Next Article in Journal
Improving Horse Welfare and Environmental Sustainability in Horse Husbandry: Linkage between Turnout and Nitrogen Surplus
Previous Article in Journal
Candidate Digital Tasks Selection Methodology for Automation with Robotic Process Automation
 
 
Font Type:
Arial Georgia Verdana
Font Size:
Aa Aa Aa
Line Spacing:
Column Width:
Background:
Article

Compatibility and Biomineralization Oriented Optimization of Nutrient Content in Nitrate-Reducing-Biogranules-Based Microbial Self-Healing Concrete

by
Beyza Kardogan
1,
Kadir Sekercioglu
1 and
Yusuf Çagatay Erşan
1,2,*
1
Department of Environmental Engineering, Hacettepe University, Ankara TR-06800, Turkey
2
Department of Civil Engineering, Abdullah Gul University, Kayseri TR-38080, Turkey
*
Author to whom correspondence should be addressed.
Sustainability 2021, 13(16), 8990; https://doi.org/10.3390/su13168990
Submission received: 6 July 2021 / Revised: 3 August 2021 / Accepted: 4 August 2021 / Published: 11 August 2021
(This article belongs to the Special Issue Bio-Based Materials and Energy under Circular Economy Approaches)

Abstract

:
Microbially induced calcium carbonate precipitation (MICP) can be mentioned among the popular approaches to develop a self-healing concrete. The production of dissolved inorganic carbon through microbial activity is the main precursor for MICP in concrete and it is limited by the bioavailability of the nutrients. When nutrients are added to the mortar as admixtures, their bioavailability becomes more significant for crack repair because nutrients disperse in the mortar and considerable fraction stays far from a single crack. Therefore, the determination of bioavailability of nutrients and its variation with the initial nutrient content and crack age is essential to optimize a recipe for bacteria-based self-healing concrete. This study presents the optimum nutrient content defined for nitrate-reduction-based self-healing bioconcrete. In the tests, calcium nitrate (CN) and calcium formate (CF) were combined with a CF:CN w/w ratio of 2.50. Mortar properties and bioavailability of nutrients were analysed at different nutrient doses. Moreover, the bioavailability of nutrients at different crack ages changing between 3 and 56 days was monitored. Finally, resuscitation, microbial activity and the MICP performance of nitrate reducing biogranules were tested at defined nutrient bioavailabilties. The optimum nutrient content was determined as 7.00% (CF 5.00% and CN 2.00%). The leaching rates of formate ions were twice the leaching rate of the nitrate ions at similar initial concentrations, which led to a bioavailable HCOO/NO3-N ratio of 23 g/g in cracked mortar. Under optimum nutrient conditions, the CaCO3 precipitation yield of nitrate reducing biogranules was recorded as 1.5 g CaCO3/g HCOO which corresponded to 68% C precipitation efficiency.

1. Introduction

Crack repair and regular maintenance are indispensable in concrete structures to prevent durability issues and prolong the service life of the reinforcement bars. Techniques such as injection of cement paste or petrochemical-based products can be mentioned among the conventional methods for crack repair in concrete. However, these maintenance methods are economically unfeasible, unsustainable, and labour intensive. This situation has led to exploration of more sustainable processes for crack sealing.
Microbially induced calcium carbonate precipitation (MICP) has been suggested as an economical, environment-friendly and labourless bio-based process for crack repair in concrete [1,2]. Since then, MICP has been investigated either as an external repair technique or as a core process allowing repeatable autonomous self-healing [3,4,5,6,7,8]. In this new approach, bacteria that are capable of producing dissolved inorganic carbon through their metabolic activities were given access to the concrete cracks either by manually injecting them upon crack occurrence or by incorporating them into the fresh concrete mixture from the beginning. As concrete is abundant in terms of Ca2+ ions and OH alkalinity, in the presence of appropriate bacteria, MICP occurs and CaCO3 crystals start to grow on the crack walls. Growing crystals decrease the crack width and ultimately seal the crack mouth with a CaCO3 layer of up to a 1 cm thickness [4]. Therefore, between 65% and 98% of the initial water tightness could be regained following the healing of cracks up to 500 µm crack width [4,5,6,7]. Several types of microorganisms and metabolic pathways were explored for creating a self-healing bioconcrete. For example, axenic alkaliphilic spore-forming aerobic heterotrophs (Bacillus cohnii, Bacillus alkalinitrilicus, Bacillus pseudoformis) were found adequate for development of self-healing concrete [8,9,10]. Another and widely investigated metabolic pathway for MICP is ureolysis, also known as urea hydrolysis. A considerable amount of research was conducted to develop a urea hydrolysis-based microbial self-healing concrete [2,5,7]. In those studies, axenic cultures such as Bacillus sphaericus and Sporosarcina pasteurii, as well as a non-axenic culture, namely cyclic enriched ureolytic powder (CERUP) were tested. It was reported that replacing axenic cultures with non-axenic cultures decreased the final product cost significantly (up to twenty times) [5].
Recently, nitrate reducing bacteria have been suggested as an alternative bacterial healing agent to overcome some disadvantages related to the use of ureolytic bacteria and aerobic heterotrophs, such as production of ammonia, malodour and dependence on external alkalinity and dissolved oxygen concentration [11]. It was shown that, using nitrate reducing axenic cultures (Pseudomonas aeruginosa and Diaphorobacter nitroreducens) or non-axenic nitrate reducing biogranules (activated compact denitrifying core, ACDC) were useful for the development of a more environment-friendly microbial self-healing concrete [4,12]. The cost of the self-healing concrete developed with nitrate reducing ACDC granules was reported to be approximately ten times less than the ones developed by using axenic cultures [4].
Almost all of the initial studies proved that regardless of the metabolic pathway, MICP can greatly improve the self-healing capability of cementitious materials, and more importantly provide predictable and repeatable crack healing [2,4,6]. Thus, microbial self-healing concrete has been offered as a novel material that can minimize crack-related durability and functionality problems. Upon these promising findings, some initial attempts for up-scaling of microbial self-healing concrete were also reported [13,14]. However, to our knowledge, in all up-to-date studies, researchers mainly focused on the type of bacteria, the metabolic pathway and the effectiveness of protective carriers. Most of these studies were conducted only at laboratory scale to define the limits of a type of microbial self-healing concrete that was developed by changing one or two of the aforementioned parameters (type of bacteria, metabolic pathway or protective carrier). In the meantime, the role of the added nutrients did not get significant attention. As initial studies focused on the “proof-of-the-concept”, in most of the studies, nutrients had been used in excessive amounts to avoid any limitation in MICP and the subsequent crack healing process. In aforementioned studies, nutrients were either supplied inside the carriers or directly added to the mix as concrete admixtures without referring to any stochiometric basis. To the best of our knowledge, there is no information about the bioavailability of these nutrients for MICP in cementitious materials, and the optimum amount of nutrients to be used in different microbial self-healing concrete types still remains unclear.
Bioavailability of nutrients is one of the most fundamental parameters in MICP since nutrients are essential for bacterial growth and activity. The latter makes them the main source of dissolved inorganic carbon that precipitates as CaCO3 during the MICP process. Therefore, in order to develop a microbial self-healing concrete that during the microbial crack healing process, the nutrients are both economically and efficiently used, it is essential to optimize the initial nutrient content of a microbial self-healing concrete. Such optimization can only be done by considering the following parameters: (i) stoichiometry of electron donor and acceptor, (ii) compatibility of the nutrients with the cementitious matrix, (iii) the variation in bioavailability of nutrients at different initial nutrient doses and (iv) MICP yields of relevant bacteria at various bioavailable nutrient conditions. Optimization of nutrient content of microbial self-healing concrete would also provide a more standardized and cost-efficient recipe for further tests at larger scales.
In MICP, nutrient types vary based on the driving microbial metabolism so that nutrient contents for previously reported microbial self-healing concrete types should be optimized individually based on the proposed metabolic pathway and the corresponding nutrients. In this study, we focused on optimization of the nutrient content of nitrate-reduction-based microbial self-healing concrete. Accordingly, commercial concrete admixtures, Ca-nitrate and Ca-formate, were tested as nutrients, and nitrate reducing biogranules were used as a healing agent. This paper presents: (i) how fresh and hardened properties of concrete change with varying nutrient contents, (ii) how bioavailability of nutrients changes with varying nutrient content and crack age and (iii) the optimum nutrient content that nitrate reducing biogranules rapidly resuscitate and yield the highest MICP.

2. Materials and Methods

2.1. Production of Bacterial Granules

The biogranules with an activated denitrifying core were cultivated in a sequencing batch reactor which has 60 cm effective height and 12.4 cm diameter. The hydraulic retention time of the reactor was set to 12 h by running the reactor with a 50% volume exchange ratio. For the cultivation, old dry biogranules which had been harvested from the previous study [15,16] were used as seed after grinding them to a dry particle size of less than 0.212 mm. Operation of the bioreactor consisted of four batch cycles in a day and cycles were divided into three major periods which were (i) simultaneous fill/draw under anoxic conditions (120 min), (ii) anoxic period (60 min) and (iii) aerobic period (175–180 min). Finally, there was a settling period varying between 0–5 min to create a selective pressure that washed out the planktonic bacteria. The simultaneous fill/draw period was applied with 0.5 mL/s nutrient flow. In the aeration period upflow air velocity was set to 0.8 cm/s.
In order to feed the reactor, an alkaline mineral nutrient solution with a pH of 10.2 was used to favour the microorganisms that can be active under crack similar pH conditions. Nutrient solution was composed of NaHCOO (47.6 mM), NaNO3 (3.9 mM), Ca(NO3)2 (1.6 mM), MgSO4·7H2O (0.4 mM), KH2PO4 (0.1 mM).
Harvested biogranules were dried at 60 °C for 48 h in a ventilated electrical oven. Then they were separated into three portions according to their size (1.00–2.00 mm, 0.85–1.00 mm, 0.50–0.85 mm) and stored at room temperature.

2.2. Selected Nutrients for Optimization

In all batch experiments, calcium formate (CF) was used as the organic carbon source (electron donor) and calcium nitrate (CN) was used as the electron acceptor for microbial activity. In the previous studies, it was proven that these concrete admixtures were useful to develop microbial self-healing concrete made with either axenic bacteria or non-axenic nitrate reducing biogranules [4,12]. Yet, past studies used the data provided in concrete admixtures guidelines to determine the amount of the chosen admixtures in the mix design [17,18]. Different from those studies, chemical stoichiometry behind the reaction of MICP was considered in this study. According to the stoichiometry (Equation (1)) when 1 g of NO3-N is reduced, 8 g of formate (HCOO) is oxidized. Based on this reaction, it is certain that weight to weight ratio of calcium formate to calcium nitrate must be at least 2.0. Accordingly, CF:CN w/w ratio was chosen as 2.5 (10 g of formate oxidation for 1 g of NO3-N reduction) in our study, to be on the safe side during optimization of the nutrient content in the mix design.
5Ca(HCOO)2 + 2Ca(NO3)2 → 2N2 + 4CaCO3 + 3Ca(HCO3)2 + 2H2O

2.3. Preparation of Mortar Specimens

Mortar specimens were prepared in accordance with EN196-1 standard. Accordingly, a w/w sand:cement:water ratio of 3.0:1.0:0.5 was used in all specimens. Standard ingredients in all mixtures were 450 g CEM I-42.5 cement, 1350 g DIN EN 196-1 standard sand and 225 g tap water. Tested nutrient concentrations were varied between 0.88% (CN0.25-CF0.63) w/w cement and 10.50% (CN3.00-CF7.50) w/w cement by incrementally increasing the CN and CF contents. As determined, CF:CN ratio was kept constant at 2.5 while varying the total nutrient concentration. Detailed nutrient contents of the tested mortar specimens were given in Table 1.

2.4. Determination of Mortar Properties

Fresh mortar properties (setting, slump, and flow) were determined immediately after mixing. Prepared mortar specimens were cured in a sealed bag at room temperature for 3, 7, 28 and 56 days before testing hardened properties.
Setting tests were conducted based on the ASTM807 standard by using automatic vicat equipment (Matest E044N, Bergamo, Italy). Slump and flow analyses were done based on the NBN EN 1015-3 standard. According to the obtained data, workability and consistency of different mix designs were specified. The limit of the minimum initial setting time was defined as 60 ± 12 min based on ASTM C191-04 and NBN EN-1008 standards while determining the workability, and the maximum acceptable deviation was specified as 5% from the 136.4 mm which was the reference flow value.
Specimens where either their initial setting time changed at least 12 min compared to reference specimens or their final setting time changed at least 20 min compared to the reference specimens were considered as significantly different according to the evaluation criteria described in ASTM C191-04 and NBN EN-1008.
Based on the fresh mortar properties, mortar specimens with sufficient workability and acceptable initial setting time (>60 min) were selected for further testing of the hardened properties. In the strength tests, nutrient content of the mortar specimens was increased by 1.75% (0.50% increase in CN and 1.25% increase in CF), as at lower increments (0.25% increase in CN and % 0.63 increase in CF), fresh mortar properties did not change significantly.
Compressive strength tests were conducted only for the selected mixtures given in Table 1, upon 3, 7, 28 and 56 days of curing periods. Cubic specimens of 50 mm × 50 mm × 50 mm in size were used based on the NBN EN 196-1 (2005) standard and tests were conducted by applying a loading rate of 2 kN/s in a test machine (Utest UTC-5700, Ankara Turkey) with a 300 kN load capacity.

2.5. Determination of the Amount of Bioavailable Nutrients

Nutrient leaching tests were only conducted for the mortar specimens used for the compressive strength tests which were CN0.50-CF1.25, CN1.00-CF2.50, CN1.50-CF3.75, and CN2.00-CF5.00 (Table 1). Hardened mortar prisms (160 mm × 40 mm × 40 mm) were split into two pieces via three-point bending and then brought together to imitate the existence of a crack. Then, pieces were immersed in water (800 mL) as shown in Figure 1.
The changes of the NO3-N and HCOO concentrations in the water were determined by regular sampling of the solution for 14 days. Observed changes in concentration in the first 24 h of the immersion period were due to the nutrients present on the surface of the specimens, so they were not considered whilst defining the nutrient leaching trend.
Leaching analyses were performed for mortars cracked after 3, 7, 28, and 56 days of curing in order to investigate the effect of hydration reactions on the leaching rate of the nutrient admixtures.

2.6. Effect of Nutrient Bioavailability on Resuscitation and MICP Performance of Nitrate Reducing Biogranules

In the nutrient leaching test setup, the variation in the bioavailability of nutrients (formate and nitrate) upon crack formation was determined with respect to the initial nutrient content of different mortar mixtures. Observed nutrient leaching trends were replicated in batch reactors to evaluate the effect of bioavailable nutrient content on resuscitation and MICP performance of nitrate reducing biogranules. At the beginning of the MICP test, each batch reactor contained an identical amount of dried spores (0.5 g CDW/L) in the form of biogranules. Therefore, the effect of the bioavailable nutrient content on MICP performance of nitrate reducing biogranules could be decoupled from the possible interference of survival rate, pH, and crack width.
During the replication of the leaching trends, nutrient concentrations in the related days were obtained by using 0.001 M, 0.005 M and 0.010 M NO3-N, and 0.020 M and 0.050 M HCOO stock solutions. Stock solutions were prepared by using calcium formate and calcium nitrate.
In all experiments, 100 mL (107 mL full volume) serum bottles with rubber stoppers were used (Figure 2). Tap water pH was adjusted to 9.8 by using NaOH (2 M) to mimic the pH value in cracked concrete [19]. Test bottles, stoppers and tap water were sterilized by autoclaving at 1 bar and 121 °C for 20 min. The spore content of each batch was set to 0.5 g CDW/L. Biogranules with identical particle size distribution were used in MICP tests. In each batch, 50% w/w of the biogranules were 1.00–2.00 mm in size, 0.35% w/w of biogranules were 0.85–1.00 mm in size and 15% w/w of the biogranules were 0.50–0.85 mm in size. The given size distribution was based on our previous study [20]. Batch reactors containing biogranules were filled with tap water and sealed with rubber stoppers. Each batch was prepared in triplicates. The initial contact of tap water with biogranules was considered as the beginning of the experimental period (t = 0 h) and the reactors were sampled and spiked every two days to replicate the previously defined nutrient leaching trends of various mortar specimens. Throughout the 16 days of experimental period, batch reactors were kept at 20 °C. On Day 16, final samples were taken, and the reactor content was further used for quantification of the precipitated CaCO3 amount.
As described earlier, biogranules specifically produced for concrete applications contain some calcium carbonate, especially in their outermost layer. Therefore, a control batch reactor (only tap water) was prepared to determine CaCO3 content of biogranules and to check whether there is any nutrient leaching from the biogranules. In this control reactor, in order to block any microbial activity and clearly record the possible nutrient leaching from the biogranules, tap water pH was adjusted to 11. The initial CDW content of the control reactor was identical to the MICP test reactors. The control reactor was run without spiking any nutrients and sampled every two days to monitor reactor content.

2.7. Analytical Methods

Nitrate concentrations were measured via ion chromatography (IC) (Metrohm, Switzerland) and formate concentrations were determined via high-performance liquid chromatography (HPLC) in the leaching experiments.
NO3-N concentrations in the batch reactors were measured by using test kits (HACH, LCK 340). Formate concentrations were measured by using COD test kits (HACH LCI 400 and HACH LCK 314) and the obtained COD values were converted to formate concentrations by using theoretical COD equivalent of 0.35 g COD/g HCOO. NO2-N concentrations were measured by using the colorimetric method.
In order to quantify the amount of CaCO3 precipitated in the batch reactors, CaCO3 precipitates were dissolved with strong acid and quantification was made by measuring the amount of CO2 gas formed due the reaction. In order to achieve rapid and complete dissolution of precipitated CaCO3 minerals, 5 M H2SO4 was used. The addition of the strong acid dissolved CaCO3 minerals and led to production of CO2 which could be collected in a water column (Figure 3). By using the displacement of the water level in the column, ideal gas law and Henry’s constant, the CO2 generated from dissolution of CaCO3 was determined. By using the measured CO2, the amount of CaCO3 was calculated (Equations (2)–(4)).
P.V = n.R.T
KH = PCO2/[CO2] = 29.41 atm/M
CaCO3 + H2SO4 → CaSO4 + CO2↑ + H2O

2.8. Statistical Analysis

All of the experiments were done in triplicate and obtained data were represented as mean ± standard deviation. SigmaPlot (v 12.0 Systat Software Inc., San Jose, CA, USA) was used to compare the significant differences in results via one-way analysis of variance (ANOVA) test (p = 0.05).

3. Results and Discussion

3.1. Fresh Mortar Properties

Setting time, flow and slump data obtained from the analyses of fresh mortar specimens were given in Table 2. The results indicate that increasing the initial nutrient content significantly decreased the setting time (p = 0.05) (Table 2). Initial setting time was more affected by the increase in the nutrient content of the mortars than the final setting time. Even at the lowest nutrient content (CN0.25-CF0.63) initial setting time decreased significantly.
Among the tested mortar mixes, four of them were determined to be inadequate for further tests because of their considerably short setting time (less than 60 min) based on the NBN EN-1008 standard. The effect of nutrients on consistency and workability of the specimens were less remarkable. Among the tested specimens, only the mix containing the highest amount of nutrients (i.e., CN3.00-CF7.50) showed a significant decrease in consistency and workability. Fresh mortar properties indicated that the nutrient content of nitrate-reducing-bacteria-based self-healing concrete should not exceed 7.00% w/w cement (CN2.00-CF5.00). Above this limit, initial and final setting times, as well as the workability of the mortar decreased significantly to the levels which compromised the commercial application of these mixtures without the use of additional modifiers (set retarders, superplasticizers, etc.). Similar set acceleration behaviours of CN and CF were also reported in previous studies and attributed to the increased calcium content in the mixture [17,18,21]. Thus, calcium content of the nutrients should not exceed 2.00% w/w cement.
On the one hand, mortar mixtures varying in a certain nutrient content margin (i.e., between reference and CN0.25-CF0.63, CN0.25-CF0.63 and CN0.50-CF1.25 etc.) did not show considerably different fresh mortar properties which indicated that initially defined increments in nutrient content (±0.88% in this case) were over-cautious. On the other hand, higher increments resulted in a combination of significant and insignificant effects. Therefore, in further tests, nutrient increments were doubled to 1.75% (i.e., reference and CN0.50-CF1.25, CN0.50-CF1.25 and CN1.00-CF2.50 etc.).

3.2. Compressive Strength

According to the comparison with the reference mix (σ = 36 MPa), early age strength of CN0.50-CF1.25 and CN1.00-CF2.50 mortar specimens increased by about 14% and the other specimens were not significantly different (p = 0.05) (Figure 4).
At the end of the 7 days, except CN2.00-CF5.00 specimen which had compressive strength similar to the reference mix (σ = 42 MPa), all the other mixtures showed 10% increase in compressive strength. At the end of the 28 days, all specimens revealed at least 20% increase in compressive strength compared to the reference mix (σ = 48 MPa). Finally, at the end of the 56 days, reference specimen and the nutrient containing specimens reached a similar compressive strength (~60 MPa). These findings show that the effect of nutrients (calcium formate and calcium nitrate) on compressive strength is insignificant in the long term. Furthermore, regardless of the amount of nutrients incorporated in the range of 1.75% to 7.00% w/w cement, these nutrient admixtures had a positive effect on strength development in the first 28 days.

3.3. The Amount of Bioavailable Nutrients in Different Mixtures

The crack age did not affect the nutrient leaching rate significantly (p = 0.05) (Figure 5 and Figure 6) which indicated that the added nutrients (nitrate and formate) were not consumed in any of the chemical reactions inside the mortar. Therefore, the observed effects in setting properties and strength development were attributed to the increased calcium content of the mixtures as previously described in several studies [17,18].
Nutrient leaching rates through the crack increased with the increasing initial nutrient content of the mortar specimens. Accordingly, the lowest bioavailable NO3-N (0.4 ± 0.1 mg/L) was observed in the batch containing the lowest initial nutrient content (CN0.50-CF1.25). In this batch, there was a minor increase in the nutrient concentration throughout the experimental period of 14 days (Figure 5). The highest bioavailable NO3-N (24.0 ± 1.3 mg/L) was observed in the batch containing the highest initial nutrient content (CN2.00-CF5.00). The average NO3-N leaching rates from the cracks of mortar specimens were found as 0.04 mg·d−1, 0.57 mg·d−1, 0.92 mg·d−1 and 1.32 mg·d−1 for CN0.50-CF1.25, CN1.00-CF2.50, CN1.50-CF3.75 and CN2.00-CF5.00, respectively (Figure 5). Formate leaching rates also increased with the increasing nutrient content of the mortar mix. Average HCOO leaching rates from the cracks of different specimens were noted as 5.84 mg·d−1, 13.68 mg·d−1, 20.96 mg·d−1 and 28.64 mg·d−1 for CN0.50-CF1.25, CN1.00-CF2.50, CN1.50-CF3.75 and CN2.00-CF5.00, respectively (Figure 6).
When formate and nitrate leaching rates were compared at similar nutrient content, a higher leaching rate was recorded for formate ions when compared to the leaching rate of nitrate ions. For example, when the initial calcium formate content of a mix was 2.50% w/w cement, the formate concentration inside the mix became 7.79 mg/L which corresponded to ~2.00 g of formate in a single mortar prism (0.256 L). This initial formate content led to a formate leaching rate of 13.68 mg·d−1 (Figure 6). When the initial calcium nitrate content of the mix was 2.00% w/w cement, the nitrate concentration inside the mix became 6.80 mg/L which corresponded to 1.75 g of nitrate in a single prism. This initial nitrate content led to a nitrate leaching rate of 5.84 mg·d−1 (Figure 5). Considering these results, it could be concluded that when the initial mass contents of nitrate and formate were comparable in mortar specimens, the leaching rate of formate ions was more than twice the leaching rate of nitrate ions from cracked mortar.
Findings reveal that except the batch made with the lowest amount of nutrients (CN0.50-CF1.25) which did not have significant nitrate leaching, the bioavailable nutrient ratio was ~23g HCOO/g NO3-N. Considering the aforementioned stoichiometry for nitrate reduction (8 g HCOO oxidation for 1 g NO3-N reduction), the required CF:CN ratio was ~2.0. As also mentioned earlier, to be on the safe side, it was chosen as 2.5 (10 g HCOO oxidation for 1 g NO3-N reduction) in this study. However, based on the leaching results, in microbial self-healing concrete preparation, CF:CN ratio of 2.5 appeared to be excess. On the one hand, from an economical perspective, considering the recorded bioavailable nutrient ratio (~23 g HCOO/g NO3-N), it can be claimed that CF:CN ratio of 0.9 would be sufficient for an economical mix design enabling effective use of the provided nutrients (8 g HCOO oxidation for 1 g NO3-N reduction) during microbial self-healing of cracks (Figure 5 and Figure 6). On the other hand, this ratio is only valid for MICP reactions without considering the germination of spores and reproduction of bacteria. In a previous study, it was revealed that under minimal nutrient conditions and limited P availability (N:P ratio of 24), some nitrate-reducing microorganisms could reproduce by using HCOO and NO3-N [22]. It was reported that the w/w ratio of these nutrients should be ~20 (g HCOO/g NO3-N) to achieve simultaneous microbial growth and MICP [23].
The cost of the self-healing bioconcrete depends on the amount of bacterial agents and amount of the nutrients used. Therefore, these two agents should be meticulously examined to develop a cost-efficient self-healing concrete. If lower CF:CN ratios are used, the amount of bacterial agent in the mix design should be high enough to induce calcium carbonate precipitation with minimum or no reproduction of cells. In this approach the defined CF:CN ratio of 2.5 could be decreased to 0.9 so that the costs related to nutrients can be decreased. In another approach, one may consider using the least amount of bacteria that would not compromise the probability of bacteria presence in any formed crack due to distribution issues. In this approach, the bioavailable nutrient ratio should be at least 20 g HCOO/gNO3-N to obtain simultaneous cell reproduction and MICP which would be the drivers for effective crack healing. Our findings revea that such nutrient bioavailability can be achieved when the initial CF:CN ratio of the mix is around 2.2. Further trade-off studies should be conducted carefully by considering: (i) the influence of nutrients on concrete properties, (ii) the cost of possible bacterial healing agents (axenic or non-axenic cultures), (iii) the cost of protective carriers and/or encapsulation methods and (iv) the cost of the nutrients to elucidate whether reducing the amount of bacterial agents or the nutrients is more significant to reach a cost efficient microbial self-healing concrete.
Previous studies considering the feasibility of up-scaling of self-healing concrete reported 100 to 1000 times higher unit costs for bacteria compared to the nutrients used in self-healing studies [5]. These high unit costs were even valid for the most economically feasible non-axenic cultures proposed for development of self-healing bioconcrete [4,5,24]. Therefore, decreasing the amount of bacterial agents in the mix design of microbial self-healing concrete seems to be a more economically feasible approach. Based on the results of this study, it can be said that nutrient ratio of 2.5 (CF:CN) in nitrate-reducing-bacteria-based self-healing concrete is suitable for mixtures containing small amounts of bacteria that both reproduction and MICP is planned to occur simultaneously during crack healing. Unfortunately, the effect of bacteria content on self-healing of cracks is still unknown and thus it is not possible to define a scale that indicates if a certain amount of bacteria incorporation would require only MICP or both MICP and reproduction during crack healing.
Observed leaching rates and the ratio of the bioavailable nutrients were also remarkable as they unveil how it was possible to achieve decent self-healing performances in the previous studies using CF and CN without considering the stoichiometry for MICP. Ersan et al. [4,16] reported significant crack healing when the initial CF content (2.00% w/w cement) was lower than the initial CN content (3.00 w/w cement). Although under these circumstances one would expect either a carbon source limitation or uneconomical use of nitrate source, our findings in this study revealed that a relatively higher leaching rate of formate ions might have avoided such issues. Moreover, in those studies, the bacteria content was reported as 0.5% w/w cement. Considering that the used CF:CN ratio was 0.67 and decent self-healing performance could be achieved, it can be claimed that in those studies microbial self-healing mortar mixtures did not favour simultaneous growth and MICP which requires CF:CN ratio of at around 2.5. Therefore, one can conclude that bacteria content of 0.50% w/w cement is one of the doses that would economically benefit from less nutrient incorporation. If one considers defining a cost-efficient bacteria content for nitrate reduction-based microbial self-healing concrete, investigating bacteria doses of less than 0.50% w/w cement with higher initial CF:CN ratio should be prioritised.
Findings of this study also revealed the fate of the nutrients upon direct addition to the mortar mixture. Since cementitious composites have a porous structure, nutrient leaching can occur because of the permeability of the concrete. Thus, the likelihood of running out of nutrients before any crack occurrence should be further evaluated for later age cracks in the concrete. In the mix CN2.00-CF5.00 which showed the highest NO3-N leaching, regardless of the age of the mortar, the highest NO3-N concentration reached in the immersion solution was 21.9 ± 2.4 mg/L in 14 days. This amount corresponded to 17.5 ± 1.9 mg NO3-N in the immersion solution (800 mL). As mentioned above, in a homogenous mortar mixture 1.74 g NO3 (393 mg NO3-N) was present in one mortar prism of 160 mm × 40 mm × 40 mm (0.256 L) in size. Although there was a crack in the prism which accelerated the leaching rate due to increased permeability, in 14 days, total leached NO3-N only corresponded to 4.5% of the provided nutrient in one prism. The same mortar mixture (CN2.00-CF5.00) could be evaluated for formate leaching as well. Regardless of the mortar age, formate concentration reached 488 ± 43 mg/L in the bulk solution which corresponded to 390.4 ± 34.4 mg HCOO leach from a single 160 mm × 40 mm × 40 mm size prism (0.256 L) containing 4 g of HCOO. The average amount of formate leached from a cracked prism in 14 days only corresponded to 9.7% of the available nutrients in a single prism. In uncracked concrete, nutrient leaching occurs mostly through surface washing as the permeability of uncracked concrete is at least 103 to 104 times less than the cracked concrete [7]. Therefore, in uncracked concrete, leaching rates are expected to be slower. Moreover, results showed that leaching rate decreases with time by following a logarithmic function (Figure 5 and Figure 6). Considering that even in the cracked concrete, the amount of leached nutrients was less than 10% of the total available nutrients, it became safe to claim that even for immersed structures, nutrients can be added directly as admixtures, and this would not lead to severe nutrient limitation in the healing of later age cracks.

3.4. Evaluation of the Effect of Nutrient Bioavailability on Resuscitation and MICP Performance of Nitrate Reducing Biogranules

In the control reactor, NO3-N concentrations were similar to the replicated nutrient leaching conditions throughout the 16 days of the experimental period. However, HCOO concentrations initially showed a slight difference which was consistent in each measurement throughout the experimental period. The main reason for this extra carbon source in the first couple of days was the carbon release from dry nitrate reducing biogranules and the initial carbon content of the tap water. Similar differences in the initial concentrations were also observed in biologically active batch reactors and thus these differences were normalised based on the observations in the control reactor by subtracting the carbon content of the control reactor from all measurements.
Decrease in nutrient concentrations in the batch reactors is a sign of microbial activity. According to the recorded results, except control reactor, in all batches there was microbial activity (Figure 7, Figure 8 and Figure 9). These findings indicated that regardless of the nutrient leaching rate, resuscitation of the dried biogranules was possible in all investigated leaching conditions.

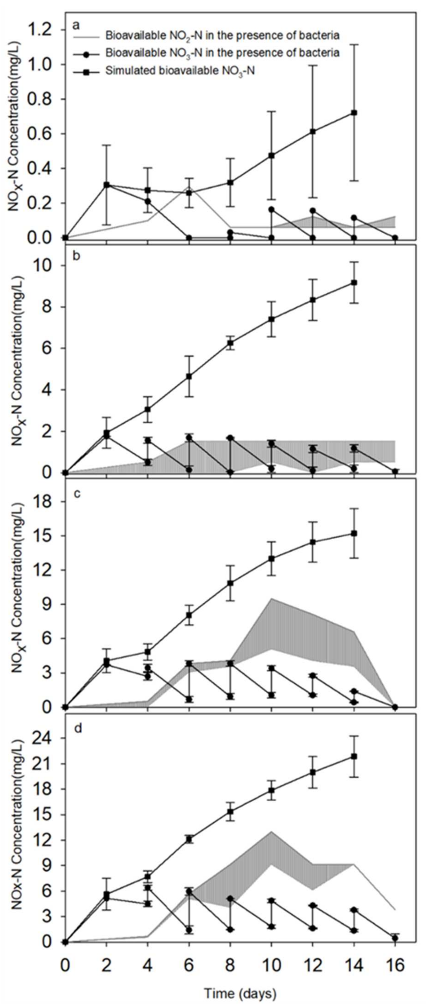
3.4.1. Changes in Bioavailable NOx-N Concentration

As shown in Figure 7, NO3-N was almost completely consumed in all batches. In Batch A (replication of bioavailable nutrient conditions for cracked CN0.50-CF1.25 mortar) NO3-N concentration was already less than 1 mg/L for abiotic conditions and in the presence of nitrate reducing biogranules, most of the nitrate reduction activity and nitrite accumulation was observed between days 4 and 6 with a nitrate reduction activity of (0.21 mg NO3-N·g−1 CDW·d−1). Minimum nitrate reduction rate (0.03 mg NO3-N·g−1 CDW·d−1) occurred between days 8 and 10. NO2-N amount reached its maximum value when NO3-N consumption rate was maximum (between days 4 and 6). However, as no NO3-N leaching was recorded for the next two days, bacteria started to reduce NO2-N immediately. In Batch A, complete resuscitation of nitrate reducing biogranules took 4 to 6 days and after that nitrate reduction rate was always much higher than the replicated nutrient leaching rate which resulted in rapid depletion of NO3-N. At the end of the experimental period, no NO3-N was observed and only a negligible amount of NO2-N (<0.1 mg/L) was present.
As described earlier, MICP rate and the total precipitated calcium carbonate amount depend on the bioavailability of nutrients. Moreover, previous studies using nitrate reducing biogranules in mortar reported that NO2 accumulation in the system is desired to inhibit reinforcement corrosion [12,16]. Observations for Batch A indicated that the bioavailability of electron acceptor (NO3-N) in cracked, and CN0.50-CF1.25 becomes the major limitation for MICP and possible corrosion inhibition.
In Batch B (replication of bioavailable nutrient conditions for cracked CN1.00-CF2.50 mortar), NO3-N concentration reached almost 10 mg/L for abiotic conditions and in the presence of nitrate reducing biogranules; the highest NO3-N reduction activity was observed between days 6 and 8 as 1.68 mg NO3-N·g−1 CDW·d−1 and the lowest NO3-N reduction activity was observed between days 12 and 14 as 0.92 mg NO3-N·g−1 CDW·d−1. At the end of 16 days the residual NO3-N concentration was negligible (<0.1 mg/L). There was a trace amount of NO2-N accumulation in the system (~1 mg/L). Throughout the experimental period of 16 days, the recorded NO2-N concentration was always below 1.5 mg/L which indicated poor nitrite accumulation. Observations indicated that the bioavailability of electron acceptor (NO3-N) in cracked CN1.00-CF2.50 was the major limitation for MICP and accumulation of corrosion inhibitor NO2-N.
In Batch C (replication of bioavailable nutrient conditions of cracked CN1.50-CF3.75 mortar), NO3-N concentration was around 15 mg/L at the end of the experimental period for abiotic conditions. In the presence of nitrate reducing biogranules, similar to Batch B, maximum NO3-N consumption occurred between days 6 and 8 and recorded as 2.67 mg NO3-N·g−1 CDW.d−1. Minimum nitrate reduction activity was observed between days 2 and 4 as 0.96 mg NO3-N·g−1 CDW·d−1. On day 16, there was no residual NO3-N in the system. Meanwhile, NO2-N concentration gradually increased and reached the peak concentration in sometime between days 8 and 10. In the following days, NO2-N concentration started to decrease and finally all of them were consumed at the end of day 16. Hence, there was no available NO3-N and NO2-N in the system at the end of the experiment which indicated that also in cracked CN1.50-CF3.75 mortar, the electron acceptor (NO3-N) leaching rate was a limiting factor for MICP and accumulation of corrosion inhibitor NO2-N.
In Batch D (replication of bioavailable nutrient conditions of cracked CN2.00-CF5.00 mortar), NO3-N concentration reached around 22 mg/L for abiotic conditions and in the presence of nitrate reducing biogranules the highest nitrate reduction activity was observed between days 4 and 6 as 4.81 mg NO3-N·g−1 CDW·d−1. Minimum activity was observed between days 2 and 4 as 0.64 mg NO3-N·g−1 CDW·d−1. The periods of the minimum nitrate reduction activities were similar in both Batch C and Batch D. On day 16, 0.45 mg/L NO3-N was recorded. Meanwhile, NO2-N concentration increased until day 8 and the accumulation reached its peak value sometime between days 8 and 10. After day 10, a decrease in NO2-N concentration was observed and between days 12 and 14, no drastic change occurred in accumulated NO2-N concentration. At the end of the 16 days, 3.80 mg/L NO2-N was detected in the system. Since in the presence of nitrate reducing biogranules there was bioavailable NO3-N and NO2-N at the end of the experimental period, it can be said that in cracked CN2.00-CF5.00 mortar, electron acceptor leaching rate was not a limiting factor for MICP and accumulation of corrosion inhibitor (NO2-N).
Nitrate reduction is not just an MICP mechanism but also leads the production of nitrite which is the product of partial denitrification as observed in these reactors. Nitrite is also commercially used as an anodic inhibitor for steel corrosion. In this manner, nitrite accumulation is important for the corrosion inhibition [19]. CN2.00-CF5.00 mortar (Batch D) appeared to be the most advantageous mortar mixture considering the positive influence of nitrite accumulation on corrosion inhibition, because during the experimental period, the highest nitrite accumulation was observed in the replication of CN2.00-CF5.00 mortar (11.06 mg/L NO2-N). Nitrite is an alternative electron acceptor for nitrate reducing bacteria and nitrite reduction metabolism precedes in the absence or limitation of bioavailable nitrate [25]. As nutrient leaching from mortar followed a logarithmic trend, towards the end of the experiment, nitrate leaching rate decreased (Figure 7) and thus after day 10, significant NO2-N reduction was observed in replicated bioavailable nutrient conditions of cracked CN1.50-CF3.75 (Batch C) and CN2.00-CF5.00 mortars (Batch D).
These results also bring out an important parameter in the optimization of nutrient content for a cost-efficient nitrate-reduction-based microbial self-healing concrete, namely the optimum CN content for effective NO2-N accumulation. As seen in Figure 7, the maximum NO2-N concentrations were increasing from CN0.50-CF1.25 (has the minimal nutrient environment) to CN2.00-CF5.00 (has the maximum nutrient environment) which revealed that NO2-N accumulation can be increased by adding more CN to the mortar mixtures. However, our initial tests on fresh and hardened mortar properties indicated that CN2.00-CF5.00 mix already had the highest tolerable calcium content (2.00% w/w cement), and further increase in initial nutrient content resulted in unacceptable fresh mortar properties (Table 2). Therefore, further increase in CN content of this mix is only possible if either CF content is decreased or sodium nitrate is used in addition to the CN. Considering that the formate leaching rate was about twice the nitrate leaching rate, one may consider decreasing the CF:CN ratio by decreasing CF content and increasing the CN content. Indeed, in a previous study where nitrate reducing biogranules (0.5% w/w cement) provided simultaneous crack healing and corrosion inhibition, the CN in the mix was 3.00% w/w cement with a CF:CN ratio of 0.67 (CN3.00-CF2.00) [16]. Lastly, as described earlier, the CF:CN ratio of the mortar mix is a decisive parameter for microbial growth and activity. When initial CF:CN ratio of a mortar mixture is 0.9, the stoichiometry of the bioavailable nutrients in cracked mortar enables growth limited MICP, and when the initial CF:CN ratio of a mortar mixture is 2.2, the stoichiometry of the bioavailable nutrients in cracked mortar enables MICP through cell synthesis and activity. As decreasing bacteria content is more advantageous due to the high unit price of bacterial agents it should be prioritized. For this purpose, one should combine the following boundary conditions; (i) it is known that 0.5% w/w nitrate reducing bacteria do not require growth favouring conditions for corrosion inhibition and self-healing [16], (ii) CF:CN ratio in mortar should be at least 2.2 to stimulate growth and activity upon cracking, (iii) CN content of %3.00 is enough for microbial induced corrosion inhibition through NO2-N accumulation [16], (iv) calcium content of mortar mixture should not exceed 2.00% w/w cement (Table 2). Considering these boundary conditions, further studies should consider testing self-healing and corrosion inhibition performances of microbial mortars containing less than 0.5% w/w bacteria, while keeping the CF:CN ratio of the mix at around 2.2. Either the mortar mixture CN2.00-CF5.00, tested in this study, or a slightly modified version, such as CN2.20-CF4.80, defined based on aforementioned boundary conditions, can be the optimum starting mixture for such tests.

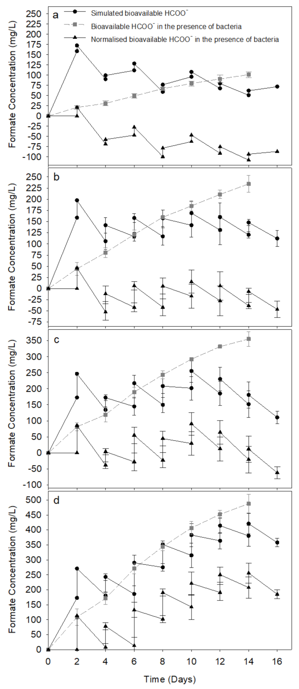
3.4.2. Changes in Bioavailable HCOO Concentration

As described earlier, a control reactor was prepared to observe any nutrient leaching from the used microbial granules. In the control reactor microbial activity was blocked by adjusting the pH of the medium to 11. According to the results there was no NO3-N leaching from the biogranules to the bulk solution. However, there was a trace amount of carbon source leaching from the biogranules which was recorded as additional soluble COD (55.5 mg/L) in the control reactor (Figure 8). The observed additional COD was attributed to the combination of the sCOD content of tap water (11.5 mg COD/L) and sCOD leaching from the biogranules (44.0 mg COD/L) in the first 2 days.
Biologically active batch reactors showed similar increase in COD concentration in the first two days, although formate spiking for the replication of bioavailable nutrient conditions was only started on day 2. The increase in the first two days was consistent in all bioreactors and in the control reactor, which confirmed that the observed increase was due to the trace amount of soluble organics in tap water and the formate dissolving from dried biogranules (Figure 8 and Figure 9).
The source of the COD leaching from the biogranules was the residual formate in the effluent of the granule cultivation reactor. During the harvesting of the biogranules, a small portion of the reactor content was also taken with the biogranules and the residual formate ions in this mix further precipitated on the biogranules during the drying stage. Thus, when these dry biogranules contacted with water, these soluble ions dissolved and caused an initial COD.
The amount of electron donor leaching from the biogranules corresponded to 17% w/w of the biogranules. Since this value may vary based on the biogranule production process (i.e., the effluent formate concentration), while deciding the initial nutrient content of microbial self-healing concrete, the bioavailability of carbon source should not rely on the amount of formate leaching from biogranules. Therefore, bioavailability of nutrients should be decoupled from the formate ions leaching from biogranules and initial nutrient content of microbial self-healing concrete should be solely sufficient to provide the bioavailable nutrients necessary for resuscitation, growth and MICP.
The control reactor was considered as a blank sample and evolution of the formate concentrations in different setups were normalised accordingly in order to assess the sufficiency of initial nutrient content in different batches (Figure 9). In normalisation, COD equivalent of formate was taken as 0.35 g COD/g HCOO. All of the results were presented as HCOO, since it was the only carbon source used in all of the experiments (biogranule production, nutrient leaching etc.) conducted in this study.
Upon normalising the bioavailable formate concentration, in Batch A (replication of CN0.50-CF1.25 mortar), Batch B (replication of CN1.00-CF2.50 mortar), Batch C (replication of CN1.50-CF3.75 mortar) and Batch D (replication of CN2.00-CF5.00 mortar), average formate consumption rates were determined as 12.75 mg·L−1·d−1, 20.45 mg·L−1·d−1, 30.92 mg·L−1·d−1, and 22.51 mg·L−1·d−1, respectively (Figure 9). When compared with previously determined formate leaching rates (7.30 mg.L−1·d−1, 17.10 mg·L−1·d−1, 26.20 mg·L−1·d−1 and 35.80 mg·L−1·d−1 for CN0.50-CF1.25, CN1.00-CF2.50, CN1.50-CF3.75 and CN2.00-CF5.00, respectively), average formate consumption rates were superior in CN0.50-CF1.25, CN1.00-CF2.50 and CN1.50-CF3.75 mortar. Therefore, in these three batches, the resuscitation and growth of bacteria as well as their MICP performance had been supported by the electron donor leaching from biogranules. However, in CN2.00-CF5.00 mortar (Batch D), formate leaching rate was higher than formate consumption rate which confirmed that electron donor leaching rate was not a limiting factor for this initial nutrient content. Among all the tested mortar mixtures, the mortar containing CN2.00-CF5.00 appeared to be the only mix in which microbial activity would not rely on the additional carbon coming with the dry biogranules.
In all batches, the highest amount of formate was consumed between the second and fourth days. This initial consumption was attributed to the spore germination which required C for producing cell material. Spore germination was completed when spores turned into vegetative cells. Then, vegetative cells metabolized the bioavailable nutrients and produced carbon dioxide which was the precursor of the CaCO3 precipitation [26].
In this study, batch reactors were not purged with N2, Ar or CO2 gas to remove the initial dissolved oxygen of tap water. The initial DO concentration of the reactors was 7.0 mg/L. It should be noted that in this study, the major objective was to replicate the possible nutrient leaching scenario for microbial self-healing concrete containing different amounts of nutrients and determine the effect of initial nutrient content on resuscitation and MICP performance of biogranules. It is expected that in real applications, structures made of microbial self-healing concrete will be either completely immersed or exposed to intermittent wetting. In both cases, the presence of dissolved oxygen is inevitable in the first couple of days of the healing period. Therefore, this dissolved oxygen might also contribute to resuscitation and microbial activity in the first couple of days if the nitrate reducing biogranules contain facultative (can grow under both aerobic and anaerobic conditions) bacteria. Considering that the biogranule production reactor was operated under alternating anoxic-aerobic periods, it was highly possible to cultivate biogranules containing facultative bacteria. Therefore, changes in HCOO concentrations in the first 4 days of the batch tests should be interpreted accordingly. In the first 2 days, dissolved oxygen was available and some dissolved organic carbon was also available due to formate leaching from biogranules and carbon coming from the tap water. However, there was no N source to produce cell material which prevented the germination of spores. Upon spiking of nutrients (CF and CN) on day 2, N-limited conditions ceased and the spores in the biogranules germinated sometime between days 2 and 4. In this period, the highest amount of HCOO consumption occurred in all batches (Figure 9) while in the same period the lowest NO3-N reduction activities were observed in all batches (Figure 7). These results confirmed that in the presence of dissolved oxygen and limited N source, microbial granules preferred to use dissolved oxygen as an electron acceptor to be able to use NO3-N in cell synthesis. These results were further discussed by interpreting consumed gHCOO/gNO3-N throughout the experimental period in Section 3.4.3.

3.4.3. Consumed Nutrient Ratio (gHCOO/gNO3-N) Variations in Different Batches

Figure 10 shows the changes in g HCOO/g NO3-N consumption ratios throughout the experiment. The consumed g HCOO/g NO3-N ratios were changing between 75 to 150 between days 2 and 4 that germination of spores occurred at initial DO concentration of 7.0 mg/L. In the other days, g HCOO/g NO3-N consumption ratio was between 3.3 and 44. In batches C and D, significant amounts of NO2-N accumulated between days 4 and 10 (Figure 7c,d) which was an indication of partial nitrate reduction (Equation (5)). Indeed, the g HCOO/g NO3-N consumption ratio was also mostly below 20 during this period. However, after day 10, NO2-N started to be consumed together with NO3-N due to the decrease in nitrate supply of the batches (replicating decreasing nitrate leaching rates of the mortars), thus the ratio of consumed g HCOO/g NO3-N started to increase towards the end of the experimental period. This rising pattern in g HCOO/g NO3-N consumption ratio was more obvious in batch C and D as the accumulated NO2-N concentrations were higher in these two batches (Figure 7c,d). The average nutrient consumption ratios were 25.9 g HCOO/g NO3-N, 24.9 g HCOO/g NO3-N and 10.4 g HCOO/g NO3-N between days 6 and 16, in batch B, C and D, respectively.
Consumed g HCOO to reduced g NO3-N ratio is an important parameter to evaluate the stages of microbial activity. As described earlier, for non-growth MICP scenario g HCOO/g NO3-N ratio should be 8 according to the stoichiometry (Equations (5)–(8)). If the ratio is around 20, it can be said that there is combined MICP and cell synthesis in the system (Equation (9)). Additionally, in the presence of dissolved oxygen, if the dissolved oxygen is solely used for energy reactions and the NO3-N was used as N source in cell synthesis, gHCOO/gNO3-N ratio of 60 is enough for growth and MICP (Equation (10)). It should be noted that in derivation of both Equations (9) and (10), the energy transfer efficiency (ϵ) of the microbial system was taken as 0.55 and lower efficiencies would lead to even higher gHCOO/gNO3-N ratios.
2HCOO + 2NO3 + 2H+ → 2CO2 + 2NO2 + 2H2O
HCOO + 2NO2 + 3H+ → CO2 + 2NO + 2H2O
HCOO + 2NO + H+ → CO2 + N2O + H2O
HCOO + N2O + H+ → CO2 + N2 + H2O
HCOO + 0.156NO3 + 1.156H+ → 0.0514N2 + 0.0534C5H7O2N + 0.734CO2 + 0.892 H2O
HCOO + 0.123O2 + 0.054NO3 + 1.054H+ → 0.054C5H7O2N + 0.730CO2 + 0.836H2O
As the g HCOO/g NO3-N consumption ratio would be around 20 for the combined cell synthesis and MICP (Equation (9)), it can be said that in batch B and C there was simultaneous MICP and cell growth. However, in batch D, the ratio was closer to 8 which indicated that MICP was the abundant process.

3.5. CaCO3 Precipitation Capabilities

At the end of 16 days of fed batch operation, each batch was evaluated based on their MICP yield. The amount of calcium carbonate in the control batch (coming from the mineral layer of bacterial granules) was subtracted from the amount of calcium carbonate precipitated in each batch. Ultimate net amounts in each batch were shown in Figure 11.
The results indicate that there was no CaCO3 precipitation in Batch A (replication of CN0.50-CF1.25 mortar) (Figure 11). The main reason for this poor performance was the aforementioned electron acceptor limitation, as total NO3-N leached from CN0.50-CF1.25 mortar was less than 1 mg/L.
In Batch B (replication of CN1.00-CF2.50 mortar), Batch C (replication of CN1.50-CF3.75 mortar) and Batch D (replication of CN2.00-CF5.00 mortar), the ultimate net amounts of CaCO3 precipitates were found as 15.65 mg CaCO3, 24.00 mg CaCO3, 48.05 mg CaCO3, respectively.

Evaluation of Initial Nutrient Content in Terms of Their Effective Use for MICP

The efficient use of nutrients for MICP is essential to maximize the self-healing capacity of concrete and the efficiency can be tracked by evaluating the microbial CaCO3 precipitation yields for the provided nutrient sources. Figure 12 shows the CaCO3 yields for the electron acceptor. At the end of 16 days of experimental period, CaCO3 yields in Batch B (replication of CN1.00-CF2.50 mortar), Batch C (replication of CN1.50-CF3.75 mortar), and Batch D (replication of CN2.00-CF5.00 mortar) were found as 18.50 ± 5.35 g CaCO3/g NO3-N, 16.60 ± 4.60 g CaCO3/g NO3-N and 25.30 ± 16.65 g CaCO3/g NO3-N, respectively (Figure 12). Based on these mean values, it was concluded that the most efficient use of bioavailable NO3-N occurred in Batch D (replication of CN2.00-CF5.00 mortar). This relatively higher performance in Batch D can be attributed to the use of NO3-N mostly for MICP reactions rather than cell synthesis. As the results of g HCOO/g NO3-N consumption ratios indicated that in Batch B and C, cell synthesis and MICP occurred simultaneously, in these batches, CaCO3 yields per reduced NO3-N became lower.
At the end of 16 days, CaCO3 precipitation yields in Batch B (replication of CN1.00-CF2.50 mortar), Batch C (replication of CN1.50-CF3.75 mortar) and Batch D (replication of CN2.00-CF5.00 mortar) were found as 0.55 ± 0.15 g CaCO3/g HCOO, 0.60 ± 0.15 g CaCO3/g HCOO and 1.50 ± 0.95 g CaCO3/g HCOO, respectively (Figure 13). If all of the bioavailable HCOO was used in CaCO3 precipitation, the yield would be 2.20 g CaCO3/g HCOO based on the stoichiometry (Equation (1)). Therefore, according to the results, in none of the conditions HCOO was totally consumed for MICP. In Batch B, 24% of the total bioavailable carbon was precipitated as CaCO3 and the remaining portion might have been used for germination of spores and cell synthesis. During the time period between days 2 and 4, which was thought to be the resuscitation and germination period, 33% of the total bioavailable carbon was consumed. Considering that the MICP took place after the germination period, it can be said that 36% of the bioavailable carbon was precipitated between days 4 and 16 and the rest was used in cell synthesis. In Batch C, 27% of the total bioavailable carbon was used in CaCO3 precipitation. In the resuscitation and germination period (days 2–4), 27% of total bioavailable carbon was consumed. After the resuscitation and germination period, between days 4 and 16, it was found that 37% of the bioavailable carbon was used in the CaCO3 precipitation, and the remaining portion might have used to produce new cells. In Batch D, 68% of the total bioavailable carbon was precipitated as CaCO3. In the first four days which is considered as the resuscitation and germination period, 28% of the total bioavailable carbon was consumed. After the resuscitation and germination period, between days 4 and 16, it can be said that 93% of the bioavailable carbon was precipitated. Therefore, it appeared that cell synthesis was not significant in Batch D, between days 4 and 16 which was consistent with the findings based on g HCOO/g NO3-N consumption ratio.
The highest g CaCO3/g HCOO yield was achieved in batch D (replication of CN2.00-CF:5.00 mortar). Yields (g CaCO3/g HCOO) increased with an increasing bioavailable nutrient content (from Batch A to Batch D) and thus with an increasing initial nutrient content (from CN0.50-CF1.25 to CN2.00-CF5.00).
In this study, bioavailable nutrient concentrations were observed in the bulk solution. However, in microbial self-healing concrete, microbial healing agents are mostly located at the inner crack surface and thus the concentration of nutrients inside the cracks governs the actual self-healing and corrosion inhibition performance. The spread of nutrients leaching from the crack depends on diffusion and thus it is expected that the bioavailable nutrient concentrations are higher inside the crack and at locations around the crack. As increasing bioavailable nutrient content is beneficial for CaCO3 yields and NO2-N accumulation, it can be said that among the investigated mortar mixtures, CN2.00-CF5.00 is the best option for development of nitrate reducing biogranule based microbial self-healing concrete.

4. Conclusions

If calcium formate and calcium nitrate are used as nutrients for nitrate-reduction-based microbial self-healing concrete without any other admixtures, total nutrient content should not exceed 7.00% w/w cement to obtain a workable mix.
Addition of CN and CF to the mortar improves 28 days compressive strengths by 20% in all tested doses (varied from 1.75% to 7.00% w/w cement).
Formate and nitrate ions are not immobilized inside the cementitious matrix and their leaching rates are independent of the crack age.
In immersed structures, about 10% of the total available nutrients might be lost through surface washing which does not risk the healing of later age cracks.
Among the tested mixtures, bioavailable nutrient conditions achieved for CN2.00-CF5.00, enabled the most effective use of nutrients for MICP with a carbon to CaCO3 conversion efficiency of 68%.
Nitrate reducing biogranules can use NO3-N as a N source in cell synthesis whilst spore germination and reproduction.
Further studies should consider testing self-healing and corrosion inhibition performances of microbial mortars containing less than 0.50% w/w bacteria, while keeping the CF:CN ratio of the mix at around 2.20 in order to create a cost-efficient recipe for microbial self-healing concrete tests.

Author Contributions

Conceptualization Y.Ç.E., methodology B.K. and Y.Ç.E.; conducting experiments and interpretation of data B.K., K.S. and Y.Ç.E.; writing—original draft preparation, B.K. and Y.Ç.E.; writing—review and editing, B.K. and Y.Ç.E.; supervision, Y.Ç.E.; funding acquisition, Y.Ç.E. All authors have read and agreed to the published version of the manuscript.

Funding

This research was funded by the Scientific and Technological Research Council of Turkey [Grant number 120Y291] and by Abdullah Gul University Scientific Research Projects [Grant number FBA-2017-88].

Institutional Review Board Statement

Not applicable.

Informed Consent Statement

Not applicable.

Data Availability Statement

All data, models, and code generated or used during the study appear in the published article.

Conflicts of Interest

The authors declare no conflict of interest. The funders had no role in the design of the study; in the collection, analyses, or interpretation of data; in the writing of the manuscript, or in the decision to publish the results.

References

  1. Jonkers, H.M.; Thijssen, A. Bacteria mediated remediation of concrete structures. In 2nd International Symposium on Service Life Design for Infrastructures; van Breugel, K., Ye, G., Yuan, Y., Eds.; RILEM Publications SARL: Bagneux, France, 2010; pp. 833–840. [Google Scholar]
  2. Wang, J.; Erşan, Y.; Boon, N.; De Belie, N. Application of microorganisms in concrete: A promising sustainable strategy to improve concrete durability. Appl. Microbiol. Biotechnol. 2016, 100, 2993–3007. [Google Scholar] [CrossRef] [PubMed]
  3. Achal, V.; Mukerjee, A.; Reddy, M.S. Biogenic treatment improves the durability and remediates the cracks of concrete structures. Constr. Build. Mater. 2013, 48, 1–5. [Google Scholar] [CrossRef]
  4. Erşan, Y.; Gruyaert, E.; Louis, G.; Lors, C.; De Belie, N.; Boon, N. Self-protected nitrate reducing culture for intrinsic repair of concrete cracks. Front. Microbiol. 2015, 6, 1228. [Google Scholar] [CrossRef] [PubMed] [Green Version]
  5. Da Silva, F.B.; De Belie, N.; Boon, N.; Verstraete, W. Production of non-axenic ureolytic spores for self-healing concrete ap-plications. Constr. Build. Mater. 2015, 93, 1034–1041. [Google Scholar] [CrossRef]
  6. Tziviloglou, E.; Wiktor, V.; Jonkers, H.; Schlangen, E. Bacteria-Based self-healing concrete to increase liquid tightness of cracks. Constr. Build. Mater. 2016, 122, 118–125. [Google Scholar] [CrossRef]
  7. Wang, J.; Soens, H.; Verstraete, W.; De Belie, N. Self-Healing concrete by use of microencapsulated bacterial spores. Cem. Concr. Res. 2014, 56, 139–152. [Google Scholar] [CrossRef]
  8. Wiktor, V.; Jonkers, H. Quantification of crack-healing in novel bacteria-based self-healing concrete. Cem. Concr. Compos. 2011, 33, 763–770. [Google Scholar] [CrossRef]
  9. Jonkers, H.M.; Thijssen, A.; Muyzer, G.; Copuroglu, O.; Schlangen, E. Application of bacteria as self-healing agent for the development of sustainable concrete. Ecol. Eng. 2010, 36, 230–235. [Google Scholar] [CrossRef]
  10. Jonkers, H.M.; Schlangen, E. A two component bacteria-based self-healing concrete. In Concrete Repair, Rehabilitation and Retrofitting II; Alexander, M.G., Beushausen, H., Dehn, F., Moyo, P., Eds.; CRC Press: Cape Town, South Africa, 2008; pp. 215–220. [Google Scholar]
  11. Ersan, Y.C. Overlooked Strategies in Exploitation of Microorganisms in the Field of Building Materials. In Ecological Wisdom Inspired Restoration Engineering; Springer: Berlin/Heidelberg, Germany, 2019. [Google Scholar]
  12. Erşan, Y.Ç.; Hernandez-Sanabria, E.; Boon, N.; de Belie, N. Enhanced crack healing performance of microbial mortar through nitrate reduction. Cem. Concr. Compos. 2016, 70, 159–170. [Google Scholar] [CrossRef]
  13. Davies, R.; Teall, O.; Pilegis, M.; Kanellopoulos, A.; Sharma, T.; Jefferson, A.; Gardner, D.; Al-Tabbaa, A.; Paine, K.; Lark, R. Large Scale Application of Self-Healing Concrete: Design, Construction, and Testing. Front. Mater. 2018, 5, 51. [Google Scholar] [CrossRef] [Green Version]
  14. Mors, R.; Jonkers, H.M. Bacteria-Based self-healing concrete: Evaluation of full scale demonstrator projects. RILEM Tech. Lett. 2020, 4, 138–144. [Google Scholar] [CrossRef] [Green Version]
  15. Ersan, Y.C.; Palin, D.; Tasdemir, S.B.Y.; Tasdemir, K.; Jonkers, H.M.; Boon, N.; De Belie, N. Volume Fraction, Thickness, and Permeability of the Sealing Layer in Microbial Self-Healing Concrete Containing Biogranules. Front. Built Environ. 2018, 4, 70. [Google Scholar] [CrossRef]
  16. Erşan, Y.; Van Tittelboom, K.; Boon, N.; De Belie, N. Nitrite producing bacteria inhibit reinforcement bar corrosion in cementitious materials. Sci. Rep. 2018, 8, 1–10. [Google Scholar] [CrossRef] [PubMed] [Green Version]
  17. Justnes, H.; Nygaard, E.C. Calcium nitrate—A multifunctional admixture for high performance concrete. In Proceedings of the International RILEM Conference on the Role of Admixtures in High Performance Concrete, Monterrey, Mexico, 21–26 March 1999; pp. 199–212. [Google Scholar]
  18. Ramachandran, V.S. Concrete Admixtures Handbook: Properties, Science, and Technology, 2nd ed.; Elsevier: Amsterdam, The Netherlands, 1996. [Google Scholar]
  19. Erşan, Y.; Verbruggen, H.; De Graeve, I.; Verstraete, W.; De Belie, N.; Boon, N. Nitrate reducing CaCO3 precipitating bacteria survive in mortar and inhibit steel corrosion. Cem. Concr. Res. 2016, 83, 19–30. [Google Scholar] [CrossRef]
  20. Sonmez, M.; Ersan, Y.C. Production of concrete compatible biogranules for self-healing concrete applications. In Proceedings of the Concrete Solutions—7th International Conference on Concrete Repair, MATEC Web of Conferences, Cluj-Napoca, Romania, 30 September–2 October 2019. [Google Scholar]
  21. Skripkiūnas, G.; Kičaitė, A.; Justnes, H.; Pundienė, I. Effect of Calcium Nitrate on the Properties of Portland–Limestone Cement-Based Concrete Cured at Low Temperature. Materials 2021, 14, 1611. [Google Scholar] [CrossRef] [PubMed]
  22. Erşan, Y.; de Belie, N.; Boon, N. Microbially induced CaCO3 precipitation through denitrification: An optimization study in minimal nutrient environment. Biochem. Eng. J. 2015, 101, 108–118. [Google Scholar] [CrossRef]
  23. Erşan, Y.Ç. Microbial Nitrate Reduction Induced Autonomous Self-Healing in Concrete. Ph.D. Thesis, Ghent University, Ghent, Belgium, 2016. [Google Scholar]
  24. Silva, F.B.; Boon, N.; De Belie, N.; Verstraete, W. Industrial Application of Biological Self-healing Concrete: Challenges and Economical Feasibility. J. Commer. Biotechnol. 2015, 21, 31–38. [Google Scholar] [CrossRef]
  25. Glass, C.; Silverstein, J. Denitrification Kinetics of High Nitrate Concentration Water: pH Effect on Inhibition and Nitrite Accumulation. Water Res. 1998, 32, 831–839. [Google Scholar] [CrossRef]
  26. Mondal, S.; Gosh, A.D. Review on microbial induced calcite precipitation mechanisms leading to bacterial selection for microbial concrete. Constr. Build. Mater. 2019, 225, 67–75. [Google Scholar] [CrossRef]
Figure 1. Experimental Setup for Nutrient Leaching Tests.
Figure 1. Experimental Setup for Nutrient Leaching Tests.
Sustainability 13 08990 g001
Figure 2. Batch Reactors.
Figure 2. Batch Reactors.
Sustainability 13 08990 g002
Figure 3. (a) Schematic representation of the CaCO3 quantification method; (b) Experimental set up of CaCO3 quantification.
Figure 3. (a) Schematic representation of the CaCO3 quantification method; (b) Experimental set up of CaCO3 quantification.
Sustainability 13 08990 g003
Figure 4. Difference of the mean compressive strength values of tested mixtures from reference specimen after curing at 20 °C and RH > 90% for (a) 3 days; (b) 7 days; (c) 28 days; (d) 56 days. LSD (3 days) = 4.5 MPa, LSD (7 days) = 3.8 MPa, LSD (28 days) = 5.6 MPa, LSD (56 days) = NA as p = 0.610. Reference strength values on 3, 7, 28 and 56 days were 36 ± 2 MPa, 42 ± 2 MPa, 48 ± 3 MPa and 60 ± 2 MPa, respectively.
Figure 4. Difference of the mean compressive strength values of tested mixtures from reference specimen after curing at 20 °C and RH > 90% for (a) 3 days; (b) 7 days; (c) 28 days; (d) 56 days. LSD (3 days) = 4.5 MPa, LSD (7 days) = 3.8 MPa, LSD (28 days) = 5.6 MPa, LSD (56 days) = NA as p = 0.610. Reference strength values on 3, 7, 28 and 56 days were 36 ± 2 MPa, 42 ± 2 MPa, 48 ± 3 MPa and 60 ± 2 MPa, respectively.
Sustainability 13 08990 g004
Figure 5. Evolution of the bioavailable NO3-N concentration in surrounding water environment for different initial nutrient doses of (a) CN0.50-CF1.25; (b) CN1.00-CF2.50; (c) CN1.50-CF3.75; (d) CN2.00-CF5.00. Trendlines represent logarithmic curve fit (r2 > 0.89).
Figure 5. Evolution of the bioavailable NO3-N concentration in surrounding water environment for different initial nutrient doses of (a) CN0.50-CF1.25; (b) CN1.00-CF2.50; (c) CN1.50-CF3.75; (d) CN2.00-CF5.00. Trendlines represent logarithmic curve fit (r2 > 0.89).
Sustainability 13 08990 g005
Figure 6. Evolution of the bioavailable HCOO concentration in surrounding water environment for different initial nutrient doses of (a) CN0.50-CF1.25; (b) CN 1.00-CF2.50; (c) CN1.50-CF3.75; (d) CN2.00-CF5.00. Trendlines represent logarithmic curve fit (r2 > 0.91).
Figure 6. Evolution of the bioavailable HCOO concentration in surrounding water environment for different initial nutrient doses of (a) CN0.50-CF1.25; (b) CN 1.00-CF2.50; (c) CN1.50-CF3.75; (d) CN2.00-CF5.00. Trendlines represent logarithmic curve fit (r2 > 0.91).
Sustainability 13 08990 g006
Figure 7. Evolution of bioavailable NOx-N in the presence of nitrate reducing biogranules under replicated bioavailable nutrient conditions of cracked (a) CN0.50-CF1.25 mortar, (b) CN1.00-CF2.50 mortar, (c) CN1.50-CF3.75 mortar, (d) CN2.00-CF5.00 mortar. Shaded areas represent the NO2-N amounts and error bars represent the standard deviation of the mean.
Figure 7. Evolution of bioavailable NOx-N in the presence of nitrate reducing biogranules under replicated bioavailable nutrient conditions of cracked (a) CN0.50-CF1.25 mortar, (b) CN1.00-CF2.50 mortar, (c) CN1.50-CF3.75 mortar, (d) CN2.00-CF5.00 mortar. Shaded areas represent the NO2-N amounts and error bars represent the standard deviation of the mean.
Sustainability 13 08990 g007
Figure 8. Recorded nutrient leaching from bacterial granules and trace amount of soluble organic matter coming from tap water as soluble COD.
Figure 8. Recorded nutrient leaching from bacterial granules and trace amount of soluble organic matter coming from tap water as soluble COD.
Sustainability 13 08990 g008
Figure 9. Evolution of bioavailable formate in the presence of nitrate reducing biogranules under nutrient leaching conditions replicated based on cracked (a) CN0.50-CF1.25 mortar, (b) CN1.00-CF2.50 mortar, (c) CN1.50-CF3.75 mortar, (d) CN2.00-CF5.00 mortar. Concentration increases represent nutrient spiking for nutrient leaching replication and error bars represent the standard deviation of the mean. Normalisation based on the control reactor was conducted by using theoretical COD equivalent of formate: 0.35 g COD/g formate.
Figure 9. Evolution of bioavailable formate in the presence of nitrate reducing biogranules under nutrient leaching conditions replicated based on cracked (a) CN0.50-CF1.25 mortar, (b) CN1.00-CF2.50 mortar, (c) CN1.50-CF3.75 mortar, (d) CN2.00-CF5.00 mortar. Concentration increases represent nutrient spiking for nutrient leaching replication and error bars represent the standard deviation of the mean. Normalisation based on the control reactor was conducted by using theoretical COD equivalent of formate: 0.35 g COD/g formate.
Sustainability 13 08990 g009
Figure 10. Nutrient consumption ratio (g HCOO/gNO3-N) variations in; replication of cracked (a) CN1.00-CF2.50 mortar, (b) CN1.50-CF3.75 mortar, (c) CN2.00-CF5.00 mortar.
Figure 10. Nutrient consumption ratio (g HCOO/gNO3-N) variations in; replication of cracked (a) CN1.00-CF2.50 mortar, (b) CN1.50-CF3.75 mortar, (c) CN2.00-CF5.00 mortar.
Sustainability 13 08990 g010
Figure 11. Ultimate precipitated CaCO3 amounts in the reactors at the end of 16 days.
Figure 11. Ultimate precipitated CaCO3 amounts in the reactors at the end of 16 days.
Sustainability 13 08990 g011
Figure 12. Precipitated g CaCO3 per consumed g NO3-N in different batches at the end of 16 days.
Figure 12. Precipitated g CaCO3 per consumed g NO3-N in different batches at the end of 16 days.
Sustainability 13 08990 g012
Figure 13. Precipitated g CaCO3 per consumed g HCOO in different batches at the end of 16 days.
Figure 13. Precipitated g CaCO3 per consumed g HCOO in different batches at the end of 16 days.
Sustainability 13 08990 g013
Table 1. Nutrient content of the mortar specimens *.
Table 1. Nutrient content of the mortar specimens *.
Mix NameCa-Formate (g)Ca-Nitrate (g)
Reference0.000.00
CN0.25-CF0.632.811.13
CN0.50-CF1.25 5.622.25
CN0.75-CF1.888.443.38
CN1.00-CF2.50 11.254.50
CN1.25-CF3.1314.065.63
CN1.50-CF3.75 16.886.75
CN1.75-CF4.3819.697.88
CN2.00-CF5.00 22.509.00
CN2.25-CF5.6325.3110.13
CN2.50-CF6.2528.1311.25
CN2.75-CF6.8830.9412.38
CN3.00-CF7.5033.7513.50
* The numbers in mix names represent the percentages of compounds in terms of w/w cement, CF: Calcium formate—Ca(HCOO)2, CN: Calcium nitrate—Ca(NO3)2. Mortar mixes also tested for hardened properties.
Table 2. Fresh mortar properties of different mixes.
Table 2. Fresh mortar properties of different mixes.
Mix NameInitial Set (min)Final Set (min)Flow (%)Slump (mm)
Reference14025010027
CN0.25-CF0.631102459525
CN0.50-CF1.251161819524
CN0.75-CF1.881031799828
CN1.00-CF2.501081739927
CN1.25-CF3.13991609524
CN1.50-CF3.75931339624
CN1.75-CF4.388515610328
CN2.00-CF5.00651469523
CN2.25-CF5.63 *55799624
CN2.50-CF6.25 *378310027
CN2.75-CF6.88 *35809523
CN3.00-CF.7.50 *2869883
* Either of the parameters of these compositions were below the defined limit, therefore they were not used for further tests.
Publisher’s Note: MDPI stays neutral with regard to jurisdictional claims in published maps and institutional affiliations.

Share and Cite

MDPI and ACS Style

Kardogan, B.; Sekercioglu, K.; Erşan, Y.Ç. Compatibility and Biomineralization Oriented Optimization of Nutrient Content in Nitrate-Reducing-Biogranules-Based Microbial Self-Healing Concrete. Sustainability 2021, 13, 8990. https://doi.org/10.3390/su13168990

AMA Style

Kardogan B, Sekercioglu K, Erşan YÇ. Compatibility and Biomineralization Oriented Optimization of Nutrient Content in Nitrate-Reducing-Biogranules-Based Microbial Self-Healing Concrete. Sustainability. 2021; 13(16):8990. https://doi.org/10.3390/su13168990

Chicago/Turabian Style

Kardogan, Beyza, Kadir Sekercioglu, and Yusuf Çagatay Erşan. 2021. "Compatibility and Biomineralization Oriented Optimization of Nutrient Content in Nitrate-Reducing-Biogranules-Based Microbial Self-Healing Concrete" Sustainability 13, no. 16: 8990. https://doi.org/10.3390/su13168990

APA Style

Kardogan, B., Sekercioglu, K., & Erşan, Y. Ç. (2021). Compatibility and Biomineralization Oriented Optimization of Nutrient Content in Nitrate-Reducing-Biogranules-Based Microbial Self-Healing Concrete. Sustainability, 13(16), 8990. https://doi.org/10.3390/su13168990

Note that from the first issue of 2016, this journal uses article numbers instead of page numbers. See further details here.

Article Metrics

Back to TopTop