The Impact of Reward–Penalty Policy on Different Recycling Modes of Recyclable Resources in Residential Waste
Abstract
:1. Introduction
2. Literature Review
2.1. Research on 3RW Recycling
2.2. RW Recycling in China
2.3. Reward–Penalty Policy
- (1)
- Two 3RW recycling modes were studied for the first time under the NWCRP in China. Furthermore, the profit models of two modes were established based on Stackelberg game theory, which can enrich the recycling model research of 3RW.
- (2)
- In this study the recycling amount was calculated by the degree of efforts such as publicity and supervision, which takes into account the impact of residents’ environmental awareness and has been used in the recycling of free recyclables [3]. It is different from the method used to calculate the recycling amount of 3RW in the research of Jafari et al. [19], which was calculated by the customers’ demand for the finished product.
- (3)
- A reward–penalty policy was proposed, what is more, the impact of reward–penalty policies on social welfare and its subsidy efficiency were analyzed, which are rarely studied by other literatures.
3. Problem
3.1. Problem Description
3.2. Notation and Formulas
3.2.1. Notation
3.2.2. Description of Related Formulas
4. Stackelberg Game Model
4.1. Mode I—RC Recycling
4.2. Mode II—ESEG Recycling
5. Analysis of Results
5.1. Comparison of Models without Reward–Penalty Policies
5.2. Numerical Analysis
5.2.1. Data Determination and Analysis of Model I
5.2.2. Comparison of the Reward Efficiency
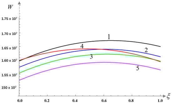
5.2.3. Comparison of the Total Social Welfare
5.2.4. Penalty Analysis
5.3. Discussions and Suggestions
6. Conclusions
Author Contributions
Funding
Institutional Review Board Statement
Informed Consent Statement
Data Availability Statement
Acknowledgments
Conflicts of Interest
References
- Ye, Q.; Anwar, M.A.; Zhou, R.; Asmi, F.; Ahmad, I. China’s green future and household solid waste: Challenges and prospects. Waste Manag. 2020, 105, 328–338. [Google Scholar] [CrossRef]
- Xie, L.; Ma, J. Study the complexity and control of the recycling-supply chain of China’s color TVs market based on the government subsidy. Commun. Nonlinear. Sci. 2016, 38, 102–116. [Google Scholar] [CrossRef]
- Liu, L.; Wang, Z.; Xu, L.; Hong, X.; Govindan, K. Collection effort and reverse channel choices in a closed-loop supply chain. J. Clean. Prod. 2017, 144, 492–500. [Google Scholar] [CrossRef]
- Li, X.; Mu, D.; Du, J.; Cao, J.; Zhao, F. Game-based system dynamics simulation of deposit-refund scheme for electric vehicle battery recycling in China. Resour. Conserv. Recycl. 2020, 157, 104788. [Google Scholar] [CrossRef]
- Ezeah, C.; Fazakerley, J.A.; Roberts, C.L. Emerging trends in informal sector recycling in developing and transition countries. Waste Manag. 2013, 33, 2509–2519. [Google Scholar] [CrossRef]
- Nelles, M.; Grünes, J.; Morscheck, G. Waste Management in Germany—Development to a Sustainable Circular Economy? Procedia Environ. Sci. 2016, 35, 6–14. [Google Scholar] [CrossRef]
- Honma, S.; Hu, J. Cost efficiency of recycling and waste disposal in Japan. J. Clean Prod. 2021, 284, 125274. [Google Scholar] [CrossRef]
- Stoeva, K.; Alriksson, S. Influence of recycling projects on waste separation behaviour. Waste Manag. 2017, 68, 732–741. [Google Scholar] [CrossRef]
- Kim, B.; Kim, S.; Sahoob, S. Waste collection vehicle routing problem with time windows. Comput. Oper. Res. 2006, 33, 3624–3642. [Google Scholar] [CrossRef]
- Botello-Álvarez, J.E.; Rivas-García, P.; Fausto-Castro, L.; Estrada-Baltazar, A.; Gomez-Gonzalez, R. Informal collection, recycling and export of valuable waste as transcendent factor in the municipal solid waste management: A Latin-American reality. J. Clean Prod. 2018, 182, 485–495. [Google Scholar] [CrossRef]
- Sandhu, K.; Burton, P.; Dedekorkut-Howes, A. Between hype and veracity; privatization of municipal solid waste management and its impacts on the informal waste sector. Waste Manag. 2017, 59, 545–556. [Google Scholar] [CrossRef] [PubMed]
- Steuer, B.; Ramusch, R.; Part, F.; Salhofer, S. Analysis of the value chain and network structure of informal waste recycling in Beijing, China. Resour. Conserv. Recycl. 2017, 117, 137–150. [Google Scholar] [CrossRef]
- Aparcana, S. Approaches to formalization of the informal waste sector into municipal solid waste management systems in low- and middle-income countries: Review of barriers and success factors. Waste Manag. 2017, 61, 593–607. [Google Scholar] [CrossRef] [PubMed] [Green Version]
- Fei, F.; Qu, L.; Wen, Z.; Xue, Y.; Zhang, H. How to integrate the informal recycling system into municipal solid waste management in developing countries: Based on a China’s case in Suzhou urban area. Resour. Conserv. Recycl. 2016, 110, 74–86. [Google Scholar] [CrossRef]
- Xiao, S.; Dong, H.; Geng, Y.; Brander, M. An overview of China’s recyclable waste recycling and recommendations for integrated solutions. Resour. Conserv. Recycl. 2018, 134, 112–120. [Google Scholar] [CrossRef] [Green Version]
- Liu, S.; Li, Q.; Qiao, F. Characterizing the Relationship between Carbon Dioxide Emissions and Vehicle Operating Modes on Roundabouts—A Pilot Test in a Single Lane Entry Roundabout. Environ. Pollut. Climate Change 2017, 1, 1–120. [Google Scholar] [CrossRef] [Green Version]
- Li, Q.; Du, J.; Qiao, F. Characterizing Particulate Matter 2.5 Concentration Pattern within a Transportation Network: A Case Study in the Port of Houston Region. J. Pollut 2018, 1, 106. [Google Scholar]
- Zhang, S.Q.; Mu, D.; Wang, C. A Solution for the Full-Load Collection Vehicle Routing Problem with Multiple Trips and Demands: An Application in Beijing. IEEE Access 2020, 8, 89381–89394. [Google Scholar] [CrossRef]
- Vergara, S.E.; Damgaard, A.; Gomez, D. The Efficiency of Informality: Quantifying Greenhouse Gas Reductions from Informal Recycling in Bogotá, Colombia. J. Ind. Ecol. 2016, 20, 107–119. [Google Scholar] [CrossRef] [Green Version]
- Alhazmi, H.; Almansour, F.H.; Aldhafeeri, Z. Plastic Waste Management: A Review of Existing Life Cycle Assessment Studies. Sustainability 2021, 13, 5340. [Google Scholar] [CrossRef]
- Zhang, H.; Wen, Z. The consumption and recycling collection system of PET bottles: A case study of Beijing, China. Waste Manag. 2014, 34, 987–998. [Google Scholar] [CrossRef]
- Cheung, W.M.; Pachisia, V. Facilitating waste paper recycling and repurposing via cost modelling of machine failure, labour availability and waste quantity. Resour. Conserv. Recycl. 2015, 101, 34–41. [Google Scholar] [CrossRef] [Green Version]
- Ibáñez-Forés, V.; Coutinho-Nóbrega, C.; Bovea, D.M.; de Mello-Silva, C.; Lessa-Feitosa-Virgolino, J. Influence of implementing selective collection on municipal waste management systems in developing countries: A Brazilian case study. Resour. Conserv. Recycl. 2018, 134, 100–111. [Google Scholar] [CrossRef]
- Tang, J.; Wei, L.; Su, M.; Zhang, H.; Chang, X.; Liu, Y.; Wang, N.; Xiao, E.; Ekberg, C.; Steenari, B.; et al. Source analysis of municipal solid waste in a mega-city (Guangzhou): Challenges or opportunities? Waste Manag. Res. 2018, 36, 1166–1176. [Google Scholar] [CrossRef] [PubMed]
- Meng, X.; Tan, X.; Wang, Y.; Wen, Z.; Tao, Y.; Qian, Y. Investigation on decision-making mechanism of residents’ household solid waste classification and recycling behaviors. Resour. Conserv. Recycl. 2019, 140, 224–234. [Google Scholar] [CrossRef]
- Xu, L.; Ling, M.; Wu, Y. Economic incentive and social influence to overcome household waste separation dilemma: A field intervention study. Waste Manag. 2018, 77, 522–531. [Google Scholar] [CrossRef] [PubMed]
- Lu, H.; Sidortsov, R. Sorting out a problem: A co-production approach to household waste management in Shanghai, China. Waste Manag. 2019, 95, 271–277. [Google Scholar] [CrossRef]
- Jafari, H.; Hejazi, S.R.; Rasti-Barzoki, M. Sustainable development by waste recycling under a three-echelon supply chain: A game-theoretic approach. J. Clean Prod. 2017, 142, 2252–2261. [Google Scholar] [CrossRef]
- Xue, Y.; Wen, Z.; Bressers, H.; Ai, N. Can intelligent collection integrate informal sector for urban resource recycling in China? J. Clean Prod. 2019, 208, 307–315. [Google Scholar] [CrossRef]
- Wang, B.; Camacho, J.A.; Pulliam, G.M.; Etemadi, A.H.; Dehghanian, P. New reward and penalty scheme for electric distribution utilities employing load-based reliability indices. IET Gener. Transm. Dis. 2018, 12, 3647–3654. [Google Scholar] [CrossRef] [Green Version]
- Alvehag, K.; Awodele, K. Impact of Reward and Penalty Scheme on the Incentives for Distribution System Reliability. IEEE Trans. Power Syst. 2014, 29, 386–394. [Google Scholar] [CrossRef]
- Amini, F.; Ahmad, J.; Ambali, A.R. The Influence of Reward and Penalty on Households’ Recycling Intention. APCBEE Procedia 2014, 10, 187–192. [Google Scholar] [CrossRef]
- Wang, W.; Ding, J.; Sun, H. Reward-penalty mechanism for a two-period closed-loop supply chain. J. Clean Prod. 2018, 203, 898–917. [Google Scholar] [CrossRef]
- Tang, Y.; Zhang, Q.; Li, Y.; Wang, G.; Li, Y. Recycling mechanisms and policy suggestions for spent electric vehicles’ power battery—A case of Beijing. J. Clean Prod. 2018, 186, 388–406. [Google Scholar] [CrossRef]











| Symbols | Definition | 
|---|---|
| Population of a district in a city | |
| Quantity of 3RW contained in household waste produced by residents each year | |
| Scaling parameter, represents the average environmental awareness of residents | |
| Sorting rate without publicity and supervision | |
| Increased sorting rate under publicity and supervision | |
| Investment cost of publicity and supervision | |
| Average recycling price per 3RW set by the recycler of mode j | |
| Price discount of 3RW to transfer station | |
| Proportion of 3RW sorting from garbage by mechanical equipment | |
| Purchase price of 3RW | |
| Reward–penalty intensity established by the government | |
| Target sorting rate set by the government | |
| Government’s fixed cost coefficient in reward–penalty mechanism | 
| Mode I | Mode II | |
|---|---|---|
| Ps | ||
| V | 
| Parameter | Value | 
|---|---|
| 335.8 p | |
| 360 t/p/y | |
| 4000 | |
| 0.05 | |
| 30 RMB/t | |
| 0.6 | |
| 150 RMB/t | |
| 0.0000006 | 
| Scenario | Recycler | Implementation Objects of Policies | Mechanical Sorting Rate | 
|---|---|---|---|
| 1 | RC | WCG/RC | -- | 
| 2 | ESEG | WCG | |
| 3 | ESEG | RC | |
| 4 | ESEG | WCG | |
| 5 | ESEG | RC | 
| Publisher’s Note: MDPI stays neutral with regard to jurisdictional claims in published maps and institutional affiliations. | 
© 2021 by the authors. Licensee MDPI, Basel, Switzerland. This article is an open access article distributed under the terms and conditions of the Creative Commons Attribution (CC BY) license (https://creativecommons.org/licenses/by/4.0/).
Share and Cite
Mu, D.; Zhang, S. The Impact of Reward–Penalty Policy on Different Recycling Modes of Recyclable Resources in Residential Waste. Sustainability 2021, 13, 7883. https://doi.org/10.3390/su13147883
Mu D, Zhang S. The Impact of Reward–Penalty Policy on Different Recycling Modes of Recyclable Resources in Residential Waste. Sustainability. 2021; 13(14):7883. https://doi.org/10.3390/su13147883
Chicago/Turabian StyleMu, Dong, and Shaoqing Zhang. 2021. "The Impact of Reward–Penalty Policy on Different Recycling Modes of Recyclable Resources in Residential Waste" Sustainability 13, no. 14: 7883. https://doi.org/10.3390/su13147883
APA StyleMu, D., & Zhang, S. (2021). The Impact of Reward–Penalty Policy on Different Recycling Modes of Recyclable Resources in Residential Waste. Sustainability, 13(14), 7883. https://doi.org/10.3390/su13147883
 
         
                                                
 
       