Effect of Climate Changes on Renewable Production in the Mediterranean Climate: Case Study of the Energy Retrofit for a Detached House
Abstract
:1. Introduction
2. Method for the Proposed Study
3. Data and Methods for Weather File Definition
3.1. Weather Data
- Dry bulb temperature—DBT (°C);
- Dew point temperature—DPT (°C);
- Global horizontal radiation—GHI (W/m2);
- Relative humidity—RH (%);
- Atmospheric pressure—AP (Pa);
- Wind speed—SW (m/s);
- Wind direction—WD (degrees);
- Precipitation—P (mm).
3.2. Procedures for Developing TMY and TMY2
3.3. Future Weather Data
3.4. HDD and CDD
4. Case Study
4.1. Base Case
4.2. Energy Retrofit Measures
5. Results and Discussion
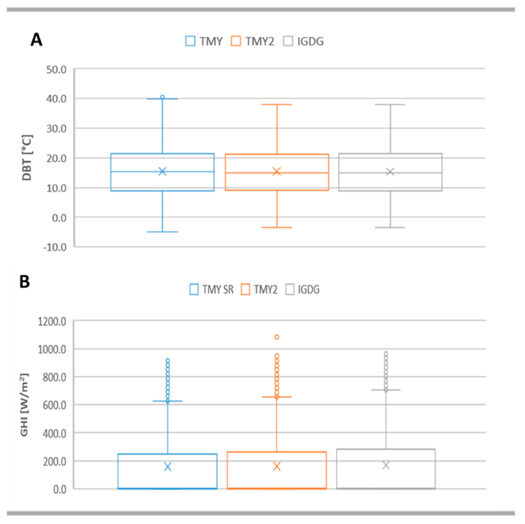
5.1. Application of Different Methodologies for the Typical Year
5.2. Preliminary Analyses on Current Climate Files
5.3. Comparison of Future Climate Files
5.4. Energy Simulation Results
5.4.1. Comparison of PV Production
5.4.2. Energy Need Analysis
5.5. Energy Building Balance
5.5.1. State of Fact with Minimum PV System Size
5.5.2. Energy Balance with Retrofit Scenario
5.5.3. Building Resilience Assessment
6. Conclusions
- The monthly electricity production with different methodologies can vary from 4.7% (June) to 57% (January) and the same variations are observed when the installed peak power changes. When the climate changes are considered, the PV production increases in each month with maximum variation of 12.4% (May) with RCP 8.5 and 13.2% (November) with RCP 4.5.
- The application of passive energy efficiency measures is not able to front the increase of the cooling demand until the 2050s; e.g., in July, the cooling request increases by 44% with RCP 4.5 and of 60% with RCP 8.5. In the cooling season, the climate changes would cause the increment of both imported electricity and self-consumption; thus the maximization of the installed peak power allows improving the building resilience.
Author Contributions
Funding
Institutional Review Board Statement
Informed Consent Statement
Data Availability Statement
Conflicts of Interest
Appendix A
| Ref. | Equation | Symbols |
|---|---|---|
| [38] | Iex: Extraterrestrial horizontal radiation (W/m2). | |
| [40] | Ien: Extraterrestrial direct normal radiation (W/m2) θZ: zenith angle (degrees) | |
| [40] | δ: Declination (degrees); φ: latitude of the weather site (degrees); ω: hour angle (degrees). | |
| [40] | n: Day of the year | |
| [41] | SOT = Solar time (h). | |
| [41] | LST: Local standard time (h); λ: Longitude of the weather site (degrees); λR: Longitude of the time zone in which the weather site is situated (degrees); EOT: Equation of time (h) | |
| [41] | d′: Day angle (degrees) | |
| [41] | n: Day of the year | |
| [40] | Isc: Solar constant = 1367 W/m2 |
References
- Bacha, S.M.; Muhammad, M.; Kılıç, Z.; Nafees, M. The Dynamics of Public Perceptions and Climate Change in Swat Valley, Khyber Pakhtunkhwa, Pakistan. Sustainability 2021, 13, 4464. [Google Scholar] [CrossRef]
- Rañeses, M.K.; Chang-Richards, A.; Wang, K.I.K.; Dirks, K.N. Housing for Now and the Future: A Systematic Review of Climate-Adaptive Measures. Sustainability 2021, 13, 6744. [Google Scholar] [CrossRef]
- Díaz-López, C.; Jódar, J.; Verichev, K.; Rodríguez, M.L.; Carpio, M.; Zamorano, M. Dynamics of Changes in Climate Zones and Building Energy Demand. A Case Study in Spain. Appl. Sci. 2021, 11, 4261. [Google Scholar] [CrossRef]
- Yassaghi, H.; Hoque, S. Impact Assessment in the Process of Propagating Climate Change Uncertainties into Building Energy Use. Energies 2021, 14, 367. [Google Scholar] [CrossRef]
- Tootkaboni, M.P.; Ballarini, I.; Zinzi, M.; Corrado, V. A Comparative Analysis of Different Future Weather Data for Building Energy Performance Simulation. Climate 2021, 9, 37. [Google Scholar] [CrossRef]
- Soutullo, S.; Giancola, E.; Jiménez, M.J.; Ferrer, J.A.; Sánchez, M.N. How Climate Trends Impact on the Thermal Performance of a Typical Residential Building in Madrid. Energies 2020, 13, 237. [Google Scholar] [CrossRef] [Green Version]
- Ciancio, V.; Falasca, S.; Golasi, I.; de Wilde, P.; Coppi, M.; de Santoli, L.; Salata, F. Resilience of a Building to Future Climate Conditions in Three European Cities. Energies 2019, 12, 4506. [Google Scholar] [CrossRef] [Green Version]
- Kim, D.; Cho, H.; Mago, P.J.; Yoon, J.; Lee, H. Impact on Renewable Design Requirements of Net-Zero Carbon Buildings under Potential Future Climate Scenarios. Settings. Climate 2021, 9, 17. [Google Scholar] [CrossRef]
- Yang, Y.; Javanroodi, K.; Nik, V.M. Climate change and energy performance of European residential building stocks—A comprehensive impact assessment using climate big data from the coordinated regional climate downscaling experiment. Appl. Energy 2021, 298, 117246. [Google Scholar] [CrossRef]
- Ismaila, H.A.; Shahrestania, M.; Vahdatia, M.; Boyda, P.; Donyav, S. Climate change and the energy performance of buildings in the future—A case study for prefabricated buildings in the UK. J. Build. Eng. 2021, 39, 102285. [Google Scholar] [CrossRef]
- Baglivo, C. Dynamic Evaluation of the Effects of Climate Change on the Energy Renovation of a School in a Mediterranean Climate. Sustainability 2021, 13, 6375. [Google Scholar] [CrossRef]
- Zou, Y.; Lou, S.; Xia, D.; Lun, I.Y.F.; Yin, J. Multi-objective building design optimization considering the effects of long-term climate change. J. Build. Eng. 2021, 44, 102904. [Google Scholar] [CrossRef]
- Berardi, U.; Jafarpur, P. Assessing the impact of climate change on building heating and cooling energy demand in Canada. Renew. Sustain. Energy Rev. 2020, 121, 109681. [Google Scholar] [CrossRef]
- Nguyen, A.T.; Rockwood, D.; Doan, M.K.; Le, T.K.D. Performance assessment of contemporary energy-optimized office buildings under the impact of climate change. J. Build. Eng. 2021, 35, 102089. [Google Scholar] [CrossRef]
- Tettey, U.Y.A.; Gustavsson, L. Energy savings and overheating risk of deep energy renovation of a multi-storey residential building in a cold climate under climate change. Energy 2020, 202, 117578. [Google Scholar] [CrossRef]
- Reimuth, A.; Locherer, V.; Danner, M.; Mauser, W. How do changes in climate and consumption loads affect residential PV coupled battery energy systems? Energy 2020, 198, 117339. [Google Scholar] [CrossRef]
- Bamdad, K.; Cholette, M.E.; Omrani, S.; Bell, J. Future energy-optimised buildings—Addressing the impact of climate change on buildings. Energy Build. 2021, 231, 110610. [Google Scholar] [CrossRef]
- Gassar, A.A.A.; Yun, G.Y. Energy Saving Potential of PCMs in Buildings under Future Climate Conditions. Appl. Sci. 2017, 7, 1219. [Google Scholar] [CrossRef] [Green Version]
- Cantatore, E.; Fatiguso, F. An Energy-Resilient Retrofit Methodology to Climate Change for Historic Districts. Application in the Mediterranean Area. Sustainability 2021, 13, 1422. [Google Scholar] [CrossRef]
- Hao, L.; Herrera-Avellanosa, D.; Del Pero, C.; Troi, A. What Are the Implications of Climate Change for Retrofitted Historic Buildings? A Literature Review. Sustainability 2020, 12, 7557. [Google Scholar] [CrossRef]
- Pereira-Ruchansky, L.; Pérez-Fargallo, A. Integrated Analysis of Energy Saving and Thermal Comfort of Retrofits in Social Housing under Climate Change Influence in Uruguay. Sustainability 2020, 12, 4636. [Google Scholar] [CrossRef]
- Pajek, L.; Košir, M. Exploring Climate-Change Impacts on Energy Efficiency and Overheating Vulnerability of Bioclimatic Residential Buildings under Central European Climate. Sustainability 2021, 13, 6791. [Google Scholar] [CrossRef]
- Peel, M.C.; Finlayson, B.L.; McMahon, T.A. McMahon, Updated world map of the Koppen-Geiger climate classification. Hydrol. Earth Syst. Sci. 2007, 4, 1633–1644. [Google Scholar] [CrossRef] [Green Version]
- UNI 10349-1:2016. Heating and Cooling of Buildings—Climatic Data—Part 1: Monthly Means for Evaluation of Energy Need for Space Heating and Cooling and Methods for Splitting Global Solar Irradiance into the Direct and Diffuse Parts and for Calculate the Solar Irradiance on Tilted Planes; Italian Organisation for Stardardisation (UNI): Milano, Italy, 2016. [Google Scholar]
- President of the Republic. Regulation Containing Prescriptions for the Design, Installation, Operation and Maintenance of Heating Systems in Buildings in Order to Limit Energy Consumption, Implementing art. 4, par. 4 of Low 9 January 1991, n. 10. Decree 26.08.1993 no. 412; OJ of the Italian Republic: Rome, Italy, 1993. (In Italian) [Google Scholar]
- Ascione, F.; De Masi, R.F.; de Rossi, F.; Ruggiero, S.; Vanoli, G.P. MATRIX, a multi activity testroom for evaluating the energy performances of ‘building/HVAC’ systems in Mediterranean climate: Experimental set-up and CFD/BPS numerical modeling. Energy Build. 2016, 126, 424–446. [Google Scholar] [CrossRef]
- Italian Climatic Data Collection “Gianni De Giorgio” (IGDG), EnergyPlus Source (05/02/2021). Available online: https://energyplus.net/sites/all/modules/custom/weather/weather_files/italia_dati_climatici_g_de_giorgio.pdf (accessed on 20 May 2021).
- Hall, I.J.; Prairie, R.R.; Anderson, H.E.; Boes, E.C. Generation of a typical meteorological year, Proceedings of the 1978 annual meeting of the American Section of the International. Sol. Energy Soc. 1978, 47, 669–671. [Google Scholar]
- Marion, W.; Urban, K. Users Manual for TMY2s: Derived from the 1961–1990 National Solar Radiation Data Base (No. NREL/SP-463-7668); National Renewable Energy Lab.: Golden, CO, USA, 1995.
- IPCC. Climate Change 2014: Synthesis Report. In Contribution of Working Groups I, II and III to the Fifth Assessment Report of the Intergovernmental Panel on Climate Change; IPCC: Geneva, Switzerland, 2014. [Google Scholar]
- Dickinson, R.; Brannon, B. Generating Future Weather Files for Resilience. In Proceedings of the Plea 2016 Los Angeles—36th International Conference on Passive and Low Energy Architecture, Los Angeles, CA, USA, 11–13 July 2016. [Google Scholar]
- Belcher, S.E.; Hacker, J.N.; Powell, D.S. Constructing design weather data for future climates. Build. Serv. Eng. Res. Technol. 2005, 26, 49–61. [Google Scholar] [CrossRef]
- U.S. Department of Energy. Energy Plus Simulation Software; Version 8.9; U.S. Department of Energy: Washington, DC, USA, 2018.
- DesignBuilder Software, Version 6.0; 2018. Available online: https://www.altensis.com/en/services/designbuilder-software/ (accessed on 20 July 2021).
- Ballarini, I.; Corgnati, S.P.; Corrado, V. Use of reference buildings to assess the energy saving potentials of the residential building stock: The experience of TABULA project. Energy Policy 2014, 68, 273–284. [Google Scholar] [CrossRef]
- TABULA WebTool. Available online: https://webtool.building-typology.eu/#bm (accessed on 6 February 2021).
- Italian Republic. Legislative Decree 3 March 2011, no. 28 “Attuazione Della Direttiva 2009/28/CE Sulla Promozione Dell’uso Dell’energia da Fonti Rinnovabili […]”; OJ of the Italian Republic: Rome, Italy, 2011. (In Italian) [Google Scholar]
- Huang, K.T. Identifying a suitable hourly solar diffuse fraction model to generate the typical meteorological year for building energy simulation application. Renew. Energy 2020, 157, 1102–1115. [Google Scholar] [CrossRef]
- Erbs, D.G.; Klein, S.A.; Duffie, J.A. Estimation of the diffuse radiation fraction for hourly daily and monthly-average global radiation. Sol. Energy 1982, 28, 293–302. [Google Scholar] [CrossRef]
- Khalil, S.A.; Shaffie, A.M. A comparative study of total, direct and diffuse solar irradiance by using different models on horizontal and inclined surfaces for Cairo, Egypt. Renew. Sustain. Energy 2013, 27, 853–863. [Google Scholar] [CrossRef]
- CIBSE. CIBSE Guide J—Weather, Solar and Illuminance Data. In The Chartered Institution of Building Services Engineers; CISBE: London, UK, 2002. [Google Scholar]
- Baracu, T.; Croitoru, A.M.; Badea, A. Theoretical investigations of the solar radiation at location of the passive house “politehnica” from Bucharest. UPB Sci. Bull. Ser. C 2014, 76, 255–266. [Google Scholar]
- Climate One Building Climate One Building: Repository of Free Climate Data for Building Performance Simulation. 2020. Available online: http://climate.onebuilding.org/ (accessed on 20 July 2021).
- IPCC. Climate Change 2007: The Physical Science Basis. In Contribution of Working Group I to the Fourth Assessment Report of the Intergovernmental Panel on Climate Change; Cambridge University Press: Cambridge, UK; New York, NY, USA, 2007. [Google Scholar]
- Available online: www.weathershift.com (accessed on 10 May 2021).
- UNI 10349-3: 2016. Heating and Cooling of Buildings—Climatic Data—Part 3: Accumulated Temperature Differences (Degree-days) and Other Indices; Italian Organisation for Stardardisation (UNI): Milano, Italy, 2016. [Google Scholar]
- Decree of the Ministry of Economic Development 26/06/2015. Applicazione Delle Metodologie di Calcolo Delle Prestazioni Energetiche e Definizione Delle Prescrizioni e dei Requisiti Minimi Degli Edifici; OJ of the Italian Republic: Rome, Italy, 2015. (In Italian)
- Available online: https://sunpower.maxeon.com (accessed on 11 April 2021).
- Huber, I.; Bugliaro, L.; Ponater, M.; Garny, H.; Emde, C.; Mayer, B. Do climate models project changes in solar resources? Sol. Energy 2016, 129, 65–84. [Google Scholar] [CrossRef]
- Ramon, D.; Allacker, K.; De Troyer, F.; Wouters, H.; van Lipzig, N.P.M. Future heating and cooling degree days for Belgium under a high-end climate change scenario. Energ. Build. 2020, 216, 109935. [Google Scholar] [CrossRef]
- Spirnoni, J.; Vogt, J.V.; Barbosa, P.; Dosio, A.; McCormick, N.; Bigano, A.; Fussel, H.M. Changes of heating and cooling degree-days in Europe from 1981 to 2100. Int. J. Climatol. 2017, 38, 191–208. [Google Scholar] [CrossRef]
- Tootkaboni, M.P.; Ballarini, I.; Corrado, V. Analysing the future energy performance of residential buildings in the most populated Italian climatic zone: A study of climate change impacts. Energy Rep. 2021, in press. [Google Scholar]
- Altamimi, A.; Jayaweer, D. Reliability of power systems with climate change impacts on hierarchical levels of PV systems. Electr. Power Syst. Res. 2021, 190, 106830. [Google Scholar] [CrossRef]
- UNITS 11300-1:2014. Energy Performance of Buildings. Part 1. Evaluation of Energy Need for Space Heating and Cooling; Italian Organisation for Stardardisation (UNI): Milano, Italy, 2014. [Google Scholar]





















| INDEX | TMY | TMY2 |
|---|---|---|
| Maximum dry bulb temperature | 1/24 | 1/20 |
| Minimum dry bulb temperature | 1/24 | 1/20 |
| Mean dry bulb temperature | 2/24 | 2/20 |
| Maximum dew point temperature | 1/24 | 1/20 |
| Minimum dew point temperature | 1/24 | 1/20 |
| Mean dew point temperature | 2/24 | 2/20 |
| Maximum wind speed | 2/24 | 1/20 |
| Mean wind speed | 2/24 | 1/20 |
| Horizontal solar radiation | 12/24 | 5/20 |
| Direct normal solar radiation | - | 5/20 |
| Jan | Feb | Mar | Apr | Mag | Jun | Jul | Aug | Sep | Oct | Nov | Dec | |||
|---|---|---|---|---|---|---|---|---|---|---|---|---|---|---|
| 2015 | µ | (°C) | 18.7 | 22.0 | 27.1 | 25.7 | 21.1 | 15.8 | 11.0 | 6.0 | ||||
| σ2 | (°C2) | - | - | - | - | 28.6 | 27.1 | 31.6 | 30.0 | 34.1 | 17.1 | 25.5 | 22.7 | |
| 2016 | µ | (°C) | 7.8 | 10.0 | 15.1 | 16.9 | 21.6 | 24.8 | 23.7 | 5.4 | ||||
| σ2 | (°C2) | 29.8 | - | 18.3 | 28.6 | 26.3 | 26.1 | 33.3 | 25.8 | - | - | - | 21.6 | |
| 2017 | µ | (°C) | 3.7 | 9.3 | 11.3 | 13.1 | 18.2 | 24.2 | 25.6 | 19.7 | 12.2 | 10.3 | 6.6 | |
| σ2 | (°C2) | 19.6 | 18.6 | 30.1 | 30.6 | 28.9 | 27.6 | 35.6 | - | 24.7 | 11.2 | 18.8 | 25.0 | |
| 2018 | µ | (°C) | 7.9 | 6.4 | 10.1 | 16.0 | 18.9 | 22.3 | 25.7 | 24.2 | 21.6 | 17.6 | 11.3 | 7.6 |
| σ2 | (°C2) | 18.8 | 19.5 | 18.9 | 31.0 | 26.1 | 21.4 | 25.2 | 28.7 | 31.6 | 19.0 | 18.6 | 22.7 | |
| 2019 | µ | (°C) | 4.5 | 7.8 | 10.7 | 13.2 | 14.5 | 24.7 | 26.0 | 26.6 | 22.0 | 17.1 | 13.4 | 8.2 |
| σ2 | (°C2) | 13.7 | 22.4 | 24.7 | 27.1 | 16.4 | 38.8 | 30.5 | 35.6 | 26.3 | 31.8 | 13.7 | 19.5 | |
| 2020 | µ | (°C) | 5.9 | 9.4 | 10.1 | 13.2 | 18.3 | 21.3 | 25.5 | 25.9 | 22.0 | 14.8 | 11.8 | 8.5 |
| σ2 | (°C2) | 26.3 | 24.5 | 25.3 | 36.4 | 28.0 | 26.9 | 30.9 | 27.8 | 34.6 | 24.5 | 18.3 | 14.6 | |
| Long term | µ | (°C) | 6.0 | 8.2 | 10.4 | 14.1 | 17.6 | 22.7 | 25.8 | 25.2 | 21.3 | 16.2 | 11.6 | 7.1 |
| σ2 | (°C2) | 24.5 | 22.9 | 23.7 | 32.2 | 28.1 | 29.7 | 31.7 | 30.7 | 31.0 | 25.8 | 20.1 | 22.3 | |
| Month | TMY | TMY2 | IGDG |
|---|---|---|---|
| 1 | 2017 | 2020 | 2020 |
| 2 | 2020 | 2019 | 2019 |
| 3 | 2019 | 2019 | 2019 |
| 4 | 2017 | 2019 | 2017 |
| 5 | 2015 | 2015 | 2020 |
| 6 | 2020 | 2020 | 2015 |
| 7 | 2017 | 2020 | 2020 |
| 8 | 2019 | 2015 | 2015 |
| 9 | 2015 | 2020 | 2018 |
| 10 | 2017 | 2020 | 2020 |
| 11 | 2018 | 2018 | 2018 |
| 12 | 2017 | 2017 | 2018 |
| FS | DBT | DPT | WS | GHI | DNI | WS | |||||
|---|---|---|---|---|---|---|---|---|---|---|---|
| MEAN | MIN | MAX | MEAN | MIN | MAX | MEAN | MAX | TOT | TOT | ||
| TMY | 0.15 | 0.05 | 0.20 | 0.05 | 0.10 | 0.03 | 0.21 | 0.15 | 0.08 | - | 0.104 |
| TMY2 | 0.15 | 0.05 | 0.20 | 0.05 | 0.10 | 0.03 | 0.21 | 0.15 | 0.08 | 0.20 | 0.128 |
| PV PRODUCTION: μ ± σ | ||||||
|---|---|---|---|---|---|---|
| Jan | Feb | Mar | Apr | May | Jun | |
| TMY (kWhel) | 5.3 ± 4.1 | 10.0 ± 5.1 | 12.8 ± 5.1 | 16.6 ± 4.8 | 16.4 ± 5.0 | 16.3 ± 3.5 |
| RCP 4.5 (kWhel) | 5.5 ± 4.2 | 10.9 ± 5.4 | 13.8 ± 5.4 | 17.6 ± 5.0 | 16.7 ± 5.0 | 18.0 ± 3.8 |
| RCP 8.5 (kWhel) | 5.4 ± 4.2 | 10.6 ± 5.3 | 14.2 ± 5.5 | 17.4 ± 4.9 | 18.4 ± 5.4 | 18.2 ± 3.8 |
| Jul | Aug | Sep | Oct | Nov | Dec | |
| TMY (kWhel) | 18.3 ± 2.5 | 17.9 ± 1.7 | 14.7 ± 4.3 | 9.2 ± 4.2 | 6.2 ± 3.9 | 5.2 ± 3.4 |
| RCP 4.5 (kWhel) | 19.4 ± 2.6 | 19.7 ± 1.8 | 15.4 ± 4.5 | 9.6 ± 4.3 | 7.0 ± 4.3 | 5.2 ± 3.4 |
| RCP 8.5 (kWhel) | 20.2 ± 2.7 | 19.8 ± 1.8 | 15.9 ± 4.5 | 10.0 ± 4.5 | 6.6 ± 4.1 | 5.2 ± 3.4 |
Publisher’s Note: MDPI stays neutral with regard to jurisdictional claims in published maps and institutional affiliations. |
© 2021 by the authors. Licensee MDPI, Basel, Switzerland. This article is an open access article distributed under the terms and conditions of the Creative Commons Attribution (CC BY) license (https://creativecommons.org/licenses/by/4.0/).
Share and Cite
De Masi, R.F.; Festa, V.; Gigante, A.; Mastellone, M.; Ruggiero, S.; Vanoli, G.P. Effect of Climate Changes on Renewable Production in the Mediterranean Climate: Case Study of the Energy Retrofit for a Detached House. Sustainability 2021, 13, 8793. https://doi.org/10.3390/su13168793
De Masi RF, Festa V, Gigante A, Mastellone M, Ruggiero S, Vanoli GP. Effect of Climate Changes on Renewable Production in the Mediterranean Climate: Case Study of the Energy Retrofit for a Detached House. Sustainability. 2021; 13(16):8793. https://doi.org/10.3390/su13168793
Chicago/Turabian StyleDe Masi, Rosa Francesca, Valentino Festa, Antonio Gigante, Margherita Mastellone, Silvia Ruggiero, and Giuseppe Peter Vanoli. 2021. "Effect of Climate Changes on Renewable Production in the Mediterranean Climate: Case Study of the Energy Retrofit for a Detached House" Sustainability 13, no. 16: 8793. https://doi.org/10.3390/su13168793
APA StyleDe Masi, R. F., Festa, V., Gigante, A., Mastellone, M., Ruggiero, S., & Vanoli, G. P. (2021). Effect of Climate Changes on Renewable Production in the Mediterranean Climate: Case Study of the Energy Retrofit for a Detached House. Sustainability, 13(16), 8793. https://doi.org/10.3390/su13168793

