Ecosystem Based Adaptation: Concept and Terminology in Strategic Adaptation Planning (Municipal and Inter-Municipal) in Portugal
Abstract
1. Introduction
- How is the EbA concept referred to in the strategies and plans?
- What are the thematic sections of the strategies and plans that refer to the EbA concept?
2. Materials and Methods
2.1. Selection of Documents to Be Analyzed
2.2. Analysis of Strategies and Plans
- Quantitative content analysis based on EbA keywords (words used to describe EbA from the literature review)—ecosystem-based, ecosystem, ecosystem service, environmental service, biodiversity, biological diversity, green infrastructure, green structure [18] and green area—and comparison with the quantitative content analysis, based on the EbA keywords, of the EU Adaptation Strategy (2013). The EU Adaptation Strategy comprises a set of documents that were analyzed (COM216, SWD131, SWD133, SWD136, SWD137, SWD138, COM213) (https://ec.europa.eu/clima/policies/adaptation/what_en#tab-0-1, accessed on 22 February 2021) excluding documents referring to technical guides and guidelines SWD134, SWD135, SWD139 and SWD132. Each document was analyzed for the presence of keywords and the number of mentions was quantified.
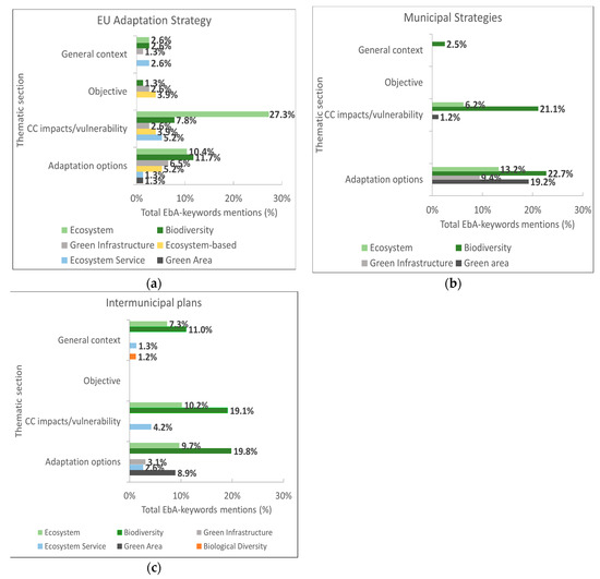
- Analysis of the EbA keywords context, associating the EbA keywords to the thematic section identified in the analyzed documents in order to identify in which context they are used. In this sense, the quantification of the number of mentions is used for each of the EbA keywords inserted in the thematic sections identified in the strategic documents. The thematic sections that were identified in the documents are: general context (framing the theme of climate change, local characterization), objectives (objectives and strategic vision), climate change (cc) impact/vulnerability (projected climate changes; observed and projected climate impacts and vulnerabilities) and adaptation options (adaptation options that allow responding to vulnerabilities and climate risks—current and future). Comparison with the EU’s adaptation strategy (2013).
3. Results
4. Discussion
4.1. The Use of the EbA Concept in Strategic Adaptation Planning Documents
4.2. Strengthen Explicit Adoption of the EbA Concept in Strategic Adaptation Planning
5. Conclusions
Author Contributions
Funding
Institutional Review Board Statement
Informed Consent Statement
Data Availability Statement
Acknowledgments
Conflicts of Interest
Appendix A
| Strategic Document Type | Name | Year | Coordination |
|---|---|---|---|
| PIAAC | Plano Intermunicipal de Adaptação às Alterações Climáticas da CIM-Região de Coimbra https://www.cim-regiaodecoimbra.pt/wp-content/uploads/2018/10/PIAAC-CIM-RC-vers%C3%A3o-web.pdf (accessed on 8 February 2021) | 2017 | CEF and CEGOT from University of Coimbra |
| PIAAC | Plano Intermunicipal de Adaptação às Alterações Climáticas-Alentejo Central https://www.cimac.pt/wp-content/uploads/2020/12/PIAAC_AC-Relatorio-Final.pdf (accessed on 8 February 2021) | 2017 | CEDRU—Technical consulting company We Consultants (territorial consultancy projects) IGOT from University of Lisbon |
| PIAAC | Plano de Ação Intermunicipal para as Alterações Climáticas do Douro https://www.cimdouro.pt/adapt_clima/files/proposta_paiac.pdf (accessed on 8 February 2021) | 2017 | Inflection Point, Unipessoal Lda (Consultancy for information management, strategic planning and cartography production) |
| PIAAC | Plano Intermunicipal de Adaptação às Alterações Climáticas-Lezíria do Tejo https://www.cimlt.eu/pdf-s/2486-piaaclt-plano-intermunicipal-de-adaptacao-alteracoes-climaticas-lt/file (accessed on 8 February 2021) | 2018 | PROCESL (company specialized in consulting) Matos, Fonseca & Associados, Estudos e Projectos, Lda. (Environmental studies and projects company) |
| PIAAC | Plano Intermunicipal de Adaptação às Alterações Climáticas-Médio do Tejo https://mediotejo.pt/images/CIMT/Areas_de_Intervencao/Alteracoes-Climaticas/PIAAC_MT_Final.pdf(accessed on 8 February 2021) | 2018 | Enhidrica company (environmental engineering consultancy) |
| PIAAC | Plano Intermunicipal de Adaptação às Alterações Climaticas do Algarve https://amal.pt/comunicacao/publicacoes/234-plano-intermunicipal-de-adaptacao-as-alteracoes-climaticas-piaac-amal (accessed on 8 February 2021) | 2019 | CCIAM/cE3c/Faculty of Sciences University of Lisbon CIMA/University Algarve Bentley Systems Portugal (software solutions for engineering and infrastructure) |
| EMAAC | Estratégia Municipal de Adaptação às Alterações climáticas de: Amarante, Barreiro, Braga, Bragança, Castelo Branco, Castelo de Vide, Coruche, Evora, Ferreira do Alentejo, Figueira da Foz, Funchal, Guimarães, Ilhavo, Leiria, Lisboa, Loulé, Mafra, Montalegre, Odemira, Porto, São João da Pesqueira, Seia, Tomar, Tondela, Torres Vedras, Viana do Castelo, Vila Franca do campo. https://apambiente.pt/index.php?ref=16&subref=81&sub2ref=118&sub3ref=395 (accessed on 8 February 2021) | 2016 | Municipal technicians with support from the ClimAdapt.Local project |
References
- Secretariat of the Convention on Biological Diversity. Connecting Biodiversity and Climate Change Mitigation and Adaptation: Report of the Second Ad Hoc Technical Expert Group on Biodiversity and Climate Change. Available online: https://www.cbd.int/doc/publications/cbd-ts-41-en.pdf (accessed on 18 May 2021).
- Hannah Reid, M.A. Community-Based Adaptation to Climate Change: An Overview (PLA 60). Available online: https://pubs.iied.org/G02608 (accessed on 8 February 2021).
- Heenan, A.; Gorospe, K.; Williams, I.; Levine, A.; Maurin, P.; Nadon, M.; Oliver, T.; Rooney, J.; Timmers, M.; Wongbusarakum, S.; et al. Ecosystem Monitoring for Ecosystem-Based Management: Using a Polycentric Approach to Balance Information Trade-Offs. J. Appl. Ecol. 2016, 53, 699–704. [Google Scholar] [CrossRef]
- Jones, H.P.; Hole, D.G.; Zavaleta, E.S. Harnessing Nature to Help People Adapt to Climate Change. Nat. Clim. Chang. 2012, 2, 504–509. [Google Scholar] [CrossRef]
- Munang, R.; Thiaw, I.; Alverson, K.; Goumandakoye, M.; Mebratu, D.; Liu, J. Using Ecosystem-Based Adaptation Actions to Tackle Food Insecurity. Environment 2013, 55, 29–35. [Google Scholar] [CrossRef]
- EC. COMMUNICATION FROM THE COMMISSION TO THE EUROPEAN PARLIAMENT, THE, COUNCIL, THE EUROPEAN ECONOMIC AND SOCIAL COMMITTEE AND THE COMMITTEE OF THE REGIONS. An EU Strategy on Adaptation to Climate Change. COM (2013) 216, Brussels. 2013. Available online: https://ec.europa.eu/transparency/regdoc/rep/1/2013/EN/1-2013-216-EN-F1-1.Pdf (accessed on 8 February 2021).
- EC. COMMUNICATION FROM THE COMMISSION TO THE EUROPEAN PARLIAMENT, THE, COUNCIL, THE EUROPEAN ECONOMIC AND SOCIAL COMMITTEE AND THE COMMITTEE OF THE REGIONS. The European Green Deal. COM (2019) 640 final, Brussels. 2019. Available online: https://eur-lex.europa.eu/legal-content/EN/TXT/?uri=COM:2019:640:FIN (accessed on 8 February 2021).
- Cecchi, C. Towards an EU Research and Innovation Policy Agenda for Nature-Based Solutions & Re-Naturing Cities; Final Report of the Horizon 2020 Expert Group on Nature-Based Solutions and Re-Naturing Cities; Publications Office of the European Union: Luxembourg, 2015. [Google Scholar] [CrossRef]
- FEBA (Friends of Ecosystem-based Adaptation). Making Ecosystem-Based Adaptation Effective: A Framework for Defining Qualification Criteria and Quality Standards (FEBA Technical Paper Developed for UNFCCC-SBSTA 46); Bertram, M., Barrow, E., Blackwood, K., Rizvi, A.R., Reid, H., von Scheliha-Dawid, S., Eds.; GIZ: Bonn, Germany; IIED: London, UK; IUCN: Gland, Switzerland, 2017; p. 14. Available online: https://pubs.iied.org/sites/default/files/pdfs/migrate/G04167.pdf (accessed on 8 February 2021).
- Aguiar, F.C.; Bentz, J.; Silva, J.M.N.; Fonseca, A.L.; Swart, R.; Santos, F.D.; Penha-Lopes, G. Adaptation to Climate Change at Local Level in Europe: An Overview. Environ. Sci. Policy 2018, 86, 38–63. [Google Scholar] [CrossRef]
- Measham, T.G.; Preston, B.L.; Smith, T.F.; Brooke, C.; Gorddard, R.; Withycombe, G.; Morrison, C. Adapting to Climate Change through Local Municipal Planning: Barriers and Challenges. Mitig. Adapt. Strateg. Glob. Chang. 2011, 16, 889–909. [Google Scholar] [CrossRef]
- Picketts, I.M.; Déry, S.J.; Curry, J.A. Incorporating Climate Change Adaptation into Local Plans. J. Environ. Plan. Manag. 2014, 57, 984–1002. [Google Scholar] [CrossRef]
- Climate Adapt. Adaptation Strategies for European Cities Final Report. Available online: https://climate-adapt.eea.europa.eu/repository/11156095.pdf/view (accessed on 18 May 2021).
- Vignola, R.; Locatelli, B.; Martinez, C.; Imbach, P. Ecosystem-Based Adaptation to Climate Change: What Role for Policy-Makers, Society and Scientists? Mitig. Adapt. Strateg. Glob. Chang. 2009, 14, 691. [Google Scholar] [CrossRef]
- Brink, E.; Aalders, T.; Ádám, D.; Feller, R.; Henselek, Y.; Hoffmann, A.; Ibe, K.; Matthey-Doret, A.; Meyer, M.; Negrut, N.L.; et al. Cascades of Green: A Review of Ecosystem-Based Adaptation in Urban Areas. Glob. Environ. Chang. 2016, 36, 111–123. [Google Scholar] [CrossRef]
- Wamsler, C.; Pauleit, S. Making Headway in Climate Policy Mainstreaming and Ecosystem-Based Adaptation: Two Pioneering Countries, Different Pathways, One Goal. Clim. Chang. 2016, 137, 71–87. [Google Scholar] [CrossRef]
- Busch, C.; Paul, S.; Maret, D.; Flynn, T.; Kellum, R.; Le, S.; Meyers, B.; Saunders, M.; White, R.; Palmquist, M. Content Analysis. (1994–2012) Writing@CSU. Colorado State University. Available online: https://writing.colostate.edu/guides/pdfs/guide61.pdf (accessed on 18 February 2021).
- Zölch, T.; Wamsler, C.; Pauleit, S. Integrating the Ecosystem-Based Approach into Municipal Climate Adaptation Strategies: The Case of Germany. J. Clean. Prod. 2018, 170, 966–977. [Google Scholar] [CrossRef]
- Hansen, R.; Frantzeskaki, N.; McPhearson, T.; Rall, E.; Kabisch, N.; Kaczorowska, A.; Kain, J.-H.; Artmann, M.; Pauleit, S. The Uptake of the Ecosystem Services Concept in Planning Discourses of European and American Cities. Ecosyst. Serv. 2015, 12, 228–246. [Google Scholar] [CrossRef]
- Agência Portuguesa do Ambiente. Estratégia Nacional de Adaptação às Alterações Climáticas (ENAAC 2020). Consulta_publica. 2015. Available online: https://www.dge.mec.pt/sites/default/files/ECidadania/Educacao_Ambiental/documentos/enaac_consulta_publica.pdf (accessed on 10 February 2021).
- Daily, G.C. Nature’s Services: Societal Dependence On Natural Ecosystems; Island Press: Washington, DC, USA, 1997. [Google Scholar]
- Costanza, R.; dArge, R.; de Groot, R.; Farber, S.; Grasso, M.; Hannon, B.; Limburg, K.; Naeem, S.; Oneill, R.V.; Paruelo, J.; et al. The value of the world’s ecosystem services and natural capital. Nature 1997, 387, 253–260. [Google Scholar] [CrossRef]
- Albert, C.; Haaren, C.; Galler, C. Ökosystemdienstleistungen–Alter Wein in Neuen Schläuchen Oder Impuls Für Die Landschaftsplanung. Nat. Landsch. 2012, 44, 142–148. [Google Scholar]
- Wamsler, C.; Luederitz, C.; Brink, E. Local Levers for Change: Mainstreaming Ecosystem-Based Adaptation into Municipal Planning to Foster Sustainability Transitions. Glob. Environ. Chang. 2014, 29, 189–201. [Google Scholar] [CrossRef]
- EC, European Commission. Communication from the Commission to the European Parliament, The Council, the European Economic and Social Committee and the Committee of the Regions. Green Infrastructure (GI)—Enhancing Europe’s Natural Capital. COM (2013) 249 Fina. Available online: https://eur-lex.europa.eu/resource.html?uri=cellar:d41348f2-01d5-4abe-b817-4c73e6f1b2df.0014.03/DOC_1&format=PDF (accessed on 11 February 2021).
- Pauleit, S.; Liu, L.; Ahern, J.; Kazmierczak, A. Multifunctional Green Infrastructure Planning to Promote Ecological Services in the City; Oxford University Press: Oxford, UK, 2011. [Google Scholar]
- European Environment Agency. Green Infrastructure and Territorial Cohesion: The Concept of Green Infrastructure and Its Integration into Policies Using Monitoring Systems. EEA Technical Report No. 18/2011. Available online: https://www.eea.europa.eu/themes/publications/green-infrastructure-and-territorial-cohesion (accessed on 11 February 2021).
- De La Barrera, F.; Reyes-Paecke, S.; Banzhaf, E. Indicators for Green Spaces in Contrasting Urban Settings. Ecol. Indic. 2016, 62, 212–219. [Google Scholar] [CrossRef]
- Roberts, D. Prioritizing Climate Change Adaptation and Local Level Resilience in Durban, South Africa. Environ. Urban. 2010, 22, 397–413. [Google Scholar] [CrossRef]
- Wamsler, C.; Niven, L.; Beery, T.; Bramryd, T.; Ekelund, N.; Jönsson, K.I.; Osmani, A.; Palo, T.; Stålhammar, S. Operationalizing Ecosystem-Based Adaptation: Harnessing Ecosystem Services to Buffer Communities against Climate Change. Ecol. Soc. 2016, 21, 31. [Google Scholar] [CrossRef]
- Sprondel, N.; Donner, J.; Mahlkow, N.; Köppel, J. Urban Climate and Heat Stress: How Likely Is the Implementation of Adaptation Measures in Mid-Latitude Cities? The Case of Façade Greening Analyzed with Bayesian Networks. One Ecosyst. 2016, 1, e9280. [Google Scholar] [CrossRef]
- Perini, K.; Ottelé, M.; Fraaij, A.L.A.; Haas, E.M.; Raiteri, R. Vertical Greening Systems and the Effect on Air Flow and Temperature on the Building Envelope. Build. Environ. 2011, 46, 2287–2294. [Google Scholar] [CrossRef]
- Velasco, E.; Roth, M. Cities as Net Sources of CO2: Review of Atmospheric CO2 Exchange in Urban Environments Measured by Eddy Covariance Technique. Geogr. Compass 2010, 4, 1238–1259. [Google Scholar] [CrossRef]
- Solecki, W.D.; Rosenzweig, C. Biodiversity, Biosphere Reserves, and the Big Apple: A Study of the New York Metropolitan Region. Ann. N. Y. Acad. Sci. 2004, 1023, 105–124. [Google Scholar] [CrossRef] [PubMed]
- Van Renterghem, T.; Botteldooren, D. Reducing the Acoustical Façade Load from Road Traffic with Green Roofs. Build. Environ. 2009, 44, 1081–1087. [Google Scholar] [CrossRef]
- Escobedo, F.J.; Kroeger, T.; Wagner, J.E. Urban Forests and Pollution Mitigation: Analyzing Ecosystem Services and Disservices. Environ. Pollut. 2011, 159, 2078–2087. [Google Scholar] [CrossRef] [PubMed]
- Naumann, S.; Anzaldua, G.; Berry, P.; Burch, S.; Davis, M.; Frelih-Larsen, A.; Gerdes, H.; Sanders, M. Assessment of the Potential of Ecosystem-Based Approaches to Climate Change Adaptation and Mitigation in Europe; Final Report to the European Commission, DG Environment. Contract No. 070307/2010/580412/ SER/B2; Ecologic Institute and Environmental Change Institute, Oxford University Centre for the Environment: Oxford, UK, 2011; p. 128. [Google Scholar]
- Salata, K.-D.; Yiannakou, A. The Quest for Adaptation through Spatial Planning and Ecosystem-Based Tools in Resilience Strategies. Sustainability 2020, 12, 5548. [Google Scholar] [CrossRef]
- Bain, P.G.; Milfont, T.L.; Kashima, Y.; Bilewicz, M.; Doron, G.; Garðarsdóttir, R.B.; Gouveia, V.V.; Guan, Y.; Johansson, L.-O.; Pasquali, C.; et al. Co-Benefits of Addressing Climate Change Can Motivate Action around the World. Nat. Clim. Chang. 2016, 6, 154–157. [Google Scholar] [CrossRef]





Publisher’s Note: MDPI stays neutral with regard to jurisdictional claims in published maps and institutional affiliations. |
© 2021 by the authors. Licensee MDPI, Basel, Switzerland. This article is an open access article distributed under the terms and conditions of the Creative Commons Attribution (CC BY) license (https://creativecommons.org/licenses/by/4.0/).
Share and Cite
Cousiño, A.; Penha-Lopes, G. Ecosystem Based Adaptation: Concept and Terminology in Strategic Adaptation Planning (Municipal and Inter-Municipal) in Portugal. Sustainability 2021, 13, 6145. https://doi.org/10.3390/su13116145
Cousiño A, Penha-Lopes G. Ecosystem Based Adaptation: Concept and Terminology in Strategic Adaptation Planning (Municipal and Inter-Municipal) in Portugal. Sustainability. 2021; 13(11):6145. https://doi.org/10.3390/su13116145
Chicago/Turabian StyleCousiño, Ana, and Gil Penha-Lopes. 2021. "Ecosystem Based Adaptation: Concept and Terminology in Strategic Adaptation Planning (Municipal and Inter-Municipal) in Portugal" Sustainability 13, no. 11: 6145. https://doi.org/10.3390/su13116145
APA StyleCousiño, A., & Penha-Lopes, G. (2021). Ecosystem Based Adaptation: Concept and Terminology in Strategic Adaptation Planning (Municipal and Inter-Municipal) in Portugal. Sustainability, 13(11), 6145. https://doi.org/10.3390/su13116145

