Reduction Effect and Mechanism Analysis of Carbon Trading Policy on Carbon Emissions from Land Use
Abstract
:1. Introduction
2. Theoretical Analysis and Hypothesis
3. Methods, Variables and Data
3.1. Methods
3.1.1. Synthetic Control Method
3.1.2. Mediation Effect Model
3.2. Variable Selection
3.3. Data Sources
4. Empirical Analysis
4.1. Changing Trend of CELU
4.2. Effect of Carbon Trading Policy on CELU
4.2.1. Evaluation on the Overall Effect of Carbon Trading Policy
4.2.2. Evaluation on the Effect of Carbon Trading Policies in Each Carbon Trading Pilot Area
4.3. Validity Test
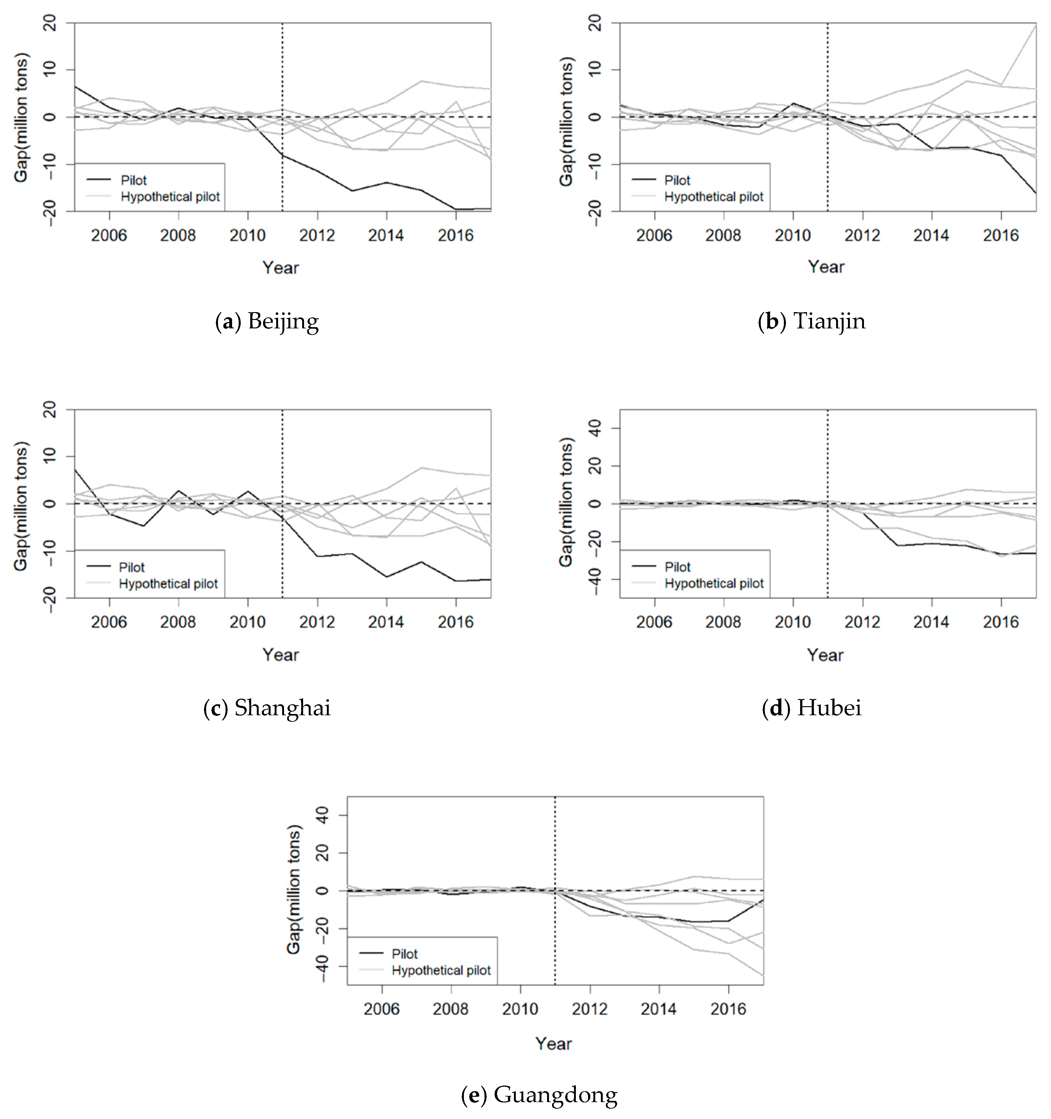
4.3.1. Ranking Test with Hypothetical Pilot Areas
4.3.2. Placebo Test Based on Time
4.4. Impact Mechanism of Carbon Trading Policies on CELU
5. Conclusions and Policy Implications
5.1. Conclusions
5.2. Policy Implications
Author Contributions
Funding
Institutional Review Board Statement
Informed Consent Statement
Data Availability Statement
Conflicts of Interest
Appendix A


References
- Wang, S.; Zhang, L. Regime complex for international carbon trading and China’s role. Glob. Rev. 2021, 13, 42–57. [Google Scholar]
- Intergovernmental Panel on Climate Change. Climate Change 2007: The Physical Science Basis; Contribution of Working Group I to the Fourth Assessment Report of the Intergovernmental Panel on Climate Change; Cambridge University Press: Cambridge, UK, 2007. [Google Scholar]
- Han, J.; Zhou, X.; Xiang, W. Progress in research on land use effects on carbon emissions and low carbon management. Acta Ecol. Sin. 2016, 36, 1152–1161. [Google Scholar]
- Sun, X. Effects of carbon emission by land use patterns in Hefei’s Economic Circle of Anhui province. J. Nat. Resour. 2012, 27, 394–401. [Google Scholar]
- Houghton, R.A.; Hackler, J.L. Sources and sinks of carbon from land-use change in China. Glob. Biogeochem. Cycles 2003, 17, 1034. [Google Scholar] [CrossRef]
- Sun, H.; Liang, H.; Chang, X.; Cui, Q.; Tao, Y. Land use patterns on carbon emission and spatial association in China. Econ. Geogr. 2015, 35, 154–162. [Google Scholar]
- Zhao, R.; Huang, X.; Liu, Y.; Zhong, T.; Ding, M.; Chuai, X. Carbon emission of regional land use and its decomposition analysis: Case study of Nanjing City, China. Chin. Geogr. Sci. 2015, 25, 198–212. [Google Scholar] [CrossRef]
- Ali, G.; Nitivattananon, V. Exercising multidisciplinary approach to assess interrelationship between energy use, carbon emission and land use change in a metropolitan city of Pakistan. Renew. Sustain. Energy Rev. 2012, 16, 775–786. [Google Scholar] [CrossRef]
- Intergovernmental Panel on Climate Change. Land Use, Land-Use Change, and Forestry; Cambridge University Press: Cambridge, UK, 2000. [Google Scholar]
- Houghton, R.A.; House, J.I.; Pongratz, J.; van der Werf, G.R.; DeFries, R.S.; Hansen, M.C.; Le Quéré, C.; Ramankutty, N. Carbon emissions from land use and land-cover change. Biogeosciences 2012, 9, 5125–5142. [Google Scholar] [CrossRef] [Green Version]
- Coase, R.H. The Problem of Social Cost. In Classic Papers in Natural Resource Economics; Gopalakrishnan, C., Ed.; Palgrave Macmillan Press: London, UK, 1960. [Google Scholar]
- Dales, J. Pollution, Preperty and Pricess: An Essay in Policy-Making and Economics; University of Toronto Press: Toronto, ON, Canada, 1968. [Google Scholar]
- Newell, P.; Bumpus, A. The global political ecology of the clean development mechanism. Glob. Environ. Politics 2012, 12, 49–67. [Google Scholar] [CrossRef] [Green Version]
- Wu, Q.; Tambunlertchai, K.; Pornchaiwiseskul, P. Examining the impact and influencing channels of carbon emission trading pilot markets in China. Sustainability 2021, 13, 5664. [Google Scholar] [CrossRef]
- Zhao, X.; Jiang, G.; Nie, D.; Chen, H. How to improve the market efficiency of carbon trading: A perspective of China. Renew. Sustain. Energy Rev. 2016, 59, 1229–1245. [Google Scholar] [CrossRef]
- Liu, M.; Zhou, C.; Lu, F.; Hu, X. Impact of the implementation of carbon emission trading on corporate financial performance: Evidence from listed companies in China. PLoS ONE 2021, 16, e0253460. [Google Scholar]
- Wang, P.; Dai, H.; Ren, S.; Zhao, D.; Masui, T. Achieving Copenhagen target through carbon emission trading: Economic impacts assessment in Guangdong Province of China. Energy 2015, 79, 212–227. [Google Scholar] [CrossRef]
- Zhang, Y.; Li, S.; Luo, T.; Gao, J. The effect of emission trading policy on carbon emission reduction: Evidence from an integrated study of pilot regions in China. J. Clean. Prod. 2020, 265, 121843. [Google Scholar] [CrossRef]
- Fan, D.; Wang, W.; Liang, P. Analysis of the performance of carbon emissions trading right in China—The evaluation based on the difference-in-difference model. China Environ. Sci. 2017, 37, 2383–2392. [Google Scholar]
- Zhang, W.; Li, J.; Li, G.; Guo, S. Emission reduction effect and carbon market efficiency of carbon emissions trading policy in China. Energy 2020, 196, 1–9. [Google Scholar] [CrossRef]
- Zhou, W.; Gao, L. The impact of carbon trade on the management of short-rotation forest plantations. Forest Policy Econ. 2016, 62, 30–35. [Google Scholar] [CrossRef]
- Yi, Z.; Wong, G.; Cannon, C.H.; Xu, J.; Beckschäfer, P.; Swetnam, R.D. Can carbon-trading schemes help to protect China’s most diverse forest ecosystems? A case study from Xishuangbanna, Yunnan. Land Use Policy 2014, 38, 646–656. [Google Scholar] [CrossRef]
- Chen, Z.; Liu, Y.; Lin, H. Decoupling analysis of land-use carbon Emissions and Economic Development in Guangdong Province. Ecol. Econ. 2018, 34, 26–32. [Google Scholar]
- Li, L.; Dong, J.; Song, Y. Impact and acting path of carbon emission trading on carbon emission intensity of construction land: Evidence from pilot areas in China. Sustainability 2020, 12, 7843. [Google Scholar] [CrossRef]
- Zhao, R.; Huang, X.; Chuai, X. Misunderstandings and future trends of researches on land use carbon emissions in China. China Land Sci. 2016, 30, 83–92. [Google Scholar]
- Dong, J.; Wei, X.; Chen, E. Research on the liability sharing of carbon emission reduction under the regional difference of land use carbon emission-A case study in Wuhan urban agglomeration. Resour. Environ. Yangtze Basin 2019, 28, 872–882. [Google Scholar]
- Abadie, A.; Diamond, A.; Hainmueller, J. Synthetic Control Methods for comparative case studies: Estimating the effect of California’s tobacco control program. J. Am. Stat. Assoc. 2010, 105, 493–505. [Google Scholar] [CrossRef] [Green Version]
- Abadie, A.; Gardeazabal, J. The economic costs of conflict: A case study of the Basque Country. Am. Econ. Rev. 2003, 93, 113–132. [Google Scholar] [CrossRef] [Green Version]
- Yao, S.; Yu, X.; Yan, S.; Wen, S. Heterogeneous emission trading schemes and green innovation. Energy Policy 2021, 155, 112367. [Google Scholar] [CrossRef]
- Lin, B.; Chen, X. Is the implementation of the Increasing Block Electricity Prices policy really effective?—Evidence based on the analysis of synthetic control method. Energy 2018, 163, 734–750. [Google Scholar] [CrossRef]
- Wang, A.; Fang, Y.; Yu, B. China’s pilot free trade zone construction and regional economic growth: A comparison of transmission path and driving mechanism. Financ. Trade Econ. 2020, 41, 127–144. [Google Scholar]
- Wen, Z.; Fan, X. Monotonicity of effect sizes: Questioning kappa-squared as mediation effect size measure. Psychol. Methods 2015, 20, 193–203. [Google Scholar] [CrossRef]
- Thomas, R.K.; Kevin, E.T. Modern global climate change. Science 2003, 302, 1719–1723. [Google Scholar]
- Wu, P.; Wang, Q. Eonomic analysis on emission permts trading. China Popul. Resour. Environ. 2010, 20, 55–58. [Google Scholar]
- Thomas, A.; James, A.T. An investigation into the effects of an emissions trading scheme on forest management and land use in New Zealand. Forest Policy Econ. 2012, 15, 78–90. [Google Scholar]
- Zhou, B.; Zhang, C.; Song, H.; Wang, Q. How does emission trading reduce China’s carbon intensity? An exploration using a decomposition and difference-in-differences approach. Sci. Total Environ. 2019, 676, 514–523. [Google Scholar] [CrossRef] [PubMed]
- Calel, R.; Dechezlepretre, A. Environmental policy and directed technological change: Evidence from the European carbon market. Rev. Econ. Stat. 2016, 98, 173–191. [Google Scholar] [CrossRef] [Green Version]
- Wang, W.; Wang, D.; Ni, W.; Zhang, C. The impact of carbon emissions trading on the directed technical change in China. J. Clean. Prod. 2020, 272, 122891. [Google Scholar] [CrossRef]
- Simone, B.; Giulio, C.; Massimiliano, M. Linking emission trading to environmental innovation: Evidence from the Italian manufacturing industry. Res. Policy 2015, 44, 669–683. [Google Scholar]
- Yang, L.; Li, F.; Zhang, X. Chinese companies’ awareness and perceptions of the Emissions Trading Scheme (ETS): Evidence from a national survey in China. Energy Policy 2016, 98, 254–265. [Google Scholar] [CrossRef]
- Feng, J.; Wang, T. Analysis of influencing factors and evolution of land use carbon emission in China. Soft Sci. 2016, 30, 87–90. [Google Scholar]
- Dong, F.; Yu, B.; Hadachin, T.; Dai, T.; Wang, Y.; Zhang, S.; Long, R. Drivers of carbon emission intensity change in China. Resour. Conserv. Recycl. 2018, 129, 187–201. [Google Scholar] [CrossRef]
- Zhang, L.; Chen, S.; Zhu, Y.; Xu, X. The Measurement of Carbon Emission Effect of Construction Land Changes in Anhui Province Based on the Extended LMDI Model. J. Resour. Ecol. 2013, 4, 186–192. [Google Scholar]
- Tan, J.; Zhang, J. Does China’s ETS force the upgrade of industrial structure-evidence from Synthetic Control Method. Res. Econ. Manag. 2018, 39, 104–119. [Google Scholar]








| Energy Types | Raw Coal | Coal Char | Crude Oil | Fuel Oil | Gasoline | Kerosene | Diesel | Natural Gas |
|---|---|---|---|---|---|---|---|---|
| Conversion coefficients of standard coal (kg of standard coal/kg/m3) | 0.7143 | 0.9714 | 1.4286 | 1.4286 | 1.4714 | 1.4714 | 1.4571 | 1.3300 |
| Carbon emission coefficient (tc/tce) | 0.7559 | 0.8550 | 0.5857 | 0.6185 | 0.5538 | 0.5714 | 0.5921 | 0.4483 |
| Variable Type | Variable Name | Variable Symbol | Obs | Mean | Std. Dev. | Min | Max |
|---|---|---|---|---|---|---|---|
| Explained variable | Land use carbon emissions | CELU | 390 | 99.730 | 72.730 | 5.962 | 355.600 |
| Explanatory variables | Carbon trading policy | public | 390 | 0.108 | 0.310 | 0.000 | 1.000 |
| Control variables | GDP per capita | PGDP | 390 | 38.690 | 23.890 | 7.835 | 118.200 |
| Total population | POP | 390 | 445.000 | 266.600 | 55.400 | 1072.000 | |
| Proportion of secondary industry | SEC | 390 | 46.390 | 7.980 | 21.310 | 57.690 | |
| Proportion of tertiary industry | TER | 390 | 42.690 | 8.896 | 29.670 | 77.950 | |
| Energy consumption intensity | ENI | 390 | 127.200 | 70.520 | 42.840 | 369.200 | |
| Mediator variables | Energy consumption structure | ENE | 390 | 68.020 | 27.280 | 18.160 | 142.300 |
| The level of technological progress | TEC | 390 | 53.910 | 88.620 | 0.431 | 505.700 |
| Pilot Area | Synthetic Province | Weights | Synthetic Province | Weights | Synthetic Province | Weights | Synthetic Province | Weights | Synthetic Province | Weights |
|---|---|---|---|---|---|---|---|---|---|---|
| Beijing | Hainan | 0.493 | Guizhou | 0.507 | ||||||
| Shanghai | Shanxi | 0.057 | Liaoning | 0.027 | Guizhou | 0.916 | ||||
| Guangdong | Jiangsu | 0.553 | Shandong | 0.045 | Sichuan | 0.402 | ||||
| Hubei | Hebei | 0.012 | Shanxi | 0.008 | Inner Mongolia | 0.006 | Liaoning | 0.014 | ||
| Jilin | 0.006 | Heilongjiang | 0.007 | Jiangsu | 0.272 | Zhejiang | 0.008 | |||
| Anhui | 0.005 | Fujian | 0.049 | Jiangxi | 0.003 | Shandong | 0.006 | |||
| Henan | 0.006 | Hunan | 0.026 | Guangxi | 0.457 | Sichuan | 0.005 | |||
| Guizhou | 0.084 | Yunnan | 0.007 | Shaanxi | 0.005 | Gansu | 0.007 | Xinjiang | 0.006 | |
| Tianjin | Shanxi | 0.115 | Fujian | 0.290 | Guizhou | 0.005 | Qinghai | 0.434 | Ningxia | 0.154 |
| Chongqing | Fujian | 0.309 | Jiangxi | 0.250 | Hainan | 0.068 | Shaanxi | 0.119 | Qinghai | 0.254 |
| Variables | Model 1 | Model 2 | Model 3 | Model 4 | Model 5 | Model 6 |
|---|---|---|---|---|---|---|
| CELU | ENE | CELU | TEC | CELU | CELU | |
| public | −0.137 *** | −0.072 *** | −0.105 *** | −0.118 *** | −0.135 *** | −0.096 *** |
| (−7.580) | (0.0235) | (0.0148) | (0.0358) | (0.0184) | (−6.385) | |
| PGDP | 0.287 *** | 0.097 ** | 0.243 *** | 0.731 *** | 0.276 *** | 0.192 *** |
| (7.895) | (0.0473) | (0.0296) | (0.0719) | (0.0414) | (5.710) | |
| POP | 1.554 *** | −0.458 | 1.762 *** | 3.222 *** | 1.505 *** | 1.549 *** |
| (5.673) | (0.356) | (0.222) | (0.541) | (0.288) | (6.748) | |
| SEC | 0.010 | −0.110 | 0.060 | −0.146 | 0.012 | 0.072 |
| (0.153) | (0.085) | (0.053) | (0.128) | (0.065) | (1.378) | |
| ENI | −0.189 *** | 0.0484 | −0.211 *** | 0.565 *** | −0.198 *** | −0.251 *** |
| (−3.814) | (0.064) | (0.040) | (0.098) | (0.052) | (−6.025) | |
| TER | −0.093 | −0.233 ** | 0.013 | −0.008 | −0.093 | 0.018 |
| (−1.124) | (0.107) | (0.067) | (0.163) | (0.083) | (0.266) | |
| ENE | 0.453 *** | 0.471 *** | ||||
| (0.033) | (14.210) | |||||
| TEC | 0.015 | 0.069 *** | ||||
| (0.027) | (3.142) | |||||
| Observations | 390 | 390 | 390 | 390 | 390 | 390 |
| R2 | 0.611 | 0.087 | 0.746 | 0.606 | 0.612 | 0.753 |
| Sobel’s test p value | 0.000 | 0.108 |
Publisher’s Note: MDPI stays neutral with regard to jurisdictional claims in published maps and institutional affiliations. |
© 2021 by the authors. Licensee MDPI, Basel, Switzerland. This article is an open access article distributed under the terms and conditions of the Creative Commons Attribution (CC BY) license (https://creativecommons.org/licenses/by/4.0/).
Share and Cite
Xia, Q.; Li, L.; Dong, J.; Zhang, B. Reduction Effect and Mechanism Analysis of Carbon Trading Policy on Carbon Emissions from Land Use. Sustainability 2021, 13, 9558. https://doi.org/10.3390/su13179558
Xia Q, Li L, Dong J, Zhang B. Reduction Effect and Mechanism Analysis of Carbon Trading Policy on Carbon Emissions from Land Use. Sustainability. 2021; 13(17):9558. https://doi.org/10.3390/su13179558
Chicago/Turabian StyleXia, Qiuyue, Lu Li, Jie Dong, and Bin Zhang. 2021. "Reduction Effect and Mechanism Analysis of Carbon Trading Policy on Carbon Emissions from Land Use" Sustainability 13, no. 17: 9558. https://doi.org/10.3390/su13179558
APA StyleXia, Q., Li, L., Dong, J., & Zhang, B. (2021). Reduction Effect and Mechanism Analysis of Carbon Trading Policy on Carbon Emissions from Land Use. Sustainability, 13(17), 9558. https://doi.org/10.3390/su13179558
