Evaluating Different Catch Crop Strategies for Closing the Nitrogen Cycle in Cropping Systems—Field Experiments and Modelling
Abstract
1. Introduction
2. Materials and Methods
2.1. Study Site Description
2.2. Crop Rotations and Experimental Setup
2.3. Plant Measurements
2.3.1. Catch Crops
2.3.2. Main Crops
2.4. Plant and Soil Analysis
2.5. Measurement of Nitrate Leaching
2.6. APSIM Model Description
2.7. APSIM Model Setup
2.8. Calculation of N Leaching Loads
2.9. Statistical Analysis
3. Results
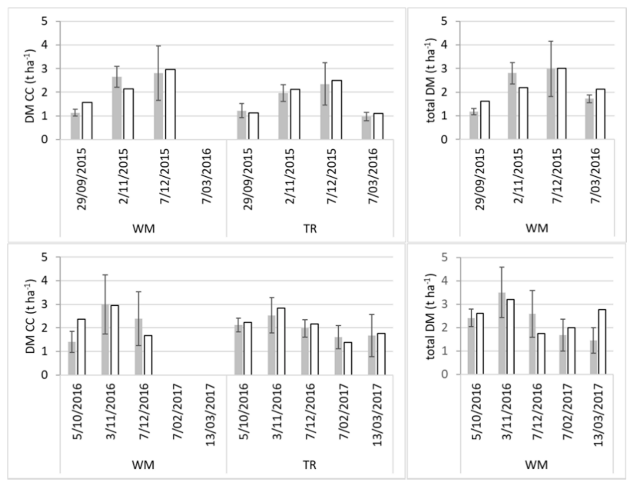
3.1. Catch Crop Biomass, N Uptake, and Carbon
3.2. Soil Nitrogen
3.3. Nitrate Leaching
3.4. Effect of Catch Crop on Dry Matter and Yield of Subsequent Crop
3.5. APSIM Modelling of Crop Rotation
4. Discussion
4.1. Above and Belowground Productivity of Catch Crops
4.2. Leaching
4.3. DM and Grain Yields of Main Crops
4.4. APSIM Modelling
5. Conclusions
Author Contributions
Funding
Acknowledgments
Conflicts of Interest
Appendix A
| Depth. | Sand. | Silt. | Clay. | pH. | dB. | Ntot. | Corg. | C:N. | P. | K. | Mg.. |
|---|---|---|---|---|---|---|---|---|---|---|---|
| (mm) | (%) | (%) | (%) | (Mg m−3) | (%) | (%) | (mg 100 g−1) | ||||
| 0–300 | 79. | 16 | 6 | 5.5 | 1.5 | 0.14 | 1.4 | 10 | 7.0 | 9.1 | 2.9 |
| 300–600 | 80. | 15 | 5 | -. | 1.6 | 0.09 | 1.1 | 12 | 5.2 | 6.6 | 3.4 |
| 600–900 | 86. | 9 | 5 | -. | 1.5 | 0.02 | 0.3 | 15 | 2.2 | 4.2 | 3.9 |
| Factor | numDF | CC DM | AGB DM | BGB DM | Total DM | AGB N | BGB N | AGB C:N | MC DM | MC DM N | MC GY | Nmin Aug | Nmin Nov | Nmin Mar | NO3-N Conc | NO3-N Leaching |
|---|---|---|---|---|---|---|---|---|---|---|---|---|---|---|---|---|
| Y | 1 | *** | ns | ** | ** | ns | ns | *** | ns | ns | ns | *** | *** | ns | ** | ** |
| PC | 1 | ns | * | *** | ns | * | ns | *** | ns | * | *** | Ns | *** | ns | ** | ** |
| CC | 7 | *** | *** | *** | *** | *** | *** | *** | ns | ns | *** | Ns | *** | *** | ns | * |
| Y: PC | 1 | ** | ns | ns | ns | ns | ns | ns | ns | ns | * | *** | *** | ns | ** | * |
| Y: CC | 7 | *** | ns | *** | ** | ns | . | *** | ns | * | ns | Ns | *** | *** | ns | ns |
| PC: CC | 7 | * | ** | *** | ns | *** | ns | *** | ns | ns | * | Ns | *** | ns | ns | ns |
| Y: PC : CC | 7 | ns | ns | *** | ns | ns | *** | ns | ns | ns | ns | n | ns | ns | * | ns |
References
- Harrison, S.; McAree, C.; Mulville, W.; Sullivan, T. The problem of agricultural ’diffuse’ pollution: Getting to the point. Sci. Total Environ. 2019, 677, 700–717. [Google Scholar] [CrossRef] [PubMed]
- Biernat, L.; Taube, F.; Vogeler, I.; Reinsch, T.; Kluß, C.; Loges, R. Is organic agriculture in line with the EU-Nitrate directive? On-farm nitrate leaching from organic and conventional arable crop rotations. Agric. Ecosyst. Environ. 2020, 298, 106964. [Google Scholar] [CrossRef]
- Musacchio, A.; Re, V.; Mas-Pla, J.; Sacchi, E. EU Nitrates Directive, from theory to practice: Environmental effectiveness and influence of regional governance on its performance. AMBIO 2020, 49, 504–516. [Google Scholar] [CrossRef] [PubMed]
- Schipanski, M.E.; E Barbercheck, M.; Douglas, M.R.; Finney, D.M.; Haider, K.; Kaye, J.P.; Kemanian, A.R.; Mortensen, D.A.; Ryan, M.R.; Tooker, J.F.; et al. A framework for evaluating ecosystem services provided by cover crops in agroecosystems. Agric. Syst. 2014, 125, 12–22. [Google Scholar] [CrossRef]
- Salonen, J.; Ketoja, E. Undersown cover crops have limited weed suppression potential when reducing tillage intensity in organically grown cereals. Org. Agric. 2020, 10, 107–121. [Google Scholar] [CrossRef]
- Aronsson, H.; Hansen, E.M.; Thomsen, I.K.; Liu, J.; Ogaard, A.F.; Känkänen, H.; Ulén, B. The ability of cover crops to reduce nitrogen and phosphorus losses from arable land in southern Scandinavia and Finland. J. Soil Water Conserv. 2016, 71, 41–55. [Google Scholar] [CrossRef]
- Zinngrebe, Y.; Pe’er, G.; Schueler, S.; Schmitt, J.; Schmidt, J.; Lakner, S. The EU’s ecological focus areas—How experts explain farmers’ choices in Germany. Land Use Policy 2017, 65, 93–108. [Google Scholar] [CrossRef]
- Statistisches Bundesamt. Land- und Forstwirtschaft, Fischerei Methodische Grundlagen der Agrarstrukturerhebung; Statistisches Bundesamt: Wiesbaden, Germany, 2016.
- BMEL. Organic Farming in Germany. Available online: https://www.bmel.de/SharedDocs/Downloads/EN/Agri-culture/OrganicFarming/Organic-Farming-in-Germany.pdf?__blob=publicationFile (accessed on 16 November 2020).
- Alonso-Ayuso, M.; Gabriel, J.L.; Pancorbo, J.L.; Quemada, M. Interseeding cover crops into maize: Characterization of species performance under Mediterranean conditions. Field Crops Res. 2020, 249, 107762. [Google Scholar] [CrossRef]
- Wachendorf, M.; Büchter, M.; Volkers, K.; Bobe, J.; Rave, G.; Loges, R.; Taube, F. Performance and environmental effects of forage production on sandy soils. V. Impact of grass understorey, slurry application and mineral N fertilizer on nitrate leaching under maize for silage. Grass Forage Sci. 2006, 61, 243–252. [Google Scholar] [CrossRef]
- Justes, E. Cover Crops for Sustainable Farming; Springer: New York, NY, USA, 2017; pp. 1–91. [Google Scholar]
- Komainda, M.; Taube, F.; Kluß, C.; Herrmann, A. Above- and belowground nitrogen uptake of winter catch crops sown after silage maize as affected by sowing date. Eur. J. Agron. 2016, 79, 31–42. [Google Scholar] [CrossRef]
- Möller, K.; Reents, H.-J. Effects of various cover crops after peas on nitrate leaching and nitrogen supply to succeeding winter wheat or potato crops. J. Plant Nutr. Soil Sci. 2009, 172, 277–287. [Google Scholar] [CrossRef]
- Rinnofner, T.; Friedel, J.K.; Pietsch, G.; Freyer, B.; Kruijff, R. Effect of catch crops on N dynamics and following crops in organic farming. Agron. Sustain. Dev. 2008, 28, 551–558. [Google Scholar] [CrossRef]
- De Notaris, C.; Olesen, J.E.; Sørensen, P.; Rasmussen, J. Input and mineralization of carbon and nitrogen in soil from legume-based cover crops. Nutr. Cycl. Agroecosyst. 2020, 116. [Google Scholar] [CrossRef]
- Quemada, M.; Baranski, M.; Lange, M.N.J.N.-D.; Vallejo, A.; Cooper, J.M. Meta-analysis of strategies to control nitrate leaching in irrigated agricultural systems and their effects on crop yield. Agric. Ecosyst. Environ. 2013, 174, 1–10. [Google Scholar] [CrossRef]
- Vogeler, I.; Hansen, E.M.; Thomsen, I.K.; Østergaard, H.S. Legumes in catch crop mixtures: Effects on nitrogen retention and availability, and leaching losses. J. Environ. Manag. 2019, 239, 324–332. [Google Scholar] [CrossRef] [PubMed]
- Gollner, G.; Fohrafellner, J.; Friedel, J.K. Winter-hardy vs. freeze-killed cover crop mixtures before maize in an organic farming system with reduced soil cultivation. Org. Agric. 2020, 1–7. [Google Scholar] [CrossRef]
- Salo, T.J.; Palosuo, T.; Kersebaum, K.C.; Nendel, C.; Angulo, C.; Ewert, F.; Bindi, M.; Calanca, P.; Klein, T.W.; Moriondo, M.; et al. Comparing the performance of 11 crop simulation models in predicting yield response to nitrogen fertilization. J. Agric. Sci. 2016, 154, 1218–1240. [Google Scholar] [CrossRef]
- Kersebaum, K.-C.; Boote, K.J.; Jorgenson, J.S.; Nendel, C.; Bindi, M.; Frühauf, C.; Gaiser, T.; Hoogenboom, G.; Kollas, C.; Olesen, J.; et al. Analysis and classification of data sets for calibration and validation of agro-ecosystem models. Environ. Model. Softw. 2015, 72, 402–417. [Google Scholar] [CrossRef]
- Sieling, K. Improved N transfer by growing catch crops—A challenge. J. Kulturpflanz. 2019, 71, 145–160. [Google Scholar]
- Holzworth, D.P.; Huth, N.I.; Devoil, P.G.; Zurcher, E.J.; Herrmann, N.I.; McLean, G.; Chenu, K.; Van Oosterom, E.J.; Snow, V.; Murphy, C.; et al. APSIM—Evolution towards a new generation of agricultural systems simulation. Environ. Model. Softw. 2014, 62, 327–350. [Google Scholar] [CrossRef]
- Teixeira, E.; Brown, H.; Chakwizira, E.; de Ruiter, J. Predicting yield and biomass nitrogen of forage crop rotations in New Zealand using the APSIM model. Food Security form Sustainable Agriculture. In Proceedings of the 15th ASA Conference, Lincoln, New Zealand, 15–19 November 2010. [Google Scholar]
- Kandulu, J.; Thorburn, P.; Biggs, J.; Verburg, K. Estimating economic and environmental trade-offs of managing nitrogen in Australian sugarcane systems taking agronomic risk into account. J. Environ. Manag. 2018, 223, 264–274. [Google Scholar] [CrossRef] [PubMed]
- Zhang, Y.; Feng, L.; Wang, E.; Wang, J.; Li, B. Evaluation of the APSIM-Wheat model in terms of different cultivars, management regimes and environmental conditions. Can. J. Plant Sci. 2012, 92, 937–949. [Google Scholar] [CrossRef][Green Version]
- Asseng, S.; Van Keulen, H.; Stol, W. Performance and application of the APSIM Nwheat model in the Netherlands. Eur. J. Agron. 2000, 12, 37–54. [Google Scholar] [CrossRef]
- Hoffmann, M.P.; Isselstein, J.; Rötter, R.P.; Kayser, M. Nitrogen management in crop rotations after the break-up of grassland: Insights from modelling. Agric. Ecosyst. Environ. 2018, 259, 28–44. [Google Scholar] [CrossRef]
- Knörzer, H.; Lawes, R.; Robertson, M.; Graeff-Hönninger, S.; Claupein, W. Evaluation and Performance of the APSIM Crop Growth Model for German Winter Wheat, Maize and Fieldpea Varieties in Monocropping and Intercropping Systems. J. Agric. Sci. Technol. 2011, 1, 698–717. [Google Scholar]
- Vogeler, I.; Hansen, E.M.; Nielsen, S.; Labouriau, R.; Cichota, R.; Olesen, J.E.; Thomsen, I.K. Nitrate leaching from suction cup data: Influence of method of drainage calculation and concentration interpolation. J. Environ. Qual. 2020, 49, 440–449. [Google Scholar] [CrossRef] [PubMed]
- Yin, X.; Kersebaum, K.C.; Kollas, C.; Manevski, K.; Baby, S.; Beaudoin, N.; Öztürk, I.; Gaiser, T.; Wu, L.; Hoffmann, M.; et al. Performance of process-based models for simulation of grain N in crop rotations across Europe. Agric. Syst. 2017, 154, 63–77. [Google Scholar] [CrossRef]
- EEC. Commission Regulation (EC) No 889/2008 of 5 September 2008 laying down detailed rules for the implementation of Council Regulation (EC) No 834/2007 on organic production and labelling of organic products with regard to organic production, labelling and control. In Official Journal of the European Union; EEC: Luxembourg, 2008; Available online: http://data.europa.eu/eli/reg/2008/889/oj (accessed on 16 November 2020).
- Loges, R.; Bunne, I.; Reinsch, T.; Malisch, C.S.; Kluß, C.; Herrmann, A.; Taube, F. Forage production in rotational systems generates similar yields compared to maize monocultures but improves soil carbon stocks. Eur. J. Agron. 2018, 97, 11–19. [Google Scholar] [CrossRef]
- Mohrlok, U. Bilanzmodelle in der Grundwasserhydraulik: Quantitative Beschreibung von Strömung und Transport im Untergrund. Ph.D. Thesis, Karlsruhe University, Kaslu, Germany, 2009. [Google Scholar]
- Häckel, H. Meteorologie, Ulmer, Stuttgart, 4th ed.; INFINIBU Das Buchuniversum: Düsseldorf, Deutschland, 1999; 448p, ISBN 9783825213381. [Google Scholar]
- Löpmeier, F.J. Berechnung der Bodenfeuchte und Verdunstung mittels agrarmeteorologischer Modelle. Z. Bewässerungswirtsch. 1994, 29, 157–167. [Google Scholar]
- Hoffmann, M.P.; Jacobs, A.; Whitbread, A. Crop modelling based analysis of site-specific production limitations of winter oilseed rape in northern Germany. Field Crop. Res. 2015, 178, 49–62. [Google Scholar] [CrossRef]
- Thiébeau, P.; Justes, E. Effect of N status on leaf area index and radiation use efficiency of white mustard (Sinapis alba L.). In Proceedings of the VIII ESA Congress: European Agriculture in a Global context, Copenhagen, Denmark, 11–15 July 2004. [Google Scholar]
- Moore, A.D.; Holzworth, D.; Herrmann, N.I.; Brown, H.E.; De Voil, P.G.; Snow, V.; Zurcher, E.; Huth, N.I. Modelling the manager: Representing rule-based management in farming systems simulation models. Environ. Model. Softw. 2014, 62, 399–410. [Google Scholar] [CrossRef]
- Loges, R. Yield, Forage Quality, Dinitrogen Fixation and pre Crop Value of Red Clover and Red Clover/Grass-Mixtures. Ph.D. Thesis, Kiel University, Kiel, Germany, 1998. Available online: https://orgprints.org/2174/ (accessed on 31 December 2020). (In German, English summary).
- Vogeler, I.; Cichota, R.; Thomsen, I.K.; Bruun, S.; Jensen, L.S.; Pullens, J.W.M. Estimating nitrogen release from Brassicacatch crop residues—Comparison of different approaches within the APSIM model. Soil Tillage Res. 2019, 195, 104358. [Google Scholar] [CrossRef]
- Dejoux, J.-F.; Recous, S.; Meynard, J.-M.; Trinsoutrot, I.; Leterme, P. The fate of nitrogen from winter-frozen rapeseed leaves: Mineralization, fluxes to the environment and uptake by rapeseed crop in spring. Plant Soil 2000, 218, 257–272. [Google Scholar] [CrossRef]
- Radoglou, K.; Cabral, R.; Repo, T.; Hasanagas, N.; Sutinen, M.-L.; Waisel, Y. Appraisal of root leakage as a method for estimation of root viability. Plant Biosyst. Int. J. Deal. Asp. Plant Biol. 2007, 141, 443–459. [Google Scholar] [CrossRef][Green Version]
- Tetzlaff, B.; Keller, L.; Kuhr, P.; Kreins, P.; Kunkel, R.; Wendland, F. Räumlich differenzierte Quantifizierung der Nährstoffeinträge ins Grundwasser und in die Oberflä-Chengewässer Schleswig-Holsteins unter Anwendung der Modellkombination RAUMIS-GROWA-WEKU-MEPhos; Final Report; Jülich Forschungszentrum: Jülich, Germany, 2017; Available online: https://www.schleswig-holstein.de/mm/downloads/Fachinhalte/Wasserrahmenrichtlinie/endberichtNaehrstoffmodellierung.pdf (accessed on 2 January 2021).
- Wendling, M.; Charles, R.; Herrera, J.; Amossé, C.; Jeangros, B.; Walter, A.; Büchi, L. Effect of species identity and diversity on biomass production and its stability in cover crop mixtures. Agric. Ecosyst. Environ. 2019, 281, 81–91. [Google Scholar] [CrossRef]
- Nicolardot, B.; Recous, S.; Mary, B. Simulation of C and N mineralisation during crop residue decomposition: A simple dynamic model based on the C:N ratio of the residues. Plant Soil 2001, 228, 83–103. [Google Scholar] [CrossRef]
- Redin, M.; Recous, S.; Aita, C.; Chaves, B.; Pfeifer, I.C.; Bastos, L.M.; Pilecco, G.E.; Giacomini, S.J. Root and Shoot Contribution to Carbon and Nitrogen Inputs in the Topsoil Layer in No-Tillage Crop Systems under Subtropical Conditions. Rev. Bras. Ciênc. Solo 2018, 42, e0170355. [Google Scholar] [CrossRef]
- Pietola, L.; Alakukku, L. Root growth dynamics and biomass input by Nordic annual field crops. Agric. Ecosyst. Environ. 2005, 108, 135–144. [Google Scholar] [CrossRef]
- Kätterer, T.; Bolinder, M.A.; Andrén, O.; Kirchmann, H.; Menichetti, L. Roots contribute more to refractory soil organic matter than above-ground crop residues, as revealed by a long-term field experiment. Agric. Ecosyst. Environ. 2011, 141, 184–192. [Google Scholar] [CrossRef]
- Angst, G.; Angst, S.; Frouz, J.; Peterse, F.; Nierop, K.G.J. Preferential degradation of leaf- vs. root-derived organic carbon in earthworm-affected soil. Geoderma 2020, 372, 114391. [Google Scholar] [CrossRef]
- Meurer, K.H.E.; Bolinder, M.A.; Andrén, O.; Hansson, A.-C.; Pettersson, R.; Kätterer, T. Shoot and root production in mixed grass ley under daily fertilization and irrigation: Validating the N productivity concept under field conditions. Nutr. Cycl. Agroecosyst. 2019, 115, 85–99. [Google Scholar] [CrossRef]
- Hauggaard-Nielsen, H.; Mundus, S.; Jensen, E.S. Nitrogen dynamics following grain legumes and subsequent catch crops and the effects on succeeding cereal crops. Nutr. Cycl. Agroecosyst. 2009, 84, 281–291. [Google Scholar] [CrossRef]
- Korsaeth, A.; Bakken, L.R.; Riley, H. Nitrogen dynamics of grass as affected by N input regimes, soil texture and climate: Lysimeter measurements and simulations. Nutr. Cycl. Agroecosyst. 2003, 66, 181–199. [Google Scholar] [CrossRef]
- Djurhuus, J.; Olsen, P. Nitrate leaching after cut grass/clover leys as affected by time of ploughing. Soil Use Manag. 1997, 13, 61–67. [Google Scholar] [CrossRef]
- Korsaeth, A.; Henriksen, T.M.; Bakken, L.R. Temporal changes in mineralization and immobilization of N during degradation of plant material: Implications for the plant N supply and nitrogen losses. Soil Biol. Biochem. 2002, 34, 789–799. [Google Scholar] [CrossRef]
- Myrbeck, Å.; Stenberg, M.; Rydberg, T. Establishment of winter wheat—Strategies for reducing the risk of nitrogen leaching in a cool-temperate region. Soil Tillage Res. 2012, 120, 25–31. [Google Scholar] [CrossRef]
- Bergkvist, G.; Stenberg, M.; Wetterlind, J.; Båth, B.; Elfstrand, S. Clover cover crops under-sown in winter wheat increase yield of subsequent spring barley—Effect of N dose and companion grass. Field Crop. Res. 2011, 120, 292–298. [Google Scholar] [CrossRef]
- Kramberger, B.; Gselman, A.; Podvršnik, M.; Kristl, J.; Lešnik, M. Environmental advantages of binary mixtures of Trifolium incarnatum and Lolium multiflorum over individual pure stands. Plant Soil Environ. 2012, 59, 22–28. [Google Scholar] [CrossRef]
- White, C.M.; Dupont, S.T.; Hautau, M.; Hartman, D.; Finney, D.M.; Bradley, B.; Lachance, J.C.; Kaye, J.P. Managing the trade off between nitrogen supply and retention with cover crop mixtures. Agric. Ecosyst. Environ. 2016, 237, 121–133. [Google Scholar] [CrossRef]
- Henke, J.; Böttcher, U.; Neukam, D.; Sieling, K.; Kage, H. Evaluation of different agronomic strategies to reduce nitrate leaching after winter oilseed rape (Brassica napus L.) using a simulation model. Nutr. Cycl. Agroecosyst. 2008, 82, 299–314. [Google Scholar] [CrossRef]
- Askegaard, M.; Olesen, J.E.; A Rasmussen, I.; Kristensen, K. Nitrate leaching from organic arable crop rotations is mostly determined by autumn field management. Agric. Ecosyst. Environ. 2011, 142, 149–160. [Google Scholar] [CrossRef]
- Gabriel, J.L.; Alonso-Ayuso, M.; García-González, I.; Hontoria, C.; Quemada, M. Nitrogen use efficiency and fertiliser fate in a long-term experiment with winter cover crops. Eur. J. Agron. 2016, 79, 14–22. [Google Scholar] [CrossRef]
- Fontaine, D.; Eriksen, J.; Sørensen, P. Cover crop and cereal straw management influence the residual nitrogen effect. Eur. J. Agron. 2020, 118, 126100. [Google Scholar] [CrossRef]
- Guo, L.; Liu, Y.; Wu, G.-L.; Huang, Z.; Cui, Z.; Cheng, Z.; Zhang, R.-Q.; Tian, F.-P.; He, H. Preferential water flow: Influence of alfalfa (Medicago sativa L.) decayed root channels on soil water infiltration. J. Hydrol. 2019, 578. [Google Scholar] [CrossRef]
- Yousefi, G.; Safadoust, A.; Mahboubi, A.; Gharabaghi, B.; Mosaddeghi, M.R.; Ahrens, B.; Shirani, H. Bromide and lithium transport in soils under long-term cultivation of alfalfa and wheat. Agric. Ecosyst. Environ. 2014, 188, 221–228. [Google Scholar] [CrossRef]
- Gerke, H.H. Bypass Flow in Soil. Encycl. Math. Geosci. 2011, 100–105. [Google Scholar] [CrossRef]
- Yang, X.; Lu, Y.; Ding, Y.; Yin, X.; Raza, S.; Tong, Y. Optimising nitrogen fertilisation: A key to improving nitrogen-use efficiency and minimising nitrate leaching losses in an intensive wheat/maize rotation (2008–2014). Field Crop. Res. 2017, 206, 1–10. [Google Scholar] [CrossRef]












| Variable | Year | Pre-Crop | RG | RG/WC | WM | WM/SV | TR | TR/WV | GF | BF |
|---|---|---|---|---|---|---|---|---|---|---|
| CC DM(t ha−1) | 2015 | PE | 0.45 ja (0.23) | 0.40 a (0.23) | 3.05 b (0.18) | 3.20 b (0.89) | 2.96 b (0.32) | 2.33 b (0.63) | 0.0 a | 0.0 a |
| CE | 1.44 ab (0.18) | 1.14 ab (0.36) | 3.20 jc (0.39) | 1.94 ac (0.29) | 2.46 jac (0.38) | 2.15 ac (0.13) | 0.0 b | 0.0 b | ||
| 2016 | PE | 2.76 ka (0.23) | 1.19 ab (0.67) | 2.82 a (0.77) | 1.83 a (0.61) | 2.65 Aa (0.28) | 1.74 a (0.22) | 0.0 b | 0.0 b | |
| CE | 1.49 ab (0.29) | 0.29 b (0.20) | 1.48 abk (0.27) | 0.30 b (0.13) | 0.76 bkB (0.03) | 0.70 b (0.20) | 0.0 | 0.0 | ||
| AGB DM(t ha−1) | 2015 | PE | 2.55 a (0.31) | 2.62 a (0.25) | 3.79 b (0.16) | 4.06 ab (0.45) | 3.34 ab (0.15) | 3.84 ab (0.44) | 2.62 ab (0.44) | 1.9 c (0.08) |
| CE | 1.78 a (0.10) | 1.69 a (0.17) | 3.37 b (0.42) | 2.80 j,b (0.95) | 2.82 jab (0.31) | 2.44 jab (0.21) | 1.63 a (0.25) | 1.1 c (0.03) | ||
| 2016 | PE | 2.86 Aa (0.20) | 3.82 a (0.53) | 3.58 a (0.48) | 3.62 a (0.48) | 3.04 Aa (0.36) | 3.30 Aa (0.48) | 2.18 Aa (0.28) | 0.9 b (0.01) | |
| CE | 1.50 Bab (2.86) | 2.87 a (3.64) | 2.05 a (1.53) | 1.78 kab (0.26) | 1.19 kBb (0.09) | 1.41 kBb (0.10) | 0.96 Bb (0.13) | 0.10 c (0.01) | ||
| BGB DM(t ha−1) | 2015 | PE | 0.99 Aa (0.12) | 0.98 ab (0.22) | 0.44 bc (0.07) | 0.28 bc (0.03) | 0.47 jAb (0.05) | 0.57 jAb (0.07) | 0.40 jAb (0.10) | 0.08 c (0.02) |
| CE | 2.42 Ba (0.3) | 2.11 ja (0.29) | 0.51 jb (0.27) | 0.55 jbc (0.11) | 0.93 Bce (0.13) | 1.04 jBe (0.12) | 0.88 Bbce (0.15) | 0.10 d (0.01) | ||
| 2016 | PE | 2.54 a (0.54) | 1.56 ab (3.29) | 0.66 Ab (0.11) | 0.68 Ab (0.06) | 1.00 kab (0.07) | 1.18 kAa (0.14) | 1.01 kab (0.14) | ||
| CE | 3.46 a (0.51) | 0.58 kb (0.10) | 1.36 kbc (0.07) | 1.62 kBac (0.27) | 2.02 ac (0.40) | 1.86 kBa (0.15) | 3.00 ac (0.73) | |||
| Total DM(t ha−1) | 2015 | PE | 3.54 ja (0.35) | 3.60 a (0.21) | 4.24 a (0.22) | 4.34 a (0.48) | 3.81 a (0.14) | 4.41 a (0.42) | 3.02 a (0.47) | 2.6 b (0.10) |
| CE | 4.2 a (0.31) | 3.80 ab (0.41) | 3.88 ab (0.43) | 3.35 ab (0.05) | 3.75 ab (0.30) | 3.48 ab (0.32) | 2.50 b (0.33) | 2.1 jc (0.02) | ||
| 2016 | PE | 5.40 ka (0.38) | 5.38 ab (0.72) | 4.24 ab (0.56) | 4.30 ab (0.48) | 4.04 ab (0.41) | 4.48 ab (0.45) | 3.19 b (0.23) | 0.9 c (0.01) | |
| CE | 4.96 a (0.41) | 3.45 ab (0.42) | 3.40 b (0.09) | 3.40 ab (0.30) | 3.21 ab (0.32) | 3.27 b (0.09) | 3.96 ab (0.72) | 1.0 kc (0.01) | ||
| C:N AGB | 2015 | PE | 11.7 jAa (0.78) | 12.9 ab (1.31) | 15.4 ab (1.78) | 15.1 ab (1.76) | 13.5 ab (1.79) | 12.3 a (0.58) | 11.7 a (0.52) | 16.0 jb (1.20) |
| CE | 16.3 jBa (0.70) | 18.6 jab (1.52) | 16.4 abc (1.67) | 12.0 c (0.36) | 14.5 abc (0.69) | 13.8 bc (0.75) | 17.4 abc (1.42) | 15.9 jab (0.83) | ||
| 2016 | PE | 15.6 kAa (0.51) | 11.7 b (0.52) | 16.1 ab (1.94) | 13.0 b (0.42) | 15.7 ab (2.24) | 12.4 b (0.70) | 11.9 b (0.98) | 10.8 kb (0.34) | |
| CE | 20.0 kBa (0.81) | 11.1 kbc (0.44) | 20.8 a (1.58) | 13.0 bc (1.52) | 14.7 c (1.14) | 12.1 bc (0.97) | 13.6 bc (1.26) | 10.7 kb (0.27) |
| Variable | Year | Pre-Crop | MC | RG | RG/WC | WM | WM/SV | TR | TR/WV | GF | BF |
|---|---|---|---|---|---|---|---|---|---|---|---|
| MC DM(t ha−1) | 2015 | PE | Oats | 11.9 (1.08) | 11.5 (0.76) | 11.7 A (0.79) | 11.8 A (0.88) | 10.9 (0.90) | 11.8 (1.35) | 11.5 A (0.65) | 10.3 (1.01) |
| CE | PE | 8.2 (2.04) | 8.2 (0.73) | 6.2 B (0.87) | 6.7 B (1.03) | 8.6 (1.11) | 9.5 (1.30) | 7.6 B (0.62) | 8.1 (0.56) | ||
| 2016 | PE | Oats | 11.1 a (0.44) | 14.0 b (0.57) | 9.5 ac (0.106) | 11.1 a (0.53) | 12.5 ab (0.70) | 10.8 abc (0.84) | 11.2 abc (0.69) | 8.9 c (0.34) | |
| CE | PE | 13.3 (1.46) | 11.5 (1.04) | 13.7 (2.24) | 12.2 (2.13) | 12.1 (1.80) | 12.5 (0.41) | 10.4 (1.63) | 9.0 (0.95) | ||
| MC Grain Yield(t ha−1) | 2015 | PE | Oats | 5.2 ab (0.41) | 5.1 a (0.15) | 4.8 ab (0.45) | 5.4 ab (0.39) | 4.1 b (0.06) | 4.5 ab (0.49) | 4.6 ab (0.25) | 4.0 ab (0.48) |
| CE | PE | 4.1 (1.02) | 4.1 (0.36) | 3.1 (0.43) | 3.3 (0.52) | 4.3 (0.56) | 4.8 (0.65) | 3.8 (0.31) | 4.0 (0.28) | ||
| 2016 | PE | Oats | 4.9 ab (0.44) | 5.1 ab (0.27) | 4.8 a (0.11) | 4.7 ab (0.38) | 5.0 ab (0.48) | 5.3 ab (0.46) | 4.4 ab (0.35) | 4.2 b (0.12) | |
| CE | PE | 6.6 ab (0.73) | 5.7 ab (0.52) | 6.8 ab (1.12) | 6.1 ab (1.07) | 6.0 ab (0.90) | 6.3 b (0.20) | 5.2 ab (0.81) | 4.5 a (0.47) | ||
| MC DM N(kg ha−1) | 2015 | PE | Oats | 130.0 (15.60) | 122.6 A (8.05) | 122.2 (11.19) | 125.8 (12.07) | 109.8 A (12.74) | 139.7 A (24.20) | 102.8 A (6.86) | 105.8 A (17.00) |
| CE | PE | 274.8 (53.27) | 312.9 B (33.45) | 224.0 (36.08) | 225.5 (28.11) | 270.1 B (22.79) | 307.8 B (31.79) | 265.4 B (21.48) | 270.0 B (17.44) | ||
| 2016 | PE | Oats | 107.3 Aab (7.20) | 140.5 Aa (11.13) | 87.8 Abc (8.14) | 112.4 ab (5.43) | 125.8 Aa (8.48) | 99.5 Aab (6.83) | 104.3 abc (8.86) | 67.2 Ac (4.26) | |
| CE | PE | 299.0 Bab (52.27) | 292.7 Bab (29.38) | 317.3 Bab (46.23) | 278.0 ab (57.08) | 265.9 Bab (30.03) | 286.1 Bb (13.12) | 244.5 ab (45.59) | 189.1 Ba (17.06) |
Publisher’s Note: MDPI stays neutral with regard to jurisdictional claims in published maps and institutional affiliations. |
© 2021 by the authors. Licensee MDPI, Basel, Switzerland. This article is an open access article distributed under the terms and conditions of the Creative Commons Attribution (CC BY) license (http://creativecommons.org/licenses/by/4.0/).
Share and Cite
Böldt, M.; Taube, F.; Vogeler, I.; Reinsch, T.; Kluß, C.; Loges, R. Evaluating Different Catch Crop Strategies for Closing the Nitrogen Cycle in Cropping Systems—Field Experiments and Modelling. Sustainability 2021, 13, 394. https://doi.org/10.3390/su13010394
Böldt M, Taube F, Vogeler I, Reinsch T, Kluß C, Loges R. Evaluating Different Catch Crop Strategies for Closing the Nitrogen Cycle in Cropping Systems—Field Experiments and Modelling. Sustainability. 2021; 13(1):394. https://doi.org/10.3390/su13010394
Chicago/Turabian StyleBöldt, Matthias, Friedhelm Taube, Iris Vogeler, Thorsten Reinsch, Christof Kluß, and Ralf Loges. 2021. "Evaluating Different Catch Crop Strategies for Closing the Nitrogen Cycle in Cropping Systems—Field Experiments and Modelling" Sustainability 13, no. 1: 394. https://doi.org/10.3390/su13010394
APA StyleBöldt, M., Taube, F., Vogeler, I., Reinsch, T., Kluß, C., & Loges, R. (2021). Evaluating Different Catch Crop Strategies for Closing the Nitrogen Cycle in Cropping Systems—Field Experiments and Modelling. Sustainability, 13(1), 394. https://doi.org/10.3390/su13010394

