You are currently viewing a new version of our website. To view the old version click .
Sustainability
  • Article
  • Open Access

12 July 2021

Contribution of Climate-Smart Agriculture Technologies to Food Self-Sufficiency of Smallholder Households in Mali

,
,
,
,
and
1
International Crops Research Institute for the Semi-Arid Tropics (ICRISAT), Niamey BP 12404, Niger
2
AMASSA Afrique Verte, Bamako BPE404, Mali
*
Author to whom correspondence should be addressed.

Abstract

Climate change has resulted in food insecurity for the majority of farming communities in the Sudano-Sahelian zone of Mali. In this paper, we present a methodology for scaling climate-smart agriculture (CSA) technologies such as Contour Bunding (CB), Microdosing (MD), Intercropping (IC), Zaï pits, and Adapted crop Variety (AV) treatments, and evaluated their contribution to smallholder households’ food self-sufficiency. We used the participatory technology selection method and on-farm demonstration in order to tackle farm-related constraints. The study found that there has been a major shift in the spatial distribution of land use/land cover (LULC) classes between 2016 and 2020. About 25% of the areas changed from other land use/land cover to cropland. Crop yields obtained from CSA-treated fields were significantly higher than yields from farmers’ practice (FP). The application of CSA technologies resulted in millet yield increases by 51%, 35%, and 23% with contour bunding (CB), microdosing (MD) and intercropping (IC), respectively. With Zaï pits and adapted variety (AV) treatments, the yield increases were 69% and 27%, respectively. Further, the use of IC and MD technologies reduced the food-insecure household status to 13%, which corresponds to a food insecurity reduction of 60%. The application of Zaï technology reversed the negative status of food-insecurity to +4%, corresponding to a reduction in food insecurity of more than 100%. In the case of food-secure households, the application of CSA technologies led to increased food production. However, notwithstanding this, prospects for CSA in the Sahel hinge on the capacities of farming households and local extension agents to understand the environmental, economic and social challenges in the context of climate change, and consequently to self-mobilize in order to select and implement responsive technologies.

1. Introduction

Agriculture is the mainstay of the household economy in the Sudano-Sahelian zone of Mali. Farmers practice traditional farming systems, enduring difficult agroecological conditions such as soil-related constraints [1], high climate variability [2,3] as well as labor and land constraints [4]. In addition, public services are handicapped by inadequate infrastructure and inappropriate agricultural policies [5] and limited access for farmers to specialized knowledge [6] and innovations [7].
Climate change brings new threats to this scenario, portending a potential decrease in yields by up to 41% in the 21st century due to future warming and rainfall variabilities [8,9,10,11]. Rapid population growth is another factor that is putting greater pressure on farmland and natural resources management, leading to the fragmentation of small landholdings and overexploitation as well as the degradation of land [12,13]. These challenges affect the livelihoods of farming communities and have resulted in a situation of food insecurity in which a large fraction of the population is facing hunger and malnutrition [14]. In the Sahel, self-sufficiency with regards to cereals is projected to drop from 80% to below 40% by 2050 due to future crop yield changes [15]. In such a situation, the survival of the people in these communities depends on the effective adaptation of agriculture to climate change [16,17].
In the face of this challenge, the primary solution promoted within the agricultural development community is to intensify agricultural production [18] whilst at the same time minimizing the adverse impacts of climate change on the whole range of farming systems [19]. Climate-smart agriculture (CSA), a concept developed by the Food and Agriculture Organization of the United Nations [20], has been proposed as a mainstream opportunity to improve food and livelihood security in the Sahel zone [21]. It aims at increasing agricultural productivity and farmers’ incomes, strengthening the resilience of ecosystems and livelihoods to climate change and reducing greenhouse gas emissions [22,23]. Although CSA is a relatively new concept to stakeholders, its practices are already embedded in many indigenous farming systems, helping farmers in producing food in the context of a changing climate [24]. For instance, water harvesting practices such as Zaï pits [25], the half-moon technique, and contour bunding [26] have been developed for the Sahelian region and recently implemented in the Sudanian zone—however, with little consideration of the farm-based context. In the region recently, CSA research has resulted in the development and dissemination of potential technologies such as solar-powered drip irrigation systems, agriculture insurance, climate information systems, the development of national and regional climate change action plans and policies which represent new opportunities for farmers to adapt and reduce climate-related risks.
This study focused on the scaling of CSA technologies—while taking into account local communities’ capacity and farmers’ field constraints—to aid adaptation to climate change and augment smallholders’ household food self-sufficiency by increasing agricultural production. This study aimed to evaluate the contribution of CSA technologies to achieving smallholders’ household food self-sufficiency in the context of climate change in the Sudano-Sahelian region of Mali.

2. Materials and Methods

2.1. Study Site and Approach to Implementation

To carry out this study, we implemented activities in 30 villages proportionately distributed across three regions, Koulikoro (13°56′41″ N, 7°37′28″ W), Mopti (14°29′54″ N, 3°11′09″ W) and Segou (13°22′05″ N, 5°16′24″ W) (Figure 1). Mopti is a region located in the Sahel zone of Mali with a mean annual rainfall of 500 mm. The first planting here occurs in early July. The Koulikoro and Segou regions are located in central and southern Mali and both have a mean annual rainfall in the 700–800 mm range. In these regions, the first planting occurs in June.
Figure 1. Waati Yelema Labenw (Villages for testing climate smart technologies) project work sites in Mali (2018).
Village selection for this study was done with reference to the global vulnerability index of Mali. Communities with a vulnerability rank in the range of 40–60% compared to the national average of 35% [27,28] were selected for the study. Prior to implementation of activities, a three-day training program on CSA technologies was organized in each region. In each study village, five farmers were trained to be trainers who in turn instructed 35 other farmers. This made a total of 1200 farmers in the 30 study villages. Technology selection was participatory [29] and based on the reciprocal commitments of partners: (i) farmers agreed to provide land for the demonstration of field activities, and performed services such as planting, weed control and harvesting; (ii) the research team consulted the farmers about their problems and provided list of technologies such as zaï pits, contour bunding, microdosing, cereal-legume intercropping, tree-crop-livestock systems, high yielding, drought resistant seeds, and rainfall forecasting systems. For each given technology, the pros and cons have been discussed in the plenary meetings. (iii) The farmers selected the technologies according to the specific constraints of their field such as poor soil fertility, poor water retention, inter-seasonal dryness and low crop yields; (iv) the research team and the farmers collaborated in conducting and monitoring the field demonstration which consisted of field delimitation, planting and grain weighing.

2.2. Spatial Land Use Land Cover Map Using Satellite Imagery

A land use land cover (LULC) map of the study area was prepared using Sentinel-2 time series normalized difference vegetation index (NDVI) imagery (10 m resolution) for the months of 2016 and 2020 (12 layers for each year) and the methodology of mapping cropland areas [30,31].
The process starts with extracting the NDVI from the satellite imagery, followed by classifying the images using unsupervised ISOCLASS cluster Isodata classification with an average size of classes of 40 and 40 iterations to reach the convergence threshold of 0.99. Unsupervised classification helps in capturing various LULC types and extracting the signatures of every class. The spectral profiles/signatures generated from the initial 40 unsupervised classes were identified as different classes and labelled on the basis of bi-spectral profiles, Sentinel-2 NDVI time-series plots, ground survey data and high-resolution images (Google Earth). The classes were then grouped and finally labelled based on class similarities. If any disparities were found in the classification, that particular class was masked and the process was repeated until a fine classification map was obtained. Most of the classes were thus identified, even though there can be some mixed classes [32].

2.3. CSA Technologies Implemented by Farmers

Contour Bunding: Contour bunding (CB) technology consists of erosion control structures built in lines along the natural contours of the land after removing 10–15 cm of soil for each line. In our study, CB structures were built to a height of 20–30 cm and spaced 20–50 m apart depending on the slope of the farm land. Field demonstrations of contour bunding were carried out with 97 farmers who applied the technique on 182 ha across the three regions.
Microdosing: Microdosing involves applying small amounts of mineral or organic fertilizer to the planting hole or pocket at the time of sowing or about two to three weeks following crop emergence. Since most farmers cannot afford large investments in soil fertility management, this technique is considered a low-cost fertilizer application option for smallholder farming. Among the surveyed farmers, 169 applied microdosing technology over 418 ha.
Zaï pits: Commonly called towalen in Mali, Zaï pits are a soil rehabilitation system that concentrates runoff water and organic matter in small seed pits (10–15 cm deep, average diameter 20–40 cm). The pits’ inter-row distance was 0.8 m against the 0.5 m pit distance within rows. The pits are dug manually during the dry season ahead of the rainy season [25]. A handful (≈0.3 kg) of animal manure or compost is placed in each pit, which adds up to about 9.5 t ha−1. Our field demonstration of Zaï pits was carried out with 154 farmers applying this technique on 129 ha across the three regions.
Intercropping: Farmers’ technique consists of randomly mixing cereals and legumes within sowing lines. In contrast, intercropping (IC) technology involves sowing two or three lines of the main crop, say millet, separated by one or two lines of a legume, either cowpea or groundnut. The number of lines sown depends on a farmer’s priorities. For this study, 194 farmers applied intercropping on 192 ha.
Adapted variety (AV): Alternatively, millet seed of the Toroniou variety were given to farmers for demonstration. Toroniou is a short-duration variety with a sowing-maturation duration of 80 days. Our evaluation of this improved millet variety was carried out with 373 farmers who applied the technique on 374 ha across the three regions.

2.4. Farmers’ Practice

Our study also monitored Farmers’ Practice (FP) as a control treatment in the plots adjacent to the CSA technology plots. Farmers carried out cropping operations (e.g., planting, weeding, hilling, ridging, harvesting) in both CSA and FP fields. Small variations in planting dates were allowed to accommodate labor availability. Farmers’ practice is mainly based on direct sowing with limited tillage. Millet receives no or limited supply of mineral fertilizer.
A follow-up in the form of a formal survey was carried out with the same farmers who conducted the experiments in order to evaluate their perception of the efficiency of each technology and to classify the constraints and difficulties encountered during the implementation process. Based on our understanding of local farming systems, responses of farmers were translated into scientific variables.

2.5. Field Monitoring and Survey for Quantitative Evaluation

Field monitoring was carried out by 10 field technicians, each in charge of three villages. The field technicians were responsible for monitoring the setup of the demonstration plots and providing advice to farmers during the cropping season. The households were characterized after determining the population size and disaggregating by gender, land area (ha) and yield (kg ha−1) under CSA technology and control treatments.

2.6. Assessment of Household Food Self-Sufficiency

Our approach to assessing household food self-sufficiency was based on an analysis of the total energy produced and energy required, expressed as kcal household-1 year-1 [33,34]. Total energy produced (kcal) was calculated on the basis of the mean crop yield, total land available per household, and population [34]. Energy requirement was calculated on the basis of the number of household members and the average daily energy requirement per person (2450 kcal per person per day for adults and 1775 kcal per person per day for children under the age of 11).
Donations and food exchanges were not taken into account. The ratio of total energy available to households yearly to total energy needs was used as an indicator of food security [35]. When this ratio is negative, it signifies food insecurity; when it is positive, it indicates that food is affordable and people are food-secure.

2.7. Statistical Analysis

For the evaluation of technologies, statistical analysis was done for mean separation using the p value of 5% significance. After the field day visit and crop harvesting a survey was conducted to evaluate the percentage of farmers who liked or disliked one technology in relation to the other. In total, 97 and 169 farmers, respectively, were interviewed on contour bunding and microdosing application while 154 and 194 farmers, respectively, were interviewed for zaï pits and cereal legume intercropping. Comparisons between technologies were performed in order to identify context-based solutions. Effects were considered significant at a probability level of ≤0.05.
A total of 60 farmers participated in the preferred classification of CSA technologies [36,37]. A set of the five CSA technologies was listed in the schedule and the preference level of each technology was recorded as highly preferred, moderately preferred and least preferred with their respective scores being 3, 2 and 1. The relative preferences of CSA technologies were worked out by ranking techniques based on their mean cumulative scores. The weighted mean score (WMS) for each technology was obtained by multiplying the frequencies with their respective scores, adding them up and dividing by the total number of respondents as follows:
Weighted mean score (WMS):
s i f i n
where:
fi = frequency of the respondents for each CSA technology;
Si = score of the CSA technology;
i = 1, 2 or 3;
n = total number of respondents.

3. Results

3.1. Spatial Distribution of Land Use/Land Cover

Figure 2 shows the spatial maps for the years 2016 and 2020 indicating the major land-use classes at two study sites, Sio and Benena. The major classes are irrigated croplands and rainfed croplands; the others are mixed due to the complexity of the LULC pattern and also the water bodies. Sio has irrigated croplands, wetlands and water bodies whereas Benena has rainfed croplands and a mixed class of rangelands and croplands.
Figure 2. Spatial distribution of land use/land cover (LULC) classes in Benena and Sio in August 2016 and August 2020.
As can be seen in Table 1, the areas of the various LULC classes in Sio and Benena show significant changes from 2016 to 2020—mainly to the irrigated croplands, rainfed croplands and mixed classes. In Sio, there is an increase in the area of irrigated croplands (from 16,311 ha to 20,354 ha) and a decrease in rainfed croplands (from 3977 ha to 1426 ha). Further, the decrease in the area of wetlands indicates a conversion of wetlands into croplands. Benena, on the other hand, shows a mixed trend, mainly a decrease in the extent of rainfed croplands and the conversion of rangelands/barren lands into mixed cropland. This indicates very small fields and an absence of continuous farming in such fields.
Table 1. Area (ha) of various LULC classes (for the years 2016 and 2020) in two study sites.

3.2. Household Characterization

The mean household size ranged from 17 to 24 people. There is 40% unemployment compared to the total population size in the Koulikoro, Mopti and Segou regions (Table 2). The proportion of the inactive population, i.e., those not directly contributing to agricultural activities, is high in households across the three regions.
Table 2. Household (HH) population and cropping land (ha) across the Koulikoro, Mopti and Segou regions.

3.3. Evaluation of Millet Grain Yield under CSA Technologies and Farmers’ Practice

3.3.1. Contour Bunding Technology

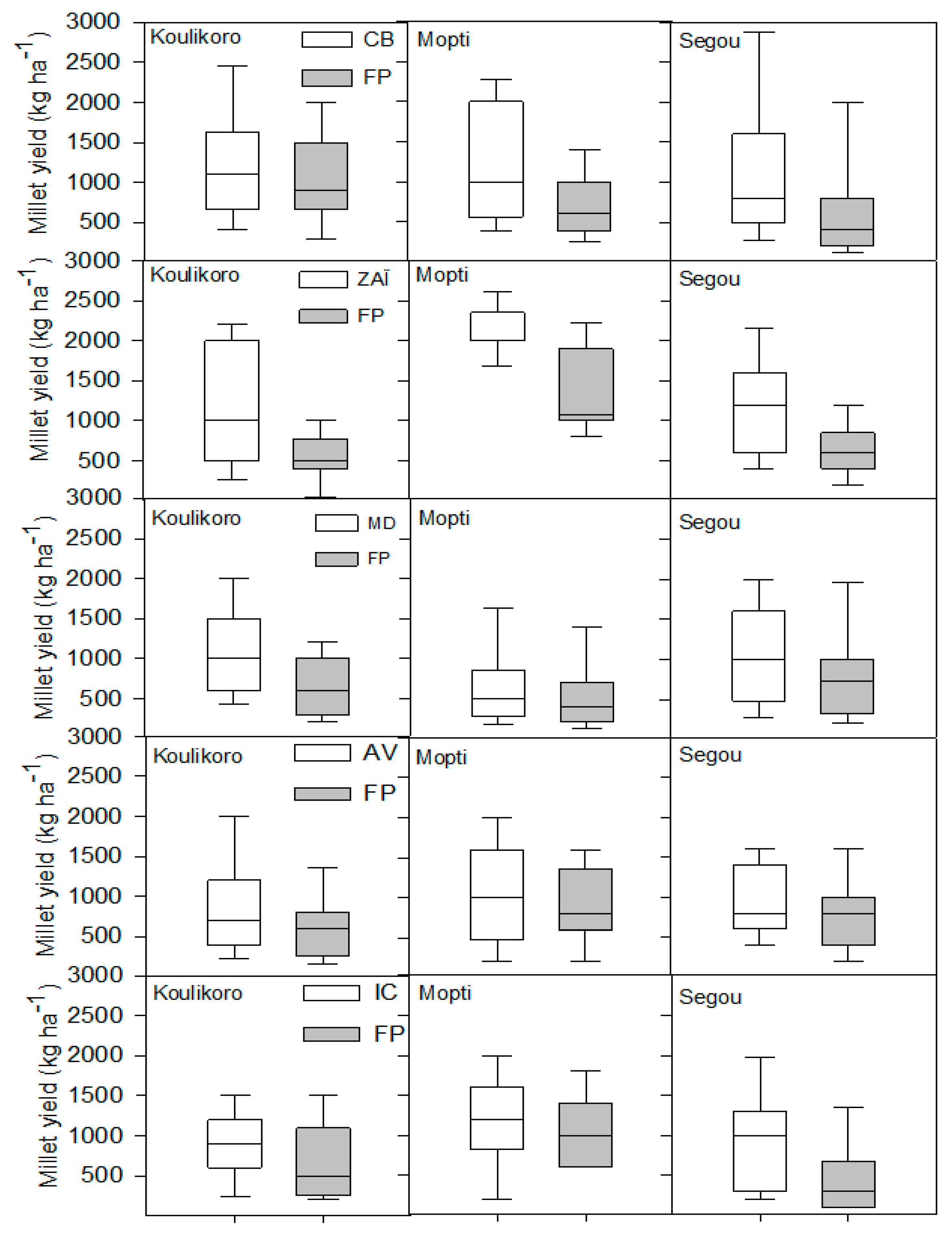
Millet grain yields under the contour bunding practice were less than 700 kg ha−1 in the 25% trial across the three regions, while in the 75% trial, they were below 1700 kg ha−1 in Koulikoro and Segou and 2000 kg ha−1 in Mopti (Figure 3). In contrast, in the control treatment, yields were less than 400 kg ha−1 in the 25% trial, and below 1000 kg ha−1 in Segou and Mopti and 1500 kg ha−1 in Koulikoro in the 75% trial. Statistically, yields under contour bunding were significantly higher than yields in the control treatment, with a difference of more than 385 kg ha−1 (Table 3). In Koulikoro, however, the yield difference was not significant.
Figure 3. Yields obtained under climate-smart technologies compared to farmers’ practice in three regions of Mali in 2018. (CB: Contour bunding; MD: Microdosing; AV: Adapted variety; IC: Intercropping; FP: Farmers’ practice).
Table 3. Millet yields (kg ha−1) obtained under climate-smart practices and farmers’ practice in the Koulikoro, Mopti and Segou regions. SED (Standard Error of Difference of mean).
Across the three regions, 30–40% of the farmers appreciated the CB technology because of its benefit of water conservation, while 10–25% of them cited reduction of soil erosion as the main benefit (Figure 4). On the other hand, 32% of the farmers, especially those in Koulikoro, said the need for repeated annual maintenance of the technology was a major constraint to its long-term use. In Segou and Mopti, 25% and 32% of the farmers, respectively, said the lack of adequate technical skills and appropriate equipment were major constraints to the implementation of CB technology.
Figure 4. Farmers’ perceptions on various technologies in the Koulikoro, Mopti and Segou regions of Mali. (CB: Contour bunding; MD: Microdosing; AV: Adapted variety; IC: Intercropping; FP: Farmers’ Practice).

3.3.2. Microdosing (MD)

Under the microdosing practice, millet yields were less than 500 kg ha−1 in the 25% trial, and below 1600 kg ha−1 in the 75% trial in Koulikoro and Segou. For the control treatment, yields were less than 400 kg ha−1 in the 25% trial, and below 1000 kg ha−1 in the 75% trial (Figure 3). Mean yields obtained under microdosing in the Koulikoro and Segou regions were, respectively, 1113 kg ha−1 and 1024 kg ha−1 (Table 3). Statistical analysis showed that yields obtained under microdosing in Koulikoro and Segou were significantly higher (p < 0.001) than yields obtained with the control treatment, by 409 kg ha−1 and 259 kg ha−1, respectively. In the Mopti region, yields for the MD practice and control treatment did not differ significantly.
With regard to farmers’ perceptions of microdosing, 38% in Segou and 28% in Mopti said the technology facilitates access to nutrients, thereby aiding rapid plant development and resulting in a good yield (Figure 4). Moreover, MD technology allows a farmer to cover a larger extent of land with an optimum amount of mineral fertilizer. In contrast, 18% of the farmers in Koulikoro and 12% in Segou said the application of MD technology required a lot of effort and was time-consuming.

3.3.3. Intercropping

Yield distribution under the intercropping system showed that in the 50% trial, yields varied from 700 kg ha−1 to 1200 kg ha−1 in Koulikoro and Segou, and from 700 kg ha−1 to 1600 kg ha−1 in Mopti (Figure 3). For farmers’ practice in the 50% trial, the yields varied from 300 kg ha−1 to 1100 kg ha−1 in Koulikoro and from 250 kg ha−1 to 700 kg ha−1 in Segou. Statistical analysis showed that yields under the intercropping system were significantly higher than under farmers’ practice—the difference being +197 kg ha−1 (Table 3). However, the yield difference was not significant in the Koulikoro and Mopti regions.
Asked about their perceptions of intercropping technology, 35–38% of the farmers in the study regions appreciated the technology not only because of the dual grain/biomass benefit but also as a diversification strategy. The intercropping of three rows of millet and two rows of cowpea facilitates harvesting and reduces biomass losses compared to traditional cropping systems. However, 20% of the farmers in Koulikoro said the application of intercropping technology requires more time.

3.3.4. Zaï

Across the three regions, yield variability was higher with the Zaï practice compared to farmers’ practice (Figure 3). Under the Zaï treatment, yields from the 50% trial varied from 500 kg ha−1 to 2000 kg ha−1 in the Koulikoro and Segou regions, while in Mopti the yield was 2000–2500 kg ha−1. Under farmers’ practice, the 50% trial yield varied from 450 kg ha−1 to 650 kg ha−1 in Koulikoro and Segou, and from 1000 kg ha−1 to 2000 kg ha−1 in Mopti. Across the three regions, mean yields obtained under the Zaï practice were significantly higher than under the farmers’ practice (p < 0.001), with a grain gain of +542 kg ha−1. In Mopti, this difference reached +700 kg ha−1 (Table 3).
Farmers appreciated the Zaï technology because of its water conservation capacity enhancement and nutrient availability, which led to crop development and higher yields (Figure 4). In addition, 40% of farmers appreciated the technology’s potential to regenerate degraded land through the rational use of organic matter. On the other hand, despite these advantages, all farmers acknowledged that the application of Zaï technology is time-consuming, requiring additional labor and time input.

3.3.5. Adapted Variety

In the treatment with the adapted variety of millet, yields from the 50% trial varied from 450 kg ha−1 to 1200 kg ha−1 in Koulikoro and Segou and from 500 kg ha−1 to 1200 kg ha−1 in Mopti (Figure 3). For farmers’ practice, yield from the 50% trial varied from 350 kg ha−1 to 450 kg ha−1 in Koulikoro and Segou and from 600 kg ha−1 to 1200 kg ha−1 in Mopti. The mean yield obtained under the AV treatment was 1010 kg ha−1, which was significantly higher (p < 0.001) than that obtained under farmers’ practice, with a yield gain of +213 kg ha−1. This difference applied to all three studied regions (Table 3).
Regarding farmers’ perceptions, 25% highlighted that the adapted millet varieties were short-duration and well-adapted to seasonal rainfall variations with ears well-filled (Figure 4). Some 20% of the farmers in Mopti and Segou and 12% in Koulikoro said the local varieties are of long- to medium-duration maturity. For 18% of the farmers in Koulikoro and 11% in Mopti and Segou, grain filling varied from good to medium.

3.3.6. Millet Grain Yield under CSA Technologies

Among the various technologies implemented by this study in the three regions of Mali, the adapted variety of millet ranked first with the highest weighted mean score, followed by microdosing and Zaï pits, with weighted mean scores of 0.76 and 0.63, respectively (Table 4. Contour bunding and intercropping received similar weighted mean scores and were both ranked fourth. However, statistical analysis of the mean yields obtained under these technologies indicated no significant difference between them with the exception of Zaï pits, which gave a yield significantly higher than microdosing (Figure 5).
Table 4. Farmers’ preferences of climate-smart technologies demonstrated in three regions of Mali.
Figure 5. Mean yields of millet obtained under various technologies. (IC: Intercropping; CB: Contour bunding; ZAI: Zaï pits; MD: Microdosing; AV: Adapted millet variety. The bars represent the error bar).

3.3.7. Household Food Self-Sufficiency

The food self-sufficiency status of 376 households in the three regions was analyzed and results showed high variability (Table 5). Over the studied regions, 27% of households were found to be food-insufficient, with a mean of −32% recorded, which corresponds to an average availability of 1687 kcal per person per day. On the other hand, 274 households were found to be food self-sufficient, with a surplus food stock (+98%), corresponding to an average availability of 4928 kcal per person per day.
Table 5. Household (HH) food self-sufficiency status (% kcal/household) under farmers’ current practice in three regions of Mali.
Figure 6 shows the change in the food self-sufficiency of households after the application of CSA technologies. Under conventional farming practices (control), households were food-insecure with a mean of −32%; with the application of CSA technologies, the results showed an improvement in the food status of all households. With the application of IC and MD technologies, the food-insecure household status was reduced to −13%, corresponding to a food insecurity reduction of 60%. The application of Zaï technology reversed the negative status to +4%, corresponding to a reduction in food insecurity of more than 100%.
Figure 6. Changes in household food self-sufficiency status after application of CSA technologies.
In addition, for food-secure households, the application of CSA technologies led to extra food production (Figure 7). With the application of IC, CB and MD technologies, household food gain increased from 100% to 152%, and to 140% for the AV technology, corresponding to an increase of 50% and 40% respectively. The highest increase was obtained with Zaï technology, with an average of +193% recorded, representing an increase of +91%.
Figure 7. Changes in household food self-sufficiency status of food-secure households after application of CSA technologies.
Subsequently, we applied the CSA technologies to the farming systems of 102 households that were food-insecure (Figure 8). As a result, the application of CSA contributed differently to their household food security status. For example, the application of Zaï pits and contour bunding enabled, respectively, 65% and 40% of households to be food-secure compared to 30–35% for IC, AV and MD technologies.
Figure 8. Percentage of households that achieved food self-sufficiency after adopting CSA technologies.

4. Discussion

4.1. Yield Gain with CSA Technology Application

The findings of our study showed that yields obtained under CSA technologies were significantly higher than yields from farmers’ practice. These results are consistent with regional analyses across the Sahelian countries in West Africa [38,39,40,41]. It can be inferred that, despite constraints such as low soil fertility or rainfall variability, there is still room for improving crops yield in the Sudano Sahelian region of Mali. The challenge for farmers is to select an appropriate technology to address a specific constraint. However, another challenge is the lack of technical knowledge among farmers to implement these technologies. For instance, contour bunding requires the technical knowledge of drawing the contour line with a theodolite or use of the water level [26]. To address such constraints, a local NGO, AMEDD, supports communities that wish to conduct land management on at least 1 ha of land for a payment of $10—which is affordable to farmers. It adopts a watershed approach, which requires community participation in landscape management [42]. This example indicates that there is a role for the private sector in this process across all local administrative regions, and makes it imperative that they be included in local development programs with the support of national extension services. In the case of the Zaï and microdosing technologies, all farmers surveyed for our study recognized that their implementation was time-consuming and required additional effort that includes labor and time input. This results in a low adoption rate for these technologies [43]. However, we found that this could also be due to the fact that 40% of the household population is inactive (elder and children), and who do not directly contribute to agricultural activities, which results in less farming capacity being deployed to meet the needs of a rapidly growing population [44]. For the time constraint related to the application of the Zaï technology mentioned above, a mechanized solution was developed [45] involving an animal-drawn tool which reduces by 90% the time required for making the pits [25]. Such technology needs to be promoted and made available in rural areas, with appropriate training given to local extension services and private sector entities.
Low millet yields and the high variability seen under farmers’ practice are common phenomena in the Sahel due to smallholder farming diversity and soil fertility variability across the different agroecological zones [46]. Another challenge is related to the inappropriate application of agricultural practices [3] and low household resource endowment capacity [47]. In the three study regions, farmers continue to apply organic manure by spreading it over the entire field even though microdosing would increase the manure application surface area and have a significant net positive effect on overall farm productivity [48].
In the three studied regions, the adoption of technologies goes beyond technical and financial means and would also depend on the literacy status of the farm household [49]. Farmers have to be first convinced about the problem to be addressed, which would open the door for governments and development experts to promote farmer education and extension to improve awareness and impart training for CSA technologies.

4.2. Inter—Comparison of CSA Technologies

Except for the significant yield gains from the application of the Zaï and MD technologies, the other CSA technologies produced similar millet yields in the studied regions. However, this result differed from farmers’ own ranking of the technologies, in which adapted varieties ranked first followed by the microdosing technology. This indicates that absolute yield is not necessarily the principal technology selection indicator for farmers. Farmers tend to select a technology that requires less effort, labor and financial resources—which is particularly due to the fact that the majority of farmers do not have the required farming equipment [50].
At a regional scale, we found that the yield difference between MD treatment and farmers’ practice was similar in Mopti as well as between CB and FP in the Koulikoro region, indicating that a specific technology may not necessarily be climate-smart in all regions. This is explained by the fact that microdosing is already a common practice in Mopti, unlike in Segou or Koulikoro, where it is new to farmers. In Koulikoro, the fact that rainfall recorded during the season varies between 800 mm and 900 mm, under which there is less water stress for the crop to reach maturity, there needs to be an appropriate technology like that of contour bunding to reduce farm water runoff and help retain important nutrients in farm fields.

4.3. CSA Contribution to Household Food Self-Sufficiency

Our results showed a high variability of household food self-sufficiency status, although the target villages for the study had been selected from among some of the most vulnerable communities. Correlation analyses between household food self-sufficiency status and household total cultivable land or total population were not separately significant (p > 0.05). However, the ratio of household land to household population was significantly related to food self-sufficiency status (Figure 9), suggesting the inference that the diversity of food self-sufficiency status among households was the result of the combination of the means of production, such as land, in relation to the household’s population. Balancing household food self-sufficiency can therefore occur by adjusting the land/population ratio. However, given constraints such as difficult access to new land [51,52] and land degradation [53] linked to cultivable land expansion, these options for improving yields are most promising and applicable.
Figure 9. Regression between Household Food Self-sufficiency status (%) and land population ratio.
From our results it can be inferred that whatever the household, the application of CSA technologies would improve household food status—although with differing contributions from each of the technologies. Households that are in food-deficit can thus improve their food status, and those that are already food self-sufficient would be able to generate additional food stocks—which follows a distribution system for supporting social actions, especially for food-insecure households [54]. These exchanges usually take the form of hospitality, gift-giving, or barter, and serve as a mechanism for coping with climate fluctuations and also strengthen social stability by reducing youth migration to cities and northern countries [55].
With regards to the contribution of CSA technologies to improving household food self-sufficiency, we can infer that the current food production system in the Sahelian zone must evolve to adapt to current constraints, especially to face climate change and variability. This aligns with the Food system transformation initiative [56] led by the CGIAR Research Program on Climate Change, Agriculture and Food Security (CCAFS), under which climate smart agriculture (CSA) has a key role to play in driving change through innovative actions that mainstream the three pillars (productivity/adaptation/mitigation) in an effective way [24].
Bringing CSA technologies to bear on food security is in principle part of the political agenda to integrate them into local development programs, especially in highly vulnerable areas. In addition, this also presents new challenges and opportunities for agricultural research to better adapt different technologies to local constraints.

5. Conclusions

The study showed that grain yields were higher under CSA technologies, indicating that there is still a margin for improving crop yields under farming conditions if appropriate technologies are applied in specific agroecological conditions. The challenge for farmers is to select an appropriate technology to address a specific constraint. While practicing CSA technologies, we also need to rethink farming systems by including seasonal and daily rainfall forecasts which are now more accessible and reliable in many regions.
The study highlighted that climate-smart agricultural technologies improve household food self-sufficiency status, although their contributions may differ regionally. Households that are in food deficit can improve their food status, and those that are already food self-sufficient can generate additional food stocks.
This notwithstanding, the prospects of CSA in the Soudano-Sahel hinge on the capacities of farming households and local extension agents to understand the environmental, economic and social challenges in a climate-changing context and consequently to self-mobilize to select and implement responsive technologies for local communities. The scaling of CSA faces a number of challenges at the local scale, including the lack of a clear conceptual understanding of opportunities, thus needing critical attention.
For large adoption of CSA technologies, local extension services and communities must identify specific agro-ecological constraints and prioritize CSA technologies aligned with them.

Author Contributions

Conceptualization, B.T. and B.Z.B.; methodology, B.T. and B.Z.B.; software, B.T.; validation, B.T., S.S. and B.Z.B.; formal analysis, B.T. and M.K.G.; investigation, S.S.; resources, B.Z.B.; data curation, B.T.; writing—original draft preparation, B.T.; writing—review and editing, A.M.W. and M.K.G.; visualization, B.Z.B.; supervision, B.Z.B. and R.T.; project administration, R.T.; funding acquisition, R.T. All authors have read and agreed to the published version of the manuscript.

Funding

This research has been funded by the UKAid Building Resilience and Adaptation to Climate Extremes and Disasters (BRACED) program for the Waati Yelema Labenw project in Mali; however, the views expressed do not necessarily reflect the UK government’s official policies.

Acknowledgments

We acknowledge and thank the Africa RISING project in Mali for supporting data analysis and the scientific publication of the work. The co-authors, AMW, MKG acknowledge salary support from the CGIAR Research Programs on Climate Change, Agriculture and Food Security (CCAFS) carried out with support from the CGIAR Trust Fund https://www.cgiar.org/funders/, accessed on 6 July 2021. We thank also the three reviewers for their detailed comments that helped us to improve the manuscript.

Conflicts of Interest

The authors declare no conflict of interest.

References

  1. Morton, J.F. The Impact of Climate Change on Smallholder and Subsistence Agriculture. Proc. Natl. Acad. Sci. USA 2007, 104, 19680–19685. [Google Scholar] [CrossRef] [PubMed] [Green Version]
  2. Traore, B.; Van Wijk, M.T.; Descheemaeker, K.; Corbeels, M.; Rufino, M.C.; Giller, K.E. Climate Variability and Change in Southern Mali: Learning from Farmer Perceptions and on-Farm Trials. Exp. Agric. 2015, 51, 615–634. [Google Scholar] [CrossRef]
  3. Traore, B.; van Wijk, M.T.; Descheemaeker, K.; Corbeels, M.; Rufino, M.C.; Giller, K.E. Evaluation of Climate Adaptation Options for Sudano-Sahelian Cropping Systems. Filed Crop. Res. 2014, 156, 63–75. [Google Scholar] [CrossRef]
  4. Kenga, R.; M’Biandoun, M.; Njoya, A.; Havard, M.; Vall, E. Analysis of Constraints to Agricultural Production in the Sudan-Sahelian Zone of Cameroon Uging a Diagnostic Survey. In Colloque Savanes Africaines—Des Espaces En Mutation, Des Acteurs Face à de Nouveaux Défis; CCSD: Las Vegas, NV, USA, 2003. [Google Scholar]
  5. Breman, H.; Groot, J.J.R.; van Keulen, H. Resource Limitations in Sahelian Agriculture. Glob. Environ. Chang. 2001, 11, 59–68. [Google Scholar] [CrossRef]
  6. Osbahr, H.; Allan, C. Indigenous Knowledge of Soil Fertility Management in Southwest Niger. Geoderma 2003, 111, 457–479. [Google Scholar] [CrossRef]
  7. Konseiga, A. Household Migration Decisions as Survival Strategy: The Case of Burkina Faso. J. Afr. Econ. 2007, 16, 198–233. [Google Scholar] [CrossRef] [Green Version]
  8. Knox, J.; Hess, T.; Daccache, A.; Wheeler, T. Climate Change Impacts on Crop Productivity in Africa and South Asia. Environ. Res. Lett. 2012, 7, 34032. [Google Scholar] [CrossRef]
  9. Lobell, D.B.; Schlenker, W.; Costa-Roberts, J. Climate Trends and Global Crop Production since 1980. Science 2011, 333, 616–620. [Google Scholar] [CrossRef] [Green Version]
  10. Roudier, P.; Sultan, B.; Quirion, P.; Berg, A. The Impact of Future Climate Change on West African Crop Yields: What Does the Recent Literature Say? Glob. Environ. Chang. 2011, 21, 1073–1083. [Google Scholar] [CrossRef] [Green Version]
  11. Sultan, B.; Roudier, P.; Quirion, P.; Alhassane, A.; Muller, B.; Dingkuhn, M.; Ciais, P.; Guimberteau, M.; Traore, S.; Baron, C. Assessing Climate Change Impacts on Sorghum and Millet Yields in the Sudanian and Sahelian Savannas of West Africa. Environ. Res. Lett. 2013, 8, 1404. [Google Scholar] [CrossRef]
  12. Mutunga, C.; Zulu, E.M.; De Souza, R.-M. Population Dynamics, Climate Change and Sustainable Development in Africa; Institute of Development Studies: Brighton, UK, 2012. [Google Scholar]
  13. O’Neill, B.C.; MacKellar, F.L.; Lutz, W. Population and Climate Change; Cambridge; Cambridge University Press: New York, NY, USA, 2005. [Google Scholar]
  14. OCHA. Sahel: Overview of Humanitarian Needs and Requirements; OCHA: New York, NY, USA, 2018. [Google Scholar]
  15. Van Ittersum, M.K.; Van Bussel, L.G.J.; Wolf, J.; Grassini, P.; Van Wart, J.; Guilpart, N.; Claessens, L.; de Groot, H.; Wiebe, K.; Mason-D’Croz, D. Can Sub-Saharan Africa Feed Itself? Proc. Natl. Acad. Sci. USA 2016, 113, 14964–14969. [Google Scholar] [CrossRef] [Green Version]
  16. Waha, K.; Muller, C.; Rolinski, S. Separate and Combined Effects of Temperature and Precipitation Change on Maize Yields in Sub-Saharan Africa for Mid-to Late-21st Century. Glob. Planet. Chang. 2013. [Google Scholar] [CrossRef]
  17. Adger, W.N.; Huq, S.; Brown, K.; Conway, D.; Hulme, M. Adaptation to Climate Change in the Developing World. Prog. Dev. Stud. 2003, 3, 179–195. [Google Scholar] [CrossRef]
  18. Robinson, L.W.; Ericksen, P.J.; Chesterman, S.; Worden, J.S. Sustainable Intensification in Drylands: What Resilience and Vulnerability Can Tell Us. Agric. Syst. 2015, 135, 133–140. [Google Scholar] [CrossRef]
  19. Smith, P. Delivering Food Security without Increasing Pressure on Land. Glob. Food Sec. 2013, 2, 18–23. [Google Scholar] [CrossRef]
  20. FAO. ‘Climate-Smart’Agriculture: Policies, Practices and Financing for Food Security, Adaptation and Mitigation; FAO: Rome, Italy, 2010. [Google Scholar]
  21. Partey, S.T.; Zougmoré, R.B.; Ouédraogo, M.; Campbell, B.M. Developing Climate-Smart Agriculture to Face Climate Variability in West Africa: Challenges and Lessons Learnt. J. Clean. Prod. 2018, 187, 285–295. [Google Scholar] [CrossRef]
  22. Campbell, B.M. Climate-Smart Agriculture−What Is It. Rural 21 Int. J. Rural Dev. 2017, 51, 14–16. [Google Scholar]
  23. Neufeldt, H.; Jahn, M.; Campbell, B.M.; Beddington, J.R.; DeClerck, F.; De Pinto, A.; Gulledge, J.; Hellin, J.; Herrero, M.; Jarvis, A. Beyond Climate-Smart Agriculture: Toward Safe Operating Spaces for Global Food Systems. Agric. Food Secur. 2013, 2, 12. [Google Scholar] [CrossRef] [Green Version]
  24. Zougmoré, R.B.; Läderach, P.; Campbell, B.M. Transforming Food Systems in Africa under Climate Change Pressure: Role of Climate-Smart Agriculture. Sustainability 2021, 13, 4305. [Google Scholar] [CrossRef]
  25. Barro, A.; Zougmoré, R.; Taonda, J.-B.S. Mécanisation de La Technique Du Zaï Manuel En Zone Semi-Aride. Cah. Agric. 2005, 14, 549–559. [Google Scholar]
  26. Gigou, J.; Traoré, K.; Giraudy, F.; Coulibaly, H.; Sogoba, B.; Doumbia, M. Aménagement Paysan Des Terres et Réduction Du Ruissellement Dans Les Savanes Africaines. Cah. Agric. 2006, 15, 116–122. [Google Scholar]
  27. GIZ. Guide de Référence Sur La Vulnérabilité. Concepts et Lignes Directrices Pour La Conduite d’analyses de Vulnérabilité Standardisées; GIZ: Bonn, Germany, 2015. [Google Scholar]
  28. ICON-Institut. Etude d’évaluation de La Vulnérabilité Aux Changements Climatiques Au Mali. Rapport Final Soumis à La GIZ. ICON-INSTITUT Public Sector GmbH En Consortium Avec Prospect C&S S.A; ICON-Institut: Bamako, Mali, 2017. [Google Scholar]
  29. Bellon, M.R. Participatory Research Methods for Technology Evaluation: A Manual for Scientists Working with Farmers; CIMMYT: El Batan, Mexico, 2001. [Google Scholar]
  30. Gumma, M.K.; Gauchan, D.; Nelson, A.; Pandey, S.; Rala, A. Temporal Changes in Rice-Growing Area and Their Impact on Livelihood over a Decade: A Case Study of Nepal. Agric. Ecosyst. Environ. 2011, 142, 382–392. [Google Scholar] [CrossRef]
  31. Gumma, M.K.; Tummala, K.; Dixit, S.; Collivignarelli, F.; Holecz, F.; Kolli, R.N.; Whitbread, A.M. Crop Type Identification and Spatial Mapping Using Sentinel-2 Satellite Data with Focus on Field-Level Information. Geocarto Int. 2020, 1–17. [Google Scholar] [CrossRef]
  32. Thenkabail, P.; GangadharaRao, P.; Biggs, T.; Krishna, M.; Turral, H. Spectral Matching Techniques to Determine Historical Land-Use/Land-Cover (LULC) and Irrigated Areas Using Time-Series 0.1-Degree AVHRR Pathfinder Datasets. Photogramm. Eng. Remote Sens. 2007, 73, 1029–1040. [Google Scholar]
  33. Challinor, A.; Wheeler, T.; Garforth, C.; Craufurd, P.; Kassam, A. Assessing the Vulnerability of Food Crop Systems in Africa to Climate Change. Clim. Chang. 2007, 83, 381–399. [Google Scholar] [CrossRef]
  34. FAO. Human Energy Requirements: Report of a Joint FAO/ WHO/UNU Expert Consultation. Food Nutr. Tech. Rep. Ser. 2005, 26, 166. [Google Scholar]
  35. Izraelov, M.; Silber, J. An Assessment of the Global Food Security Index. Food Secur. 2019, 11, 1135–1152. [Google Scholar] [CrossRef]
  36. Islam, M.A.; Masoodi, T.H.; Gangoo, S.A.; Sofi, P.A.; Bhat, G.M.; Wani, A.A.; Gatoo, A.A.; Singh, A.; Malik, A.R. Perceptions, Attitudes and Preferences in Agroforestry among Rural Societies of Kashmir, India. J. Appl. Nat. Sci. 2015, 7, 976–983. [Google Scholar] [CrossRef] [Green Version]
  37. Sogoba, B.; Traoré, B.; Safia, A.; Samaké, O.B.; Dembélé, G.; Diallo, S.; Kaboré, R.; Benié, G.B.; Zougmoré, R.B.; Goïta, K. On-Farm Evaluation on Yield and Economic Performance of Cereal-Cowpea Intercropping to Support the Smallholder Farming System in the Soudano-Sahelian Zone of Mali. Agriculture 2020, 10, 214. [Google Scholar] [CrossRef]
  38. Camara, B.S.; Camara, F.; Berthe, A.; Oswald, A. Micro-Dosing of Fertilizer—A Technology for Farmers’ Needs and Resources. Int. J. AgriSci. 2013, 3, 387–399. [Google Scholar]
  39. Fatondji, D.; Martius, C.; Bielders, C.L.; Vlek, P.L.G.; Bationo, A.; Gerard, B. Effect of Planting Technique and Amendment Type on Pearl Millet Yield, Nutrient Uptake, and Water Use on Degraded Land in Niger. Nutr. Cycl. Agroecosyst. 2006, 76, 203–217. [Google Scholar] [CrossRef] [Green Version]
  40. Sawadogo-Kaboré, S.; Fosu, M.; Tabo, R.; Kanton, R.; Buah, S.; Bationo, A.; Ouédraogo, S.; Pale, S.; Bonzi, M.; Ouattara, K. Improving Crop Productivity and Farmer Income Using Fertilizer Microdosing and the Warrantage System in the Volta Basin. In Fighting Poverty through Sustainable Water Use, Proceedings of the CGIAR Challenge Program on Water and Food 2nd International Forum on Water and Food, Addis Ababa, Ethiopia, 10–14 November 2008; IDEAS: London, UK, 2009; Volume 3, p. 135. [Google Scholar]
  41. Traore, K.; Sidibe, D.K.; Coulibaly, H.; Bayala, J. Optimizing Yield of Improved Varieties of Millet and Sorghum under Highly Variable Rainfall Conditions Using Contour Ridges in Cinzana, Mali. Agric. Food Secur. 2017, 6, 11. [Google Scholar] [CrossRef] [Green Version]
  42. Birhanu, B.Z.; Traoré, K.; Gumma, M.K.; Badolo, F.; Tabo, R.; Whitbread, A.M. A Watershed Approach to Managing Rainfed Agriculture in the Semiarid Region of Southern Mali: Integrated Research on Water and Land Use. Environ. Dev. Sustain. 2018, 21, 2459–2485. [Google Scholar] [CrossRef] [Green Version]
  43. Wildemeersch, J.C.J.; Garba, M.; Sabiou, M.; Sleutel, S.; Cornelis, W. The Effect of Water and Soil Conservation (WSC) on the Soil Chemical, Biological, and Physical Quality of a Plinthosol in Niger. Land Degrad. Dev. 2015, 26, 773–783. [Google Scholar] [CrossRef]
  44. Falconnier, G.N.; Descheemaeker, K.; Van Mourik, T.A.; Sanogo, O.M.; Giller, K.E. Understanding Farm Trajectories and Development Pathways: Two Decades of Change in Southern Mali. Agric. Syst. 2015, 139, 210–222. [Google Scholar] [CrossRef] [Green Version]
  45. Zougmoré, R.; Jalloh, A.; Tioro, A. Climate-Smart Soil Water and Nutrient Management Options in Semiarid West Africa: A Review of Evidence and Analysis of Stone Bunds and Zaï Techniques. Agric. Food Secur. 2014, 3, 1–8. [Google Scholar] [CrossRef] [Green Version]
  46. Giller, K.E.; Tittonell, P.; Rufino, M.C.; van Wijk, M.T.; Zingore, S.; Mapfumo, P.; Adjei-Nsiah, S.; Herrero, M.; Chikowo, R.; Corbeels, M.; et al. Communicating Complexity: Integrated Assessment of Trade-Offs Concerning Soil Fertility Management within African Farming Systems to Support Innovation and Development. Agric. Syst. 2011, 104, 191–203. [Google Scholar] [CrossRef]
  47. Falconnier, G.N.; Descheemaeker, K.; Traore, B.; Bayoko, A.; Giller, K.E. Agricultural Intensification and Policy Interventions: Exploring Plausible Futures for Smallholder Farmers in Southern Mali. Land Use Policy 2018, 70 (Suppl. C), 623–634. [Google Scholar] [CrossRef] [Green Version]
  48. Schuler, J.; Voss, A.K.; Ndah, H.T.; Traore, K.; de Graaff, J. A Socioeconomic Analysis of the Zaï Farming Practice in Northern Burkina Faso. Agroecol. Sustain. Food Syst. 2016, 40, 988–1007. [Google Scholar] [CrossRef]
  49. Sidibé, A. Farm-Level Adoption of Soil and Water Conservation Techniques in Northern Burkina Faso. Agric. Water Manag. 2005, 71, 211–224. [Google Scholar] [CrossRef]
  50. Salami, A.; Kamara, A.B.; Brixiova, Z. Smallholder Agriculture in East Africa: Trends, Constraints and Opportunities; Working Paper Series N° 105; African Development Bank: Tunis, Tunisia, 2010. [Google Scholar]
  51. Benjaminsen, T.A.; Holden, S.; Lund, C.; Sjaastad, E. Formalisation of Land Rights: Some Empirical Evidence from Mali, Niger and South Africa. Land Use Policy 2009, 26, 28–35. [Google Scholar] [CrossRef]
  52. Nolte, K.; Voget-Kleschin, L. Consultation in Large-Scale Land Acquisitions: An Evaluation of Three Cases in Mali. World Dev. 2014. [Google Scholar] [CrossRef]
  53. Kidron, G.J.; Karnieli, A.; Benenson, I. Degradation of Soil Fertility Following Cycles of Cotton–Cereal Cultivation in Mali, West Africa: A First Approximation to the Problem. Soil Tillage Res. 2010, 106, 254–262. [Google Scholar] [CrossRef]
  54. FAO. Climate and Climate Change: Atlas on Regional Integration in West Africa; ECOWAS-SWAC/OECD: Abuja, Nigeria, 2008. [Google Scholar]
  55. Watson, V.W.M.; Knight-Manuel, M.G. Challenging Popularized Narratives of Immigrant Youth from West Africa: Examining Social Processes of Navigating Identities and Engaging Civically. Rev. Res. Educ. 2017, 41, 279–310. [Google Scholar] [CrossRef]
  56. Steiner, A.; Aguilar, G.; Bomba, K.; Bonilla, J.P.; Campbell, A.; Echeverria, R.; Gandhi, R.; Hedegaard, C.; Holdorf, D.; Ishii, N. Actions to Transform Food Systems under Climate Change. Wageningen, The Netherlands: CGIAR Research Program on Climate Change; Agriculture and Food Security (CCAFS): Wageningen, The Netherlands, 2020. [Google Scholar]
Publisher’s Note: MDPI stays neutral with regard to jurisdictional claims in published maps and institutional affiliations.

Article Metrics

Citations

Article Access Statistics

Multiple requests from the same IP address are counted as one view.