Managing the Product-Counterfeiting Problem with a Blockchain-Supported E-Commerce Platform
Abstract
:1. Introduction
- How can one construct an analytical model for related entities in traditional and blockchain-supported supply chains? What are the optimal decisions for these enterprises when they trade in both supply-chain types?
- Compared with the traditional supply chain, how does a blockchain-supported e-commerce platform solve the problem of counterfeit products?
- Blockchain-supported platforms charge the retailer and manufacturer an operating fee for product traceability and authentication. How does this affect the profit of all parties?
2. Literature Review
2.1. Platform Operations
2.2. Blockchain Technology
2.3. Product Counterfeiting Problem in Supply Chains
3. Methodology
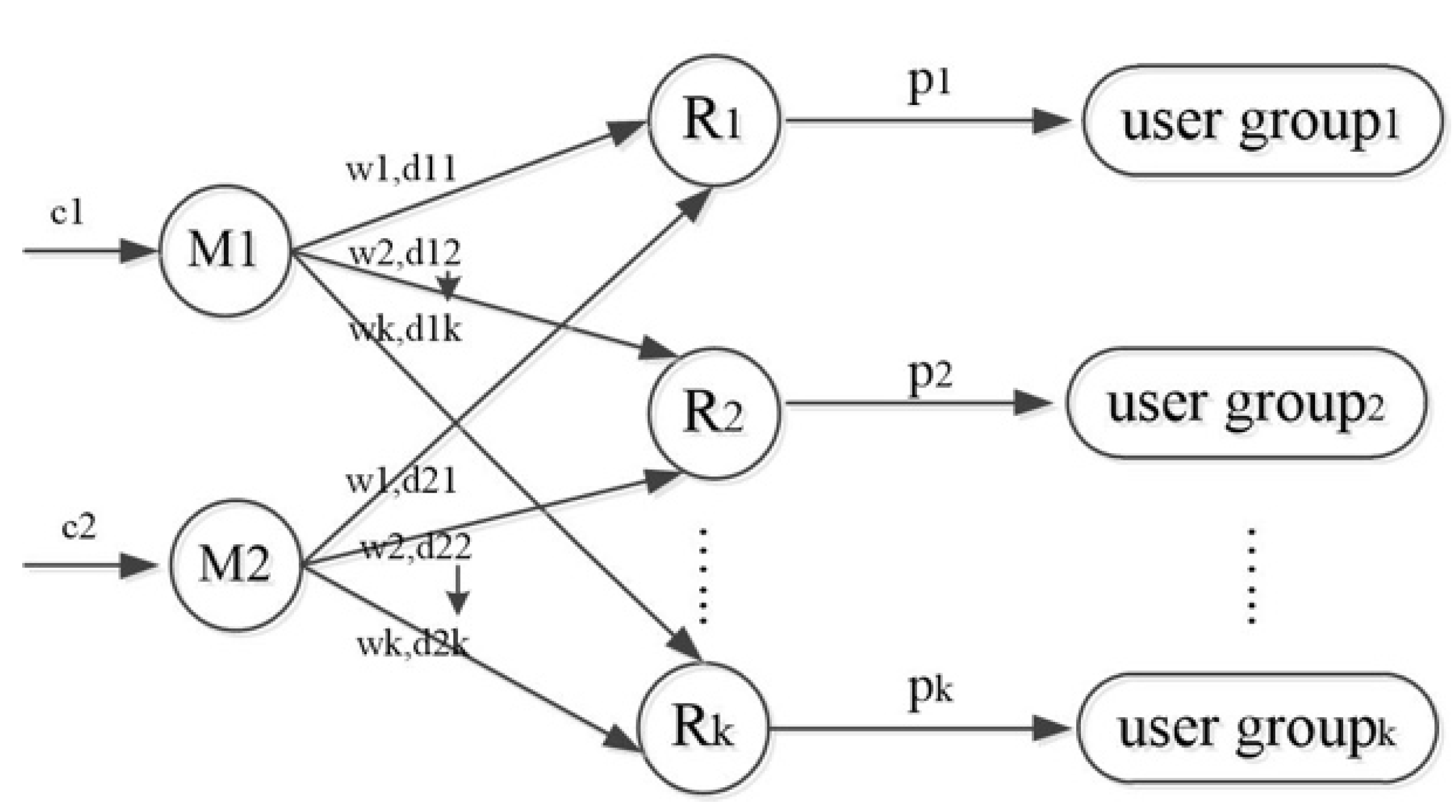
3.1. Transactions in Traditional Supply Chains
3.2. Transactions in a Blockchain-Supported E-Commerce Platform
3.3. Values of a Blockchain-Supported E-Commerce Platform
4. Discussion
4.1. How Can One Construct an Analytical Model for the Related Entities in the Traditional Supply Chain and Blockchain-Supported Supply Chain? What Are the Optimal Decisions for These Enterprises When They Trade in Both Supply Chains?
4.2. Compared with the Traditional Supply Chain, How does a Blockchain-Supported E-Commerce Platform Solve the Problem of Counterfeit Products?
4.3. Blockchain-Supported Platforms Charge the Retailer and Manufacturer an Operating Fee for Product Traceability and Authentication; How Does This Affect the Profit of All Parties?
5. Conclusions
5.1. Concluding Remarks
5.2. Managerial Insights
5.3. Future Studies
Author Contributions
Funding
Acknowledgments
Conflicts of Interest
References
- Chen, J.; Teng, L.; Liu, S.; Zhu, H. Anticipating regret and consumers’ preferences for counterfeit luxury products. J. Bus. Res. 2015, 68, 507–515. [Google Scholar] [CrossRef]
- Romani, S.; Gistri, G.; Pace, S. When counterfeits raise the appeal of luxury brands. Mark. Lett. 2012, 23, 807–824. [Google Scholar] [CrossRef]
- Teodoro, J.A.R.; Pereira, H.V.; Correia, D.N.; Sena, M.M.; Piccin, E.; Augusti, R. Forensic discrimination between authentic and counterfeit perfumes using paper spray mass spectrometry and multivariate supervised classification. Anal. Methods 2017, 9, 4979–4987. [Google Scholar] [CrossRef]
- Bansal, D.; Malla, S.; Gudala, K.; Tiwari, P. Anti-counterfeit technologies: A pharmaceutical industry perspective. Sci. Pharm. 2013, 81, 1–14. [Google Scholar] [CrossRef] [PubMed] [Green Version]
- Stradley, J.; Karraker, D. The electronic part supply chain and risks of counterfeit parts in defense applications. IEEE Trans. Compon. Packag. Technol. 2006, 29, 703–705. [Google Scholar] [CrossRef]
- Cheung, H.H.; Choi, S.H. Implementation issues in RFID-based anti-counterfeiting systems. Comput. Ind. 2011, 62, 708–718. [Google Scholar] [CrossRef]
- Onari, M.A.; Rezaee, M.J. A fuzzy cognitive map based on Nash bargaining game for supplier selection problem: A case study on auto parts industry. Oper. Res. 2020. [Google Scholar] [CrossRef]
- Schaede, U. Globalisation and the reorganisation of Japan’s auto parts industry. Int. J. Automot. Technol. Manag. 2010, 10, 270–288. [Google Scholar] [CrossRef] [Green Version]
- Dong, P.; Zhang, Y.; Gu, J.; Wu, W.; Li, M.; Yang, J.; Zhang, L.; Lü, J.; Mu, J.; Chen, L.; et al. Wogonin, an active ingredient of Chinese herb medicine Scutellaria baicalensis, inhibits the mobility and invasion of human gallbladder carcinoma GBC-SD cells by inducing the expression of maspin. J. Ethnopharmacol. 2011, 137, 1373–1380. [Google Scholar] [CrossRef]
- Shen, C.Y.; Jiang, J.G.; Yang, L.; Wang, D.W.; Zhu, W. Anti-ageing active ingredients from herbs and nutraceuticals used in traditional Chinese medicine: Pharmacological mechanisms and implications for drug discovery. Br. J. Pharmacol. 2017, 174, 1395–1425. [Google Scholar] [CrossRef] [Green Version]
- Becker, M.; Edwards, S.; Massey, R.I. Toxic chemicals in toys and children’s products: Limitations of current responses and recommendations for government and industry. Environ. Sci. Technol. 2010, 44, 7986–7991. [Google Scholar] [CrossRef] [PubMed]
- Korfali, S.I.; Sabra, R.; Jurdi, M.; Taleb, R.I. Assessment of toxic metals and phthalates in children’s toys and clays. Arch. Environ. Contam. Toxicol. 2013, 65, 368–381. [Google Scholar] [CrossRef]
- Roberts, C.M. Radio frequency identification (RFID). Comput. Secur. 2006, 25, 18–26. [Google Scholar] [CrossRef] [Green Version]
- Romero, H.P.; Remley, K.A.; Williams, D.F.; Wang, C.M. Electromagnetic measurements for counterfeit detection of radio frequency identification cards. IEEE Trans. Microw. Theory Tech. 2009, 57, 1383–1387. [Google Scholar] [CrossRef]
- Xie, R.; Hong, C.; Zhu, S.; Tao, D. Anti-counterfeiting digital watermarking algorithm for printed QR barcode. Neurocomputing 2015, 167, 625–635. [Google Scholar] [CrossRef]
- Wicks, A.M.; Visich, J.K.; Li, S. Radio frequency identification applications in hospital environments. Hosp. Top. 2006, 84, 3–9. [Google Scholar] [CrossRef]
- Ye, D.; Zhang, T.Y.; Guo, G. Stochastic coding detection scheme in cyber-physical systems against replay attack. Inf. Sci. 2019, 481, 432–444. [Google Scholar] [CrossRef]
- Callegati, F.; Cerroni, W.; Ramilli, M. Man-in-the-Middle Attack to the HTTPS Protocol. IEEE Secur. Priv. 2009, 7, 78–81. [Google Scholar] [CrossRef]
- Saberi, S.; Kouhizadeh, M.; Sarkis, J.; Shen, L. Blockchain technology and its relationships to sustainable supply chain management. Int. J. Prod. Res. 2019, 57, 2117–2135. [Google Scholar] [CrossRef] [Green Version]
- Francisco, K.; Swanson, D. The supply chain has no clothes: Technology adoption of blockchain for supply chain transparency. Logistics 2018, 2, 2. [Google Scholar] [CrossRef] [Green Version]
- Ko, T.; Lee, J.; Ryu, D. Blockchain technology and manufacturing industry: Real-time transparency and cost savings. Sustainability 2018, 10, 4274. [Google Scholar] [CrossRef] [Green Version]
- Queiroz, M.M.; Wamba, S.F. Blockchain adoption challenges in supply chain: An empirical investigation of the main drivers in India and the USA. Int. J. Inf. Manag. 2019, 46, 70–82. [Google Scholar] [CrossRef]
- Clauson, K.A.; Breeden, E.A.; Davidson, C.; Mackey, T.K. Leveraging blockchain technology to enhance supply chain management in healthcare: An exploration of challenges and opportunities in the health supply chain. Blockchain Healthc. Today 2018, 1, 1–12. [Google Scholar]
- Azzi, R.; Chamoun, R.K.; Sokhn, M. The power of a blockchain-based supply chain. Comput. Ind. Eng. 2019, 135, 582–592. [Google Scholar] [CrossRef]
- Kamilaris, A.; Fonts, A.; Prenafeta-Boldύ, F.X. The rise of blockchain technology in agriculture and food supply chains. Trends Food Sci. Technol. 2019, 91, 640–652. [Google Scholar] [CrossRef] [Green Version]
- Singh, M.; Kim, S. Branch based blockchain technology in intelligent vehicle. Comput. Netw. 2018, 145, 219–231. [Google Scholar] [CrossRef]
- Alazab, M.; Alhyari, S.; Awajan, A.; Abdallah, A.B. Blockchain technology in supply chain management: An empirical study of the factors affecting user adoption/acceptance. Clust. Comput. 2021, 24, 83–101. [Google Scholar] [CrossRef]
- Ying, W.; Jia, S.; Du, W. Digital enablement of blockchain: Evidence from HNA group. Int. J. Inf. Manag. 2018, 39, 1–4. [Google Scholar] [CrossRef]
- Liu, C.; Xiao, Y.; Javangula, V.; Hu, Q.; Wang, S.; Cheng, X. NormaChain: A blockchain-based normalized autonomous transaction settlement system for IoT-based E-commerce. IEEE Internet Things J. 2018, 6, 4680–4693. [Google Scholar] [CrossRef]
- Scekic, O.; Nastic, S.; Dustdar, S. Blockchain-supported smart city platform for social value co-creation and exchange. IEEE Internet Comput. 2018, 23, 19–28. [Google Scholar] [CrossRef]
- Albrecht, C.C.; Dean, D.L.; Hansen, J.V. Marketplace and technology standards for B2B e-commerce: Progress, challenges, and the state of the art. Inf. Manag. 2005, 42, 865–875. [Google Scholar] [CrossRef]
- Xu, S.X.; Cheng, M.; Huang, G.Q. Efficient intermodal transportation auctions for B2B e-commerce logistics with transaction costs. Transp. Res. Part B Methodol. 2015, 80, 322–337. [Google Scholar] [CrossRef]
- Padmannavar, S.S. A review on E-Commerce empowering Women’s. Int. J. Comput. Sci. Telecommun. 2011, 2, 74–78. [Google Scholar]
- Sutton, S.G.; Khazanchi, D.; Hampton, C.; Arnold, V. Risk analysis in extended enterprise environments: Identification of critical risk factors in B2B e-commerce relationships. J. Assoc. Inf. Syst. 2008, 9, 151–174. [Google Scholar] [CrossRef] [Green Version]
- Wu, T.; Liu, X.; Qin, J. A linguistic solution for double large-scale group decision-making in E-commerce. Comput. Ind. Eng. 2018, 116, 97–112. [Google Scholar] [CrossRef]
- Zhu, Q.; Dou, Y. Evolutionary game model between governments and core enterprises in greening supply chains. Syst. Eng. Theory Pract. 2007, 27, 85–89. [Google Scholar] [CrossRef]
- Mei, Q.; Zhou, Q.; Liu, S.; Wang, Q. A Safety Signaling Game for Small and Medium-sized Manufacturing Enterprises in the Supply Chain. Int. J. Inf. Syst. Supply Chain Manag. (IJISSCM) 2020, 13, 118–135. [Google Scholar] [CrossRef]
- Fricke, D.; Lux, T. Core–periphery structure in the overnight money market: Evidence from the e-mid trading platform. Comput. Econ. 2015, 45, 359–395. [Google Scholar] [CrossRef] [Green Version]
- Zhang, M.; Pratap, S.; Huang, G.Q.; Zhao, Z. Optimal collaborative transportation service trading in B2B e-commerce logistics. Int. J. Prod. Res. 2017, 55, 5485–5501. [Google Scholar] [CrossRef]
- Huang, Y.; Chai, Y.; Liu, Y.; Shen, J. Architecture of next-generation e-commerce platform. Tsinghua Sci. Technol. 2018, 24, 18–29. [Google Scholar] [CrossRef]
- Zheng, Z.; Xie, S.; Dai, H.N.; Chen, X.; Wang, H. Blockchain challenges and opportunities: A survey. Int. J. Web Grid Serv. 2018, 14, 352–375. [Google Scholar] [CrossRef]
- Dinh, T.T.A.; Liu, R.; Zhang, M.; Chen, G.; Ooi, B.C.; Wang, J. Untangling blockchain: A data processing view of blockchain systems. IEEE Trans. Knowl. Data Eng. 2018, 30, 1366–1385. [Google Scholar] [CrossRef] [Green Version]
- Secinaro, S.; Calandra, D.; Biancone, P. Blockchain, trust, and trust accounting: Can blockchain technology substitute trust created by intermediaries in trust accounting A theoretical examination. Int. J. Manag. Pract. 2021, 14, 129–145. [Google Scholar] [CrossRef]
- Yuan, R.; Xia, Y.B.; Chen, H.B.; Zang, B.Y.; Xie, J. Shadoweth: Private smart contract on public blockchain. J. Comput. Sci. Technol. 2018, 33, 542–556. [Google Scholar] [CrossRef]
- Tang, H.; Shi, Y.; Dong, P. Public blockchain evaluation using entropy and TOPSIS. Expert Syst. Appl. 2019, 117, 204–210. [Google Scholar] [CrossRef]
- Dorri, A.; Luo, F.; Kanhere, S.S.; Jurdak, R.; Dong, Z.Y. SPB: A secure private blockchain-based solution for distributed energy trading. IEEE Commun. Mag. 2019, 57, 120–126. [Google Scholar] [CrossRef]
- Yang, R.; Wakefield, R.; Lyu, S.; Jayasuriya, S.; Han, F.; Yi, X.; Yang, X.; Amarasinghe, G.; Chen, S. Public and private blockchain in construction business process and information integration. Autom. Constr. 2020, 118, 103276. [Google Scholar] [CrossRef]
- Li, Z.; Kang, J.; Yu, R.; Ye, D.; Deng, Q.; Zhang, Y. Consortium blockchain for secure energy trading in industrial internet of things. IEEE Trans. Ind. Inform. 2017, 14, 3690–3700. [Google Scholar] [CrossRef] [Green Version]
- Kang, J.; Xiong, Z.; Niyato, D.; Wang, P.; Ye, D.; Kim, D.I. Incentivizing consensus propagation in proof-of-stake based consortium blockchain networks. IEEE Wirel. Commun. Lett. 2018, 8, 157–160. [Google Scholar] [CrossRef]
- Nakamoto, S. Bitcoin: A Peer-to-Peer Electronic Cash System. 2008. Available online: https://bitcoin.org/bitcoin.pdf (accessed on 11 April 2021).
- Chen, J.; Cai, T.; He, W.; Chen, L.; Zhao, G.; Zou, W.; Guo, L. A Blockchain-Driven Supply Chain Finance Application for Auto Retail Industry. Entropy 2020, 22, 95. [Google Scholar] [CrossRef] [Green Version]
- Babich, V.; Tang, C.S. Managing opportunistic supplier product adulteration: Deferred payments, inspection, and combined mechanisms. Manuf. Serv. Oper. Manag. 2012, 14, 301–314. [Google Scholar] [CrossRef] [Green Version]
- Choi, T.M. Blockchain-technology-supported platforms for diamond authentication and certification in luxury supply chains. Transp. Res. Part E Logist. Transp. Rev. 2019, 128, 17–29. [Google Scholar] [CrossRef]
- Cai, Y.J.; Choi, T.M.; Zhang, J. Platform supported supply chain operations in the blockchain era: Supply contracting and moral hazards. Decis. Sci. 2020, 15, 21–35. [Google Scholar] [CrossRef]
- Song, Q.; Chen, Y.; Zhong, Y.; Lan, K.; Fong, S.; Tang, R. A supply-chain system framework based on internet of things using Blockchain technology. ACM Trans. Internet Technol. 2021, 21, 1–24. [Google Scholar] [CrossRef]
- Radón, A. Counterfeit luxury goods online: An investigation of consumer perceptions. Int. J. Mark. Stud. 2012, 4, 74–81. [Google Scholar]
- Agarwal, S.; Panwar, S. Consumer Orientation Towards Counterfeit Fashion Products: A Qualitative Analysis. IUP J. Brand Manag. 2016, 13, 34–39. [Google Scholar]
- Alzahrani, N.; Bulusu, N. Block-supply chain: A new anti-counterfeiting supply chain using NFC and blockchain. In Proceedings of the 1st Workshop on Cryptocurrencies and Blockchains for Distributed Systems, Munich, Germany, 15 June 2018; pp. 30–35. [Google Scholar]
- Kumar, R.; Tripathi, R. Traceability of counterfeit medicine supply chain through Blockchain. In Proceedings of the 2019 11th International Conference on Communication Systems & Networks (COMSNETS), Bengaluru, India, 7–11 January 2019; IEEE: New York, NY, USA, 2019; pp. 568–570. [Google Scholar]
- Modgil, S.; Sonwaney, V. Planning the application of blockchain technology in identification of counterfeit products: Sectorial prioritization. IFAC-PapersOnLine 2019, 52, 1–5. [Google Scholar] [CrossRef]


Publisher’s Note: MDPI stays neutral with regard to jurisdictional claims in published maps and institutional affiliations. |
© 2021 by the authors. Licensee MDPI, Basel, Switzerland. This article is an open access article distributed under the terms and conditions of the Creative Commons Attribution (CC BY) license (https://creativecommons.org/licenses/by/4.0/).
Share and Cite
Jiang, J.; Chen, J. Managing the Product-Counterfeiting Problem with a Blockchain-Supported E-Commerce Platform. Sustainability 2021, 13, 6016. https://doi.org/10.3390/su13116016
Jiang J, Chen J. Managing the Product-Counterfeiting Problem with a Blockchain-Supported E-Commerce Platform. Sustainability. 2021; 13(11):6016. https://doi.org/10.3390/su13116016
Chicago/Turabian StyleJiang, Ji, and Jin Chen. 2021. "Managing the Product-Counterfeiting Problem with a Blockchain-Supported E-Commerce Platform" Sustainability 13, no. 11: 6016. https://doi.org/10.3390/su13116016
APA StyleJiang, J., & Chen, J. (2021). Managing the Product-Counterfeiting Problem with a Blockchain-Supported E-Commerce Platform. Sustainability, 13(11), 6016. https://doi.org/10.3390/su13116016
