Evaluation of Pacific Whiteleg Shrimp and Three Halophytic Plants in Marine Aquaponic Systems under Three Salinities
Abstract
1. Introduction
2. Materials and Methods
2.1. Aquaponic System Design
2.2. Biological Material
2.2.1. Shrimp
2.2.2. Plants
2.3. Experimental Design and System Management
2.4. Measurement of Water Quality
2.5. Growth Performance
2.5.1. Shrimp
2.5.2. Plants
2.6. Statistical Analysis
3. Results
3.1. Shrimp Growth
3.2. Plants
3.2.1. Red Orache (Atriplex hortensis)
3.2.2. Okahijiki (Salsola komarovii)
3.2.3. Minutina (Plantago coronopus)
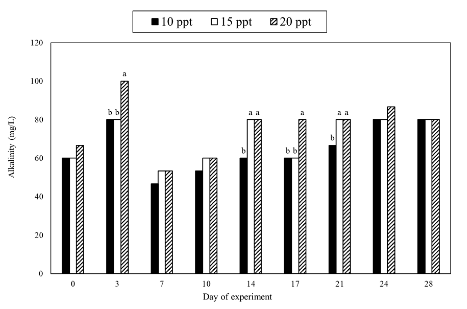
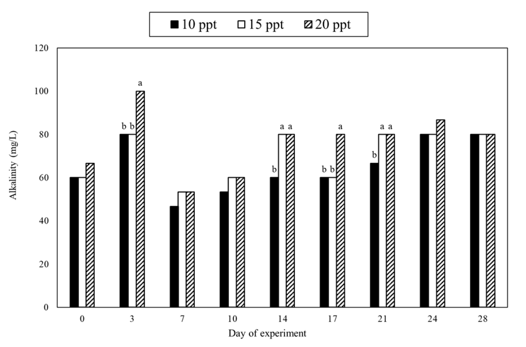
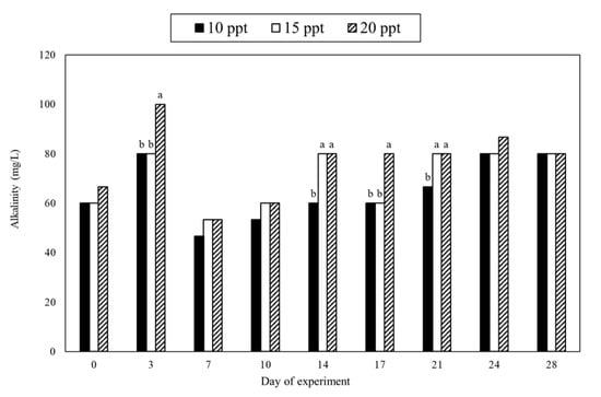
3.3. Water Quality
4. Discussion
4.1. Shrimp Growth
4.2. Plants
4.3. Water Quality
5. Conclusions
Author Contributions
Funding
Institutional Review Board Statement
Informed Consent Statement
Data Availability Statement
Acknowledgments
Conflicts of Interest
References
- Rakocy, J.E. Aquaponics: Integrating fish and plant culture. In Aquaculture Production Systems, 1st ed.; Tidwell, J.H., Ed.; Wiley-Blackwel: Ames, IA, USA, 2012; pp. 343–386. [Google Scholar]
- Alshrouf, A. Hydroponics, aeroponic and aquaponic as compared with conventional farming. Am. Sci. Res. J. Eng. Technol. Sci. 2017, 27, 247–255. [Google Scholar]
- Pantanella, E.; Colla, G. Saline aquaponics opportunities for integrated marine aquaculture. In Proceedings of the International Aquaponic Conference: Aquaponics and Global food Security, Stevens Ponit, WI, USA, 19–21 June 2013; p. 52. [Google Scholar]
- Somerville, C.; Cohen, M.; Pantanella, E.; Stankus, A.; Lovatelli, A. Small-Scale Aquaponic Food Production—Integrated Fish and Plant Farming; Fisheries and Aquaculture Technical Paper, No 589; FAO: Rome, Italy, 2014; p. 262. ISSN 2070-7010. Available online: http://www.fao.org/3/a-i4021e.pdf (accessed on 10 February 2018).
- Goddek, S.; Joyce, A.; Kotzen, B.; Butnell, G.M. Aquaponics Food Production Systems: Combined Aquaculture and Hydroponic Production Technology for the Future; Springer: Berlin/Heidelberg, Germany, 2019; p. 619. [Google Scholar]
- Koyro, H.; Khan, M.A.; Lieth, H. Halophytic crops: A resource for the future to reduce the water crisis? Emirates J. Food Agric. 2011, 23, 1–16. [Google Scholar] [CrossRef]
- Flowers, T.J.; Colmer, T.D. Salinity tolerance in halophytes. New Phytol. 2008, 179, 945–963. [Google Scholar] [CrossRef] [PubMed]
- Quagrainie, K.K.; Flores, R.M.V.; Kim, H.J.; McClain, V. Economic analysis of aquaponics and hydroponics production in the U.S. Midwest. J. Appl. Aquac. 2018, 30, 1–14. [Google Scholar] [CrossRef]
- Anderson, J.L.; Valderrama, D.; Jory, D. Shrimp Production Review; Global Outlook for Aquaculture Leadership (GOAL): Dublin, Ireland, 2017; Available online: https://www.aquaculturealliance.org/wp-content/uploads/2018/01/Global-Shrimp-Production-Data-Analysis-Dr.-James-Anderson-GOAL-2017.pdf (accessed on 16 June 2018).
- FAO. The State of World Fisheries and Aquaculture 2018—Meeting the Sustainable Development Goals; FAO: Rome, Italy, 2018; Licence: CC BY-NC-SA 3.0 IGO; Available online: http://www.fao.org/3/i9540en/I9540EN.pdf (accessed on 21 July 2018).
- Argue, B.J.; Arce, S.M.; Lotz, J.M.; Moss, S.M. Selective breeding of pacific white shrimp (Litopenaeus vannamei) for growth and resistance to taura syndrome virus. Aquaculture 2002, 204, 447–460. [Google Scholar] [CrossRef]
- Gao, W.; Tian, L.; Huang, T.; Yao, M.; Hu, W.; Xu, Q. Effect of salinity on the growth performance, osmolarity and metabolism-related gene expression in white shrimp Litopenaeus vannamei. Aquac. Rep. 2016, 4, 125–129. [Google Scholar] [CrossRef]
- Li, E.; Chen, L.; Zeng, C.; Chen, X.; Yu, N.; Lai, Q.; Qin, J.G. Growth, body composition, respiration and ambient ammonia nitrogen tolerance of the juvenile white shrimp, Litopenaeus vannamei, at different salinities. Aquaculture 2007, 265, 385–390. [Google Scholar] [CrossRef]
- Lightner, D.V.; Redman, R.M.; Arce, S.; Moss, S.M. Specific pathogen-free shrimp stocks in shrimp farming facilities as a novel method for disease control in crustaceans. In Shellfish Safety and Quality; Woodhead Publishing: Cambridge, UK, 2009; pp. 384–424. [Google Scholar]
- Moss, D.R.; Arce, S.M.; Otoshi, C.A.; Doyle, R.W.; Moss, S.M. Effects of inbreeding on survival and growth of Pacific white shrimp Penaeus (Litopenaeus) vannamei. Aquaculture 2007, 272, 30–37. [Google Scholar] [CrossRef]
- Moss, S.M.; Arce, S.M.; Argue, B.J.; Otoshi, C.A.; Calderon, R.O.; Tacon, A.G.J. Greening of the blue revolution: Efforts toward environmentally responsible shrimp culture. In The New Wave: Proceedings of the Special Session on Sustainable Shrimp Culture, Aquaculture; Browdy, C.L., Jory, D.E., Eds.; The World Aquaculture Society: Baton Rouge, LA, USA, 2001; pp. 1–19. [Google Scholar]
- Moss, S.M.; Moss, D.R.; Otoshi, C.A.; Arce, S.M. An integrated approach to sustainable shrimp farming. Asian Fish. Sci. 2011, 23, 591–605. [Google Scholar]
- Ponce-Palafox, J.; Martinez-Palacios, C.A.; Ross, L.G. The effects of salinity and temperature on the growth and survival rates of juvenile white shrimp, Penaeus vannamei, Boone, 1931. Aquaculture 1997, 157, 107–115. [Google Scholar] [CrossRef]
- Krummenauer, D.; Peixoto, S.; Cavalli, R.O.; Poersch, L.H.; Wasielesky, W. Superintensive culture of white shrimp, Litopenaeus vannamei, in a biofloc technology system in Southern Brazil at different stocking densities. J. World Aquac. Soc. 2011, 42, 726–733. [Google Scholar] [CrossRef]
- Otoshi, C.A.; Rodriguez, N.; Moss, S.M. Establishing nitrifying bacteria in super-intensive biofloc shrimp production. Glob. Aquac. Advocate 2011, 14, 24–26. [Google Scholar]
- Avnimelech, Y. Bio-filters: The need for a new comprehensive approach. Aquac. Eng. 2006, 34, 172–178. [Google Scholar] [CrossRef]
- Browdy, C.L.; Ray, A.J.; Leffler, J.W.; Avnimelech, Y. Biofloc-based aquaculture systems. In Aquaculture Production Systems, 1st ed.; Tidwell, J.H., Ed.; Wiley-Blackwel: Ames, IA, USA, 2012; pp. 278–307. [Google Scholar]
- Crab, R.; Defoirdt, T.; Bossier, P.; Verstraete, W. Biofloc technology in aquaculture: Beneficial effects and future challenges. Aquaculture 2012, 356–357, 351–356. [Google Scholar] [CrossRef]
- De Schryver, P.; Crab, R.; Defoirdt, T.; Boon, N.; Verstraete, W. The basics of bio-flocs technology: The added value for aquaculture. Aquaculture 2008, 277, 125–137. [Google Scholar] [CrossRef]
- Buhmann, A.K.; Waller, U.; Wecker, B.; Papenbrock, J. Optimization of culturing conditions and selection of species for the use of halophytes as biofilter for nutrient-rich saline water. Agric. Water Manag. 2015, 149, 102–114. [Google Scholar] [CrossRef]
- Pinheiro, I.; Arantes, R.; do Espírito Santo, C.M.; do Nascimento Vieira, F.; Lapa, K.R.; Gonzaga, L.V.; Fett, R.; Barcelos-Oliveira, J.L.; Seiffert, W.Q. Production of the halophyte Sarcocornia ambigua and Pacific white shrimp in an aquaponic system with biofloc technology. Ecol. Eng. 2017, 100, 261–267. [Google Scholar] [CrossRef]
- Pinheiro, I.; Carneiro, R.F.S.; do Vieira, F.N.; Gonzaga, L.V.; Fett, R.; de Oliveira Costa, A.C.; Magallón-Barajas, F.J.; Seiffert, W.Q. Aquaponic production of Sarcocornia ambigua and Pacific white shrimp in biofloc system at different salinities. Aquaculture 2020, 519, 1–9. [Google Scholar] [CrossRef]
- Crab, R. Bioflocs Technology: An Integrated System for the Removal of Nutrients and Simultaneous Production of Feed in Aquaculture. Ph.D. Thesis, Ghent University, Brusseis, Belgium, 2010; p. 87. [Google Scholar]
- Buruiană, C.T.; Profir, A.G.; Vizireanu, C. Effects of probiotic bacillus species in aquaculture—An overview. Ann. Univ. Dunarea Jos Galati Fascicle VI Food Technol. 2014, 38, 9–17. [Google Scholar]
- Martínez Cruz, P.; Ibáñez, A.L.; Monroy Hermosillo, O.A.; Ramírez Saad, H.C. Use of probiotics in aquaculture. ISRN Microbiol. 2012, 2012, 916845. [Google Scholar] [CrossRef]
- Nemutanzhela, M.E.; Roets, Y.; Gardiner, N.; Lalloo, R. The use and benefits of Bacillus based biological agents in aquaculture. In Sustainable Aquaculture Techniques, 1st ed.; Hernández-Vergara, M.P., Pérez-Rostro, C.I., Eds.; InTech: Rijeka, Croatia, 2014; pp. 1–34. [Google Scholar]
- Olmos, J.; Acosta, M.; Mendoza, G.; Pitones, V. Bacillus subtilis, an ideal probiotic bacterium to shrimp and fish aquaculture that increase feed digestibility, prevent microbial diseases, and avoid water pollution. Arch. Microbiol. 2020, 202, 427–435. [Google Scholar] [CrossRef] [PubMed]
- Radhakrishnan, R.; Hashem, A.; Abd Allah, E.F. Bacillus: A biological tool for crop improvement through bio-molecular changes in adverse environments. Front Physiol. 2017, 8, 1–14. [Google Scholar] [CrossRef] [PubMed]
- Kim, J.H.; Suk, S.; Jang, W.J.; Lee, C.H.; Kim, J.E.; Park, J.K.; Kweon, M.H.; Kim, J.H.; Lee, K.W. Salicornia extract ameliorates salt-induced aggravation of nonalcoholic fatty liver disease in obese mice fed a high-fat diet. J. Food Sci. 2017, 82, 1765–1774. [Google Scholar] [CrossRef] [PubMed]
- Panta, S.; Flowers, T.; Lane, P.; Doyle, R.; Haros, G.; Shabala, S. Halophyte agriculture: Success stories. Environ. Exp. Bot. 2014, 107, 71–83. [Google Scholar] [CrossRef]
- Panth, N.; Park, S.H.; Kim, H.J.; Kim, D.H.; Oak, M.H. Protective effect of Salicornia europaea extracts on high salt intake-induced vascular dysfunction and hypertension. Int. J. Mol. Sci. 2016, 17, 1176. [Google Scholar] [CrossRef]
- Glenn, E.P.; Brown, J.J.; Leary, J.W.O. Irrigating crops with seawater. Sci. Am. 1998, 279, 76–81. [Google Scholar] [CrossRef]
- Ventura, Y.; Sagi, M. Halophyte crop cultivation: The case for salicornia and sarcocornia. Environ. Exp. Bot. 2013, 92, 144–153. [Google Scholar] [CrossRef]
- Carlsson, R.; Clarke, E.M.W. Atriplex hortensis L. as a leafy vegetable, and as a leaf protein concentrate plant. Plant Foods Hum. Nutr. 1983, 33, 127–133. [Google Scholar] [CrossRef]
- Shannon, M.C.; Grieve, C.M. Tolerance of vegetable crops to salinity. Sci. Hortic. 1999, 78, 5–38. [Google Scholar] [CrossRef]
- Wilson, C.; Lesch, S.M.; Grieve, C.M. Growth stage modulates salinity tolerance of New Zealand spinach (Tetragonia tetragonioides, Pall.) and red orache (Atriplex hortensis L.). Ann. Bot. 2000, 85, 501–509. [Google Scholar] [CrossRef]
- Zhao, K.; Feng, L. Chinese Halophyte Resources, 1st ed.; China Science Publishing & Media Ltd.: Beijing, China, 2001; p. 220. [Google Scholar]
- Koyro, H.W. Effect of salinity on growth, photosynthesis, water relations and solute composition of the potential cash crop halophyte Plantago coronopus (L.). Environ. Exp. Bot. 2006, 56, 136–146. [Google Scholar] [CrossRef]
- Benzarti, M.; Rejeb, K.B.; Messedi, D.; Mna, A.B.; Hessini, K.; Ksontini, M.; Abdelly, C.; Debez, A. Effect of high salinity on Atriplex portulacoides: Growth, leaf water relations and solute accumulation in relation with osmotic adjustment. S. Afr. J. Bot. 2014, 95, 70–77. [Google Scholar] [CrossRef]
- Sai Kachout, S.; Mansoura, A.B.; Jaffel, K.; Leclerc, J.C.; Rejeb, M.N.; Ouerghi, Z. The effect of salinity on the growth of the halophyte Atriplex Hortensis (Chenopodiaceae). Appl. Ecol. Environ. Res. 2009, 7, 319–332. [Google Scholar] [CrossRef]
- Waller, U.; Buhmann, A.K.; Ernst, A.; Hanke, V.; Kulakowski, A.; Wecker, B.; Orellana, J.; Papenbrock, J. Integrated multi-trophic aquaculture in a zero-exchange recirculation aquaculture system for marine fish and hydroponic halophyte production. Aquac. Int. 2015, 23, 1473–1489. [Google Scholar] [CrossRef]
- Xing, J.; Cai, M.; Chen, S.; Chen, L.; Lan, H. Seed germination, plant growth and physiological responses of Salsola ikonnikovii to short-term NaCl stress. Plant Biosyst. 2013, 147, 285–297. [Google Scholar] [CrossRef]
- Lin, Y.C.; Chen, J.C. Acute toxicity of nitrite on Litopenaeus vannamei (Boone) juveniles at different salinity levels. Aquaculture 2003, 224, 193–201. [Google Scholar] [CrossRef]
- Bray, W.A.; Lawrence, A.L.; Leung-Trujillo, J.R. The effect of salinity on growth and survival of Penaeus vannamei, with observations on the interaction of IHHN virus and salinity. Aquaculture 1994, 122, 133–146. [Google Scholar] [CrossRef]
- Flowers, T.J. Improving crop salt tolerance. J. Exp. Bot. 2004, 55, 307–319. [Google Scholar] [CrossRef]
- Chu, Y.-T. Effects of Different Probiotics on Water Qualities and Growth in Close Culture System of Litpenaeus vannamei. Master’s Thesis, National Taiwan Ocean University, Keelung, Taiwan, July 2014. [Google Scholar]
- Xu, W.J.; Morris, T.C.; Samocha, T.M. Effects of C/N ratio on biofloc development, water quality, and performance of Litopenaeus vannamei juveniles in a biofloc-based, high-density, zero-exchange, outdoor tank system. Aquaculture 2016, 453, 169–175. [Google Scholar] [CrossRef]
- Ray, A.J.; Lotz, J.M. Comparing salinities of 10, 20, and 30‰ in intensive, commercial-scale biofloc shrimp (Litopenaeus vannamei) production systems. Aquaculture 2017, 476, 29–36. [Google Scholar] [CrossRef]
- Maicá, P.F.; de Borba, M.R.; Wasielesky, W. Effect of low salinity on microbial floc composition and performance of Litopenaeus vannamei (Boone) juveniles reared in a zero-water-exchange super-intensive system. Aquac. Res. 2012, 43, 361–370. [Google Scholar] [CrossRef]
- Boxman, S.E.; Nystrom, M.; Ergas, S.J.; Main, K.L.; Trotz, M.A. Evaluation of water treatment capacity, nutrient cycling, and biomass production in a marine aquaponic system. Ecol. Eng. 2018, 120, 299–310. [Google Scholar] [CrossRef]
- Nozzi, V.; Parisi, G.; Di Crescenzo, D.; Giordano, M.; Carnevali, O. Evaluation of Dicentrarchus labrax meats and the vegetable quality of Beta vulgaris var. Cicla farmed in freshwater and saltwater aquaponic systems. Water 2016, 8, 423. [Google Scholar] [CrossRef]
- Breckle, S.W. Salinity tolerance of different halophyte types, genetic aspects of plant mineral nutrition. In Genetic Aspects of Plant Mineral Nutrition; Bassam, N.E., Dambroth, M., Longhman, B.C., Eds.; Kluwer Academic: Dordrecht, The Netherlands, 1990; pp. 167–175. [Google Scholar]
- Gupta, U.C.; Gupta, S.C. Sources and deficiency diseases of mineral nutrients in human health and nutrition: A review. Pedosphere 2014, 24, 13–38. [Google Scholar] [CrossRef]
- Watanabe, W.O.; Farnell, R.D. Experimental evaluation of the halophyte, Salicornia virginica, for biomitigation of dissolved nutrients in effluent from a recirculating aquaculture system for marine finfish. J. World Aquac. Soc. 2018, 49, 735–754. [Google Scholar] [CrossRef]
- Yang, T.; Kim, H.J. Comparisons of nitrogen and phosphorus mass balance for tomato-, basil-, and lettuce-based aquaponic and hydroponic systems. J. Clean. Prod. 2020, 274, 122619. [Google Scholar] [CrossRef]
- Schmautz, Z.; Graber, A.; Jaenicke, S.; Goesmann, A.; Junge, R.; Smits, T.H.M. Microbial diversity in different compartments of an aquaponics system. Arch. Microbiol. 2017, 199, 613–620. [Google Scholar] [CrossRef]
- da Cerozi, B.S.; Fitzsimmons, K. Use of Bacillus spp. to enhance phosphorus availability and serve as a plant growth promoter in aquaponics systems. Sci. Hortic. 2016, 211, 277–282. [Google Scholar] [CrossRef]
- Zokaeifar, H.; Babaei, N.; Saad, C.R.; Kamarudin, M.S.; Kamaruzaman, S.; Balcazar, J.L. Administration of Bacillus subtilis strains in the rearing water enhances the water quality, growth performance, immune response, and resistance against Vibrio harveyi infection in juvenile white shrimp, Litopenaeus vannamei. Fish Shellfish Immunol. 2014, 36, 68–74. [Google Scholar] [CrossRef]
- Xu, W.J.; Morris, T.C.; Samocha, T.M. Effects of two commercial feeds for semi-intensive and hyper-intensive culture and four C/N ratios on water quality and performance of Litopenaeus vannamei juveniles at high density in biofloc-based, zero-exchange outdoor tanks. Aquaculture 2018, 490, 194–202. [Google Scholar] [CrossRef]
- Xu, W.J.; Pan, L.Q.; Sun, X.H.; Huang, J. Effects of bioflocs on water quality, and survival, growth and digestive enzyme activities of Litopenaeus vannamei (Boone) in zero-water exchange culture tanks. Aquac. Res. 2013, 44, 1093–1102. [Google Scholar] [CrossRef]
- Ebeling, J.M.; Timmons, M.B.; Bisogni, J.J. Engineering analysis of the stoichiometry of photoautotrophic, autotrophic, and heterotrophic removal of ammonia-nitrogen in aquaculture systems. Aquaculture 2006, 257, 346–358. [Google Scholar] [CrossRef]
- Ray, A.J.; Lewis, B.L.; Browdy, C.L.; Leffler, J.W. Suspended solids removal to improve shrimp (Litopenaeus vannamei) production and an evaluation of a plant-based feed in minimal-exchange, superintensive culture systems. Aquaculture 2010, 299, 89–98. [Google Scholar] [CrossRef]
- Ray, A.J.; Lotz, J.M. Study shows lower biofloc concentration may improve shrimp production. Glob. Aquac. Advocate 2012, 15, 28–31. [Google Scholar]
- Bower, C.E.; Bidwell, J.P. Ionization of ammonia in seawater: Effects of temperature, pH, and salinity. J. Fish Res. Board Can. 1978, 35, 1012–1016. [Google Scholar] [CrossRef]




| Salinity (ppt) | 10 | 15 | 20 |
| Initial Weight (g) | 0.96 ± 0.12 | 0.96 ± 0.12 | 0.96 ± 0.11 |
| Final Weight (g) | 1.82 ± 0.16 b | 2.00 ± 0.10 a | 1.99 ± 0.07 a |
| WGR (%) | 79.24 ± 6.09 b | 89.88 ± 2.18 ab | 93.93 ± 5.39 a |
| SGR (%) | 2.08 ± 0.12 b | 2.29 ± 0.04 ab | 2.40 ± 0.10 a |
| FCR | 1.67 ± 0.13 a | 1.47 ± 0.04 ab | 1.38 ± 0.08 b |
| Survival Rate (%) | 93.3 ± 2.9 | 95.0 ± 2.5 | 95.8 ± 1.4 |
| Productivity (kg/m2) | 0.35 ± 0.01 b | 0.37 ± 0.01 ab | 0.37 ± 0.01 a |
| Plant Species | Salinity (ppt) | IFW (g/plant) | IDW (g/plant) | FFW (g/plant) | FDW (g/plant) | RGR (%) | WC (%) | Yield (kg/m2) |
|---|---|---|---|---|---|---|---|---|
| Red orache | 10 ppt | 0.05 ± 0.01 a | 0.004 ± 0.001 a | 3.67 ± 1.28 a | 0.34 ± 1.28 a | 15.1 ± 1.3 a | 90.7 ± 0.2 a | 0.37 ± 0.02 a |
| 15 ppt | 0.05 ± 0.01 a | 0.004 ± 0.001 a | 3.31 ± 0.90 ab | 0.34 ± 0.10 a | 14.8 ± 1.0 ab | 89.7 ± 0.2 b | 0.36 ± 0.03 a | |
| 20 ppt | 0.05 ± 0.01 a | 0.004 ± 0.001 a | 2.80 ± 0.99 b | 0.29 ± 0.12 a | 14.2 ± 1.2 b | 89.8 ± 0.2 b | 0.31 ± 0.05 a | |
| p | ns | ns | * | ns | * | *** | ns | |
| Okahijiki | 10 ppt | 0.13 ± 0.01 a | 0.011 ± 0.001 a | 6.05 ± 2.40 a | 0.42 ± 0.17 a | 13.3 ± 1.5 a | 93.0 ± 0.4 a | 0.63 ± 0.10 a |
| 15 ppt | 0.13 ± 0.01 a | 0.011 ± 0.001 a | 4.78 ± 1.50 ab | 0.36 ± 0.11 a | 12.6 ± 1.2 a | 92.4 ± 0.6 b | 0.49 ± 0.09 ab | |
| 20 ppt | 0.13 ± 0.01 a | 0.011 ± 0.001 a | 3.64 ± 1.39 b | 0.34 ± 0.12 a | 11.5 ± 1.4 b | 90.7 ± 1.0 c | 0.39 ± 0.02 b | |
| p | ns | ns | *** | ns | *** | *** | * | |
| Minutina | 10 ppt | 0.05 ± 0.01 a | 0.003 ± 0.001 a | 20.28 ± 9.25 a | 1.50 ± 0.74 a | 20.9 ± 1.8 a | 92.7 ± 0.4 a | 2.03 ± 0.47 a |
| 15 ppt | 0.05 ± 0.01 a | 0.003 ± 0.001 a | 8.79 ± 3.45 b | 0.68 ± 0.27 b | 18.0 ± 1.5 b | 92.3 ± 0.4 b | 0.88 ± 0.14 b | |
| 20 ppt | 0.05 ± 0.01 a | 0.003 ± 0.001 a | 5.50 ± 2.79 b | 0.44 ± 0.23 b | 16.0 ± 2.4 c | 91.9 ± 0.3 c | 0.55 ± 0.11 b | |
| p | ns | ns | *** | *** | *** | *** | ** |
| Salinity (ppt) | Temperature (°C) | DO (mg/L) | pH | Alkalinity (mg/L) | TSS (mg/L) | VSS (mg/L) |
|---|---|---|---|---|---|---|
| 10 | 26.5 ± 0.4 (25.9–26.9) | 7.0 ± 0.5 (6.1–7.4) | 7.6 ± 0.2 (7.3–8.0) | 65.2 ± 13.1 b (47–80) | 28.4 ± 14.7 (9.8–41.5) | 12.1 ± 6.7 (1.7–21.8) |
| 15 | 26.6 ± 0.2 (26.3–27.0) | 6.8 ± 0.5 (6.1–7.4) | 7.6 ± 0.2 (7.4–7.9) | 70.4 ± 11.6 ab (53–80) | 28.4 ± 16.3 (10.2–49.7) | 11.0 ± 5.3 (2.0–25.0) |
| 20 | 26.5 ± 0.2 (26.2–26.8) | 6.9 ± 0.5 (6.1–7.4) | 7.6 ± 0.2 (7.3–7.9) | 76.3 ± 14.7 a (53–100) | 30.1 ± 22.1 (7.2–64.5) | 10.4 ± 5.1 (2.2–23.8) |
Publisher’s Note: MDPI stays neutral with regard to jurisdictional claims in published maps and institutional affiliations. |
© 2020 by the authors. Licensee MDPI, Basel, Switzerland. This article is an open access article distributed under the terms and conditions of the Creative Commons Attribution (CC BY) license (http://creativecommons.org/licenses/by/4.0/).
Share and Cite
Chu, Y.-T.; Brown, P.B. Evaluation of Pacific Whiteleg Shrimp and Three Halophytic Plants in Marine Aquaponic Systems under Three Salinities. Sustainability 2021, 13, 269. https://doi.org/10.3390/su13010269
Chu Y-T, Brown PB. Evaluation of Pacific Whiteleg Shrimp and Three Halophytic Plants in Marine Aquaponic Systems under Three Salinities. Sustainability. 2021; 13(1):269. https://doi.org/10.3390/su13010269
Chicago/Turabian StyleChu, Yu-Ting, and Paul B. Brown. 2021. "Evaluation of Pacific Whiteleg Shrimp and Three Halophytic Plants in Marine Aquaponic Systems under Three Salinities" Sustainability 13, no. 1: 269. https://doi.org/10.3390/su13010269
APA StyleChu, Y.-T., & Brown, P. B. (2021). Evaluation of Pacific Whiteleg Shrimp and Three Halophytic Plants in Marine Aquaponic Systems under Three Salinities. Sustainability, 13(1), 269. https://doi.org/10.3390/su13010269
