Sensitivity of Photosynthesis to Warming in Two Similar Species of the Aquatic Angiosperm Ruppia from Tropical and Temperate Habitats
Abstract
:1. Introduction
2. Materials and Methods
2.1. Study Sites and Plant Material
2.2. DNA Barcoding
2.2.1. Genomic DNA Extraction, Amplification, and Sequencing
2.2.2. Phylogenetic Analysis
2.3. Sensitivity of Photosynthesis to Warming
2.3.1. Photosynthetic Responses to a Series of Temperatures
2.3.2. Photosynthetic Responses to Prolonged Warming Treatment
2.4. Statistical Analyses
3. Results
3.1. Analysis of ITS (ITS1-5.8S-ITS2) and rbcL DNA Sequences
3.2. Temperature Effects on the Photosynthetic Efficiency
3.2.1. Photosynthetic Responses to a Series of Temperatures
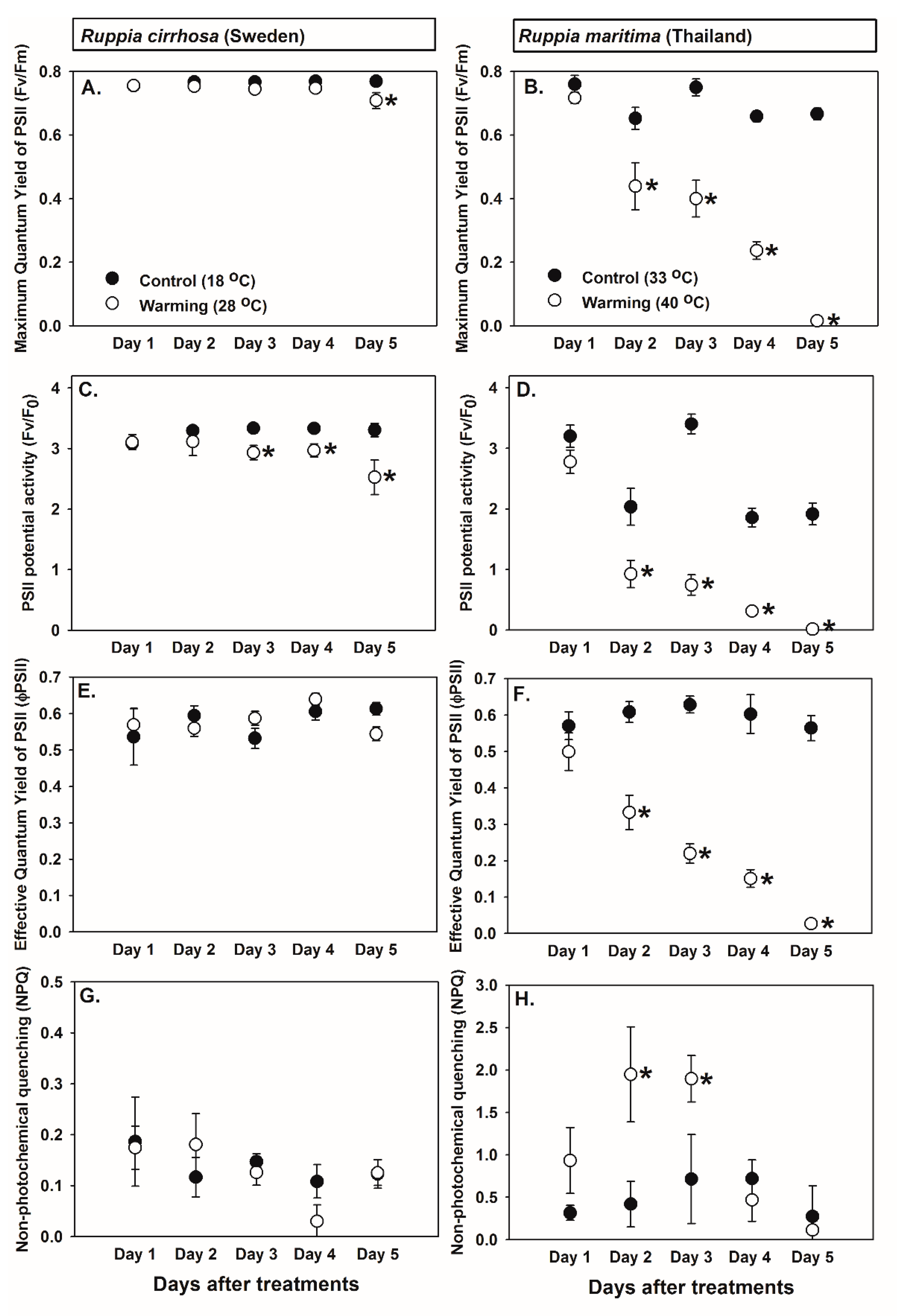
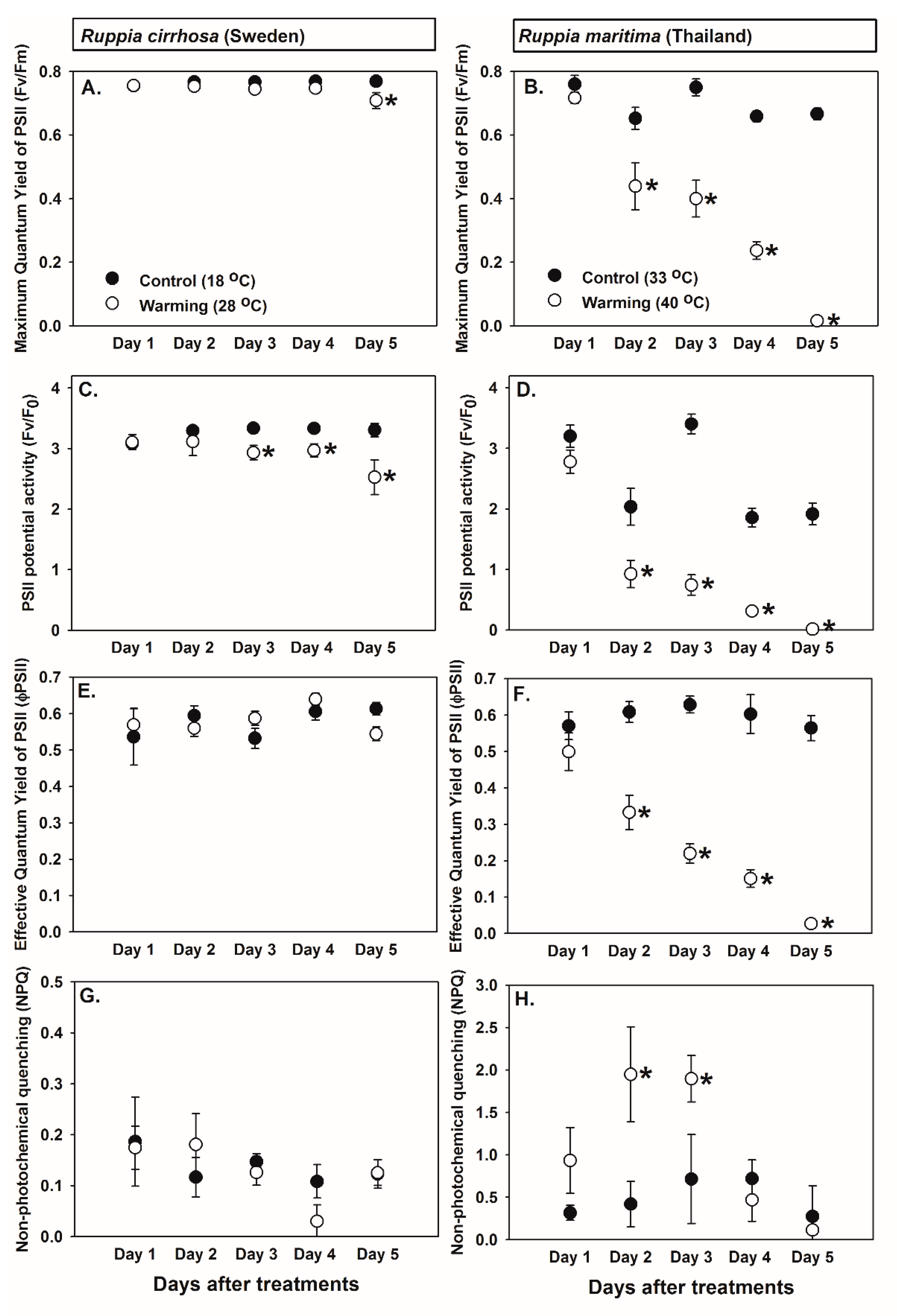
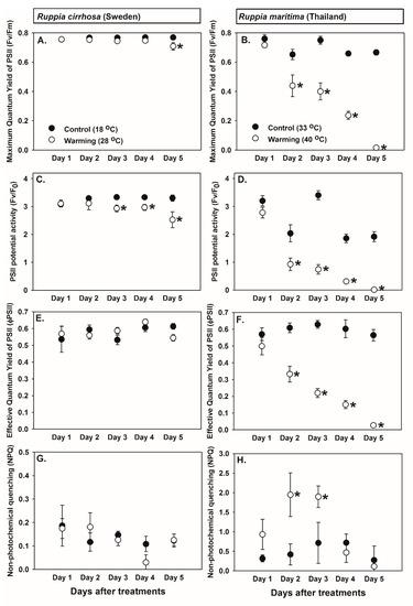
3.2.2. Photosynthetic Responses to Prolonged Warming Treatments
4. Discussion
5. Conclusions
Supplementary Materials
Author Contributions
Funding
Institutional Review Board Statement
Informed Consent Statement
Data Availability Statement
Acknowledgments
Conflicts of Interest
References
- IPCC Summary for Policymakers. In IPCC Special Report on the Ocean and Cryosphere in a Changing Climate; Pörtner, H.-O.; Roberts, D.C.; Masson-Delmotte, V.; Zhai, P.; Tignor, M.; Poloczanska, E.; Mintenbeck, K.; Nicolai, M.; Okem, A.; Petzold, J.; et al. (Eds.) IPCC Intergovernmental Panel on Climate Change: Geneva, Switzerland, 2019; Volume 1. [Google Scholar]
- Smale, D.A.; Wernberg, T.; Oliver, E.C.J.; Thomsen, M.; Harvey, B.P.; Straub, S.C.; Burrows, M.T.; Alexander, L.V.; Benthuysen, J.A.; Donat, M.G.; et al. Marine Heatwaves Threaten Global Biodiversity and the Provision of Ecosystem Services. Nat. Clim. Chang. 2019, 9, 306–312. [Google Scholar] [CrossRef] [Green Version]
- Oliver, E.C.J.; Donat, M.G.; Burrows, M.T.; Moore, P.J.; Smale, D.A.; Alexander, L.V.; Benthuysen, J.A.; Feng, M.; Sen Gupta, A.; Hobday, A.J.; et al. Longer and More Frequent Marine Heatwaves over the Past Century. Nat. Commun. 2018, 9, 1324. [Google Scholar] [CrossRef] [PubMed]
- Wernberg, T.; Smale, D.A.; Tuya, F.; Thomsen, M.S.; Langlois, T.J.; de Bettignies, T.; Bennett, S.; Rousseaux, C.S. An Extreme Climatic Event Alters Marine Ecosystem Structure in a Global Biodiversity Hotspot. Nat. Clim. Chang. 2013, 3, 78–82. [Google Scholar] [CrossRef]
- Duarte, B.; Martins, I.; Rosa, R.; Matos, A.R.; Roleda, M.Y.; Reusch, T.B.H.; Engelen, A.H.; Serrão, E.A.; Pearson, G.A.; Marques, J.C.; et al. Climate Change Impacts on Seagrass Meadows and Macroalgal Forests: An Integrative Perspective on Acclimation and Adaptation Potential. Front. Mar. Sci. 2018, 5, 190. [Google Scholar] [CrossRef] [Green Version]
- Koch, E.W.; Verduin, J.J.; Katwijk, V. Measurements of physical parameters in seagrass habitats. In Global Seagrass Research Methods; Elsevier: Amsterdam, The Netherlands, 2001; pp. 325–344. ISBN 978-0-444-50891-1. [Google Scholar]
- Fourqurean, J.W.; Duarte, C.M.; Kennedy, H.; Marbà, N.; Holmer, M.; Mateo, M.A.; Apostolaki, E.T.; Kendrick, G.A.; Krause-Jensen, D.; McGlathery, K.J.; et al. Seagrass Ecosystems as a Globally Significant Carbon Stock. Nature Geosci. 2012, 5, 505–509. [Google Scholar] [CrossRef]
- Cullen-Unsworth, L.; Unsworth, R. Seagrass Meadows, Ecosystem Services and Sustainability. Environment 2013, 55, 14–28. [Google Scholar] [CrossRef]
- Orth, R.J.; Carruthers, T.J.B.; Dennison, W.C.; Duarte, C.M.; Fourqurean, J.W.; Heck, K.L.; Hughes, A.R.; Kendrick, G.A.; Kenworthy, W.J.; Olyarnik, S.; et al. A Global Crisis for Seagrass Ecosystems. BioScience 2006, 56, 987. [Google Scholar] [CrossRef] [Green Version]
- Waycott, M.; Duarte, C.M.; Carruthers, T.J.B.; Orth, R.J.; Dennison, W.C.; Olyarnik, S.; Calladine, A.; Fourqurean, J.W.; Heck, K.L.; Hughes, A.R.; et al. Accelerating Loss of Seagrasses across the Globe Threatens Coastal Ecosystems. Proc. Natl. Acad. Sci. USA 2009, 106, 12377–12381. [Google Scholar] [CrossRef] [PubMed] [Green Version]
- Shields, E.C.; Parrish, D.; Moore, K. Short-Term Temperature Stress Results in Seagrass Community Shift in a Temperate Estuary. Estuaries Coasts 2019, 42, 755–764. [Google Scholar] [CrossRef]
- Rasmusson, L.M.; Gullström, M.; Gunnarsson, P.C.B.; George, R.; Björk, M. Estimation of a Whole Plant Q10 to Assess Seagrass Productivity during Temperature Shifts. Sci. Rep. 2019, 9, 12667. [Google Scholar] [CrossRef] [Green Version]
- Drew, E.A. Physiological Aspects of Primary Production in Seagrasses. Aquat. Bot. 1979, 7, 139–150. [Google Scholar] [CrossRef]
- Marsh, J.A.; Dennison, W.C.; Alberte, R.S. Effects of Temperature on Photosynthesis and Respiration in Eelgrass (Zostera marina L.). J. Exp. Mar. Bio. Ecol. 1986, 101, 257–267. [Google Scholar] [CrossRef]
- Collier, C.J.; Ow, Y.X.; Langlois, L.; Uthicke, S.; Johansson, C.L.; O’Brien, K.R.; Hrebien, V.; Adams, M.P. Optimum Temperatures for Net Primary Productivity of Three Tropical Seagrass Species. Front. Plant Sci. 2017, 8, 1446. [Google Scholar] [CrossRef] [Green Version]
- Hammer, K.J.; Borum, J.; Hasler-Sheetal, H.; Shields, E.C.; Sand-Jensen, K.; Moore, K.A. High Temperatures Cause Reduced Growth, Plant Death and Metabolic Changes in Eelgrass Zostera marina. Mar. Ecol. Prog. Ser. 2018, 604, 121–132. [Google Scholar] [CrossRef] [Green Version]
- Tsioli, S.; Orfanidis, S.; Papathanasiou, V.; Katsaros, C.; Exadactylos, A. Effects of Salinity and Temperature on the Performance of Cymodocea Nodosa and Ruppia cirrhosa: A Medium-Term Laboratory Study. Bot. Mar. 2019, 62, 97–108. [Google Scholar] [CrossRef]
- Campbell, S.J.; McKenzie, L.J.; Kerville, S.P. Photosynthetic Responses of Seven Tropical Seagrasses to Elevated Seawater Temperature. J. Exp. Mar. Bio. Ecol. 2006, 330, 455–468. [Google Scholar] [CrossRef]
- Rasmusson, L.M.; Buapet, P.; George, R.; Gullström, M.; Gunnarsson, P.C.B.; Björk, M. Effects of Temperature and Hypoxia on Respiration, Photorespiration, and Photosynthesis of Seagrass Leaves from Contrasting Temperature Regimes. ICES J. Mar. Sci. 2020, 77, 2056–2065. [Google Scholar] [CrossRef]
- George, R.; Gullström, M.; Mangora, M.M.; Mtolera, M.S.P.; Björk, M. High Midday Temperature Stress Has Stronger Effects on Biomass than on Photosynthesis: A Mesocosm Experiment on Four Tropical Seagrass Species. Ecol. Evol. 2018, 8, 4508–4517. [Google Scholar] [CrossRef]
- Pedersen, O.; Colmer, T.D.; Borum, J.; Zavala-Perez, A.; Kendrick, G.A. Heat Stress of Two Tropical Seagrass Species during Low Tides—Impact on Underwater Net Photosynthesis, Dark Respiration and Diel in Situ Internal Aeration. New Phytol. 2016, 210, 1207–1218. [Google Scholar] [CrossRef] [PubMed] [Green Version]
- Moore, K.A.; Jarvis, J.C. Environmental Factors Affecting Recent Summertime Eelgrass Diebacks in the Lower Chesapeake Bay: Implications for Long-Term Persistence. J. Coast. Res. 2008, 10055, 135–147. [Google Scholar] [CrossRef]
- Collier, C.J.; Waycott, M. Temperature Extremes Reduce Seagrass Growth and Induce Mortality. Mar. Pollut. Bull. 2014, 83, 483–490. [Google Scholar] [CrossRef] [PubMed]
- Wahid, A.; Gelani, S.; Ashraf, M.; Foolad, M. Heat Tolerance in Plants: An Overview. Environ. Exp. Bot. 2007, 61, 199–223. [Google Scholar] [CrossRef]
- Berry, J.; Bjorkman, O. Photosynthetic Response and Adaptation to Temperature in Higher Plants. Annu. Rev. Plant. Physiol. 1980, 31, 491–543. [Google Scholar] [CrossRef]
- Allakhverdiev, S.I.; Kreslavski, V.D.; Klimov, V.V.; Los, D.A.; Carpentier, R.; Mohanty, P. Heat Stress: An Overview of Molecular Responses in Photosynthesis. Photosynth. Res. 2008, 98, 541–550. [Google Scholar] [CrossRef] [PubMed]
- Chan, T.; Shimizu, Y.; Pospíšil, P.; Nijo, N.; Fujiwara, A.; Taninaka, Y.; Ishikawa, T.; Hori, H.; Nanba, D.; Imai, A.; et al. Quality Control of Photosystem II: Lipid Peroxidation Accelerates Photoinhibition under Excessive Illumination. PLoS ONE 2012, 7, e52100. [Google Scholar] [CrossRef] [Green Version]
- Yamamoto, Y. Quality Control of Photosystem II: The Mechanisms for Avoidance and Tolerance of Light and Heat Stresses Are Closely Linked to Membrane Fluidity of the Thylakoids. Front. Plant Sci. 2016, 7, 1136. [Google Scholar] [CrossRef] [Green Version]
- Nishiyama, Y.; Allakhverdiev, S.I.; Murata, N. Protein Synthesis Is the Primary Target of Reactive Oxygen Species in the Photoinhibition of Photosystem II. Physiol. Plant. 2011, 142, 35–46. [Google Scholar] [CrossRef] [PubMed]
- Ogren, W.L. Photorespiration: Pathways, Regulation, and Modification. Annu. Rev. Plant. Physiol. 1984, 35, 415–442. [Google Scholar] [CrossRef]
- Björkman, O. The Effect of Oxygen Concentration on Photosynthesis in Higher Plants. Physiol. Plant. 1966, 19, 618–633. [Google Scholar] [CrossRef]
- Marín-Guirao, L.; Ruiz, J.M.; Dattolo, E.; Garcia-Munoz, R.; Procaccini, G. Physiological and Molecular Evidence of Differential Short-Term Heat Tolerance in Mediterranean Seagrasses. Sci. Rep. 2016, 6, 28615. [Google Scholar] [CrossRef] [PubMed] [Green Version]
- Marín-Guirao, L.; Bernardeau-Esteller, J.; García-Muñoz, R.; Ramos, A.; Ontoria, Y.; Romero, J.; Pérez, M.; Ruiz, J.M.; Procaccini, G. Carbon Economy of Mediterranean Seagrasses in Response to Thermal Stress. Mar. Pollut. Bull. 2018, 135, 617–629. [Google Scholar] [CrossRef]
- Marín-Guirao, L.; Entrambasaguas, L.; Dattolo, E.; Ruiz, J.M.; Procaccini, G. Molecular Mechanisms behind the Physiological Resistance to Intense Transient Warming in an Iconic Marine Plant. Front. Plant Sci. 2017, 8, 1142. [Google Scholar] [CrossRef] [Green Version]
- Tutar, O.; Marín-Guirao, L.; Ruiz, J.M.; Procaccini, G. Antioxidant Response to Heat Stress in Seagrasses. A Gene Expression Study. Mar. Environ. Res. 2017, 132, 94–102. [Google Scholar] [CrossRef]
- Beca-Carretero, P.; Guihéneuf, F.; Marín-Guirao, L.; Bernardeau-Esteller, J.; García-Muñoz, R.; Stengel, D.B.; Ruiz, J.M. Effects of an Experimental Heat Wave on Fatty Acid Composition in Two Mediterranean Seagrass Species. Mar. Pollut. Bull. 2018, 134, 27–37. [Google Scholar] [CrossRef]
- Franssen, S.U.; Gu, J.; Bergmann, N.; Winters, G.; Klostermeier, U.C.; Rosenstiel, P.; Bornberg-Bauer, E.; Reusch, T.B.H. Transcriptomic Resilience to Global Warming in the Seagrass Zostera marina, a Marine Foundation Species. Proc. Natl. Acad. Sci. USA 2011, 108, 19276–19281. [Google Scholar] [CrossRef] [PubMed] [Green Version]
- Winters, G.; Nelle, P.; Fricke, B.; Rauch, G.; Reusch, T. Effects of a Simulated Heat Wave on Photophysiology and Gene Expression of High- and Low-Latitude Populations of Zostera marina. Mar. Ecol. Prog. Ser. 2011, 435, 83–95. [Google Scholar] [CrossRef] [Green Version]
- Sunday, J.M.; Bates, A.E.; Dulvy, N.K. Thermal Tolerance and the Global Redistribution of Animals. Nat. Clim. Chang. 2012, 2, 686–690. [Google Scholar] [CrossRef]
- Huey, R.B.; Kearney, M.R.; Krockenberger, A.; Holtum, J.A.M.; Jess, M.; Williams, S.E. Predicting Organismal Vulnerability to Climate Warming: Roles of Behaviour, Physiology and Adaptation. Phil. Trans. R. Soc. B 2012, 367, 1665–1679. [Google Scholar] [CrossRef] [PubMed] [Green Version]
- Tewksbury, J.J.; Huey, R.B.; Deutsch, C.A. Ecology: Putting the Heat on Tropical Animals. Science 2008, 320, 1296–1297. [Google Scholar] [CrossRef] [PubMed]
- Williams, S.L.; McRoy, C.P. Seagrass Productivity: The Effect of Light on Carbon Uptake. Aquat. Bot. 1982, 12, 321–344. [Google Scholar] [CrossRef]
- Lazar, A.C.; Dawes, C.J. A Seasonal Study of the Seagrass Ruppia maritima L. in Tampa Bay, Florida. Organic Constitutents and Tolerances to Salinity and Temperature. Bot. Mar. 1991, 34, 265–269. [Google Scholar] [CrossRef]
- Blomqvist, B.; Wikström, S.A.; Carstensen, J.; Qvarfordt, S.; Krause-Jensen, D. Response of Coastal Macrophytes to Pressures; WATERS Report no. 2014:2; Havsmiljöinstitutet: Gothenburg, Sweden, 2014. [Google Scholar]
- Martínez-Garrido, J.; Serrão, E.A.; Engelen, A.H.; Cox, C.J.; García-Murillo, P.; González-Wangüemert, M. Multilocus Genetic Analyses Provide Insight into Speciation and Hybridization in Aquatic Grasses, Genus Ruppia. Biol. J. Linn. Soc. 2016, 117, 177–191. [Google Scholar] [CrossRef] [Green Version]
- Comín, F.A.; Menéndez, M.; Lucena, J.R. Proposals for macrophyte restoration in eutrophic coastal lagoons. In Biomanipulation Tool for Water Management; Gulati, R.D., Lammens, E.H.R.R., Meijer, M.-L., van Donk, E., Eds.; Springer: Dordrecht, The Netherlands, 1990; pp. 427–436. ISBN 978-90-481-4074-9. [Google Scholar]
- Flora of Thailand, Volume 11, Part 4: Campanulaceae, Elatinaceae, Lythraceae, Onagraceae, Ruppiaceae, Sapotaceae & Staphyleaceae; Santisuk, T.; Balslev, H.; Newman, M.; Chayamarit, K. (Eds.) The Forest Herbarium, Department of National Parks, Wildlife and Plant Conservation: Bangkok, Thailand, 2014; ISBN 978-616-316-174-1. [Google Scholar]
- Moksnes, P.-O.; Gipperth, L.; Eriander, L.; Laas, K.; Cole, S.; Infantes, E. Förvaltning Och Restaurering Av Ålgräs I Sverige: Ekologisk, juridisk Och Ekonomisk Bakgrund; Rapport 2016:8; Havs-och vattenmyndigheten: Gothenburg, Sweden, 2016. [Google Scholar]
- White, T.; Bruns, T.; Lee, S.; Taylor, J.; Innis, M.; Gelfand, D.; Sninsky, J. Amplification and Direct Sequencing of Fungal Ribosomal RNA Genes for Phylogenetics. In PCR Protocols: A Guide to Methods and Applications; Innis, M.A., Ed.; Academic Press: San Diego, CA, USA, 1990; pp. 315–322. ISBN 978-0-08-088671-8. [Google Scholar]
- Baldwin, B.G. Phylogenetic Utility of the Internal Transcribed Spacers of Nuclear Ribosomal DNA in Plants: An Example from the Compositae. Mol. Phylogenet. Evol. 1992, 1, 3–16. [Google Scholar] [CrossRef]
- Tamura, K.; Peterson, D.; Peterson, N.; Stecher, G.; Nei, M.; Kumar, S. MEGA5: Molecular Evolutionary Genetics Analysis Using Maximum Likelihood, Evolutionary Distance, and Maximum Parsimony Methods. Mol. Biol. Evol. 2011, 28, 2731–2739. [Google Scholar] [CrossRef] [PubMed] [Green Version]
- Felsenstein, J. Confidence Limits on Phylogenies: An Approach Using the Bootstrap. Evolution 1985, 39, 783–791. [Google Scholar] [CrossRef]
- Siegel, H.; Gerth, M. Sea Surface Temperature in the Baltic Sea in 2018; HELCOM Baltic Sea Environment Fact Sheets; Baltic Marine Environment Protection Commission (Helsinki Commission-HELCOM): Helsinki, Finland, 2019. [Google Scholar]
- Vichkovitten, T.; Intarachart, A.; Khaodon, K.; Rermdumri, S. Transplantation of Tropical Seagrass Enhalus Acoroides (Lf) in Thai Coastal Water: Implication for Habitat Restoration. Greater Mekong Subreg. Acad. Res. Netw. Int. J. 2016, 10, 113–120. [Google Scholar]
- Levene, H. Robust tests for equality of variances. In Contribution to Probability and Statistics; Olkin, I., Ghurye, S., Hoeffding, W., Madow, W., Mann, H., Eds.; Stanford University Press: Stanford, CA, USA, 1960; pp. 278–292. [Google Scholar]
- Den Hartog, C.; Triest, L. A Profound View and Discourse on the Typification and Status of Three Confused Taxa: Ruppia maritima, R. Spiralis and R. Cirrhosa. Bot. Mar. 2020, 63, 229–239. [Google Scholar] [CrossRef]
- Triest, L.; Beirinckx, L.; Sierens, T. Lagoons and Saltwater Wetlands Getting More Diversity: A Molecular Approach Reveals Cryptic Lineages of a Euryhaline Submerged Macrophyte (Ruppia). Aquat. Conserv. Mar. Freshw. Ecosyst. 2018, 28, 370–382. [Google Scholar] [CrossRef]
- Beirinckx, L.; Vanschoenwinkel, B.; Triest, L. Hidden Hybridization and Habitat Differentiation in a Mediterranean Macrophyte, the Euryhaline Genus Ruppia. Front. Plant Sci. 2020, 11, 830. [Google Scholar] [CrossRef]
- Ito, Y.; Ohi-Toma, T.; Murata, J.; Tanaka, N. Hybridization and Polyploidy of an Aquatic Plant, Ruppia (Ruppiaceae), Inferred from Plastid and Nuclear DNA Phylogenies. Am. J. Bot. 2010, 97, 1156–1167. [Google Scholar] [CrossRef] [Green Version]
- Ito, Y.; Ohi-Toma, T.; Murata, J.; Tanaka, N. Comprehensive Phylogenetic Analyses of the Ruppia maritima Complex Focusing on Taxa from the Mediterranean. J. Plant Res. 2013, 126, 753–762. [Google Scholar] [CrossRef]
- Ito, Y.; Ohi-Toma, T.; Tanaka, N.; Murata, J.; Muasya, A.M. Phylogeny of Ruppia (Ruppiaceae) Revisited: Molecular and Morphological Evidence for a New Species from Western Cape, South Africa. Syst. Bot. 2016, 40, 942–949. [Google Scholar] [CrossRef]
- Mannino, A.M.; Menéndez, M.; Obrador, B.; Sfriso, A.; Triest, L. The Genus Ruppia L. (Ruppiaceae) in the Mediterranean Region: An Overview. Aquat. Bot. 2015, 124, 1–9. [Google Scholar] [CrossRef]
- Baden, S.P.; Pihl, L. Abundance, Biomass and Production of Mobile Epibenthic Fauna in Zostera Marina (L.) Meadows, Western Sweden. Ophelia 1984, 23, 65–90. [Google Scholar] [CrossRef]
- Buapet, P.; Gullström, M.; Björk, M. Photosynthetic Activity of Seagrasses and Macroalgae in Temperate Shallow Waters Can Alter Seawater PH and Total Inorganic Carbon Content at the Scale of a Coastal Embayment. Mar. Freshw. Res. 2013, 64, 1040. [Google Scholar] [CrossRef]
- Persson, G.; Asp, M.; Berggreen-Clausen, S.; Berglöv, G.; Björck, E.; Axén Mårtensson, J.; Ohlsson, A.; Persson, H.; Sjökvist, E. Framtidsklimat I Hallands Län—Enligt RCP-Scenarier; SMHI: Norrköping, Swedia, 2015. [Google Scholar]
- Srinivasan, A.; Takeda, H.; Senboku, T. Heat Tolerance in Food Legumes as Evaluated by Cell Membrane Thermostability and Chlorophyll Fluorescence Techniques. Euphytica 1996, 88, 35–45. [Google Scholar] [CrossRef]
- Buapet, P.; Björk, M. The Role of O2 as an Electron Acceptor Alternative to CO2 in Photosynthesis of the Common Marine Angiosperm Zostera marina L. Photosynth. Res. 2016, 129, 59–69. [Google Scholar] [CrossRef]
- Maxwell, K.; Johnson, G.N. Chlorophyll Fluorescence—A Practical Guide. J. Exp. Bot. 2000, 51, 659–668. [Google Scholar] [CrossRef]
- Beer, S.; Björk, M.; Beardall, J. Photosynthesis in the Marine Environment; Wiley Blackwell: Ames, IA, USA, 2014; ISBN 978-1-119-97958-6. [Google Scholar]
- Schreiber, U.; Bilger, W.; Neubauer, C. Chlorophyll Fluorescence as a Nonintrusive Indicator for Rapid Assessment of In Vivo Photosynthesis. In Ecophysiology of Photosynthesis; Schulze, E.-D., Caldwell, M.M., Eds.; Springer: Berlin, Heidelberg, 1995; pp. 49–70. ISBN 978-3-540-58571-8. [Google Scholar]
- Lichtenthaler, H.K.; Buschmann, C.; Knapp, M. How to Correctly Determine the Different Chlorophyll Fluorescence Parameters and the Chlorophyll Fluorescence Decrease Ratio RFd of Leaves with the PAM Fluorometer. Photosynthetica 2005, 43, 379–393. [Google Scholar] [CrossRef]
- Babani, F.; Lichtenthaler, H.K. Light-Induced and Age-Dependent Development OfChloroplasts in Etiolated Barley Leaves as Visualized by Determination of Photosynthetic Pigments, C02 Assimilation Rates and Different Kinds of Chlorophyll Fluorescence Ratios. J. Plant Physiol. 1996, 148, 555–566. [Google Scholar] [CrossRef]
- York, P.H.; Gruber, R.K.; Hill, R.; Ralph, P.J.; Booth, D.J.; Macreadie, P.I. Physiological and Morphological Responses of the Temperate Seagrass Zostera Muelleri to Multiple Stressors: Investigating the Interactive Effects of Light and Temperature. PLoS ONE 2013, 8, e76377. [Google Scholar] [CrossRef] [PubMed]
- Ontoria, Y.; Cuesta-Gracia, A.; Ruiz, J.M.; Romero, J.; Pérez, M. The Negative Effects of Short-Term Extreme Thermal Events on the Seagrass Posidonia Oceanica Are Exacerbated by Ammonium Additions. PLoS ONE 2019, 14, e0222798. [Google Scholar] [CrossRef] [PubMed]
- Sinsawat, V.; Leipner, J.; Stamp, P.; Fracheboud, Y. Effect of Heat Stress on the Photosynthetic Apparatus in Maize (Zea Mays L.) Grown at Control or High Temperature. Environ. Exp. Bot. 2004, 52, 123–129. [Google Scholar] [CrossRef]
- Buapet, P.; Rasmusson, L.M.; Gullström, M.; Björk, M. Photorespiration and Carbon Limitation Determine Productivity in Temperate Seagrasses. PLoS ONE 2013, 8, e83804. [Google Scholar] [CrossRef] [Green Version]
- Moore, K.A.; Shields, E.C.; Parrish, D.B. Impacts of Varying Estuarine Temperature and Light Conditions on Zostera Marina (Eelgrass) and Its Interactions With Ruppia Maritima (Widgeongrass). Estuaries Coasts 2014, 37, 20–30. [Google Scholar] [CrossRef]
- Johnson, M.R.; Williams, S.L.; Lieberman, C.H.; Solbak, A. Changes in the Abundance of the Seagrasses Zostera Marina L. (Eelgrass) and Ruppia maritima L. (Widgeongrass) in San Diego, California, Following and El Niño Event. Estuaries 2003, 26, 106–115. [Google Scholar] [CrossRef]
- French, E.; Moore, K. Canopy Functions of R. Maritima and Z. Marina in the Chesapeake Bay. Front. Mar. Sci. 2018, 5, 461. [Google Scholar] [CrossRef]
- Burkholder, J.M.; Glasgow, H.B.; Cooke, J.E. Comparative Effects of Water-Column Nitrate Enrichment on Eelgrass Zostera marina, Shoalgrass Halodule Wrightii, and Widgeongrass Ruppia Maritima. Mar. Ecol. Prog. Ser. 1994, 105, 121–138. [Google Scholar] [CrossRef]
- Touchette, B.W. Seagrass-Salinity Interactions: Physiological Mechanisms Used by Submersed Marine Angiosperms for a Life at Sea. J. Exp. Mar. Bio. Ecol. 2007, 350, 194–215. [Google Scholar] [CrossRef]
- Donelson, J.M.; Munday, P.L. Thermal Sensitivity Does Not Determine Acclimation Capacity for a Tropical Reef Fish. J. Anim. Ecol. 2012, 81, 1126–1131. [Google Scholar] [CrossRef]
- Pallarés, S.; Colado, R.; Pérez-Fernández, T.; Wesener, T.; Ribera, I.; Sánchez-Fernández, D. Heat Tolerance and Acclimation Capacity in Subterranean Arthropods Living under Common and Stable Thermal Conditions. Ecol. Evol. 2019, 9, 13731–13739. [Google Scholar] [CrossRef] [PubMed] [Green Version]
- Nievola, C.C.; Carvalho, C.P.; Carvalho, V.; Rodrigues, E. Rapid Responses of Plants to Temperature Changes. Temperature 2017, 4, 371–405. [Google Scholar] [CrossRef] [PubMed]




| Primer | F/R | Sequence 5′–3′ | Tm | Reference |
|---|---|---|---|---|
| ITS5 | F | GGAAGTAAAAGTCGTAACAAGG | 51.3 | [49,50] |
| ITS4 | R | TCCTCCGCTTATTGATATGC | 52.1 | [49,50] |
| rbcL_F | F | ATGTCACCACAAACAGAGACTAAAGC | 57.2 | [49,50] |
| rbcL_R | R | GAAACGGTCTCTCCAACGCAT | 57.6 | [49,50] |
| Sample | Gene | Length (bp) | Accession No. | Homology | Query Cover (%) | Total Score | Identity (%) | E-Value |
|---|---|---|---|---|---|---|---|---|
| Ruppia cirrhosa (Sweden) | ITS | 711 | MZ474644 | R. cirrhosa (AB728749.1) | 100 | 1283 | 100 | 0.0 |
| rbcL | 654 | MZ466378 | R. cirrhosa (JN113277.1) | 100 | 1252 | 99.85 | 0.0 | |
| Ruppia maritima (Thailand) | ITS | 710 | MZ453015 | R. maritima (AB728734.1) | 100 | 1281 | 100 | 0.0 |
| rbcL | 654 | MZ466377 | R. maritima (JN113279.1) | 100 | 1252 | 99.85 | 0.0 |
| A. Effect | SS | Degree of Freedom | MS | F | p |
|---|---|---|---|---|---|
| Fv/Fm initial | |||||
| Species | 0.004 | 1 | 0.004 | 3.91 | 0.052 |
| Temperature | 0.023 | 1 | 0.023 | 22.65 | <0.001 |
| Species x Temperature | 0.002 | 1 | 0.002 | 2.04 | 0.157 |
| Error | 0.073 | 72 | 0.001 | ||
| Fv/Fm final | |||||
| Species | 0.011 | 1 | 0.011 | 3.604 | 0.062 |
| Temperature | 0.14 | 1 | 0.14 | 46.6 | <0.001 |
| Species x Temperature | 0.074 | 1 | 0.074 | 24.672 | <0.001 |
| Error | 0.217 | 72 | 0.003 | ||
| Fv/F0 initial | |||||
| Species | 1.563 | 1 | 1.563 | 5.71 | <0.05 |
| Temperature | 4.601 | 1 | 4.601 | 16.805 | <0.001 |
| Species x Temperature | 0.045 | 1 | 0.045 | 0.165 | 0.685 |
| Error | 19.714 | 72 | 0.274 | ||
| Fv/F0 final | |||||
| Species | 3.669 | 1 | 3.669 | 12.5175 | <0.01 |
| Temperature | 8.538 | 1 | 8.538 | 29.1288 | <0.001 |
| Species x Temperature | 1.871 | 1 | 1.871 | 6.3826 | <0.05 |
| Error | 21.104 | 72 | 0.293 | ||
| φPSII | |||||
| Species | 0.027 | 1 | 0.027 | 2.093 | 0.152 |
| Temperature | 0.027 | 1 | 0.027 | 2.098 | 0.152 |
| Species x Temperature | 0.093 | 1 | 0.093 | 7.151 | <0.01 |
| Error | 0.937 | 72 | 0.013 | ||
| NPQ | |||||
| Species | 8.142 | 1 | 8.142 | 9.616 | <0.01 |
| Temperature | 0.109 | 1 | 0.109 | 0.129 | 0.72 |
| Species x Temperature | 0.002 | 1 | 0.002 | 0.002 | 0.962 |
| Error | 60.965 | 72 | 0.847 | ||
| B. Effect | Mean Square Error | Degree of Freedom | p | ||
| Fv/Fm final | 0.003 | 72 | <0.001 | ||
| Fv/F0 initial | 0.274 | 72 | <0.001 | ||
| Fv/F0 final | 0.293 | 72 | <0.001 | ||
| φPSII | 0.013 | 72 | <0.001 | ||
| NPQ | 0.847 | 72 | <0.001 | ||
| A. Effect | SS | Degree of Freedom | MS | F | p |
|---|---|---|---|---|---|
| Fv/Fm | |||||
| Species | 1.488 | 1 | 1.488 | 82.668 | <0.001 |
| Treatment | 0.968 | 1 | 0.968 | 53.75 | <0.001 |
| Species x Treatment | 0.734 | 1 | 0.734 | 40.794 | <0.001 |
| Error | 2.07 | 116 | 0.018 | ||
| Fv/F0 | |||||
| Species | 57.469 | 1 | 57.469 | 107.723 | <0.001 |
| Treatment | 27.813 | 1 | 27.813 | 52.135 | <0.001 |
| Species x Treatment | 11.564 | 1 | 11.564 | 21.677 | <0.001 |
| Error | 61.885 | 116 | 0.533 | ||
| φPSII | |||||
| Species | 0.724 | 1 | 0.724 | 54.05 | <0.001 |
| Treatment | 0.871 | 1 | 0.871 | 65.054 | <0.001 |
| Species x Treatment | 0.935 | 1 | 0.935 | 69.805 | <0.01 |
| Error | 1.553 | 116 | 0.013 | ||
| NPQ | |||||
| Species | 11.932 | 1 | 11.932 | 23.823 | <0.001 |
| Treatment | 2.78 | 1 | 2.78 | 5.551 | <0.05 |
| Species x Treatment | 2.946 | 1 | 2.946 | 5.882 | <0.05 |
| Error | 58.097 | 116 | 0.501 | ||
| B. Effect | Mean Square Error | Degree of Freedom | p | p | p |
| R. maritima (Control) | R. cirrhosa (Control) | R. cirrhosa (Warming Treatment) | |||
| R. maritima (warming treatment) | |||||
| Fv/Fm | 0.018 | 116 | <0.001 | <0.001 | <0.001 |
| Fv/F0 | 0.533 | 116 | <0.001 | <0.001 | <0.001 |
| φPSII | 0.013 | 116 | <0.001 | <0.001 | <0.001 |
| NPQ | 0.501 | 116 | <0.01 | <0.001 | <0.001 |
Publisher’s Note: MDPI stays neutral with regard to jurisdictional claims in published maps and institutional affiliations. |
© 2021 by the authors. Licensee MDPI, Basel, Switzerland. This article is an open access article distributed under the terms and conditions of the Creative Commons Attribution (CC BY) license (https://creativecommons.org/licenses/by/4.0/).
Share and Cite
Rasmusson, L.M.; Nualla-ong, A.; Wutiruk, T.; Björk, M.; Gullström, M.; Buapet, P. Sensitivity of Photosynthesis to Warming in Two Similar Species of the Aquatic Angiosperm Ruppia from Tropical and Temperate Habitats. Sustainability 2021, 13, 9433. https://doi.org/10.3390/su13169433
Rasmusson LM, Nualla-ong A, Wutiruk T, Björk M, Gullström M, Buapet P. Sensitivity of Photosynthesis to Warming in Two Similar Species of the Aquatic Angiosperm Ruppia from Tropical and Temperate Habitats. Sustainability. 2021; 13(16):9433. https://doi.org/10.3390/su13169433
Chicago/Turabian StyleRasmusson, Lina M., Aekkaraj Nualla-ong, Tarawit Wutiruk, Mats Björk, Martin Gullström, and Pimchanok Buapet. 2021. "Sensitivity of Photosynthesis to Warming in Two Similar Species of the Aquatic Angiosperm Ruppia from Tropical and Temperate Habitats" Sustainability 13, no. 16: 9433. https://doi.org/10.3390/su13169433
APA StyleRasmusson, L. M., Nualla-ong, A., Wutiruk, T., Björk, M., Gullström, M., & Buapet, P. (2021). Sensitivity of Photosynthesis to Warming in Two Similar Species of the Aquatic Angiosperm Ruppia from Tropical and Temperate Habitats. Sustainability, 13(16), 9433. https://doi.org/10.3390/su13169433

