Rheological Behavior and Strength Characteristics of Cement Paste and Mortar with Fly Ash and GGBS Admixtures
Abstract
:1. Introduction
2. Experimental Investigation
2.1. Material Composition
2.2. Preparation and Testing of Cement Paste and Cement Mortar
3. Analyses and Discussions of the Results
3.1. Rheological Behavior of Cement Paste and Mortar (with and without Mineral Admixture)
3.2. Cohesive Strength of Cement and Mortar
3.3. Workability of Mortar
3.4. Strength Characteristics of Cement Mortar
4. Conclusions
- -
- The cohesion of the binary blended (fly ash + OPC; GGBS + OPC) paste mixes increases with an increase in the content of both mineral admixtures at a particular w/b ratio.
- -
- In the case of ternary blended paste mixes (OPC + fly ash + GGBS), the cohesion improves with increases in the GGBS content and cohesion decreases with an increase in the fly ash content.
- -
- GGBS-based paste mixes can be suggested for ornamental and masonry applications, as the cohesion of these mixes is higher than the fly ash mixes and the ternary blend mixes.
- -
- At the w/b ratio of 0.4, the maximum cohesion reported is 111 Pa for GGBS, 78.12 Pa for fly ash, and 67 Pa for ternary blended cement pastes, respectively.
- -
- As in the pastes, a similar behavior is observed for various mortars mixes (1:3). GGBS–cement mortar mixes show slightly higher cohesion than the fly ash–cement and ternary blended mortars.
- -
- The cohesion of the paste mixes is higher than that of the corresponding mortar mixes. This is due to the thickening of the water films surrounding the sand grains of the mortar mixes, resulting in increased inter-particle distance and decreased flocculation forces.
- -
- The maximum cohesion observed in the experimental investigation for the mortar mixes at w/b ratio 0.4 is 78.2 Pa for GGBS–cement mortar, 55.8 Pa for fly ash–cement mortar, and 67 Pa for GGBFS–fly ash–cement mortar, respectively.
- -
- The flow behavior of the mortar mixes is inversely proportional to the cohesion of similar mortar mixes.
- -
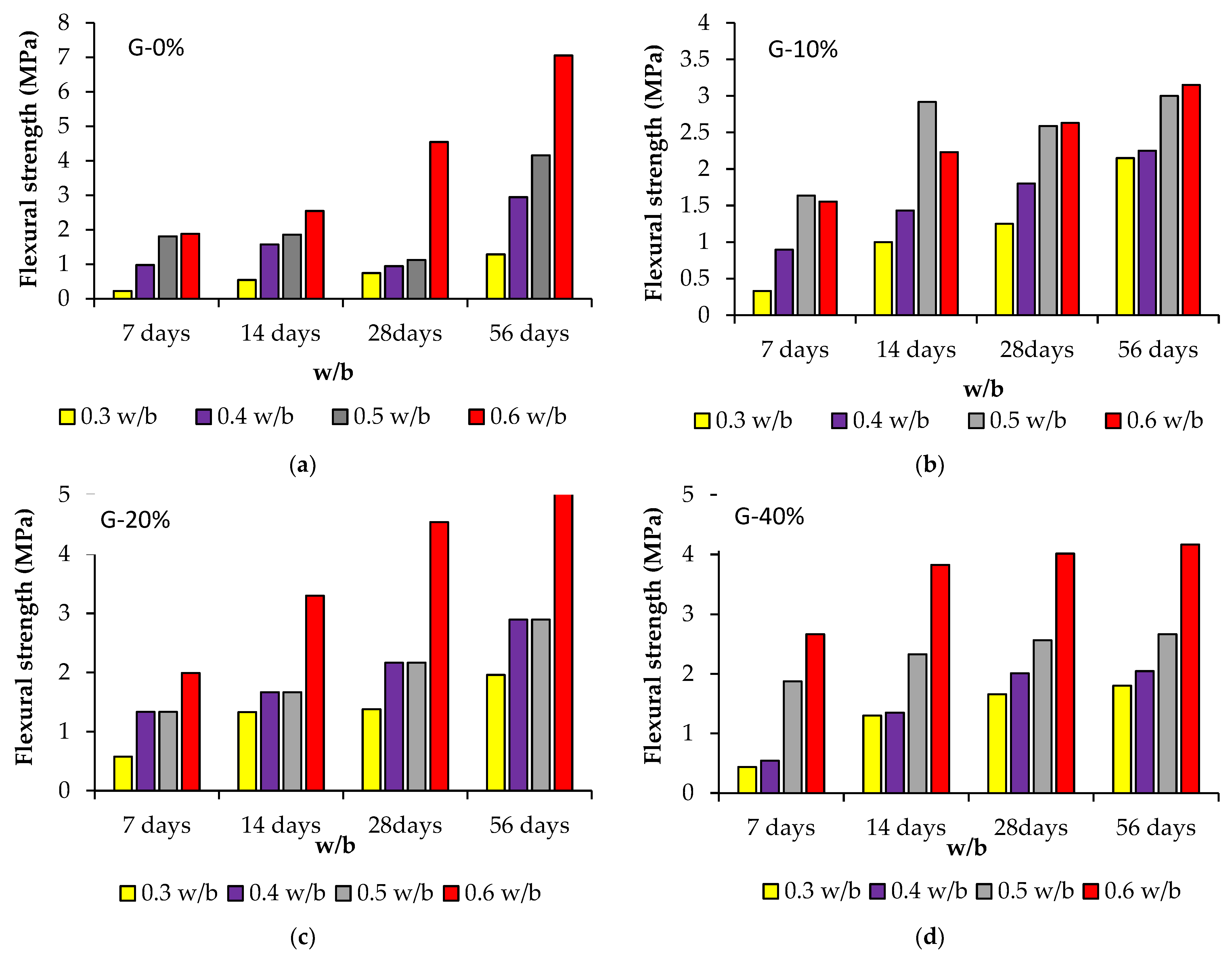
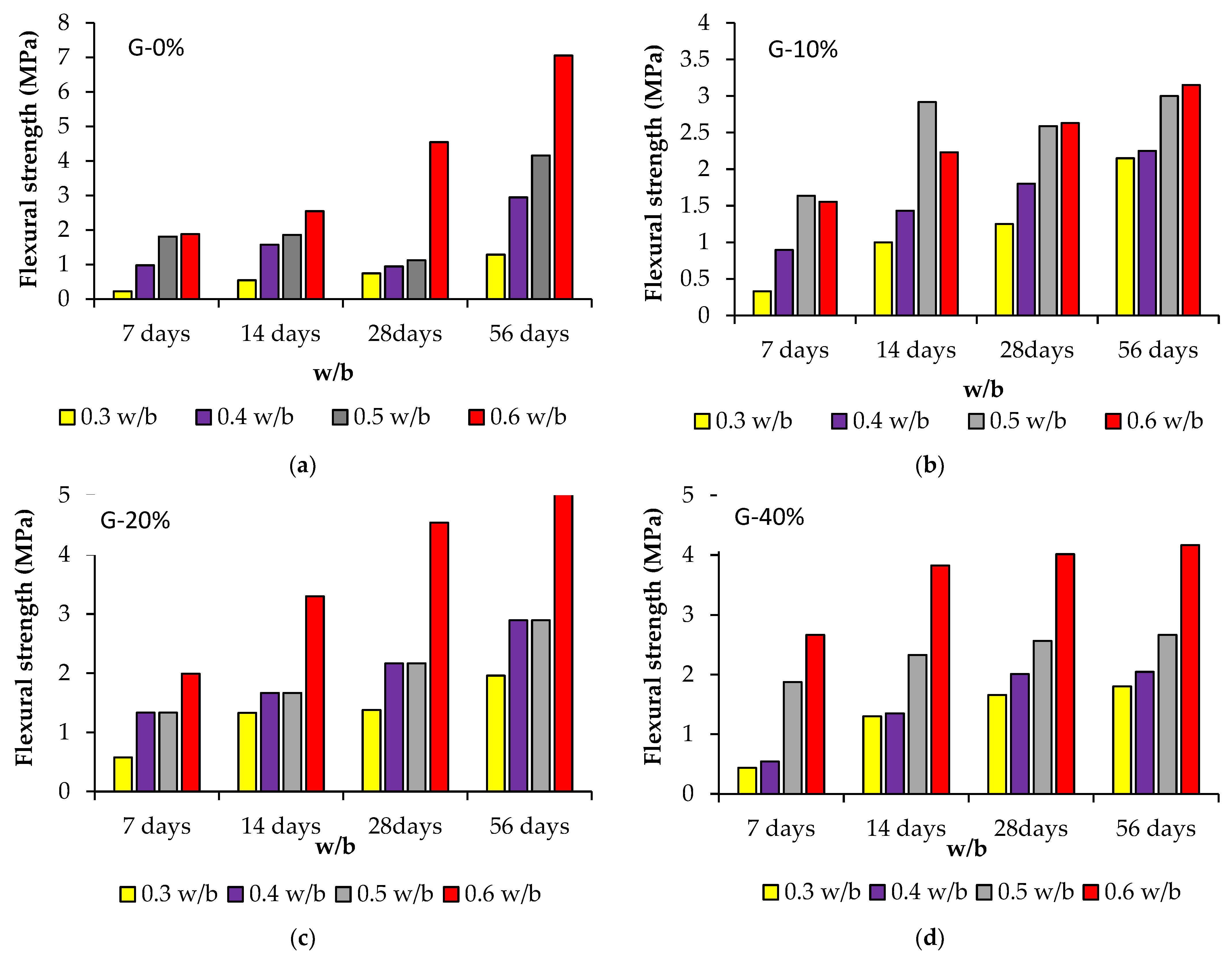
- Irrespective of the type of mortar mix at a w/b ratio of 0.6, the maximum flexural and split tensile strengths are reached.
- -
- Both the flexural and split tensile strength of the mortar mixes increases with an increase in the age of curing.
- -
- At 20% fly ash and at the age of 56 days, the maximum flexural and split tensile strengths are 3.486 MPa and 0.413 MPa, respectively.
- -
- At 20% GGBS and at the age of 56 days, the maximum flexural and split tensile strengths are 5.208 MPa and 0.488 MPa, respectively.
- -
- For the blended (10% OPC + 30% fly ash + 60% GGBS) mortar mix and at the age of 56 days, the maximum flexural strength was 3.667 MPa and the maximum split tensile strength was 0.361 MPa.
Author Contributions
Funding
Institutional Review Board Statement
Informed Consent Statement
Data Availability Statement
Acknowledgments
Conflicts of Interest
References
- Makul, N.; Fediuk, R.; Amran, M.; Zeyad, A.M.; Murali, G.; Vatin, N.; Klyuev, S.; Ozbakkaloglu, T.; Vasilev, Y. Use of recycled concrete aggregates in production of green cement-based concrete composites: A review. Crystals 2021, 11, 232. [Google Scholar] [CrossRef]
- Perry, S.H.; Bischoff, P.H.; Yamura, K. Mix details and material behaviour of polystyrene aggregate concrete. Mag. Concr. Res. 1991, 43. [Google Scholar] [CrossRef]
- Amran, Y.H.M.; Alyousef, R.; Alabduljabbar, H.; El-Zeadani, M. Clean production and properties of geopolymer concrete; A review. J. Clean. Prod. 2020, 251, 119679. [Google Scholar] [CrossRef]
- Banfill, P.G.H. Rheological methods for assessing the flow properties of mortar and related materials. Constr. Build. Mater. 1994, 8, 43–50. [Google Scholar] [CrossRef]
- Feys, D.; Khayat, K.H.; Khatib, R. How do concrete rheology, tribology, flow rate and pipe radius influence pumping pressure? Cem. Concr. Compos. 2016, 16, 38–46. [Google Scholar] [CrossRef]
- Feys, D.; Khayat, K.H.; Perez-Schell, A.; Khatib, R. Prediction of pumping pressure by means of new tribometer for highly-workable concrete. Cem. Concr. Compos. 2015, 57. [Google Scholar] [CrossRef]
- Ferraris, C.F. Measurement of the rheological properties of high performance concrete: State of the art report. J. Res. Natl. Inst. Stand. Technol. 1999, 104, 461–478. [Google Scholar] [CrossRef]
- Kong, X.; Zhang, Y.; Hou, S. Study on the rheological properties of Portland cement pastes with polycarboxylate superplasticizers. Rheol. Acta 2013, 52. [Google Scholar] [CrossRef]
- Fediuk, R.S. Mechanical Activation of Construction Binder Materials by Various Mills. In Proceedings of the IOP Conference Series: Materials Science and Engineering, Yurga, Russia, 26–28 November 2016; Volume 125. [Google Scholar]
- Chernysheva, N.V.; Lesovik, V.S.; Drebezgova, M.Y.; Shatalova, S.V.; Alaskhanov, A.H. Composite Gypsum Binders with Silica-containing Additives. In Proceedings of the IOP Conference Series: Materials Science and Engineering, Tomsk, Russia, 4–6 December 2018. [Google Scholar]
- Bartos, P.J.M.; Sonebi, M.; Tamimi, A.K. Workability and Rheology of Fresh Concrete: Compendium of Tests; Report of RILEM Technical Committee TC 145-WSM, Workability of Special Concrete Mixes; Cachan Cedex: Paris, France, 2002. [Google Scholar]
- Mosaberpanah, M.A.; Eren, O. Effect of Density on Compressive Strength of Ultra High Performance Fiber Reinforced Concrete (UHPFRC) Using Design of Experiment. Solid State Phenom. 2016. [Google Scholar] [CrossRef]
- Chapman, C.M. Method and Apparatus for Determining Consistency; ASTM V13 Part II; ASTM International: West Conshohocken, PA, USA, 1913; pp. 1045–1052. [Google Scholar]
- Graf, O. Experiments of the behaviour of reinforcement in concrete of various compositions. Dtsch. Aussch. Eisenbeton 1933, 71, 36–60. [Google Scholar]
- Tattersall, G. Workability and Quality Control of Concrete; E & FN Spon: London, UK, 1991. [Google Scholar]
- Tattersall, G.H.; Bloomer, S.J. Further development of the two-point test for workability and extension of its range. Mag. Concr. Res. 1979, 31, 202–210. [Google Scholar] [CrossRef]
- Wallevik, J. Rheology of Particle Suspension. Ph.D. Thesis, University of Iceland, Reykjavik, Iceland, 2003. [Google Scholar]
- Kavitha, S.M.; Venkatesan, G.; Avudaiappan, S.; Saavedra Flores, E. Mechanical and Flexural Performance of Self Compacting Concrete with Natural Fiber, Revista de la Construcción. J. Constr. 2020, 19, 370–380. [Google Scholar] [CrossRef]
- Thamilselvi, P.; Siva, A.; Kabilan, N.; Prabu, K. Internal curing on high performance concrete with pre-soaked light weight aggregate to prevent shrinkage. J. Struct. Eng. 2017, 44, 414–421. [Google Scholar]
- Siva, A.; Thamilselvi, P.; NishaDevi, A.; Ashvini, B. Experimental Investigation on Partial Replacement of Fine Aggregate Using Crushed Spent Fire Bricks. Am. J. Eng. Res. 2017, 6, 1–4. [Google Scholar]
- Vijayprabha, C.; Brindha, D.; Siva, A. Durability performance of copper lag concrete admixed with polypropylene fibre. J. Struct. Eng. 2017, 43, 598–606. [Google Scholar]
- Subramanian, K.B.; Siva, A.; Swaminathan, S.; Ajin, A.M.G. Development of high strength self-curing concrete using super absorbing polymer. WASET Int. J. Civ. Environ. Struct. Constr. Archit. Eng. 2015, 9, 1536–1541. [Google Scholar]
- Fediuk, R.; Yushin, A. Composite binders for concrete with reduced permeability. In Proceedings of the IOP Conference Series: Materials Science and Engineering, Tomsk, Russia, 9–11 November 2015; Volume 116. [Google Scholar]
- Chernysheva, N.; Lesovik, V.; Fediuk, R.; Vatin, N. Improvement of Performances of the Gypsum-Cement Fiber Reinforced Composite (GCFRC). Materials 2020, 3847. [Google Scholar] [CrossRef]
- Haridharan, M.K.; Matheswaran, S.; Murali, G.; Abid, S.R.; Fediuk, R.; Mugahed Amran, Y.H.; Abdelgader, H.S. Impact response of two-layered grouted aggregate fibrous concrete composite under falling mass impact. Constr. Build. Mater. 2020. [Google Scholar] [CrossRef]
- Uzomaka, O.J. A concrete rheometer and its application to a rheological study of concrete mixes. Rheol. Acta 1974, 13, 21. [Google Scholar] [CrossRef]
- Wallevik, O.H. The Rheology of Fresh Concrete and Its Application on Concrete with and without Silica Fume; The Norwegian University of Science and Technology: Trondheim, Norway, 1990. [Google Scholar]
- Ling, G.; Shui, Z.; Sun, T.; Gao, X.; Wang, Y.; Sun, Y.; Wang, G.; Li, Z. Rheological Behavior and Microstructure Characteristics of SCC Incorporating Metakaolin and Silica Fume. Materials 2018, 11, 2576. [Google Scholar] [CrossRef] [Green Version]
- Fediuk, R.; Mosaberpanah, M.A.; Lesovik, V. Development of fiber reinforced self-compacting concrete (FRSCC): Towards an efficient utilization of quaternary composite binders and fibers. Adv. Concr. Constr. 2020, 9, 387–395. [Google Scholar]
- Fediuk, R.S.; Ibragimov, R.A.; Lesovik, V.S.; Akopian, A.K.; Teleshev, A.A.; Khankhabaev, L.R.; Ivanov, A.S. Application of cementitious composites in mechanical engineering. In Proceedings of the IOP Conference Series: Materials Science and Engineering, Tomsk, Russia, 4–6 December 2017; Volume 327. [Google Scholar]
- Siddika, A.; Amin, M.R.; Rayhan, M.A.; Islam, M.S.; Al Mamun, M.A.; Alyousef, R.; Mugahed Amran, Y.H. Performance of sustainable green concrete incorporated with fly ash, rice husk ash, and stone dust. Acta Polytech. 2021, 61, 279–291. [Google Scholar] [CrossRef]
- Amran, Y.H.M.; Soto, M.G.; Alyousef, R.; El-Zeadani, M.; Alabduljabbar, H.; Aune, V. Performance investigation of high-proportion Saudi-fly-ash-based concrete. Results Eng. 2020. [Google Scholar] [CrossRef]
- Zeyad, A.M.; Johari, M.A.M.; Alharbi, Y.R.; Abadel, A.A.; Amran, Y.H.M.; Tayeh, B.A.; Abutaleb, A. Influence of steam curing regimes on the properties of ultrafine POFA-based high-strength green concrete. J. Build. Eng. 2021, 38. [Google Scholar] [CrossRef]
- Amran, M.; Murali, G.; Fediuk, R.; Vatin, N.; Vasilev, Y.; Abdelgader, H. Palm oil fuel ash-based eco-efficient concrete: A critical review of the short-term properties. Materials 2021, 14, 332. [Google Scholar] [CrossRef] [PubMed]
- Mugahed Amran, Y.H. Determination of Structural Behavior of Precast Foamed Concrete Sandwich Panel; Universiti Putra Malaysia (UPM): Selangor, Malaysia, 2016. [Google Scholar]
- Elistratkin, M.Y.; Lesovik, V.S.; Zagorodnjuk, L.H.; Pospelova, E.A.; Shatalova, S.V. New point of view on materials development. In Proceedings of the IOP Conference Series: Materials Science and Engineering, Tomsk, Russia, 4–6 December 2017. [Google Scholar]
- Neville, A. Properties of Concrete; Addison We.; Pearson: London, UK, 1995. [Google Scholar]
- Neville, A. Chairman’s summary. In Fresh Concrete: Important Properties and their Measurement. In Proceedings of the RILEM Seminar, Leeds, UK, 22–24 March 1973. [Google Scholar]
- Tiwari, A.K.; Dave, U.V.; Bansal, S. Rheological behavior of concrete with some supplementary cementations material. Indian Concr. J. 2018, 92, 11–18. [Google Scholar]
- Amran, M.; Debbarma, S.; Ozbakkaloglu, T. Fly ash-based eco-friendly geopolymer concrete: A critical review of the long-term durability properties. Constr. Build. Mater. 2021. [Google Scholar] [CrossRef]
- Amran, M.; Fediuk, R.; Murali, G.; Vatin, N.; Karelina, M.; Ozbakkaloglu, T.; Krishna, R.S.; Kumar, A.S.; Kumar, D.S.; Mishra, J. Rice husk ash-based concrete composites: A critical review of their properties and applications. Crystals 2021, 11, 168. [Google Scholar] [CrossRef]
- Amran, M.; Murali, G.; Khalid, N.H.A.; Fediuk, R.; Ozbakkaloglu, T.; Lee, Y.H.; Haruna, S.; Lee, Y.Y. Slag uses in making an ecofriendly and sustainable concrete: A review. Constr. Build. Mater. 2021, 272. [Google Scholar] [CrossRef]
- Volodchenko, A.A.; Lesovik, V.S.; Cherepanova, I.A.; Volodchenko, A.N.; Zagorodnjuk, L.H.; Elistratkin, M.Y. Peculiarities of non-autoclaved lime wall materials production using clays. In Proceedings of the IOP Conference Series: Materials Science and Engineering, Tomsk, Russia, 4–6 December 2017. [Google Scholar]
- Feys, D.; Cepuritis, R.; Jacobsen, S.; Lesage, K.; Secrieru, E.; Yahia, A. Measuring Rheological Properties of Cement Pastes: Most common Techniques, Procedures and Challenges. RILEM Tech. Lett. 2017, 2, 29–35. [Google Scholar] [CrossRef] [Green Version]
- Antonio Pereira de Oliveira, L. Rheology of self-compacting concrete mortar phase. In Proceedings of the International Conferences on Civil Engineering, Covilha, Portugal, 26–29 May 2013. [Google Scholar]
- Kwan, A.K.H.; Li, L.G. Combined effects of water film thickness and paste film thickness on rheology of mortar. Mater. Struct. 2012, 45, 1359–1974. [Google Scholar] [CrossRef] [Green Version]
- Haist, M.; Ferrara, L. Rheological characterization of high performance fiber reinforced cementitious composites. In Proceedings of the 8th RILEM International Symposium on Fibre Reinforced Concrete, Guimaraes, Portugal, 19–21 September 2012; pp. 66–74. [Google Scholar]
- Amran, Y.H.M. Influence of structural parameters on the properties of fibred-foamed concrete. Innov. Infrastruct. Solut. 2020, 5. [Google Scholar] [CrossRef]
- Abid, S.R.; Murali, G.; Amran, M.; Vatin, N.; Fediuk, R.; Karelina, M. Evaluation of mode II fracture toughness of hybrid fibrous geopolymer composites. Materials 2021, 14, 349. [Google Scholar] [CrossRef]
- Murali, G.; Amran, M.; Fediuk, R.; Vatin, N.; Raman, S.N.; Maithreyi, G.; Sumathi, A. Structural behavior of fibrous-ferrocement panel subjected to flexural and impact loads. Materials 2020, 13, 5648. [Google Scholar] [CrossRef]
- Murali, G.; Abid, S.R.; Abdelgader, H.S.; Amran, Y.H.M.; Shekarchi, M.; Wilde, K. Repeated Projectile Impact Tests on Multi-Layered Fibrous Cementitious Composites. Int. J. Civ. Eng. 2021. [Google Scholar] [CrossRef]
- Jaishankar, P.; Murali, G.; Salaimanimagudam, M.P.; Amran, Y.H.M.; Fediuk, R.; Karthikeyan, K. Study of topology optimized hammerhead pier beam made with novel preplaced aggregate fibrous concrete. Period. Polytech. Civ. Eng. 2020, 65, 287–298. [Google Scholar] [CrossRef]
- Murali, G.; Abid, S.R.; Karthikeyan, K.; Haridharan, M.K.; Amran, M.; Siva, A. Low-velocity impact response of novel prepacked expanded clay aggregate fibrous concrete produced with carbon nano tube, glass fiber mesh and steel fiber. Constr. Build. Mater. 2021, 284. [Google Scholar] [CrossRef]
- Salaimanimagudam, M.P.; Murali, G.; Vivek Vardhan, C.M.; Amran, M.; Vatin, N.; Fediuk, R.; Vasilev, Y. Impact response of preplaced aggregate fibrous concrete hammerhead pier beam designed with topology optimization. Crystals 2021, 11, 147. [Google Scholar] [CrossRef]
- ASTM C348-21. Flexural strength of hydraulic-cement mortars. Am. Soc. Test. Mater. 2002, 4, 1–6. [Google Scholar]
- Lesovik, V.; Chernysheva, N.; Fediuk, R.; Amran, M.; Murali, G.; de Azevedo, A.R.G. Optimization of fresh properties and durability of the green gypsum-cement paste. Constr. Build. Mater. 2021, 287. [Google Scholar] [CrossRef]
- Deb, P.S.; Sarker, P.K.; Barbhuiya, S. Sorptivity and acid resistance of ambient-cured geopolymer mortars containing nano-silica. Cem. Concr. Compos. 2016. [Google Scholar] [CrossRef] [Green Version]
- Sumathi, A.; Murali, G.; Gowdhaman, D.; Amran, M.; Fediuk, R.; Vatin, N.I.; Laxme, R.D.; Gowsika, T.S. Development of bacterium for crack healing and improving properties of concrete under wet–dry and full-wet curing. Sustainability 2020, 12, 10346. [Google Scholar] [CrossRef]












| No. of Sample | Properties | Cement | Fly Ash | GGBS |
|---|---|---|---|---|
| 1 | Specific gravity | 3.14 | 2.7 | 2.86 |
| 2 | Standard consistency (%) | 31 | 60 | 33 |
| 3 | Setting—initial (min) | 55 | 30 | 120 |
| Final (min) (Vicat needle) | 145 | 125 | 260 | |
| 4 | Compressive @ 3 days | 27.87 | 15.2 | - |
| Strength @ 7 days | 38.85 | 16.3 | - | |
| N/mm2 @ 28 days | 55.86 | 23.1 | - |
| No. of Sample | Properties | Fine Aggregate |
|---|---|---|
| 1 | Fineness modulus | 2.4 |
| 2 | Density (kg/m3) | 1450–2082 |
| 3 | Specific gravity | 2.5 |
| 4 | Water absorption | 2% |
| No. of Sample | Chemical Composition | Fly Ash | GGBS |
|---|---|---|---|
| 1 | Loss of ignition | 3.74 | 0.5 |
| 2 | SiO2 | 35.87 | 29.47 |
| 3 | Fe2O3 | 4 | 2.78 |
| 4 | Al2O3 | 34.14 | 17.5 |
| 5 | CaO | 14.25 | 33.43 |
| 6 | MgO | 3.64 | 11.6 |
| 7 | SO3 | 3.4 | 1 |
| 8 | Na2O | 0.9 | 1.17 |
| 9 | K2O | 0.06 | 0.36 |
| 10 | Chloride | - | 0.01 |
Publisher’s Note: MDPI stays neutral with regard to jurisdictional claims in published maps and institutional affiliations. |
© 2021 by the authors. Licensee MDPI, Basel, Switzerland. This article is an open access article distributed under the terms and conditions of the Creative Commons Attribution (CC BY) license (https://creativecommons.org/licenses/by/4.0/).
Share and Cite
Arularasi, V.; Thamilselvi, P.; Avudaiappan, S.; Saavedra Flores, E.I.; Amran, M.; Fediuk, R.; Vatin, N.; Karelina, M. Rheological Behavior and Strength Characteristics of Cement Paste and Mortar with Fly Ash and GGBS Admixtures. Sustainability 2021, 13, 9600. https://doi.org/10.3390/su13179600
Arularasi V, Thamilselvi P, Avudaiappan S, Saavedra Flores EI, Amran M, Fediuk R, Vatin N, Karelina M. Rheological Behavior and Strength Characteristics of Cement Paste and Mortar with Fly Ash and GGBS Admixtures. Sustainability. 2021; 13(17):9600. https://doi.org/10.3390/su13179600
Chicago/Turabian StyleArularasi, V., P. Thamilselvi, Siva Avudaiappan, Erick I. Saavedra Flores, Mugahed Amran, Roman Fediuk, Nikolai Vatin, and Maria Karelina. 2021. "Rheological Behavior and Strength Characteristics of Cement Paste and Mortar with Fly Ash and GGBS Admixtures" Sustainability 13, no. 17: 9600. https://doi.org/10.3390/su13179600
APA StyleArularasi, V., Thamilselvi, P., Avudaiappan, S., Saavedra Flores, E. I., Amran, M., Fediuk, R., Vatin, N., & Karelina, M. (2021). Rheological Behavior and Strength Characteristics of Cement Paste and Mortar with Fly Ash and GGBS Admixtures. Sustainability, 13(17), 9600. https://doi.org/10.3390/su13179600

