Three-Echelon Closed-Loop Supply Chain Network Equilibrium under Cap-and-Trade Regulation
Abstract
1. Introduction
- How does the carbon cap on high-emission enterprises affect the production and remanufacturing quantities, product transaction volumes, carbon trading volumes and members’ profits in a CLSCN?
- How does the carbon cap on low-emission enterprises affect the production and remanufacturing quantities, product transaction volumes, carbon trading volumes and members’ profits in a CLSCN?
- How does the collection rate of EOL products affect the equilibrium and carbon trading strategies of a CLSCN?
2. Literature Review
2.1. Equilibrium Decisions in the Closed-Loop Supply Chain Network
2.2. Impact of Cap-and-Trade Regulation on the Decision-Making of Firms
3. Assumptions and Notations
4. Model Formulation
4.1. The Optimal Behavior of Suppliers
4.2. The Optimal Behavior of High-Emission Manufacturers
4.3. The Optimization Behavior for Low-Emission Manufacturers
4.4. The Optimal Condition of Demand Markets
4.5. The Optimal Behavior of Carbon Trading Centers
4.6. The Optimal Behavior of Closed-Loop Supply Chain Networks
5. Numerical Examples
5.1. Numerical Example 1
5.2. Numerical Example 2
5.3. Numerical Example 3
5.4. Numerical Example 4
5.5. Numerical Example 5
6. Managerial Insights
7. Conclusions
Author Contributions
Funding
Institutional Review Board Statement
Informed Consent Statement
Data Availability Statement
Acknowledgments
Conflicts of Interest
References
- Peng, S.H.; Tang, C.; Chen, C.C.; Shieh, M.J.; Huang, L.M.; Chen, W.E. Carbon footprint estimation of reconstruction for a debris flow disaster in a hillside community. In Proceedings of the 2014 International Conference on Civil, Urban and Environmental Engineering (CUEE2014), Beijing, China, 19 August 2014; pp. 269–276. [Google Scholar]
- Zhou, M.; Pan, Y.; Chen, Z.; Chen, X. Environmental resource planning under cap-and-trade: Models for optimization. J. Clean. Prod. 2016, 112, 1582–1590. [Google Scholar] [CrossRef]
- Yu, Y.; Han, X.; Hu, G. Optimal production for manufacturers considering consumer environmental awareness and green subsidies. Int. J. Prod. Econ. 2016, 182, 397–408. [Google Scholar] [CrossRef]
- Michaelowa, A.; Shishlov, I.; Brescia, D. Evolution of international carbon markets: Lessons for the Paris Agreement. Wiley Interdiscip. Rev. Clim. Chang. 2019, 10, e613. [Google Scholar] [CrossRef]
- Xu, L.; Wang, C.; Zhao, J. Decision and coordination in the dual-channel supply chain considering cap-and-trade regulation. J. Clean. Prod. 2018, 197, 551–561. [Google Scholar] [CrossRef]
- Du, S.; Tang, W.; Song, M. Low-carbon production with low-carbon premium in cap-and-trade regulation. J. Clean. Prod. 2016, 134, 652–662. [Google Scholar] [CrossRef]
- Ghosh, P.K.; Manna, A.K.; Dey, J.K.; Kar, S. Supply chain coordination model for green product with different payment strategies: A game theoretic approach. J. Clean. Prod. 2021, 290, 125734. [Google Scholar] [CrossRef]
- Xu, J.; Chen, Y.; Bai, Q. A two-echelon sustainable supply chain coordination under cap-and-trade regulation. J. Clean. Prod. 2016, 135, 42–56. [Google Scholar] [CrossRef]
- Sabzevar, N.; Enns, S.T.; Bergerson, J.; Kettunen, J. Modeling competitive firms’ performance under price-sensitive demand and cap-and-trade emissions constraints. Int. J. Prod. Econ. 2017, 184, 193–209. [Google Scholar] [CrossRef]
- Zhao, X.G.; Jiang, G.W.; Nie, D.; Chen, H. How to improve the market efficiency of carbon trading: A perspective of China. Renew. Sustain. Energy Rev. 2016, 59, 1229–1245. [Google Scholar] [CrossRef]
- Zhang, Z. Carbon emissions trading in China: The evolution from pilots to a nationwide scheme. Clim. Policy 2015, 15 (Suppl. S1), S104–S126. [Google Scholar] [CrossRef]
- He, R.; Xiong, Y.; Lin, Z. Carbon emissions in a dual channel closed loop supply chain: The impact of consumer free riding behavior. J. Clean. Prod. 2016, 134, 384–394. [Google Scholar] [CrossRef]
- Zhang, Y.; Guo, C.; Wang, L. Supply Chain Strategy Analysis of Low Carbon Subsidy Policies Based on Carbon Trading. Sustainability 2020, 12, 3532. [Google Scholar] [CrossRef]
- Souza, G.C. Closed-Loop Supply Chains: A Critical Review, and Future Research. Decis. Sci. 2013, 44, 7–38. [Google Scholar] [CrossRef]
- Govindan, K.; Soleimani, H.; Kannan, D. Reverse logistics and closed-loop supply chain: A comprehensive review to explore the future. Eur. J. Oper. Res. 2015, 240, 603–626. [Google Scholar] [CrossRef]
- Tao, Z.G.; Guang, Z.Y.; Hao, S.; Song, H.J. Multi-period closed-loop supply chain network equilibrium with carbon emission constraints. Resour. Conserv. Recycl. 2015, 104, 354–365. [Google Scholar] [CrossRef]
- Nagurney, A.; Dong, J.; Zhang, D. A supply chain network equilibrium model. Transport. Res. Part E Logist. Transp. Rev. 2002, 38, 281–303. [Google Scholar] [CrossRef]
- Kalantari-Kohbanani, S.S.; Esmaeili, M.; Cárdenas-Barrón, L.E.; Tiwari, S.; Shaikh, A.A. A sustainable closed-loop supply chain in a two-period: A game theory approach. Eur. J. Ind. Eng. 2021, 15, 226–249. [Google Scholar] [CrossRef]
- Nishi, T.; Yoshida, O. Optimization of Multi-period Bilevel Supply Chains under Demand Uncertainty. Procedia CIRP 2016, 41, 508–513. [Google Scholar] [CrossRef][Green Version]
- Wang, L.; Xu, T.; Qin, L. A Study on Supply Chain Emission Reduction Level Based on Carbon Tax and Consumers’ Low-Carbon Preferences under Stochastic Demand. Math. Probl. Eng. 2019, 2019, 1621395. [Google Scholar] [CrossRef]
- Huang, M.; Song, M.; Lee, L.H.; Ching, W.K. Analysis for strategy of closed-loop supply chain with dual recycling channel. Int. J. Prod. Econ. 2013, 144, 510–520. [Google Scholar] [CrossRef]
- Wang, Z.; Huo, J.; Duan, Y. Impact of government subsidies on pricing strategies in reverse supply chains of waste electrical and electronic equipment. Waste Manag. 2019, 95, 440–449. [Google Scholar] [CrossRef]
- Yılmaz, Ö.F.; Özçelik, G.; Yeni, F.B. Ensuring sustainability in the reverse supply chain in case of the ripple effect: A two-stage stochastic optimization model. J. Clean. Prod. 2021, 282, 124548. [Google Scholar] [CrossRef]
- Diabat, A.; Jebali, A. Multi-product and multi-period closed loop supply chain network design under take-back legislation. Int. J. Prod. Econ. 2021, 231, 107879. [Google Scholar] [CrossRef]
- Sarkar, B.; Sarkar, M.; Ganguly, B.; Cárdenas-Barrón, L.E. Combined effects of carbon emission and production quality improvement for fixed lifetime products in a sustainable supply chain management. Int. J. Prod. Econ. 2021, 231, 107867. [Google Scholar] [CrossRef]
- Yang, G.; Wang, Z.; Li, X. The optimization of the closed-loop supply chain network. Transport. Res. Part E Logist. Transp. Rev. 2009, 45, 16–28. [Google Scholar] [CrossRef]
- Qiang, Q.; Ke, K.; Anderson, T.; Dong, J. The closed-loop supply chain network with competition, distribution channel investment, and uncertainties. Omega 2013, 41, 186–194. [Google Scholar] [CrossRef]
- Qiang, Q.P. The closed-loop supply chain network with competition and design for remanufactureability. J. Clean. Prod. 2015, 105, 348–356. [Google Scholar] [CrossRef]
- Hamdouch, Y.; Qiang, Q.P.; Ghoudi, K. A closed-loop supply chain equilibrium model with random and price-sensitive demand and return. Netw. Spat. Econ. 2017, 17, 459–503. [Google Scholar] [CrossRef]
- Chan, C.K.; Zhou, Y.; Wong, K.H. A dynamic equilibrium model of the oligopolistic closed-loop supply chain network under uncertain and time-dependent demands. Transport. Res. Part E Logist. Transp. Rev. 2018, 118, 325–354. [Google Scholar] [CrossRef]
- Wang, W.; Zhang, P.; Ding, J.; Li, J.; Sun, H.; He, L. Closed-loop supply chain network equilibrium model with retailer-collection under legislation. J. Ind. Manag. Optim. 2019, 15, 191–199. [Google Scholar] [CrossRef]
- Fu, R.; Qiang, Q.P.; Ke, K.; Huang, Z. Closed-loop supply chain network with interaction of forward and reverse logistics. Sustain. Prod. Consum. 2021, 27, 737–752. [Google Scholar] [CrossRef]
- Zhao, R.; Neighbour, G.; Han, J.; McGuire, M.; Deutz, P. Using game theory to describe strategy selection for environmental risk and carbon emissions reduction in the green supply chain. J. Loss Prev. Process Ind. 2012, 25, 927–936. [Google Scholar] [CrossRef]
- Shi, Y.; Zhang, Z.; Chen, S.C.; Cárdenas-Barrón, L.E.; Skouri, K. Optimal replenishment decisions for perishable products under cash, advance, and credit payments considering carbon tax regulations. Int. J. Prod. Econ. 2019, 223, 107514. [Google Scholar] [CrossRef]
- Tong, W.; Mu, D.; Zhao, F.; Mendis, G.P.; Sutherland, J.W. The impact of cap-and-trade mechanism and consumers’ environmental preferences on a retailer-led supply Chain. Resour. Conserv. Recycl. 2019, 142, 88–100. [Google Scholar] [CrossRef]
- De-la-Cruz-Márquez, C.G.; Cárdenas-Barrón, L.E.; Mandal, B. An Inventory Model for Growing Items with Imperfect Quality When the Demand Is Price Sensitive under Carbon Emissions and Shortages. Math. Probl. Eng. 2021, 2021, 6649048. [Google Scholar] [CrossRef]
- Chang, X.; Xia, H.; Zhu, H.; Fan, T.; Zhao, H. Production decisions in a hybrid manufacturing–remanufacturing system with carbon cap and trade mechanism. Int. J. Prod. Econ. 2015, 162, 160–173. [Google Scholar] [CrossRef]
- Sarkar, B.; Guchhait, R.; Sarkar, M.; Cárdenas-Barrón, L.E. How does an industry manage the optimum cash flow within a smart production system with the carbon footprint and carbon emission under logistics framework? Int. J. Prod. Econ. 2019, 213, 243–257. [Google Scholar] [CrossRef]
- Ji, J.; Zhang, Z.; Yang, L. Carbon emission reduction decisions in the retail-/dual-channel supply chain with consumers’ preference. J. Clean. Prod. 2017, 141, 852–867. [Google Scholar] [CrossRef]
- Kushwaha, S.; Ghosh, A.; Rao, A.K. Collection activity channels selection in a reverse supply chain under a carbon cap-and-trade regulation. J. Clean. Prod. 2020, 260, 121034. [Google Scholar] [CrossRef]
- Allevi, E.; Gnudi, A.; Konnov, I.V.; Oggioni, G. Evaluating the effects of environmental regulations on a closed-loop supply chain network: A variational inequality approach. Ann. Oper. Res. 2018, 261, 1–43. [Google Scholar] [CrossRef]
- Krikke, H. Impact of closed-loop network configurations on carbon footprints: A case study in copiers. Resour. Conserv. Recycl. 2011, 55, 1196–1205. [Google Scholar] [CrossRef]




| Literature Reference | Research Emphasis | Supply Chain Structure | Low-Carbon Policy | Contribution |
|---|---|---|---|---|
| [5,8,13,20,33,35,39] | Impact of emission policy on firms’ decision-making | Forward supply chain | Carbon tax, CAT, consumer low-carbon preferences | Incorporate low-carbon policy into operations-related issues |
| [12,37,40] | Impact of low-carbon policy on behavior of different decision-makers in a CLSC | CLSC | CAT regulation, consumer environmental preferences | Incorporate CAT regulation into decisions and coordination in a CLSC |
| [16,41] | Impact of environmental regulations on a CLSCN | CLSCN | mandatory carbon emission policies, CAT regulation | Study the equilibrium of CLSCN under CAT and carbon tax regulations |
| [18,21,22] | Game models in a CLSC from different perspectives | CLSC | / | Study the CLSC equilibrium problem in a Stackelberg game manner |
| [19] | Behaviors of decision-makers | Forward supply chain | / | Analyzes the optimal decision of enterprises in a forward supply chain |
| [23,24,25] | The optimization models for a CLSC from different perspectives | CLSC | / | Examine the issues of ripple effect, take-back legislation and quality improvement on optimal decisions in a CLSC |
| [26,27,28,29,30,31,32] | Impact of EOL products’ collection and remanufacturing on firms’ decision-making | CLSCN | / | Study the equilibrium of CLSCN |
| Current study | Impacts of emission policy and decision modes on profits and emissions | Multi-echelon CLSCN | CAT regulation | Includes both carbon trading and product trading subnets in the CLSCN model |
| Model Parameters |
|---|
| : a classic supplier, ; |
| : a classic high-emission manufacturer, ; |
| : a classic low-emission manufacturer, ; |
| : a classic demand market, ; |
| : is the carbon emission cap of supplier , is the carbon emission cap of low-emission manufacturer , and is the carbon emission cap of high-emission manufacturer , which is distributed by the government free of charge; |
| : the conversion rate of raw materials; |
| : the commission fee charged by the carbon trading center when high- and low-emission enterprises trade, and it is an exogenous variable; |
| : the carbon trading price for a unit of carbon traded between high- and low-emission enterprises; |
| : is the carbon emission quantity per unit raw material produced by supplier ; is the carbon emission quantity per unit product produced by low-emission manufacturer ; and is the carbon emission quantity per unit product produced by high-emission manufacturer ; |
| : is the carbon emission quantity per unit product produced by low-emission manufacturer i in the process of remanufacturing, and is the carbon emission quantity per unit product produced by high-emission manufacturer in the process of remanufacturing; |
| : the collection rate at which EOL products are collected from demand market , and the minimum amount of EOL products that the government requires manufacturers to collect as a percentage of their sales; |
| : the remanufacturing conversion rate of collected EOL products; |
| : , the price of raw materials charged by supplier in a transaction with low-emission manufacturer ; , the price of raw materials charged by supplier in a transaction with high-emission manufacturer ; |
| : , the sales price set by low-emission manufacturer in demand market ; , the sales price set by high-emission manufacturer in demand market ; |
| : , the price that consumers in demand market pay for low-emission manufacturer ’s products, ; : , the price that consumers in demand market pay for high-emission manufacturer ’s products, ; |
| : , the transaction price of EOL products paid by low-emission manufacturer ; , the transaction price of EOL products paid by high-emission manufacturer . |
| Decision variables |
| : the total transaction quantity of raw materials supplied by supplier to both types of manufacturers, ; |
| : , the quantity of raw materials supplied by supplier to low-emission manufacturer , ; , the quantity of raw materials supplied by supplier to high-emission manufacturer , ; |
| : , the transaction quantity sold by low-emission manufacturer to consumers in demand market , ; , the transaction quantity sold by high-emission manufacturer to consumers in demand market , ; |
| : , the quantity of new products made from raw materials by low-emission manufacturer , ; , the quantity of new products made from raw materials by high-emission manufacturer , ; |
| : , the transaction quantity of EOL products between demand market and low-emission manufacturer , ; , the transaction quantity of EOL products between demand market and high-emission manufacturer, ; |
| : , the carbon emission quantity purchased by supplier from the carbon trading center, ; , the carbon emission quantity purchased by high-emission manufacturer from the carbon trading center, ; , the carbon emission quantity sold by low-emission manufacturer in the carbon trading center, . |
| Function symbols |
| : the cost function of producing the raw materials required by both types of manufacturers; |
| : , the production cost function of new products by low-emission manufacturer ; , the production cost function of new products by high-emission manufacturer ; |
| : , the remanufacturing cost function of low-emission manufacturer ; , the remanufacturing cost function of high-emission manufacturer ; |
| : , the transaction cost function borne by supplier transacting with low-emission manufacturer ; , the transaction cost function borne by supplier transacting with high-emission manufacturer ; |
| : , the cost function borne by low-emission manufacturer in the transaction process with supplier ; , the cost function borne by high-emission manufacturer in the transaction process with supplier ; |
| : , the trading cost function borne by low-emission manufacturer in the process of selling products in demand market ; , the trading cost function borne by high-emission manufacturer in the process of selling products in demand market ; |
| : , the cost function borne by consumers in the process of purchasing products from low-emission manufacturer ; , the cost function borne by consumers in the process of purchasing products from high-emission manufacturer ; |
| : , the disposal cost function of EOL products for low-emission manufacturer ; , the disposal cost function of EOL products for high-emission manufacturer ; |
| : , the cost function borne by the carbon trading center in the carbon trading process with supplier ; , the cost function borne by the carbon trading center in the carbon trading process with low-emission manufacturer ; , the cost function borne by the carbon trading center in the carbon trading process with high-emission manufacturer ; |
| : , the demand function in demand market for the products of low-emission manufacturer ; , the demand function of demand market for the products of high-emission manufacturer . The approach in this paper differs from that in Tao et al. [16] because, in order to reflect the assumptions that there is substitution relationship of the product in the demand market, the product demand of one type manufacturer generally depends not only on the prices of this type manufacturers’ products, but also on the prices of the other type manufacturers’ products in the market. |
| : , the disutility function of consumers in demand market when returning the EOL products to low-emission manufacturer ; , the disutility function of consumers in demand market when returning the EOL products to high-emission manufacturer . The disutility function is a monotonically increasing function of , i.e., the more EOL products the consumers return to the manufacturers, the more disutility they have. |
| 4 | 4.5 | 5 | 5.5 | 6 | 6.5 | 7 | |
| 4 | 4.5 | 5 | 5.5 | 6 | 6.5 | 7 | |
| 13.4364 | 14.1477 | 14.8594 | 15.5714 | 16.2838 | 16.9966 | 17.7098 | |
| 2.2585 | 2.5019 | 2.7449 | 2.9877 | 3.2301 | 3.4723 | 3.7141 | |
| 4.4597 | 4.572 | 4.6847 | 4.798 | 4.9118 | 5.026 | 5.1407 | |
| 2.6536 | 2.9395 | 3.2251 | 3.5103 | 3.7952 | 4.0797 | 4.3639 | |
| 5.2399 | 5.3718 | 5.5043 | 5.6373 | 5.771 | 5.9052 | 6.04 | |
| 2.0327 | 2.2517 | 2.4704 | 2.6889 | 2.9071 | 3.1251 | 3.3427 | |
| 4.0137 | 4.1148 | 4.2163 | 4.3182 | 4.4206 | 4.5234 | 4.6267 | |
| 0.6899 | 0.7643 | 0.8385 | 0.9127 | 0.9868 | 1.0607 | 1.1346 | |
| 1.3624 | 1.3967 | 1.4311 | 1.4657 | 1.5005 | 1.5354 | 1.5704 | |
| 0.0619 | 0.4886 | 0.9156 | 1.3428 | 1.7703 | 2.198 | 2.6259 | |
| 0.5217 | 0.509 | 0.4956 | 0.4816 | 0.467 | 0.4518 | 0.4361 | |
| 0.5836 | 0.9976 | 1.4112 | 1.8245 | 2.2373 | 2.6498 | 3.0619 | |
| 280.7992 | 281.4216 | 280.9094 | 279.2488 | 276.4261 | 272.4277 | 267.2399 | |
| 115.124 | 121.9738 | 127.4861 | 131.6472 | 134.4436 | 135.862 | 135.8889 | |
| 74.4378 | 75.6323 | 76.8596 | 78.1218 | 79.421 | 80.7595 | 82.1393 | |
| 15.1259 | 25.8473 | 36.5309 | 47.1768 | 57.7852 | 68.3562 | 78.8901 |
| 7 | 7.5 | 8 | 8.5 | 9 | 9.5 | 10 | |
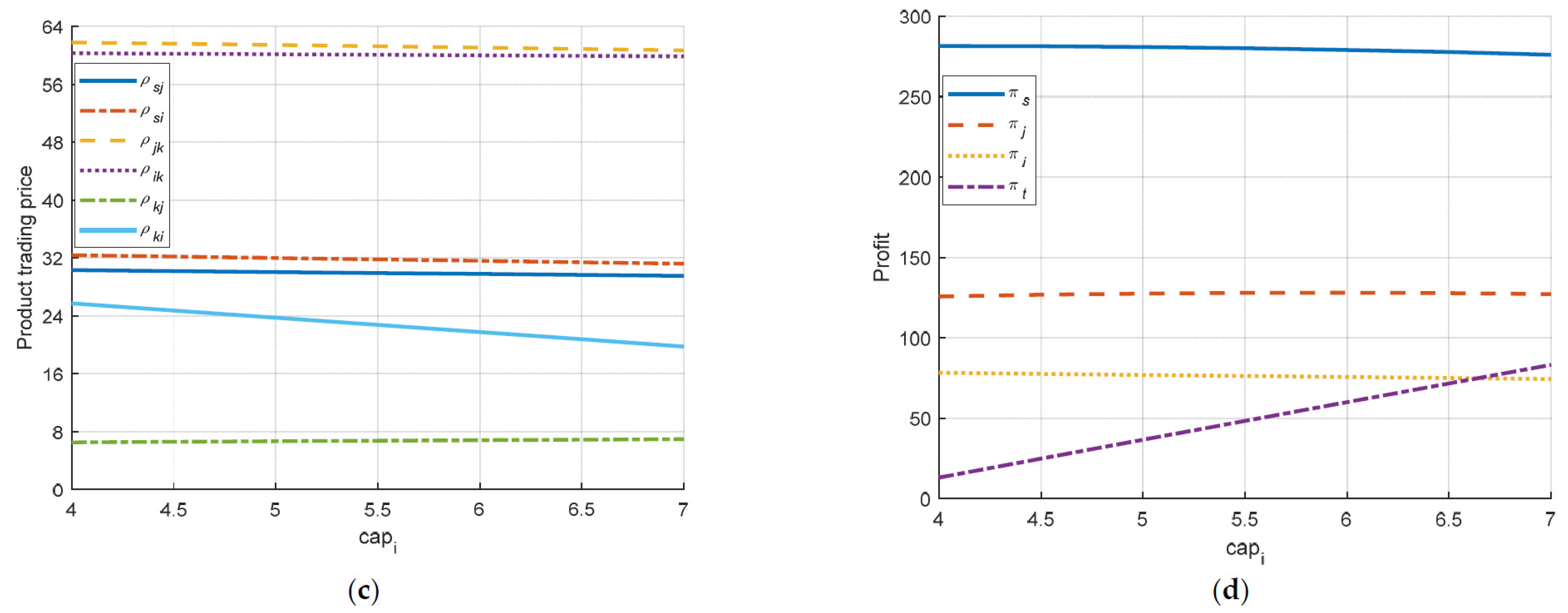
| 4 | 4.5 | 5 | 5.5 | 6 | 6.5 | 7 | |
| 13.4374 | 14.1482 | 14.8594 | 15.5709 | 16.2829 | 16.9952 | 17.7079 | |
| 2.2578 | 2.5015 | 2.7449 | 2.9881 | 3.2309 | 3.4734 | 3.7156 | |
| 4.4609 | 4.5726 | 4.6847 | 4.7974 | 4.9106 | 5.0242 | 5.1384 | |
| 2.6527 | 2.9391 | 3.2251 | 3.5108 | 3.7961 | 4.081 | 4.3656 | |
| 5.2413 | 5.3725 | 5.5043 | 5.6366 | 5.7696 | 5.9031 | 6.0372 | |
| 2.032 | 2.2514 | 2.4704 | 2.6893 | 2.9078 | 3.126 | 3.344 | |
| 4.0148 | 4.1153 | 4.2163 | 4.3177 | 4.4195 | 4.5218 | 4.6245 | |
| 0.6897 | 0.7642 | 0.8385 | 0.9128 | 0.987 | 1.0611 | 1.1351 | |
| 1.3627 | 1.3968 | 1.4311 | 1.4655 | 1.5001 | 1.5348 | 1.5697 | |
| 1.0624 | 0.9889 | 0.9156 | 0.8426 | 0.7697 | 0.6971 | 0.6248 | |
| 0.5202 | 0.5082 | 0.4956 | 0.4824 | 0.4685 | 0.454 | 0.439 | |
| 1.5827 | 1.4971 | 1.4112 | 1.3249 | 1.2382 | 1.1512 | 1.0637 | |
| 30.5599 | 30.3116 | 30.0573 | 29.7968 | 29.5304 | 29.2579 | 28.9794 | |
| 32.7631 | 32.3827 | 31.9971 | 31.6062 | 31.2101 | 30.8087 | 30.4021 | |
| 62.1155 | 61.779 | 61.4266 | 61.0582 | 60.6739 | 60.2738 | 59.8579 | |
| 60.4221 | 60.2856 | 60.1447 | 59.9995 | 59.8498 | 59.6957 | 59.5372 | |
| 6.3794 | 6.5283 | 6.6771 | 6.8256 | 6.974 | 7.1221 | 7.2701 | |
| 27.5442 | 25.6547 | 23.7549 | 21.8451 | 19.9251 | 17.995 | 16.0548 | |
| 273.4611 | 277.7559 | 280.9094 | 282.9079 | 283.7377 | 283.385 | 281.8364 | |
| 115.069 | 121.946 | 127.4861 | 131.6755 | 134.5007 | 135.9483 | 136.0048 | |
| 69.0652 | 72.9477 | 76.8596 | 80.8031 | 84.7803 | 88.7934 | 92.8445 | |
| 40.9495 | 38.7458 | 36.5309 | 34.3049 | 32.068 | 29.8202 | 27.5617 |
| 0.14 | 0.18 | 0.22 | 0.26 | 0.3 | 0.34 | 0.38 | 0.42 | |
| 15.8464 | 15.5298 | 15.2014 | 14.8594 | 14.5011 | 14.1241 | 13.7252 | 13.3333 | |
| 3.1819 | 3.0362 | 2.8903 | 2.7449 | 2.6013 | 2.4605 | 2.3235 | 2.1689 | |
| 4.7413 | 4.7287 | 4.7105 | 4.6847 | 4.6492 | 4.6015 | 4.539 | 4.4977 | |
| 3.2766 | 3.2609 | 3.2434 | 3.2251 | 3.2071 | 3.1909 | 3.1781 | 3.1383 | |
| 4.8823 | 5.0785 | 5.2861 | 5.5043 | 5.7319 | 5.9674 | 6.2084 | 6.508 | |
| 2.8637 | 2.7326 | 2.6012 | 2.4704 | 2.3412 | 2.2145 | 2.0912 | 1.952 | |
| 4.2671 | 4.2558 | 4.2394 | 4.2163 | 4.1843 | 4.1414 | 4.0851 | 4.048 | |
| 0.4587 | 0.587 | 0.7136 | 0.8385 | 0.9621 | 1.0849 | 1.2077 | 1.3181 | |
| 0.6835 | 0.9141 | 1.1629 | 1.4311 | 1.7196 | 2.0289 | 2.3592 | 2.7334 | |
| 1.5079 | 1.3179 | 1.1209 | 0.9156 | 0.7007 | 0.4744 | 0.2351 | 0 | |
| 0.426 | 0.4522 | 0.4749 | 0.4956 | 0.5162 | 0.5393 | 0.568 | 0.5485 | |
| 1.9339 | 1.7701 | 1.5958 | 1.4112 | 1.2169 | 1.0138 | 0.8031 | 0.5485 | |
| 28.122 | 28.8112 | 29.458 | 30.0573 | 30.6033 | 31.0896 | 31.5089 | 30.7291 | |
| 29.6813 | 30.5036 | 31.2782 | 31.9971 | 32.6512 | 33.2306 | 33.7244 | 33.058 | |
| 61.4114 | 61.4156 | 61.421 | 61.4266 | 61.431 | 61.4326 | 61.4295 | 61.4545 | |
| 59.5213 | 59.8926 | 60.1093 | 60.1447 | 59.9703 | 59.5562 | 58.8721 | 57.2285 | |
| 5.9174 | 6.1739 | 6.4271 | 6.6771 | 6.9243 | 7.1698 | 7.4154 | 7.6362 | |
| 16.9854 | 19.2771 | 21.5355 | 23.7549 | 25.9294 | 28.0518 | 30.1143 | 33.2112 | |
| 63.485 | 63.4789 | 63.473 | 63.4667 | 63.4595 | 63.4508 | 63.4395 | 63.4394 | |
| 71.8764 | 71.7448 | 71.6057 | 71.4594 | 71.3066 | 71.1485 | 70.9863 | 70.7866 | |
| 251.3352 | 262.5628 | 272.4581 | 280.9094 | 287.7928 | 292.9736 | 296.3093 | 283.5147 | |
| 106.6208 | 113.5572 | 120.5188 | 127.4861 | 134.4528 | 141.4295 | 148.446 | 159.9753 | |
| 55.6065 | 64.666 | 71.9188 | 76.8596 | 78.8839 | 77.2889 | 71.2853 | 54.7366 | |
| 162.2273 | 178.2232 | 192.4376 | 204.3457 | 213.3367 | 218.7184 | 219.7313 | 214.7119 |
Publisher’s Note: MDPI stays neutral with regard to jurisdictional claims in published maps and institutional affiliations. |
© 2021 by the authors. Licensee MDPI, Basel, Switzerland. This article is an open access article distributed under the terms and conditions of the Creative Commons Attribution (CC BY) license (https://creativecommons.org/licenses/by/4.0/).
Share and Cite
Zhang, G.; Zhang, X.; Sun, H.; Zhao, X. Three-Echelon Closed-Loop Supply Chain Network Equilibrium under Cap-and-Trade Regulation. Sustainability 2021, 13, 6472. https://doi.org/10.3390/su13116472
Zhang G, Zhang X, Sun H, Zhao X. Three-Echelon Closed-Loop Supply Chain Network Equilibrium under Cap-and-Trade Regulation. Sustainability. 2021; 13(11):6472. https://doi.org/10.3390/su13116472
Chicago/Turabian StyleZhang, Guitao, Xiao Zhang, Hao Sun, and Xinyu Zhao. 2021. "Three-Echelon Closed-Loop Supply Chain Network Equilibrium under Cap-and-Trade Regulation" Sustainability 13, no. 11: 6472. https://doi.org/10.3390/su13116472
APA StyleZhang, G., Zhang, X., Sun, H., & Zhao, X. (2021). Three-Echelon Closed-Loop Supply Chain Network Equilibrium under Cap-and-Trade Regulation. Sustainability, 13(11), 6472. https://doi.org/10.3390/su13116472

