Seasonal Differences in Water-Use Sources of Impatiens hainanensis (Balsaminaceae), a Limestone-Endemic Plant Based on “Fissure-Soil” Habitat Function
Abstract
1. Introduction
2. Materials and Methods
2.1. Study Area and Locations
2.2. Sample Collection
2.3. Soil Water Content Determination
2.4. Investigation of Root Biomass
2.5. Stable Isotope Measurement
2.6. Data Analyses
2.6.1. Utilization of Precipitation by Plants
2.6.2. Contribution of Precipitation to Soil Water
2.6.3. Plant Utilization of Soil Water at Different Depths
2.6.4. Statistical Analysis
3. Results
3.1. Dynamics of Atmospheric Precipitation
3.1.1. Dynamics of Atmospheric Precipitation δD (δ18O) and Precipitation with Wet and Dry Season
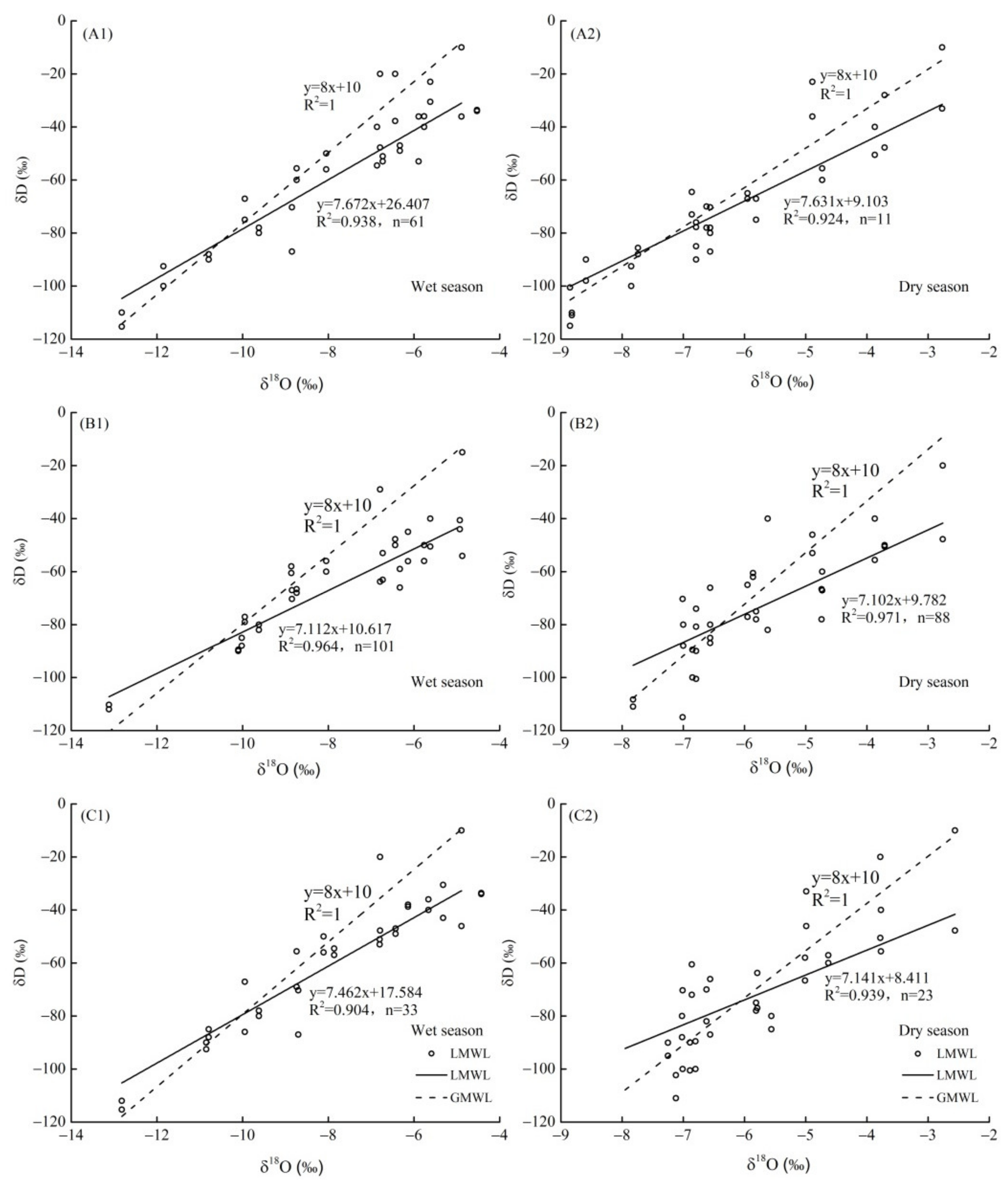
3.1.2. Atmospheric Precipitation δD (δ18O) Characteristics
3.2. Dynamics of Soil Water
3.2.1. Changes of Soil Water Content
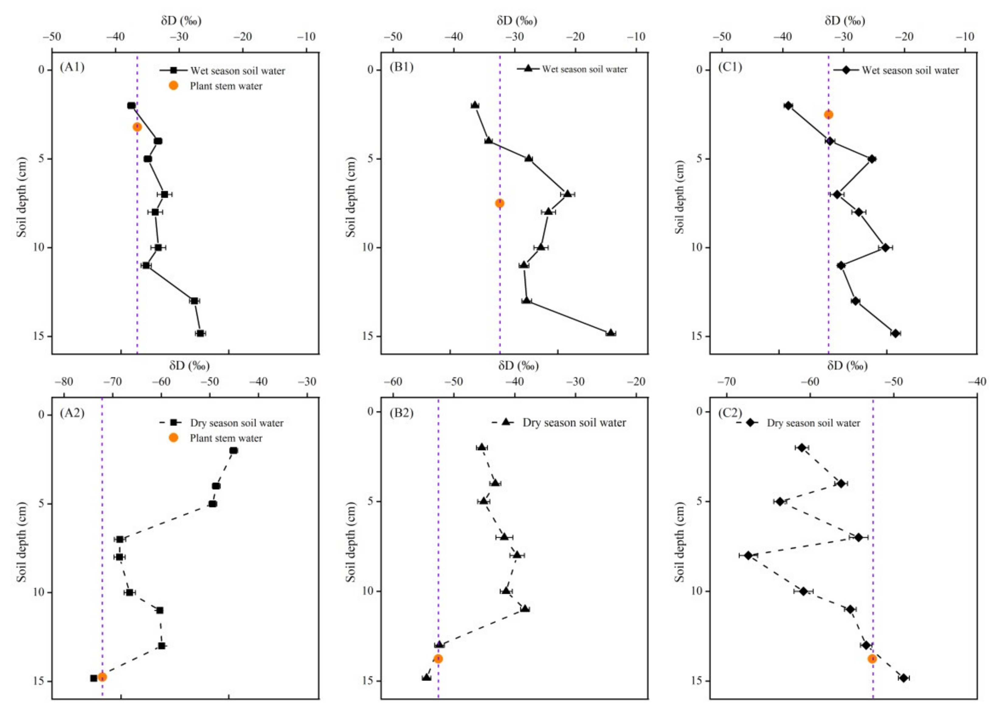
3.2.2. Dynamics of Soil Water δD (δ18O) with Soil Depth
3.2.3. Contribution of Precipitation to Soil Water at All Levels
3.3. Dynamics of Plant Stem Water
3.3.1. Vertical Distribution of Roots
3.3.2. Relationship between Plant Stem Water δD and Soil Water δD
3.3.3. Utilization of Dry and Wet Season Precipitation by I. hainanensis
3.4. Dynamics of Fog Water
3.5. Relationship of Epikarst Water to Precipitation, Soil Water, Stem Water, and Fog Water
4. Discussion
4.1. Differences in Moisture Sources of I. hainanensis during the Wet and Dry Seasons
4.2. Effect of Karst Drought on Water Use of I. hainanensis
4.3. Water Utilization of I. hainanensis under “Fissure-Soil” Habitat Characteristics
5. Conclusions
Author Contributions
Funding
Institutional Review Board Statement
Informed Consent Statement
Data Availability Statement
Acknowledgments
Conflicts of Interest
References
- Asbjornsen, H.; Goldsmith, G.R.; Alvarado-Barrientos, M.S.; Rebel, K.; Van Osch, F.P.; Rietkerk, M.; Chen, J.; Gotsch, S.; Tobon, C.; Geissert, D.R.; et al. Ecohydrological advances and applications inplant-water relations research: A review. J. Plant Ecol. 2011, 4, 3–22. [Google Scholar] [CrossRef]
- Zeppel, M. Convergence of tree water use and hydraulic architecture in water-limited regions: A review and synthesis. Ecohydrology 2013, 6, 889–900. [Google Scholar] [CrossRef]
- Drake, P.L.; Franks, P.J. Water resource partitioning, stem xylem hydraulic properties, and plant water use strategies in a seasonally dry riparian tropical rainforest. Oecologia 2003, 137, 321–329. [Google Scholar] [CrossRef]
- Liu, J.R.; Song, X.F.; Yuan, G.F.; Sun, X.M.; Liu, X.; Wang, S.Q. Characteristics of δ18O in precipitation over Eastern Monsoon China and the water vapor sources. Chin. Sci. Bull. 2010, 55, 200–211. [Google Scholar] [CrossRef]
- Liu, W.J.; Liu, W.Y.; Li, P.J.; Duan, W.P.; Li, H.M. Dry season water uptake by two dominant canopy tree species in a tropical seasonal rainforest of Xishuangbanna, SW China. Agr. Forest Meteorol. 2010, 150, 380–388. [Google Scholar] [CrossRef]
- Xu, Q.; Li, H.B.; Chen, J.Q.; Cheng, X.L.; Liu, S.R.; An, S.Q. Water use patterns of three species in subalpine forest, Southwest China: The deuterium isotope approach. Ecohydrology 2011, 4, 236–244. [Google Scholar] [CrossRef]
- Williams, D.G.; Ehleringer, J.R. Intra-and Interspecific Variation for Summer Precipitation Use in Pinyon-Juniper Woodlands. Ecol. Monogr. 2000, 70, 517–537. [Google Scholar]
- Ehleringer, J.R.; Sage, R.F.; Flanagan, L.B.; Pearcy, R.W. Climate change and evotion of C4 photosynthesis. Trends Ecol. Evol. 2010, 6, 95–99. [Google Scholar] [CrossRef]
- Xu, Q.; Ji, C.L.; Wang, H.Y.; Li, C. Use of Stable Isotopes of Hydrogen, Oxygen and Carbon to Identify Water Use Strategy by Plants. World For. Res. 2009, 22, 41–46. [Google Scholar]
- Ehleringer, J.R. Variation in leaf carbon isotope discrimination in Encelia farinose: Implications for growth, competition, and drought survival. Oecologia 2013, 95, 340–346. [Google Scholar] [CrossRef] [PubMed]
- Pergo, É.M.; Ishii-Iwamoto, E.L. Changes in energy metabolism and antioxidant defense systems during seed germination of the weed species ipomoea triloba L. and the responses to allelochemicals. J. Chem. Ecol. 2011, 37, 500–513. [Google Scholar] [CrossRef] [PubMed]
- Smedley, M.P.; Dawson, T.E.; Comstock, J.P.; Donovan, L.A.; Sherrill, D.E.; Cook, C.S.; Ehleringer, J.R. Seasonal carbon isotope discrimination a grassland community. Oecologia 2011, 85, 314–320. [Google Scholar] [CrossRef]
- Xu, Q.; Liu, S.R.; An, S.Q.; Jiang, Y.X.; Wang, Z.S.; Liu, J.T. Allocation of precipitation in a Sub-Alpine dark coniferous forest of western SiChuan using stable oxygen isotopes. Chin. J. Plant Ecol. 2006, 30, 83–89. [Google Scholar]
- Richter, D.D.; Billings, S.A. ‘One physical system’: Tansley’s ecosystem as Earth’s critical zone. New Phytol. 2015, 206, 900–912. [Google Scholar] [CrossRef]
- Donovan, L.A.; Ehleringer, J.R. Water stress and use of summer precipitation in a Great Basin shrub community. Funct. Ecol. 2017, 8, 289–297. [Google Scholar] [CrossRef]
- Linn, G.H.; Plillips, S.L.; Ehleringer, J.R. Monosoonal precipitation responses of shrubs in a cold desert community on the Colorado Plateau. Oecologia 2016, 106, 8–17. [Google Scholar] [CrossRef]
- Fu, P.L.; Liu, W.J.; Fan, Z.X.; Cao, K.F. Is fog an important water source for woody plants in an Asian tropical karst dry forest during dry season. Ecohydrology 2016, 9, 964–972. [Google Scholar] [CrossRef]
- Cao, J.H.; Yang, H.; Zhang, C.L.; Wu, X.; Bai, B.; Huang, F. Characteristics of structure and material cycling of the karst critical zone in Southwest China. Geol. Surv. China. 2018, 5, 1–12. [Google Scholar]
- Bewley, D.J.; Black, M. Seeds: Physiology of Development and Germination; Plenum Press: New York, NY, USA, 2010. [Google Scholar]
- Cao, K.F.; Fu, P.L.; Chen, Y.J.; Jiang, Y.J.; Zhu, S.D. Implications of the ecophysiological adaptation of plants on tropical karst habitats for the ecological restoration of desertified rocky lands in southern China. Sci. Sinica Vitae. 2014, 44, 238–247. [Google Scholar]
- Yan, Y.J.; Dai, Q.H.; Hu, G.; Guan, J.; Mei, L.; Fu, W.B. Effects of vegetation type on the microbial characteristics of the fissure soil-plant systems in karst rocky desertification regions of SW China. Sci. Total Environ. 2020, 712, 136543. [Google Scholar] [CrossRef]
- Liu, W.J.; Wang, P.Y.; Li, J.T.; Liu, W.Y.; Li, H.M. Plasticity of source-water acquisition in epiphytic, transitional and terrestrial growth phases of Ficus tinctoria. Ecohydrology 2014, 7, 1524–1533. [Google Scholar] [CrossRef]
- Yao, Y.W.; Dai, Q.H.; Gan, Y.X.; Gao, R.X.; Yan, Y.J.; Wang, Y.H. Effects of Rainfall Intensity and Underground Hole (Fracture) Gap on Nutrient Loss in Karst Sloping Farmland. Sci. Agr. Sin. 2021, 54, 140–151. [Google Scholar]
- Guo, Y.L.; Chen, H.Y.; Wang, B.; Xiang, W.S.; Li, D.X.; Li, X.K.; Mallik, A.U.; Ding, T.; Huang, F.Z.; Lu, F.Z.; et al. Conspecific and heterospecific crowding facilitate tree survival in a tropical karst seasonal rainforest. For. Ecol. Manag. 2021, 481, 118751. [Google Scholar] [CrossRef]
- Rempe, D.M.; Dietrich, W.E. Direct observations of rock moisture, a hidden component of the hydrologic cycle. Proc. Natl. Acad. Sci. USA 2018, 115, 2664–2669. [Google Scholar] [CrossRef] [PubMed]
- Wang, J.X.; Zou, B.P.; Liu, Y.; Tang, Y.Q.; Zhang, X.B.; Yang, P. Erosion-creep-collapse mechanism of underground soil loss for the karst rocky desertification in Chenqi village, Puding county, Guizhou, China. Environ. Earth Sci. 2014, 72, 2751–2764. [Google Scholar] [CrossRef]
- Liu, W.J.; Li, P.J.; Duan, W.P.; Liu, W.Y. Dry-season water utilization by trees growing on thin karst soils in a seasonal tropical rainforest of Xishuangbanna, SW China. Ecohydrology 2013, 7, 927–935. [Google Scholar] [CrossRef]
- Luo, X.L.; Wang, S.J.; Bai, X.Y.; Tan, Q.; Ran, C.; Chen, H.; Xi, H.P.; Chen, F.; Cao, Y.; Wu, L.H.; et al. Analysis on the spatio- temporal evolution process of rocky desertification in Southwest Karst area. Acta Ecol. Sin. 2021, 41, 680–693. [Google Scholar]
- Hu, D.; Zeng, F.P.; Song, T.Q.; Liu, K.P.; Wang, K.; Liu, M.X. Water depletion of climax forests over humid karst terrain: Patterns, controlling factors and implications. Agr. Water Manag. 2021, 244, 3106541. [Google Scholar]
- Jiang, Z.C.; Lian, Y.Q.; Qin, X.Q. Rocky desertification in Southwest China: Impacts, causes, and restoration. Earth Sci. Rev. 2014, 132, 1–12. [Google Scholar] [CrossRef]
- Zhong, Y.F.; Hu, X.Y.; Song, X.Q.; Zhou, Z.D. ISSR Analysis on Population Genetic Diversity of Impatiens hainanensis (Balsaminaceae), an Endemic Species to Hainan Island. Chin. J. Trop. Crop. 2014, 35, 1041–1046. [Google Scholar]
- Zhong, Y.F.; Wu, H.Z.; Song, X.Q.; Zhou, Z.D. Species Diversity and the Relationship with Habitat Community Characteristics of Impatiens hainanensis, Endemic to Hainan Island. Chin. J. Trop. Crop. 2014, 35, 355–361. [Google Scholar]
- Schwinning, S. The ecohydrology of roots in rocks. Ecohydrology 2010, 3, 238–245. [Google Scholar] [CrossRef]
- Wang, M.M.; Chen, H.S.; Fu, T.G.; Zhang, W.; Wang, K.L. Differences of soil nutrients among different vegetation types and their spatial prediction in a small typical karst catchment. Chin. J. Appl. Ecol. 2016, 27, 1759–1766. [Google Scholar]
- Liu, Y.; Han, S.M.; Song, X.Q.; Ding, Q.; Wang, P.; Zhao, Y. Seasonal Variation of Microbial Communities in the Rhizosphere of Impatiens hainanensis (Balsaminaceae) at Different Altitudes. J. Trop. Biol. 2018, 9, 47–53. [Google Scholar]
- Craig, H. Isotopic variation in Meteoric waters. Science 1961, 133, 1702–1703. [Google Scholar] [CrossRef]
- Ehleringer, J.R.; Rundel, P.W. Stable Isotopes in Ecological Research; Springer: New York, NY, USA, 1988. [Google Scholar]
- Chen, Z.S.; Cheng, J.; Guo, P.W.; Lin, Z.Y.; Zhang, F.Y. Distribution Characters and Its Control Factors of Stable Isotope in Precipitation over China. Trans. Atmos. Sci. 2010, 33, 667–679. [Google Scholar]
- Hu, H.Y.; Huang, H.M.; Yang, J.W. Multi time scale variation of hydrogen and oxygen isotopes in precipitation under changing environment in Hong Kong area. Eng. J. Wuhan Univ. 2014, 47, 577–584. [Google Scholar]
- Chen, Y.T.; Du, W.J.; Chen, J.S.; Xu, L.L. Composition of hydrogen and oxygen isotopic of precipitation and source apportionment of water vapor in Xiamen Area. Acta Sci. Circums. 2016, 36, 667–674. [Google Scholar]
- Li, G.; Zhang, X.P.; Xu, Y.P.; Song, S.; Wang, Y.F.; Ji, X.M.; Xiang, J.; Yang, J. Characteristics of Stable Isotopes in Precipitation and Their Moisture Sources in Mengzi Region, Southern Yunnan. Environ. Sci. 2016, 37, 1313–1320. [Google Scholar]
- Song, X.F.; Wang, S.; Xiao, G.Q.; Wang, Z.M. A study of soil water movement combining soil water potential with stable isotopes at two sites of shallow groundwater areas in the North China Plain. Hydrol. Process. 2009, 23, 1376–1388. [Google Scholar] [CrossRef]
- Xu, Q.; Liu, S.; Wan, X.; Jiang, C.Q.; Song, X.F.; Wang, J.X. Effects of rainfall on soil moisture and water movement in a subalpine dark coniferous forest in southwestern China. Hydrol. Process. 2012, 26, 3800–3809. [Google Scholar] [CrossRef]
- Jiang, Y.L.; Bai, K.D.; Guo, Y.L.; Wang, B.; Li, D.X.; Li, X.K.; Liu, Z.S. Floral traits of woody plants and their habitat differentiations in a northern tropical karst forest. Bio. Sci. 2016, 24, 148–156. [Google Scholar] [CrossRef]
- Sun, S.F.; Huang, J.H.; Lin, G.H.; Zhao, W.; Han, X.G. Application of stable isotope technique in the study of plant water use. Ecology. Acta Ecol. Sin. 2005, 25, 2362–2371. [Google Scholar]
- Olmo, M.; Lopez-Iglesias, B.; Villar, R. Drought changes the structure and elemental composition of very fine roots in seedlings of ten woody tree species. Implications for a drier climate. Plant Soil 2014, 384, 113–129. [Google Scholar] [CrossRef]
- Xiong, H.F.; Wang, S.J.; Rong, L.; Cheng, A.Y.; Li, Y.B. Effects of extreme drought on plant species in Karst area of Guizhou Province, Southwest China. Chin. J. Appl. Ecol. 2011, 22, 1127–1134. [Google Scholar]
- Wu, J.E.; Liu, W.J.; Zhu, C.J. Application of Stable Isotope Techniques in the Study of Plant Water Sources and Use Efficiency. J. Southwest For. Univ. (Nat. Sci.) 2014, 34, 103–110. [Google Scholar]
- Gazis, C.; Feng, X. A stable isotope study of soil water: Evidence for mixing and preferential flow paths. Geoderma 2004, 119, 97–111. [Google Scholar] [CrossRef]
- Jia, G.D.; Yu, X.X.; Deng, W.P. Seasonal water use patterns of semi-arid plants in China. Forest. Chron. 2013, 89, 169–177. [Google Scholar] [CrossRef][Green Version]
- Xu, Q.; Liu, S.R.; An, S.Q.; Jiang, Y.X.; Lin, G.H. Characteristics of Hydrogen Stable Isotope in Soil Water of Sub-Alpine Dark Coniferous Forest in Wolong, Sichuan Province. Sci. Silvae Sin. 2007, 43, 8–14. [Google Scholar]
- Chen, H.S.; Nie, Y.P.; Wang, K.L. Spatio-temporal heterogeneity of water and plant adaptation mechanisms in karst regions: A review. Acta Ecol. Sin. 2013, 33, 317–326. [Google Scholar] [CrossRef]
- Schenk, H.J.; Jackson, R.B. The global biogeography of roots. Ecol. Monogr. 2002, 72, 311–328. [Google Scholar] [CrossRef]
- Liu, W.J.; Li, P.J.; Li, H.M.; Zhang, Y.P.; Duan, W.P. Fog interception and its relation to soil water in the tropical seasonal rain forest of Xishuangbann, Southwest China. Acta Ecol. Sin. 2006, 26, 9–15. [Google Scholar] [CrossRef]
- Yan, Y.J.; Dai, Q.H.; Li, J.; Wang, X.D. Geometric morphology and soil properties of shallow karst fissures in an area of karst rocky desertification in SW China. Catena 2019, 174, 48–58. [Google Scholar] [CrossRef]
- Zhang, Z.F.; You, Y.M.; Huang, Y.Q.; Li, X.K.; Zhang, J.C.; Zhang, D.N.; He, C.X. Effects of drought stress on Cyclobalanopsis glauca seedlings under simulating karst environment condition. Acta Ecol. Sin. 2012, 32, 6318–6325. [Google Scholar] [CrossRef]
- Hasselquist, N.J.; Allen, M.F.; Santiago, L.S. Water relationsof evergreen and drought-deciduous trees along a seasonallydry tropical forest chronosequence. Oecologia 2010, 164, 881–890. [Google Scholar] [CrossRef] [PubMed]
- George, L.O.; Bazzaz, F.A. The Herbaceous Layer as a Filter Determining Spatial Pattern in Forest Tree Regeneration. In The Herbaceous Layer in Forests of Eastern North America; Oxford University Press: New York, NY, USA, 2003. [Google Scholar]
- Zhao, Z.M.; Shen, Y.X.; Zhu, X.A. Research Progress of Soil Moisture in Karst Areas of Southwest China. Hubei Agr. Sci. 2017, 56, 3603–3609. [Google Scholar]
- Tian, L.D.; Yao, T.D.; Sun, W.Z.; Tsujimura, M. Stable isotope in soil water in the middle of Tibetan Plateau. Acta Pedol. Sin. 2002, 39, 289–295. [Google Scholar]
- Jackson, R.B.; Sperry, J.S.; Dawson, T.E. Root water uptake and transport: Using physiological processes in global predictions. Trends Plant. Sci. 2000, 5, 482–488. [Google Scholar] [CrossRef]
- Chen, Y.J.; Cao, K.F.; Schnitzer, S.A.; Fan, Z.X.; Zhang, J.L.; Bongers, F. Water-use advantage for lianas over trees in tropical seasonal forests. New Phytol. 2014, 205, 128–136. [Google Scholar] [CrossRef] [PubMed]
- Deng, X.Q.; Wang, S.J.; Rong, L. Study on Water Sources of Proper Plant Species in Karst Areas. Earth Environ. 2012, 40, 154–160. [Google Scholar]
- Katsanou, K.; Lambrakis, N.; Tayfur, G.; Baba, A. Describing the Karst Evolution by the Exploitation of Hydrologic Time-Series Data. Water Resour. Manag. 2015, 29, 3131–3147. [Google Scholar] [CrossRef]
- Waltham, T. Fengcong, fenglin, cone karst and tower karst. Carsologica Sin. 2009, 28, 355–369. [Google Scholar]
- Brunner, I.; Herzog, C.; Dawes, M.A.; Arend, M.; Sperisen, C. How tree roots respond to drought. Front. Plant Sci. 2015, 6, 547. [Google Scholar] [CrossRef] [PubMed]
- Phillips, R.P.; Ibáñez, I.; D’Orangeville, L.; Hanson, P.J.; Ryan, M.G.; McDwell, N.G. A belowground perspective on the drought sensitivity of forests: Towards improved understanding and simulation. Forest Ecol. Manag. 2016, 380, 309–320. [Google Scholar] [CrossRef]
- Zhou, H.; Zhao, W.Z.; Yang, Q.Y. Root biomass distribution of planted Haloxylon ammodendron in a duplex soil in an oasis: Desert boundary area. Ecol. Res. 2016, 31, 673–681. [Google Scholar] [CrossRef]
- Kulmatiski, A.; Beard, K.H. Root niche partitioning among grasses, saplings, and trees measured using a tracer technique. Oecologia 2013, 171, 25–37. [Google Scholar] [CrossRef]
- Xiong, K.; Yin, C.; Ji, H. Soil erosion and chemical weathering in a region with typical karst opography. Environ. Earth Sci. 2018, 77, 500. [Google Scholar] [CrossRef]
- Nie, Y.P.; Chen, H.S.; Wang, K.L. Challenges and probable solutions for using stable isotope techniques to identify plant water sources in karst regions: A review. Chin. J. Appl. Ecol. 2017, 28, 2361–2368. [Google Scholar]
- Xu, Q.; Wang, H.Y.; Liu, S.R. Water use strategies of Malus toringoides and its accompanying plant species Berberis aemulans. Acta Ecol. Sin. 2005, 31, 5702–5710. [Google Scholar]
- Kan, H.; Urata, K.; Nagao, M.; Hori, N.; Fujita, K.; Yokoyama, Y.; Nakashima, Y.; Ohashi, T.; Goto, K.; Suzuki, A. Submerged karst landforms observed by multibeam bathymetric survey in Nagura Bay, Ishigaki Island, southwestern Japan. Geomorphology 2015, 229, 112–124. [Google Scholar] [CrossRef]
- Li, H.; Jiang, Z.; Zhou, H.F.; Wang, Y.; Cui, T.S.; Li, Y.; Luo, W.Q. Variation Characteristics of Oxygen and Hydrogen Stable Isotope in Precipitation, Soil Water and Groundwater in the Junggar Basin—Taking Fukang Station of Desert Ecology as a Case. Res. Soil Water Conserv. 2008, 15, 105–108. [Google Scholar]
- Zhu, X.A.; Shen, Y.J.; He, B.B.; Zhao, Z.M. Humus soil as a critical driver of flora conversion on karst rock outcrops. Sci. Rep. 2017, 7, 12611. [Google Scholar] [CrossRef] [PubMed]















Publisher’s Note: MDPI stays neutral with regard to jurisdictional claims in published maps and institutional affiliations. |
© 2021 by the authors. Licensee MDPI, Basel, Switzerland. This article is an open access article distributed under the terms and conditions of the Creative Commons Attribution (CC BY) license (https://creativecommons.org/licenses/by/4.0/).
Share and Cite
Huang, W.; Zhong, Y.; Song, X.; Zhang, C.; Ren, M.; Du, Y. Seasonal Differences in Water-Use Sources of Impatiens hainanensis (Balsaminaceae), a Limestone-Endemic Plant Based on “Fissure-Soil” Habitat Function. Sustainability 2021, 13, 8721. https://doi.org/10.3390/su13168721
Huang W, Zhong Y, Song X, Zhang C, Ren M, Du Y. Seasonal Differences in Water-Use Sources of Impatiens hainanensis (Balsaminaceae), a Limestone-Endemic Plant Based on “Fissure-Soil” Habitat Function. Sustainability. 2021; 13(16):8721. https://doi.org/10.3390/su13168721
Chicago/Turabian StyleHuang, Weixia, Yunfang Zhong, Xiqiang Song, Cuili Zhang, Mingxun Ren, and Yanjun Du. 2021. "Seasonal Differences in Water-Use Sources of Impatiens hainanensis (Balsaminaceae), a Limestone-Endemic Plant Based on “Fissure-Soil” Habitat Function" Sustainability 13, no. 16: 8721. https://doi.org/10.3390/su13168721
APA StyleHuang, W., Zhong, Y., Song, X., Zhang, C., Ren, M., & Du, Y. (2021). Seasonal Differences in Water-Use Sources of Impatiens hainanensis (Balsaminaceae), a Limestone-Endemic Plant Based on “Fissure-Soil” Habitat Function. Sustainability, 13(16), 8721. https://doi.org/10.3390/su13168721

