Scholar] [CrossRef]
- Skare, M.; Tomic, D.; Kristek, I. Terms of Trade Impact on International Trade: A Panel cointegration Analysis. Transform. Bus. Econ. 2020, 19, 51. [Google Scholar]
- Susanto, J.; Zheng, X.; Liu, Y.; Wang, C. The impacts of climate variables and climate-related extreme events on island country’s tourism: Evidence from Indonesia. J. Clean. Prod. 2020, 276, 124204. [Google Scholar] [CrossRef]








| Variable | Abbreviation | Source | Availability |
|---|---|---|---|
| Tourist Arrivals | ARR | Eurostat [118] | December 1999–March 2021 |
| Precipitation | RAI | WBG [119] | January 1991–June 2021 |
| Earthquakes | QUA | USGS [120] | December 1999–June 2021 |
| Cloudiness | SUN | WMO [121] | January 1901–December 2018(9) |
| Cloudiness | SUN | CMHS [122] | January 2011–June 2021 |
| Microbes’ | MIC | ECDC [123] | January 2014–December 2019 |
| Microbes’ | MIC | NIPH [124] | January 2008–December 2019 |
| Carbon dioxide | CO2 | GML [125] 1 | March 1993–December 2019 |
| Variable | Mean | Median | Minimum | Maximum | Skewness | Ex. kurtosis | Std. Dev. |
|---|---|---|---|---|---|---|---|
| ARR_HR | 780.24 | 399.89 | 1.98 | 4168.20 | 1.77 | 3.00 | 873.88 |
| ARR_SI | 252.13 | 212.29 | 0.0009 | 1007.40 | 1.83 | 4.70 | 152.38 |
| RAI_HR | 58.79 | 54.89 | 2.601 | 152.31 | 0.55 | 0.33 | 28.02 |
| RAI_SI | 82.97 | 81.81 | 2.2753 | 204.99 | 0.48 | 0.19 | 39.709 |
| QUA_HR | 71.07 | 16.67 | 1.67 | 2766.70 | 8.68 | 82.75 | 260.24 |
| QUA_SI | 40.13 | 0.91 | 0.91 | 354.55 | 1.92 | 2.80 | 72.42 |
| SUN_HR | 80.59 | 81.10 | 21.28 | 138.30 | −0.21 | −0.60 | 24.83 |
| SUN_SI | 76.61 | 76.60 | 38.31 | 116.42 | 0.08 | −0.64 | 17.11 |
| CO2_HUN | 103.35 | 103.10 | 94.60 | 115.31 | 0.19 | −0.66 | 4.52 |
| ARR_HR | ARR_SI | RAI_HR | RAI_SI | QUA_HR | QUA_SI | SUN_HR | SUN_SI | CO2 | |
|---|---|---|---|---|---|---|---|---|---|
| 1.0000 | 0.6665 | −0.0088 | 0.0959 | −0.0134 | 0.0520 | −0.3047 | −0.2300 | −0.7028 | ARR_HR |
| 1.0000 | 0.0154 | 0.0482 | −0.0172 | 0.0137 | −0.0012 | 0.0480 | −0.1907 | ARR_SI | |
| 1.0000 | 0.8888 | −0.0522 | −0.0267 | 0.6390 | 0.6248 | −0.0007 | RAI_HR | ||
| 1.0000 | −0.0268 | −0.0647 | 0.4891 | 0.4971 | −0.1451 | RAI_SI | |||
| 1.0000 | 0.0009 | −0.0456 | −0.0661 | −0.0277 | QUA_HR | ||||
| 1.0000 | 0.0204 | −0.0079 | 0.0117 | QUA_SI | |||||
| 1.0000 | 0.7499 | 0.3136 | SUN_HR | ||||||
| 1.0000 | 0.3446 | SUN_SI | |||||||
| 1.0000 | CO2 |
| Variable | ADF Test (∆) | ARCH LM Test | Dummies | Jarque–Bera Test | Decision |
|---|---|---|---|---|---|
| ARR_HR | −5.52 *** I(1) | 74.99 *** | Dtr,t | 2.04 (−0.20; 3.20) | lnARR_HR |
| ARR_SI | −3.28 ** I(0) | 177.17 *** | Trend, constant, Dtr,t | 205.43 (−0.85; 7.06) | ∆ARR_SI |
| RAI_HR | −14.67 *** I(0) | 6.41 | Constant | 3.31 (−0.08; 3.53) | ∆RAI_HR |
| RAI_SI | −8.08 *** I(0) | 25.89 * | Constant | 6.72 ** (−0.26; 3.60) | ∆RAI_SI |
| QUA_HR | −3.88 *** I(0) | 102.86 *** | / | 1.14 (−0.16; 3.12) | lnStQUA_HR |
| QUA_SI | −5.89 *** I(1) | 88.84 *** | / | 38.65 *** (0.86; 2.12) | lnQUA_SI |
| SUN_HR | −3.66 *** I(0) | 38.25 *** | Constant | 2.42 (0.13; 2.60) | ∆SUN_HR |
| SUN_SI | −4.74 *** I(0) | 21.28 ** | Constant | 0.16 (−0.04; 2.92) | ∆SUN_SI |
| CO2_HUN | −4.49 *** I(1) | 206.97 *** | / | 5.81 ** (−0.10; 2.29) | lnCO2_HUN |
| p-r | r | Trace | p-Value |
|---|---|---|---|
| 9 | 0 | 1391.25 | 0.000 |
| 8 | 1 | 1118.41 | 0.000 |
| 7 | 2 | 871.58 | 0.000 |
| 6 | 3 | 647.72 | 0.000 |
| 5 | 4 | 440.02 | 0.000 |
| 4 | 5 | 265.62 | 0.000 |
| 3 | 6 | 115.26 | 0.000 |
| 2 | 7 | 57.19 | 0.000 |
| 1 | 8 | 18.74 | 0.004 |
| Regressor | Regressed | VAR | CVAR (ECM) | Panel (Sensitive) | |||
|---|---|---|---|---|---|---|---|
| National | Spatial | National | Spatial | National | Spatial | ||
| ARR | ARRHR | / | ✖ | ✖ | ✓ (+) | ✖ | ✓ (+) |
| ARRSI | / | ✓ (−) | ✖ | ✓ (+) | ✖ | ✓ (+) | |
| RAI | ARRHR | ✖ | ✖ | ✖ | ✖ | ✓ (+) | ✖ |
| ARRSI | ✓ (−) | ✓ (+) | ✓ (+) | ✓ (−) | ✖ | ✖ | |
| QUA | ARRHR | ✖ | ✖ | ✖ | ✖ | ✖ | ✖ |
| ARRSI | ✖ | ✖ | ✖ | ✖ | ✖ | ✖ | |
| SUN | ARRHR | ✓ (+) | ✓ (+) | ✓ (+) | ✓ (+) | ✓ (+) | ✖ |
| ARRSI | ✖ | ✓ (+) | ✓ (+) | ✓ (+) | ✖ | ✖ | |
| MIC(VIR) | ARRHR | / | / | ✖ | ✖ | ||
| ARRSI | / | / | ✓ (−) | ✖ | |||
| MIC(BAC) | ARRHR | / | / | ✓ (−) | ✓ (+) | ||
| ARRSI | / | / | ✓ (−) | ✓ (+) | |||
| CO2 | ARRHR | ✓ (−) | ✖ | ✖ | / | ✓ (−) | ✖ |
| ARRSI | ✓ (−) | ✖ | ✓ (−) | / | ✓ (+) | ✖ | |
Publisher’s Note: MDPI stays neutral with regard to jurisdictional claims in published maps and institutional affiliations. |
© 2021 by the authors. Licensee MDPI, Basel, Switzerland. This article is an open access article distributed under the terms and conditions of the Creative Commons Attribution (CC BY) license (https://creativecommons.org/licenses/by/4.0/).
Share and Cite
Gricar, S.; Baldigara, T.; Šugar, V. Sustainable Determinants That Affect Tourist Arrival Forecasting. Sustainability 2021, 13, 9659. https://doi.org/10.3390/su13179659
Gricar S, Baldigara T, Šugar V. Sustainable Determinants That Affect Tourist Arrival Forecasting. Sustainability. 2021; 13(17):9659. https://doi.org/10.3390/su13179659
Chicago/Turabian StyleGricar, Sergej, Tea Baldigara, and Violeta Šugar. 2021. "Sustainable Determinants That Affect Tourist Arrival Forecasting" Sustainability 13, no. 17: 9659. https://doi.org/10.3390/su13179659
APA StyleGricar, S., Baldigara, T., & Šugar, V. (2021). Sustainable Determinants That Affect Tourist Arrival Forecasting. Sustainability, 13(17), 9659. https://doi.org/10.3390/su13179659

