Abstract
In many public policy areas, such as climate change, news media reports about scientific research play an important role. In presenting their research, scientists are providing guidance to the public regarding public policy choices. How do people decide which scientists and scientific claims to believe? This is a question we address by drawing on the psychology of persuasion. We propose the hypothesis that people are more likely to believe local scientists than national or international scientists. We test this hypothesis with an experiment embedded in a national Internet survey. Our experiment yielded null findings, showing that people do not discount or ignore research findings on climate change if they come from Europe instead of Washington-based scientists or a leading university in a respondent’s home state. This reinforces evidence that climate change beliefs are relatively stable, based on party affiliation, and not malleable based on the source of the scientific report.
1. Introduction
Most scientists agree that the earth is warming, and that human activity has caused most of the increase in temperature [1]. Skeptics, however, argue that that the evidence is mixed or even fatally flawed [2,3]. In the case of climate change, how do people decide which scientists and which scientific evidence to believe?
Studies in psychology and political science provide several approaches to understanding why people accept or reject claims about climate change [4,5,6]. This research specifically focuses on the messages sent from climate change scientists as attempts at persuasion.
In this paper, we test the hypothesis that people have more confidence in news media reports of climate change research when the scientists are from local universities than when they are from distant or even foreign universities. Embedded in a 2014 public opinion survey of Americans, we examine how people respond to eight examples of climate change news reports based on whether the source of the research is from a local, Washington-based, or European university.
Message source is well established to be a key determinant in influencing what an individual believes [7,8,9]. In their classic study of persuasion, Hovland and colleagues [10] (p. 13) wrote, “An important factor influencing the effectiveness of a communication is the person or group perceived as originating the communication—And the cues provided as to the trustworthiness, intentions, and affiliations of this source”. As the leading models in contemporary theories of persuasion, the elaboration likelihood model [11] and the heuristic–systematic model [12,13] continue to use communicator credibility cues as key variables.
Three types of source characteristics, often interrelated, are known to affect message acceptance—source credibility, physical attractiveness, and ideological similarity [9,14]. In line with this, persuasion may be related to social trust, or the extent to which people share salient values with the communicators who are trying to persuade them [15,16].
Relatedly, and perhaps the closest analog in the literature to the current study, is the examination of how local weather forecasters impact climate change beliefs. Local weather forecasters are typically familiar and trusted sources of information pertaining to weather and climate [17]. In an observational study, researchers found that exposure to local weather news increased participants’ awareness of the impacts of climate change, particularly among political conservatives [17]. Furthermore, more deliberate reporting on climate change leads to viewers learning about climate change science. [18]. Most recently, in a randomized controlled experiment, researchers found that local climate reporting is influential in getting the public to connect global climate change to local weather and personal actions [19]. Research also shows that scientists’ credibility is not impacted when they engage in climate activism [20].
One source characteristic that has not been investigated, as far as we are aware, is the university location sponsoring a scientific report on climate change to the recipient of the message. A person might reasonably infer that if the source of a persuasive message were proximate, then he or she would be more likely to share values with the person than a distant source. Prior work supports this expectation, theorizing that individuals sometimes exhibit shared place identities [21,22,23]. In addition, proximity has been shown to correlate with higher levels of trust within social networks [24] and both states and regions have been utilized to identify differences in political cultures and public opinion [25,26,27], suggesting the presence of underlying cultures and identities based on one’s geographic location.
In short, our theory builds on the elaboration likelihood model and heuristic–systematic model, which emphasize the credibility of the communicator in relation to their ability to persuade. Because of the overlapping factors of shared identity (e.g., people who live in Iowa identify as Iowans) and attachment to place, along with the decreased physical distance between the source and the respondent, we expect scientific reports from the state university in the respondent’s state to be more credible and lead to greater concern about climate impacts. Understanding how persuasion functions on the issue of climate change is especially important because reducing climate skepticism among conservative Republicans may be a key step toward the implementation of climate policy solutions.
2. Materials and Methods
To test our hypotheses, we use data from an Internet survey conducted by Survey Sampling International. The survey of 800 American adults was conducted from July 28 to August 1 2014. Internet samples, of course, are generally not representative of their target populations [28,29]—Our sample is no exception. However, it is roughly representative. Our sample is 79% white, 9% black, and 10% Hispanic; the Census reports that the area is 81% white, 12% black, and 16% Hispanic. In our sample, 98% graduated from high school, 40% graduated from college, and 64% are women. The Census reports that only 86% of the population graduated from high school and only 28% graduated from college. Our sample is balanced between Republicans and Democrats, the party affiliation variable is a 1–7-point scale from strong Republican to Strong Democrat and had a mean of 4.34 (between independent, lean Democrat and weak Democrat).
The survey consisted of a short introduction followed by a series of questions asking respondents about recent research on climate change. Respondents were asked to read a series of short newspaper articles. The articles are real and were only edited to include the university at which the research was conducted. Each of these news report sources had three versions, which were randomly assigned to respondents. Randomization occurred for each article, meaning a respondent could have been in the local treatment group for article 1 and the distant treatment group for article 2. The versions identified the scientists who conducted the research as being from the leading public university in the respondent’s state, Georgetown University in Washington, D.C., or from the Universität of Zurich in Switzerland. State was determined by SSI when the respondent signed up to be part of the panel and is continuously updated.
The randomly assigned source of the research report is the treatment that allows us to distinguish proximate, distant, and even more distant researchers. This is a crude measure and some respondents may be physically close to Georgetown University as well as to their home state university. The complete list of news reports and their original sources is listed in the Appendix A. Following each statement, respondents were asked questions to measure their confidence in the report and the likely effect of the climate change impacts being described in the article.
The following hypotheses provide two different ways to test the central hypothesis that proximity to a university that is the source of a scientific study should increase confidence in the research. The first hypothesis directly asks respondents to report their confidence in the research reports. The second hypothesis allows us to indirectly infer confidence in the reports because respondents who are confident in the reports should be more likely to believe that climate change will impact themselves, their families, and society at large.
Hypothesis 1.
Respondents are more confident in news media reports of climate change research from local universities than from distant universities.
Hypothesis 2.
Respondents are more likely to believe climate change will affect themselves, their families, and society when the reports are based on studies from local universities than when they are based on studies from distant universities.
3. Results
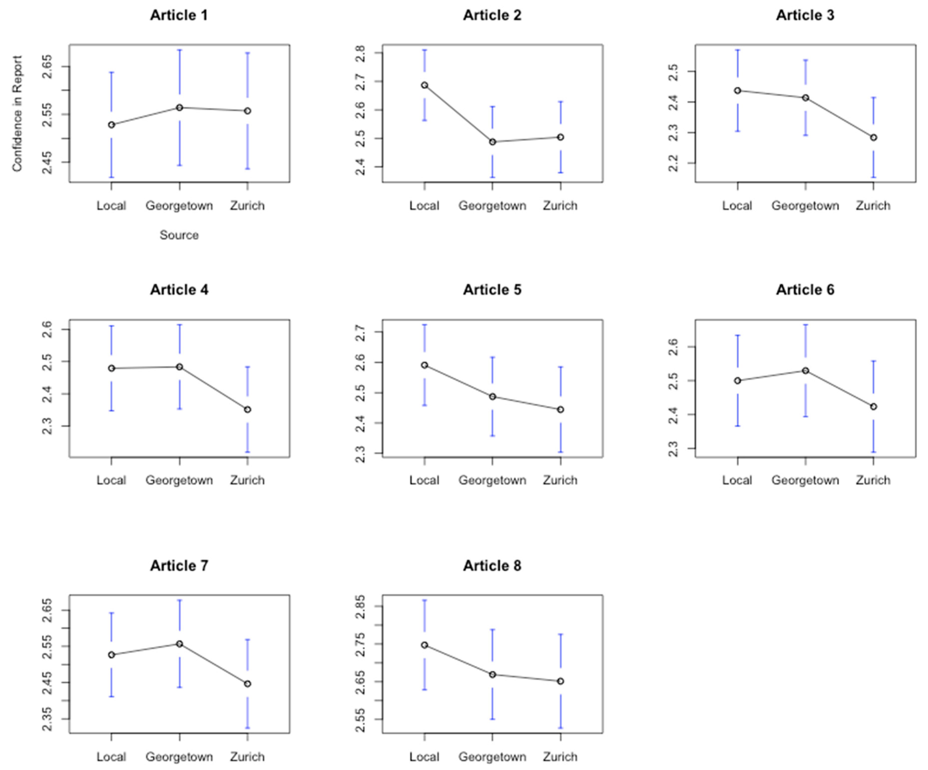
To test our first hypothesis, we performed a series of simple difference of means tests. Figure 1 graphically presents our results. The figures display average scores for respondents for each source, with vertical lines indicating the 95% confidence interval around that average. We see that the relationship between confidence in the report and the source varies by article. Some showed the expected pattern with the local university as most credible, and others showed the opposite pattern. Overall, none of the differences among sources in confidence in the report were statistically significant at p < 05. Hypothesis 1 must therefore be rejected. One may think that this null finding can be explained by Democrats and Republicans responding differently to the treatment; however, within a regression framework with controls for party affiliation, ideology, education, and income, confidence in the report is not moderated by party affiliation although Republicans were more skeptical of the report (results not shown).
Figure 1.
Comparison of means for reported confidence in scientific reports among the local university, Georgetown, and the University of Zurich.
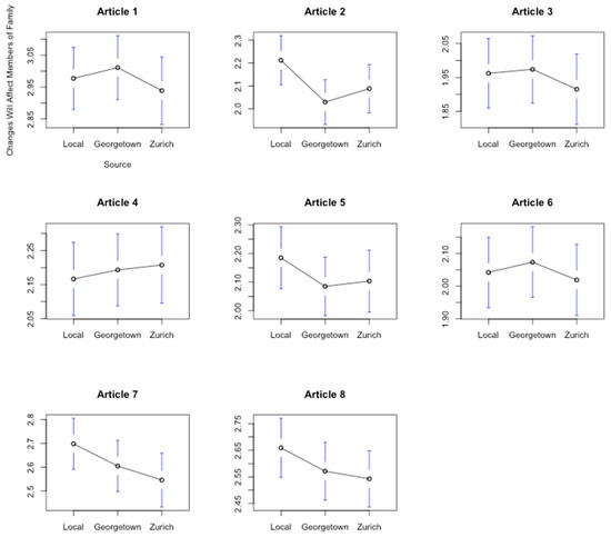
We repeated the analysis for each of the three questions about the impact of climate change on the respondent, members of the respondent’s family, and society in general. Figure 2 presents the results for whether the climate changes described would affect the respondent’s family. The results are effectively the same. The differences among the sources are not statistically significant at p < 0.05. Hypothesis 2 is not supported by the data. We obtained the same result for impacts on the respondent and society. The data are not shown. Using multiple regression with control variables, party affiliation did not moderate the effect of the source of the report for the belief that climate change will impact the respondent’s family (results not shown).
Figure 2.
Comparison of means for reported impact of climate change based on scientific reports among the local university, Georgetown, and the University of Zurich.
4. Discussion
One possibility for why the manipulation did not lead to the hypothesized results is that the university source is unimportant in the decision of whether to accept or reject climate change research. Prior beliefs are known to have a substantial influence on whether people accept persuasive messages [30,31,32,33]. Moreover, people are motivated to maintain beliefs that are consistent with their core values and preexisting attitudes [34,35,36,37]. Importantly, people may believe scientific studies that are consistent with their schemas, but reject studies that contradict them [35,38,39].
Many may already have consolidated beliefs about the veracity of climate change claims in general based on prior beliefs, so one (or eight) new piece(s) of information about climate change will not affect their overall confidence in climate change science. If this explanation is accurate, then the source location, as well as a variety of other characteristics of an individual study or new finding, would have a minimal effect on resulting attitudes. One piece of evidence in favor of this explanation is the strong correlations between responses to the various news reports. Respondents showed attitudes toward climate science that were not prone to change from one story to another.
Moreover, respondents may not have been persuaded differently by the source location of the climate change claim due to their greater reliance on how the claim aligns with their values. Respondents who identify as Democrats were more likely to believe the climate change statements than Republicans. Furthermore, Democrats reported higher levels of confidence in all eight reports than Republicans. These differences are significant at the p < 0.05 level. This would provide a value-based explanation for the strong correlation in the responses to the various news reports. Yet, the lack of any moderating effect or partisanship and the experimental conditions suggest that, while Democrats view climate science more positively than Republicans, the university from which the reports originate is not important.
Another explanation for the null findings in the experiment may be that respondents did not read the reports closely enough to pick up on the university source from where the reports originated. We did not test the respondents’ reading comprehension, so we cannot determine if this is what happened. Failing to notice the source of report is different from noting the source and not using the source location to evaluate the report. However, both scenarios support our broad conclusion that the location of the university is not a major consideration in determining confidence in climate change science.
The null results in the present study also differ from findings showing that local weathercasters are seen as credible and can influence public opinion on climate change [17,18,19]. The current study improved on those studies in some aspects by using an experimental design with repeated trials, lending better evidence to any causal association between the university source of the report and how participants rated the reports’ credibility. While the reports used in this study are actual examples of climate change journalism, the current study does not have the same real-world application as what likely occurs when people faithfully tune in to local weather reports on a near daily basis. People watch because they are interested and may be more likely to engage in higher levels of information processing when they also receive non-partisan messages relating local weather conditions to global climate change.
5. Conclusions
The intention of this paper was to shed light on the influence of source proximity on climate change attitudes. Public opposition or support for climate change policy stems, in part, from what individuals deem to be credible information. According to the literature on persuasion, source cues present an important determinant of one’s willingness to accept or reject information. We build on this phenomenon, arguing that the location of the source presents an additional cue, and thus, due to shared place-based identities, individuals will perceive more ‘local’ sources to be more credible than more ‘distant’ sources.
Surprisingly, university location does not appear to affect confidence in the various reports; instead, party identification appears to account for the differences in confidence, supporting Zaller’s expectation that individuals simply reject or accept information depending on the extent to which it supports their predispositions [40] and, because attitudes toward climate are relatively stable, the location of the university did not make a difference.
The findings from the current study suggest that the locations of universities as sources of climate science are not important to people when they are deciding how credible the science is. Practically, this means that climate advocacy groups should focus their persuasion and mobilization strategies on other areas that are more likely to influence public opinion and behavior. To convince climate skeptics, messages from trusted TV weathercasters [17,18,19] or from opinion leaders with a strong and shared identity, such as a well-known pastor or Republican politician [41], will probably have a stronger effect than the location of the university that produces the science. In line with Ross et al., additional research on what does and does not constitute effective climate change communication is important to achieving climate change policy implementation [42].
Looking to future research, one possible avenue would be to study proximity using research on climate change that directly affects a local area. As demonstrated by a few studies, local weather and extreme events are correlated with climate change opinions [43,44,45,46]. The source of research on local issues may have a greater effect than those presented in the current study. This would require research of a smaller geographical sample and more targeted reports, especially for research conducted at a local university. This change in design could also accompany more attention to the source in order to make the manipulation more obvious.
The results of our experimental study fail to reach a significant threshold. However, these null results do speak to our understanding of how sources of information affect beliefs. We learn that people do not discount or ignore research findings on climate change if they come from Europe instead of the U.S. or a nearby university, which is potentially good news for climate change scientists worried about their credibility as sources of scientific information. This is also important in determining the bounds of persuasion on climate change attitudes and what this means for future efforts to achieve climate change legislation. We believe that null findings such as ours should be published to dissuade other investigators from putting funds into similar research and to avoid the problem of publication bias in the social sciences [47,48,49].
In the U.S., progress on climate change policy will continue to be contingent on public support. While some states and cities are currently pursuing more local measures to address the issue in the face of federal inaction, the perceived credibility of the numerous pieces of information flooding the public sphere is likely to have real implications for policy progress. Risk perceptions, party identification, and several other characteristics are likely to influence this process, but the location of the source appears to be insignificant.
Author Contributions
Conceptualization, A.C.S., H.H., S.O. and E.R.A.N.S.; formal analysis, A.C.S. and H.H.; data curation, A.C.S. and H.H.; writing—original draft preparation, A.C.S., H.H. and E.R.A.N.S.; writing—review and editing, S.O.; funding acquisition, E.R.A.N.S. All authors have read and agreed to the published version of the manuscript.
Funding
This research received no external funding.
Institutional Review Board Statement
The study was conducted according to the guidelines of the Declaration of Helsinki, and approved by the Human Subjects Committee of the University of California, Santa Barbara, protocol # 14-0470, approved 18 June 2014.
Informed Consent Statement
Informed consent was obtained from all subjects involved in the study.
Data Availability Statement
Raw data are available via email request to the corresponding author.
Acknowledgments
The authors wish to thank the UC Santa Barbara Academic Senate for providing a research grant to collect these data. We are very grateful for the feedback provided by panel participants and audience members at the 2014 APSA Annual Meeting in Washington, D.C.
Conflicts of Interest
The authors declare no conflict of interest.
Appendix A
Appendix A.1. List of News Reports and Sources
- Rising temperatures and the resulting drought are causing trees in the West to die at more than twice the pace they did a few decades ago, a new study by a research team at [SOURCE] has found. The combination of temperature and drought has also reduced the ability of the forests to absorb carbon dioxide, which traps heat and thus contributes to global warming, the authors of the study said, and have made forests sparser and more susceptible to fires and pests [50].
- Power plants across the country are at increased risk of temporary shutdowns and reduced generation as temperatures and sea levels and rise and water becomes less available, a new report from [SOURCE] warns. By 2030, there will be nearly $1 trillion in energy assets in the Gulf Coast region alone at risk from increasingly costly extreme hurricanes and sea levels rises [51].
- The nation’s entire energy system is vulnerable to increasingly severe and costly weather events driven by climate change, according to a new report from [SOURCE]. The blackouts and other energy disruptions of Hurricane Sandy were just a foretaste, the report says. Every corner of the country’s energy infrastructure—Oil wells, hydroelectric dams, nuclear power plants—Will be stressed in coming years by more intense storms, rising seas, higher temperatures and more frequent droughts [52].
- Warming air from climate isn’t the only thing that will speed melting near the poles—So will the warming water beneath the ice, a new study from [SOURCE] says. In a new report, researchers say warming oceans could mean polar ice is melting faster than had been expected. One coauthor said, “This paper adds to the evidence that we could have sea level rise by the end of this century of around 1 m” [53].
- New research from [SOURCE] suggests that global warming is causing the cycle of evaporation and rainfall over the oceans to intensify more than scientists had expected, an ominous finding that may indicate a higher potential for extreme weather in coming decades. By measuring changes in salinity on the ocean’s surface, the researchers inferred that the water cycle had accelerated by about 4 percent over the last half century. If the estimate holds up, it implies that the water cycle could quicken by as much as 20 percent later in this century as the planet warms, potentially leading to more droughts and floods [54].
- Climate change could result in decreasing yields of staple food crops in most parts of the world from the 2030s onwards. A research team from [SOURCE] compared the results of more than 1700 simulations of climate change impacts on annual wheat, race, and maize (corn) yields. The data suggest that, without adaptation, average food-crop supplies will decline by about 5% per degree of Celsius warming [55].
- Finally, some good news about the effects of climate change, according to a study from [SOURCE]. It may have triggered a growth spurt in two of California’s iconic tree species: coast redwoods and giant sequoias. Since the 1970s, some coast redwoods have grown at the fastest rate ever, according to scientists who studied corings from trees more than 1000 years old [56].
- Reduced sea-ice extent and thickness would increase the seasonal duration of polar navigation on rivers and in coastal areas that are presently affected by seasonal ice cover, according to a study by [SOURCE]. Improved opportunities for water transport, tourism, and trade at high latitudes are expected as a result. These activities will have important implications for the people, economies, and navies of nations along the Arctic rim. Reduced sea ice will provide safer approaches for tourist ships and new opportunities for sightseeing around Antarctica and the Arctic [57].
Appendix A.2. Questions Asked Following Each Article
- How much confidence do you have that these scientists are right—A great deal of confidence, a good deal of confidence, some confidence, not much confidence, or none at all.
- How likely do you think it is that the changes described in this study will ever affect you—Highly likely, somewhat likely, fairly likely, or not likely at all?
- How likely do you think it is that the changes described in this study will ever affect members of your family—Highly likely, somewhat likely, fairly likely, or not likely at all?
- In your judgment, how likely is it that the problem described in this study will have substantial impacts on our society—Highly likely, somewhat likely, fairly likely, or not likely at all?
Appendix A.3. Additional Questions Included in the Questionnaire
- Here are a few questions about the government in Washington. Many people don’t know the answers to these questions, so if there are some you don’t know, just skip them.
- Do you happen to know what job or political office is now held by Joseph Biden?
- (a)
- U.S. Vice President
- (b)
- Other
- (c)
- Don’t know
- Whose responsibility is it to determine if a law is constitutional or not is it the President, the Congress, or the Supreme Court?
- (a)
- President
- (b)
- Congress
- (c)
- Supreme Court
- (d)
- Don’t know
- How much of a majority is required for the U.S. Senate and House to override a presidential veto?
- (a)
- Simple Majority
- (b)
- Two-thirds
- (c)
- Other
- (d)
- Don’t know
- Do you happen to know which party has the most members in the House of Representatives right now?
- (a)
- Democratic Party
- (b)
- Republican Party
- (c)
- Don’t know
- Would you say that one of the parties is more conservative than the other at the national level?
- (a)
- Yes
- (b)
- No
- (c)
- Don’t know
- Which party is more conservative?
- (a)
- Democratic Party
- (b)
- Republican Party
- (c)
- No Opinion
- How do often do you pray by yourself?
- (a)
- More than once a day
- (b)
- Once a day
- (c)
- More than once a week
- (d)
- Once a week
- (e)
- Every so often
- (f)
- Never
- (g)
- Don’t know
- About how often would you say that you attend religious services?
- (a)
- More often than once a week
- (b)
- Every week
- (c)
- Almost every week
- (d)
- Once or twice a month
- (e)
- A few times a year
- (f)
- Never
- (g)
- Don’t know
- Which of these statements comes closest to describing your feelings about the Bible?
- (a)
- The Bible is the actual word of God and is to be taken literally, word for word
- (b)
- The Bible is the word of God, but not everything in it should be taken literally, word for word
- (c)
- The Bible is a book written by men and is not the word of God
- (d)
- Other (specify): _____________________
- (e)
- Don’t know
- In what year where you born?
- How would you describe where you live?
- (a)
- Big city
- (b)
- Small city
- (c)
- Suburb
- (d)
- Small town
- (e)
- Rural area
- What is the highest year of school that you have finished and gotten credit for?
- (a)
- Less than a high school degree
- (b)
- High School Graduate
- (c)
- Trade/Vocational School
- (d)
- 1–2 Years of College
- (e)
- 3–4 Years of College/Did not Graduate
- (f)
- College Graduate
- (g)
- 5–6 Years of College
- (h)
- Master’s Degree
- (i)
- Graduate work past Master’s Degree
- Do you have any children or teens, under age 18, living with you in your household?
- (a)
- Yes
- (b)
- No
- Do you have any children or teens, under age 18, who do not live with you in your household?
- (a)
- Yes
- (b)
- No
- Do you have any children who are 18 or older?
- (a)
- Yes
- (b)
- No
- Generally speaking, in politics do you consider yourself to be politically:
- (a)
- Very liberal
- (b)
- Somewhat liberal
- (c)
- Middle-of-the-Road
- (d)
- Somewhat conservative
- (e)
- Very conservative
- (f)
- Don’t Think of Myself in these Terms
- Generally speaking, how do you usually think of yourself in relation to political parties?
- (a)
- Strong Republican
- (b)
- Weak Republican
- (c)
- Independent, leaning toward the Republican Party
- (d)
- Pure Independent
- (e)
- Independent, leaving toward the Democratic Party
- (f)
- Weak Democrat
- (g)
- Strong Democrat
- (h)
- Other Party: ______________
- Do you happen to be of Hispanic, Spanish, or Mexican descent?
- (a)
- Yes
- (b)
- No
- For classification purposes, we’d like to know what your racial background is. Are you White, Black or African-American, Asian, or are you a member of another race? [Multiple Categories permitted.]
- (a)
- White/Caucasian
- (b)
- Black/African American
- (c)
- Asian/Pacific Islander
- (d)
- Other
- (e)
- Refused
- Would you tell us which category your annual household income before taxes falls into:
- (a)
- Under $20,000
- (b)
- $20,000 to $40,000
- (c)
- $40,000 to $60,000
- (d)
- $60,000 to $80,000
- (e)
- $80,000 to $100,000
- (f)
- $100,000 to $125,000
- (g)
- $125,000 to $150,000
- (h)
- More than $150,000
- (i)
- Refused
- What is your gender?
- (a)
- Male
- (b)
- Female
- For statistical purposes only: what is your zip code?
References
- Oreskes, N. The scientific consensus on climate change. Science 2004, 306, 1686. [Google Scholar] [CrossRef]
- Begley, S. The Truth about Denial. Newsweek, 13 August 2007; pp. 20–29. [Google Scholar]
- Layzer, J. The Environmental Case; CQ Press: Washington, DC, USA, 2002. [Google Scholar]
- Feinberg, M.; Willer, R. Apocalypse Soon? Dire Messages Reduce Belief in Global Warming by Contradicting Just-World. Psychol. Sci. 2011, 22, 34–38. [Google Scholar] [CrossRef]
- Feygina, I.; Jost, J.T.; Goldsmith, R.E. System Justification, the Denial of Global Warming, and the Possibility of ‘System-Sanctioned Change’. Personal. Soc. Psychol. Bull. 2010, 36, 326–338. [Google Scholar] [CrossRef]
- Frantz, C.M.; Mayer, S.F. The Emergency of Climate Change: Why are We Failing to Take Action? Anal. Soc. Issues Public Policy 2009, 9, 205–222. [Google Scholar] [CrossRef]
- Attari, S.Z.; Krantz, D.H.; Weber, E.U. Statements about climate researchers’ carbon footprints affect their credibility and the impact of their advice. Clim. Chang. 2016, 138, 325–338. [Google Scholar] [CrossRef]
- McGuire, W. Attitudes and Attitude Change. In Handbook of Social Psychology, 3rd ed.; Gardner, L., Aaronson, E., Eds.; Random House: New York, NY, USA, 1985; pp. 223–346. [Google Scholar]
- Wilson, E.J.; Sherrell, D.L. Sources Effects in Communication and Persuastion Research: A Meta-Analysis of Effect Size. J. Acad. Mark. Sci. 1993, 21, 101. [Google Scholar] [CrossRef]
- Hovland, C.I.; Janis, I.L.; Kelley, H.H. Communication and Persuasion; Yale University Press: New Haven, CT, USA, 1953. [Google Scholar]
- Petty, R.E.; Wegener, D.T. The Elaboration Likelihood Model: Current Status and Controversies. In Dual-Process Theories in Social Psychology; Chaiken, S., Trope, Y., Eds.; Guilford Press: New York, NY, USA, 1999; pp. 41–72. [Google Scholar]
- Chaiken, S. Heuristic versus systematic Information Processing and the Use of Source versus Message Cues in Persuasion. J. Personal. Soc. Psychol. 1980, 39, 752–766. [Google Scholar] [CrossRef]
- Chen, S.; Chaiken, S. The Heuristic-Systematic Model in Its Broader Context. In Dual-Process Theories in Social Psychology; Chaiken, S., Trope, Y., Eds.; Guilford Press: New York, NY, USA, 1999; pp. 73–96. [Google Scholar]
- Sternthal, B.; Phillips, L.W.; Dholakia, R. The persuasive Effect of Source Credibility: A Situational Analysis. Public Opin. Q. 1978, 42, 285–314. [Google Scholar] [CrossRef]
- Earle, T.; Cvetkovich, G. Social Trust: Toward a Cosmopolitan Society; Praeger: Westport, CT, USA, 1995. [Google Scholar]
- Cvetkovich, G. The Attribution of Social Trust. In Social Trust and the Management of Risk; Cvetkovich, G., Lofstedt, R., Eds.; Earthscan: London, UK, 1999; pp. 53–61. [Google Scholar]
- Bloodhart, B.; Maibach, E.; Myers, T.; Zhao, X. Local climate experts: The influence of local TV weather information on climate change perceptions. PLoS ONE 2015, 10, e0141526. [Google Scholar] [CrossRef]
- Maibach, E.; Woods, B.; Placky, J.; Witte, K.; Gardiner, N.; Myers, T.; Sublette, S.; Cullen, H. TV meteorologists as local climate change educators. Oxf. Res. Encycl. Clim. Sci. 2016. [Google Scholar] [CrossRef]
- Feygina, I.; Myers, T.; Placky, B.; Sublette, S.; Souza, T.; Toohey-Morales, J.; Maibach, E. Localized climate reporting by TV weathercasters enhances public understanding of climate change as a local problem: Evidence from a randomized controlled experiment. Bull. Am. Meteorol. Soc. 2020, 101, E1092–E1100. [Google Scholar] [CrossRef]
- Kotcher, J.E.; Myers, T.; Vraga, E.K.; Stenhouse, N.; Maibach, E.W. Does engagement in advocacy hurt the credibility of scientists? Results from a randomized national survey experiment. Environ. Commun. 2017, 11, 415–429. [Google Scholar] [CrossRef]
- Proshansky, H.M.; Fabian, A.K.; Kaminoff, R. Place-identity: Physical world socialization of the self. J. Environ. Psychol. 1983, 3, 57–83. [Google Scholar] [CrossRef]
- Scannell, L.; Gifford, R. Defining place attachment: A tripartite organizing framework. J. Environ. Psychol. 2010, 30, 1–10. [Google Scholar] [CrossRef]
- Scannell, L.; Gifford, R. Personally relevant climate change the role of place attachment and local versus global message framing in engagement. Environ. Behav. 2013, 45, 60–85. [Google Scholar] [CrossRef]
- Gössling, T. Proximity, trust and morality in networks. Eur. Plan. Stud. 2004, 12, 675–689. [Google Scholar] [CrossRef]
- Erikson, R.S.; McIver, J.P.; Wright, G.C. State political culture and public opinion. Am. Politic. Sci. Rev. 1987, 81, 797–813. [Google Scholar] [CrossRef]
- Weakliem, D.L.; Biggert, R. Region and political opinion in the contemporary United States. Soc. Forces 1999, 77, 863–886. [Google Scholar] [CrossRef]
- Hannan, A.; Li, R.; Benton-Davis, S.; Grummer-Strawn, L. Regional variation in public opinion about breastfeeding in the United States. J. Hum. Lact. 2005, 21, 284–288. [Google Scholar] [CrossRef]
- Berrens, R.P.; Bohara, A.K.; Jenkins-Smith, H.; Silva, C.; Weimer, D.L. The Advent of Internet Surveys for Political Research: A Comparison of Telephone and Internet Samples. Politic. Anal. 2003, 11, 1–22. [Google Scholar] [CrossRef]
- Malhotra, N.; Krosnick, J.A. The Effect of Survey Mode and Sampling Inferences about Political Attitudes and Behavior: Comparing the 2000 and 2004 ANES to Internet Surveys with Nonprobability Samples. Politic. Anal. 2007, 15, 286–323. [Google Scholar] [CrossRef]
- Albarracín, D.; Wyer, R.S. The Cognitive Impact on Past Behavior: Influences on Beliefs, Attitudes, and Future Behavioral Decisions. Soc. Psychol. Bull. 2000, 27, 691–705. [Google Scholar] [CrossRef]
- Fishbein, M.; Ajzen, I. Acceptance, Yielding, and Impact: Cognitive Processes in Persuasion. In Cognitive Responses in Persuasion; Richard, E.P., Thomas, M.O., Timothy, C.B., Eds.; Erlbaum: Hillsdale, NJ, USA, 1981; pp. 339–359. [Google Scholar]
- Greenwald, A.G. Cognitive Learning, Cognitive Responses to Persuasion and Attitude Change. In Psychological Foundations of Attitudes; Anthony, G.G., Timothy, C.B., Thomas, M.O., Eds.; Academic Press: New York, NY, USA, 1968. [Google Scholar]
- MacCoun, R.J.; Paletz, S. Citizens’ Perceptions of Ideological Bias in Research on Public Policy Controversies. Politic. Psychol. 2009, 30, 43–65. [Google Scholar] [CrossRef]
- Chaiken, S.; Giner-Sorolla, R.; Chen, S. Beyond Accuracy: Defense and impression Motives in Heuristic and Systematic Information Processing. In The Psychology of Action: Linking Cognition and Motivation to Behavior; Gollwitzer, P.M., Bargh, J.A., Eds.; Guilford Press: New York, NY, USA, 1996; pp. 553–578. [Google Scholar]
- Lord, C.G.; Ross, L.; Lepper, M.R. Biased Assimilation and Attitude Polarization: The effects of Prior Theories on Subsequently Considered Evidence. J. Personal. Soc. Psychol. 1979, 37, 2098–2109. [Google Scholar] [CrossRef]
- Pomerantz, E.M.; SChaiken, S.; Tordesillas, R.S. Attitude Strength and Resistance Processes. J. Personal. Soc. Psychol. 1995, 69, 408–419. [Google Scholar] [CrossRef]
- Pyszczynski, T.; Greenberg, J. Toward an Integration of Cognitive and Motivational Perspectives on Social Inference: A biased Hypothesis-testing Model. In Advances in Experimental Social Psychology; Berkowitz, L., Ed.; Academic Press: New York, NY, USA, 1987; Volume 20, pp. 297–340. [Google Scholar]
- Anderson, C.A. Abstract and Concrete Data in the Perseverance of social theories: When Weak Data Lead to Unshakable Beliefs. J. Exp. Soc. Psychol. 1983, 19, 93–108. [Google Scholar] [CrossRef]
- Crocker, J.; Fiske, S.; Taylor, S.E. Schematic Bases of Belief Change. In Attitudinal Judgment; Eiser, J.R., Ed.; Springer: New York, NY, USA, 1984; pp. 197–226. [Google Scholar]
- Zaller, J.R. The Nature and Origins of Mass Opinion; Cambridge University Press: Cambridge, UK, 1992. [Google Scholar]
- Fielding, K.S.; Hornsey, M.J.; Thai, H.A.; Toh, L.L. Using ingroup messengers and ingroup values to promote climate change policy. Clim. Chang. 2020, 158, 181–199. [Google Scholar] [CrossRef]
- Ross, L.; Arrow, K.; Cialdini, R.; Diamond-Smith, N.; Diamond, J.; Dunne, J. The Climate Change Challenge and Barriers to the Exercise of Foresight Intelligence. BioScience 2016, 66, 363–370. [Google Scholar] [CrossRef]
- Carlton, J.S.; Mase, A.S.; Knutson, C.L.; Lemos, M.C.; Haigh, T.; Todey, D.P.; Prokopy, L.S. The effects of extreme drought on climate change beliefs, risk perceptions, and adaptation attitudes. Clim. Chang. 2015, 135, 211–226. [Google Scholar] [CrossRef]
- Donner, S.D.; McDaniels, J. The influence of national temperature fluctuations on opinions about climate change in the U.S. since 1990. Clim. Chang. 2013, 118, 537–550. [Google Scholar] [CrossRef]
- Evans, J.M.; Calabria, J.; Borisova, T.; Boellstorf, D.E.; Sochacka, N.; Smolen, M.D.; Risse, L.M. Effects of local drought condition on public opinions about water supply and future climate change. Clim. Chang. 2015, 132, 193–207. [Google Scholar] [CrossRef]
- Konisky, D.M.; Hughes, L.; Kaylor, C.H. Extreme weather events and climate change concern. Clim. Chang. 2015, 134, 533–547. [Google Scholar] [CrossRef]
- Franco, A.; Malhotra, N.; Simonowits, G. Publication Bias in the Social Sciences: Unlocking the File Drawer. Science 2014, 345, 1502–1505. [Google Scholar] [CrossRef] [PubMed]
- Peplow, M. Social sciences suffer from severe publication bias. Nature News, 28 August 2014. [Google Scholar]
- Ferguson, C.; Heene, M. A Vast Graveyard of Undead Theories. Perspect. Psychol. Sci. 2012, 7, 555–561. [Google Scholar] [CrossRef]
- Navarro, M. Heat and Drought Blamed in Tree Deaths in the West. New York Times, 23 January 2009; p. a13. [Google Scholar]
- Villeneuve, M. Extreme Weather Threatens Power Plants, Study Says. Los Angeles Times, 15 July 2013. [Google Scholar]
- Broder, J.U.S. Warns that Climate Change Will Cause More Energy Breakdowns. New York Times, 11 July 2013; p. a12. [Google Scholar]
- Faster Melt Predicted for Polar Ice. Los Angeles Times, 4 July 2011.
- Gillis, J. Study Indicates a Greater Threat of Extreme Weather. New York Times, 27 April 2012. [Google Scholar]
- Warming Climate Threatens Crops. Nature, 20 March 2014; p. 277.
- Boxall, B. Growth Spurt: Climate Change May Be Proving Beneficial for California’s Redwoods. Los Angeles Times, 14 August 2013; p. aa1. [Google Scholar]
- IPCC Reports. Available online: https://archive.ipcc.ch/ipccreports/sres/regional/index.php?idp=54 (accessed on 1 June 2014).
Publisher’s Note: MDPI stays neutral with regard to jurisdictional claims in published maps and institutional affiliations. |
© 2020 by the authors. Licensee MDPI, Basel, Switzerland. This article is an open access article distributed under the terms and conditions of the Creative Commons Attribution (CC BY) license (http://creativecommons.org/licenses/by/4.0/).

