Abstract
Cultivation of lentils had ended by mid-20th century in Germany, but a revival was initiated in the first decade of this millennium in Southwest Germany. However, knowledge of lentil cultivation was almost lost, and today’s yields are still low. To gain an overview of current farm practices and of factors that can help lentil cultivation thrive, 25 lentil farmers (21 organic, 4 conventional) from SW Germany answered questionnaires for agronomic data on lentil cultivation in the years 2015, 2016, and 2017. Eleven farmers took part in additional semi-structured interviews about their motivation and the most important factors (economic, ecological, and social) that encouraged them to grow lentils. Neither the lentil variety (Anicia, Späth’s Alblinse I and II), nor the companion crop for the usual mixed cropping (spring barley, oat, and camelina), significantly influenced lentil yield. If lentil cultivation is to further expand, data from more farmers could be evaluated and factors that contribute to crop thriving analyzed more clearly. The cultivation techniques currently practiced are diverse, and lentils integrate well into existing structures. Farmers appear motivated to grow lentils by good examples of colleagues, by availability of marketing channels, and by the desire to promote lentils’ ecological and social benefits.
1. Introduction
Legumes, and in particular pulses, are a source of protein for both human consumption and animal feed. They play an important role in sustainable and future-orientated food and feed systems [1]. They fix atmospheric nitrogen and give farmers independence from the need to purchase mineral nitrogen fertilizer. Legumes in total provide numerous beneficial effects to the ecosystem [2]. Nevertheless, pulses, except soy (Glycine max L. Merr.), are underutilized or neglected crops as they receive little attention from both the food industry and agriculture. However, the need for sustainable improvement of cropping systems and a constantly growing demand for vegetable protein sources for the human diet has increased the potential for a change in the perception of legume cultivation.
Among the many pulse species, lentils (Lens culinaris Medik. subsp. culinaris) are used for human consumption globally. Lentils belong to the first domesticated crops worldwide, originating in the Fertile Crescent [3,4]. They contain important components of human nutrition, such as a protein content of 20.6 to 31.4 g per 100 g DM (dry mass) [5,6]. In addition to proteins they are a rich source of minerals such as phosphorus, ranging from 153 to 725 mg per 100 g DM; calcium, ranging from 33 to 210 mg per 100 g DM; and magnesium, ranging from 49 to 220 mg per 100 g DM [5,6]. Their water-soluble vitamin content (except vitamin C) is also relatively high, while the amounts of carotenes and retinols are low, as with most other legumes [6]. Especially in South Asia and the Middle East lentils occupy an important place in the daily diet [7]. Worldwide production of lentils was 6.3 Mt in 2018, and the largest producers were Canada (2.1 Mt), India (1.6 Mt), and Turkey (0.4 Mt). The European Union produces only about 2% of the world’s lentil harvest at 0.12 Mt [8]. Lentils are a traditional and popular food in many parts of Europe, and are among the three most consumed legumes, alongside peas (Pisum sativum L.) and beans (Phaseolus vulgaris L.) [9]. Considered as poor people’s food in the past, lentils have begun to gain importance with increasing vegetarianism and veganism in the Western world.
Lentils were grown in Germany until the mid-20th century. Traditionally, they were grown in mixed cropping with a companion crop, usually cereals, to avoid lodging in a humid climate. With adoption of mechanised agriculture and use of mineral fertilizers and chemical crop protection, lentils disappeared from German fields [10]. This process has been generally explained by the increasing relative superiority of other crops, such as cereals, which profit from mineral fertilization and chemical-synthetic crop protection. Today, these crops can also be grown on marginal land, which was traditionally used for lentil cultivation. As lentils, like other legumes, lost their economic importance, breeding and development of high-performance lentil varieties suitable for humid climates came to an end [10]. The technical challenges and time intensive processes for drying, cleaning, and separating their companion crops made lentil cultivation less attractive. Based on data from the Statistical State Office of Baden-Württemberg, cultivation of nearly 40,000 ha in 1887 had almost completely disappeared by the middle of the 20th century [11].
In recent years, however, a change has occurred. Demand for plant-based proteins in general is rising steadily, especially in Germany. Meat consumption in Germany has fallen steadily since 2011 [12]. The number of vegetarians doubled between 2008 and 2018 [12] and is now at 5% [13]. The proportion of vegans is at 1% in Germany [13]. This trend is also influencing the lentil cultivation as it is seen a revival of lentil cultivation in Germany since the mid-1980s. The Swabian Alb is an upland region in SW Germany, where lentils were traditionally cultivated, and from which the lentil-based “national dish” of the Swabian people developed. Traditional recipes for other lentil dishes have spread also to other parts of Germany and adjacent countries. Due to modern food trends toward plant-based nutrition and consumers’ desire for regional products, lentils are experiencing a renaissance. Today, it is once again highly appreciated as part of a reviving local and traditional cuisine. The Federal State of Baden-Württemberg (SW Germany) is the main lentil growing region in Germany. In 2019, lentil cultivation in SW Germany covered 640 ha [14]. In addition to nutritional benefits for humans, agriculture also benefits from the cultivation of this neglected crop. Lentils can serve as an N-fixing crop in organic and conventional crop rotations along with faba beans (Vicia faba L.), peas, and lupins (Lupinus L. sp.), the typical pulses in temperate regions. Therefore, lentils can be very well integrated into existing crop rotations.
Although there is a market for lentils, and farmers are enthusiastic about growing the crop (own observations), lentil production in humid climates such as Germany is challenging in mechanized agricultural systems. Because of weak stems and indeterminate growth, lentils need a companion crop, and thus are grown in mixed cropping under Central European conditions [15]. Monocropping systems that are used in the dry regions of the subtropics or in continental or Mediterranean climates like in Canada or Italy are not applicable. The frequent lodging of lentil plants, caused by heavy rain, reduces the plants’ distance to the ground, and therefore the amount of harvest that can be picked up by a combine harvester from the (often) stony ground [16] is reduced. The yields of local lentil farmers are still relatively low and unstable. They fluctuate between 500 and 850 kg per hectare and year [11]. To meet the current demand for lentils, therefore, local production is not sufficient, and lentils are still mostly imported from Southern Europe, Canada, USA, or Turkey (own observation). It would be highly beneficial, on the one hand, to improve regional cultivation, and on the other hand, to expand cultivation of lentils from the Swabian Alb to other regions in Germany and Europe. The success story of the Swabian lentils can serve as a model for such ventures. It was a lentil growing area historically and could be a nucleus for the spread of today’s lentil cultivation. The general, conditions that exist in Baden-Württemberg must be examined and then used as a blueprint for the establishment of lentil cultivation in other European regions.
Lentil cultivation is complex compared to other crops. Growing in a mixed system of lentil and companion crop has considerably more influencing factors on successful cultivation than in monoculture. The interactions between lentil and its companion crop can be both positive and negative. In order to make a claim on the economic efficiency of the entire mixed cropping system, not only the lentil yield but also the yield of the companion crop, the amount of work and time required for sorting, and marketing opportunities must be taken into account. Through the survey in this study, farmers provided insights into current practices of lentil cultivation in humid climates and the factors they consider important to improve or expand cultivation.
The aim of this study was to analyse factors for successful cultivation of lentils in Baden-Württemberg (SW Germany). For this purpose, an overview will be given on the current practices in several selected regions in SW Germany; this was obtained by collecting agronomic factors (lentil variety, species of companion crop, mixing ratio, soil tillage, and crop rotation) and by identifying the influence of socio-economic or cultural aspects. With the help of this overview, options can be identified that will improve lentil cultivation and help transfer it to other European regions and countries.
2. Materials and Methods
2.1. Data Collection and Case Survey Design
The study was composed of a quantitative approach by collection of agronomic data using questionnaires, and a qualitative approach by semi-structured face-to-face interviews focusing on farmers’ motivations for lentil production.
A total of 104 lentil farmers were contacted for this survey, 25 (24%) of them responded and provided agronomic data via questionnaires in late 2017 and early 2018 that referred to farm structure, management, and lentil cultivation for the years 2015, 2016, and 2017. The majority of farmers are members of the organic producer cooperative “Alb-Leisa” [17]. This cooperative, founded in 2001 by a pioneer farmer, consists today of more than 110 lentil farmers with a total lentil cultivation area of approximately 250 ha on the Swabian Alb. Membership enables members to buffer the still strongly fluctuating yields, to exchange experiences, and to market their products with a common label. Since cultivation of lentils and subsequent drying and cleaning processes are very costly and complicated, the farmers support each within the cooperative to remain economically viable. The cooperative produces organic lentils and markets them under the brand name “Alb-Leisa”. Another local cluster of conventional farmers and several individual organic farmers in other parts of the Federal State of Baden-Württemberg were included in the study. For quantitative data collection, experts (eight organic and three conventional farmers) with a long-standing experience in lentil growing and marketing for several years (between 5 and 14 years) were interviewed in semi-structured interviews.
The lentil harvest of the conventional farmers was processed and sold by a small company or via their own direct marketing. The key questions in the interviews were assigned to three topics: (1) What was the motivation to start or to continue lentil cultivation, (2) which problems and which advantages does the cultivation of lentils offer, and (3) which basic conditions are needed for profitable lentil cultivation?
2.2. Study Area
The study area was located in SW Germany in the Federal State of Baden-Württemberg and included areas with different soil and climate conditions (Figure 1). The main study area was located on the low mountain range of the Swabian Alb (nos. 1, 4, and 7 in Figure 1) a UNESCO Biosphere Reserve characterized by shallow, calcareous soils (Table 1).
Figure 1.
The Federal State of Baden-Württemberg; the numbers show the regions in which the participating farms are located. Colors indicate the different pedoclimatic areas. (modified after LPD Baden-Württemberg and LUBW [18,19]).
Table 1.
Description of the geographical and soil characteristics of the regions of the lentil farmers involved in the case study [19,20].
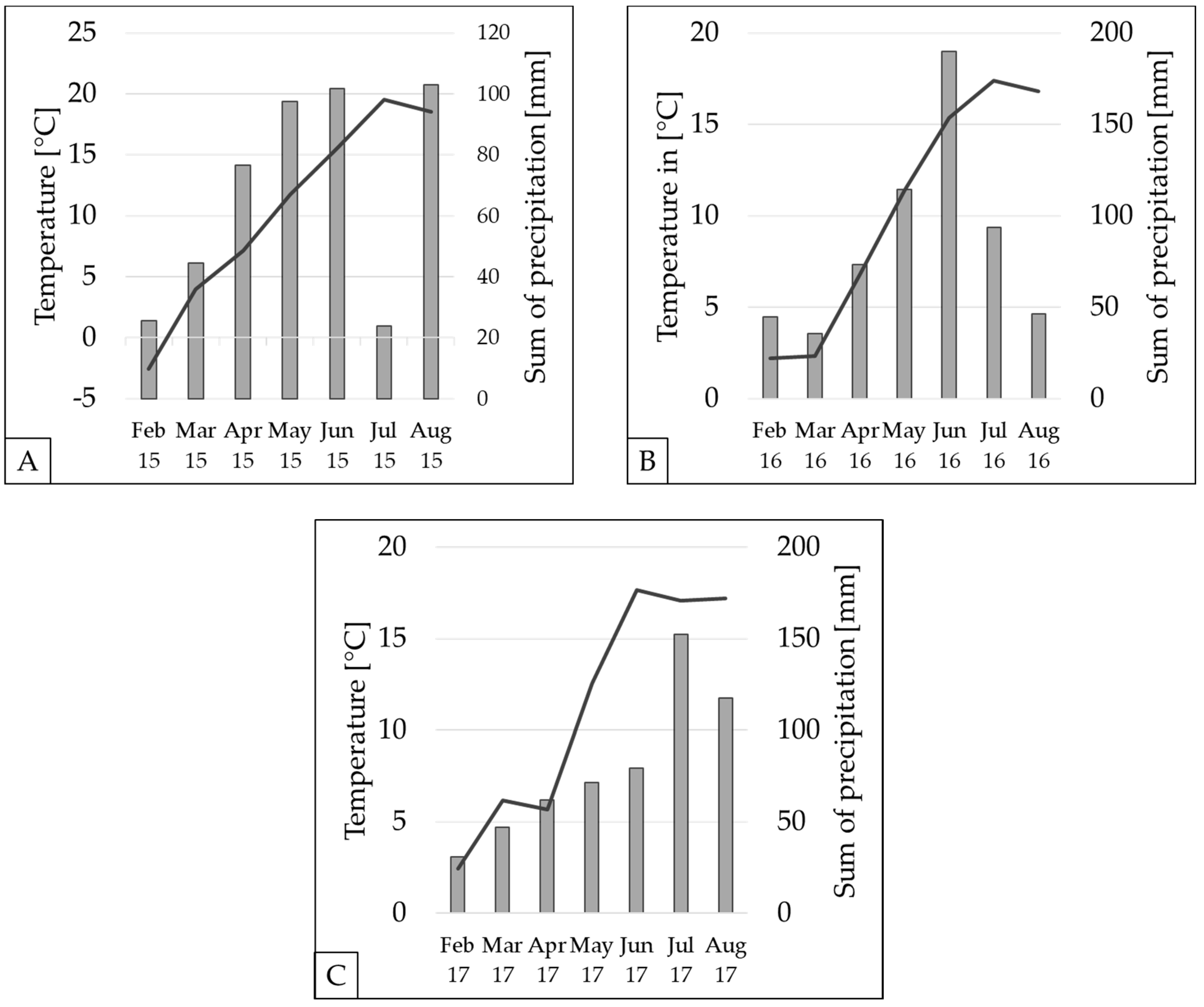
Temperature and precipitation data for the three years under investigation are shown in Figure 2. As a reference for the weather data of the 25 surveyed farms, the weather station at Oberer Lindenhof (no. 7 in Figure 1) at 720 m altitude in the Swabian Alb was used, as most farms were located there.
Figure 2.
Monthly average temperature (20 cm above ground) and the sum of monthly precipitation in the three test years 2015 (A) 2016 (B) and 2017 (C) at weather station Oberer Lindenhof as reference for all farms (modified after LTZ [20]).
2.3. Study Parameters
For the study, the following farm data were collected through the questionnaires: farm size, type of management, livestock, climate conditions, soil texture (if available), and starting year of lentil cultivation. The data on lentil cultivation were recorded using the following parameters: lentil variety, species of companion crop, sowing rate of lentils and companion crop, information on crop rotation, mode of tillage, and conspicuous weeds. Response variables are the yield of lentils (kg ha−1), the yield of the companion crop (kg ha−1) and the qualitative ranking of weeds. Table 2 shows scale and unit of influencing variables.
Table 2.
Classification of variables (metric and categorial) of farm data and cultivation data and assignment to values or categories.
In the questionnaire, farmers indicated the sowing rate of lentils and companion crop in kg ha−1. As this is not meaningful when comparing cereals and camelina, the sowing rate was converted into grains m−2. For this purpose, the thousand grain mass of the respective lentil varieties (Anicia, Späth’s Alblinse I, and Späth’s Alblinse II) and the companion crop (spring barley, oat, and camelina) were used. Anicia has a thousand kernel mass (TKM) of 34.0 g DM, Späth’s Alblinse I a TKM of 40.9 g DM, and Späth’s Alblinse II a TKM of 23.8 g DM (data derived from own experiments). TKM of spring barley (Hordeum vulgare L.) averaged 46.5 g DM, TKM of oat (Avena sativa L.) 32.9 g DM, and TKM of camelina (Camelina sativa L.) averaged 1.2 g DM [21,22,23]. The different mixing ratios were then divided into the following groupings (Table 3).
Table 3.
Grouping of mixing ratios between lentil (Lens culinaris Medik. subsp. culinaris) and companion crop (spring barley (Hordeum vulgare L.), oat (Avena sativa L.), camelina (Camelina sativa L.)) for seeding.
In the questionnaire, farmers were asked about dominant weeds on the field, which they based on their own assessment. If subspecies were not determined, the genus was used for description in this study only.
Questions for the semi-structured face-to face interviews were based on a guideline with the following list of questions.
- What were your reasons and motivations to start to cultivate lentils?
- Were there important persons/actors/organizations or institutions for you, that influenced or supported you in your decision to start lentil cultivation?
- What are your reasons and motivation to continue lentil cultivation up to now? Did it change or are there different reasons compared to the beginning?
- Do you exchange knowledge with others? Where do you get information about lentil cultivation?
- What problems do you have in lentil cultivation? What are the causes for it?
- What benefits and challenges do you see while working together as a producer cooperative (if you are a member or a cooperative)?
- What challenges and possibilities do you see for lentil cultivation in the future? If you had a wish concerning lentil farming, what would it be?
Interviews were audio recorded and transcribed afterwards. A qualitative content analysis according to Mayring [24] was used to evaluate the interviews. This method enables a systematic interpretation of the freely conducted interviews. Categories are formed, to which different but overlapping statements within the farmers’ replies can be assigned. The number of mentions within a category then allows a quantitative evaluation. The semi-structured interviews were classified into the seven categories below. The farmers’ answers were assigned to the respective categories, with multiple answers possible.
- Attractive challenge
- Public perception
- Processing facilities available
- Effects on the environment and society
- External triggers
- Agricultural potential of lentils
- Marketing channels
2.4. Statistical Analysis and Data Visualization
A mixed model approach was used to analyse data from standardized questionnaires. The model can be described in the syntax of Patterson [25] as follows:
where V, C, Y, M, and F denote variety, companion crop, year, management system and farm, respectively. The operator x and/are the crossing and nesting operators, which can be expanded as follows: V × C = C + V · C and M/F = M + M · F. As there is only a single observation in each year-by-farm combination, all effects including at least farm and year are confounded with each other and thus estimated as error effect. V, C, Y, and their interactions were assumed as fixed in the model. M and F and all interactions including M or F were taken as random in the model. Note that main effects of M were taken as fixed as there are only two levels of management system (organic and conventional). Error effects were allowed to have year specific or companion crop specific variances, if this decreased the AIC (Akaike information criterion) [26]. The model was extended by adding a covariate describing the mixing ratio between companion crop and lentils. Neither deviations from linearity, nor a significant effect of the covariable could be proven, thus the covariables were not included in the final model. Assumptions of normally distributed residuals with homogeneous variance (despite the heterogeneity already accounted for) were checked graphically. In the case of significant F tests, Fishers LSD test was used to test pairwise differences in relevant effects.
V × C × Y × (M/F),
3. Results
3.1. Farm Inventory
Data collection of the agronomic data took place on 25 (n = 25) farms. Twenty-one (84%) of them were managed organically and four (16%) were managed conventionally. On average (median) agricultural area was 59 ha (40 ha) with a minimum of 14 ha and a maximum of 175 ha. Average (median), 24 ha (13 ha) of grassland and 34 ha (24 ha) of farmland were cultivated. Livestock is kept on 72% of all farms. The largest share, 28% (n = 7) of all farms, keep dairy cows. Furthermore, four farms are engaged in calf rearing, two of them conventional, five farms keep suckler cows and two farms keep fattening bulls, one of them conventional. Two farms are active in horse husbandry. Seven (28%) of the farms are stockless. The farms are located at an average altitude of 727 m (364 m to 805 m ASL) with an average annual temperature of 7.5 °C (6.4 °C and 8.9 °C). The soil fertility and quality ranking of the farms according to the German assessment system varied between 16 and 76 with an average of 44 for all farms. This official soil assessment describes soil fertility by soil texture, parent rock and pedogenesis, with a maximum of a value of 100. Additionally, small increases or reductions are made depending on topography, climate, and hydrologic balance of the site [27,28]. Of the total number responding, 32% of farmers described the soil texture of their land as clayey loam, 24% as silty loam, 16% as sandy loam, and 12% as loamy clay. The average pH value was 6.8 (5.9–7.6). The average size of the lentil fields was 3 ha.
3.2. Lentil Varieties
The lentil varieties Späth’s Alblinse I (SA1) (brown, yellow embryo), Späth’s Alblinse II (SA2) (brown, yellow embryo), and Anicia (ANI) (green marbled, yellow embryo) (Figure 3; Table 4)), were grown in the study years 2015, 2016, and 2017.
Figure 3.
Seeds of lentil varieties (A) Späth’s Alblinse I, (B) Späth’s Alblinse II, and (C) Anicia.
Table 4.
Numbers of lentil (Lens culinaris Medik. subsp. culinaris) varieties and companion crop (spring barley (Hordeum vulgare L.), oat (Avena sativa L.), camelina (Camelina sativa L.)) in organic or conventional farming over the three growing seasons 2015, 2016, 2017.
Späth’s Alblinse I and II differ considerably in seed size. While Späth’s Alblinse I produces comparatively large flat seeds with an average diameter of 5.1 mm, the seeds of Späth’s Alblinse II are small and spherical with an average diameter of 3.6 mm. The average seed diameter of Anicia is 4.5 mm. Späth’s Alblinse I and II were obtained from the Vavilov Institute (gene bank) in St. Petersburg/Russia and multiplied for further production. These varieties were originally bred for the region of the Swabian Alb in the mid-20th century. The variety Anicia, or Anicia-derived varieties, respectively, was bred in France and is available for many years. The organic farmers grew all three varieties while the conventional farmers in our study grew only Anicia. Lentils were grown in combination with the companion crops spring barley, oat, spelt, and camelina (Table 4).
3.3. Sowing Date and Harvest Date
Sowing of lentil together with the companion crop took place on all farms and in all years between March and April; most farmers seeded the crops between the end of March and the beginning of April. Harvest took place between the end of July and middle of September.
3.4. Effects of Lentil Variety and Crop Management on Lentil Yield
During the period of investigation (2015–2017), lentil yields ranged between 0.2 and 1.3 t ha−1 on organic farms, and 0.3 and 1.5 t ha−1 on conventional farms. The farm type—conventional or organic—had a non-significant effect on lentil yield. No significance (n. s.) could be established in a year-to-year comparison (Figure 4). The conventionally managed farms tended to achieve slightly higher yields than the organic farms.
Figure 4.
Year-by-year comparisons of the management systems, conventional (Con) or organic (Org), across all lentil varieties, companion crops (α = 0.05).
Average lentil yield was not significantly affected by lentil variety (Figure 5). Across all years and the two management types lentil yield was 0.76 t ha−1 (Anicia), 0.84 t ha−1 (Späth’s Alblinse I), and 0.72 t ha−1 (Späth’s Alblinse II).
Figure 5.
Lentil yield in [kg ha−1] of the different varieties; Anicia (ANI), Späth’s Alblinse I (SA1), Späth’s Alblinse II (SA2) over all years, management systems, and companion crops (α = 0.05).
3.5. Yield of Companion Crop and Effects of Companion Crop on Lentil Yield
Most farmers (75%) used cereals as the companion crop. Oat was the most common companion crop at 44%, second was spring barley at 31%, and last was camelina at 23%. Three farmers switched from camelina to cereals during the survey years, and one farmer switched from cereals to camelina. Across management systems, all years, and all lentil varieties, yields of the companion crops were 1.34 t ha−1 for spring barley, 1.16 t ha−1 for oat, and 0.39 t ha−1 for camelina (Figure 6A), but differences were not significant.
Figure 6.
(A) Yields of the different companion crops (ComCr) averaged across the two management systems, all years, and all lentil varieties (B) Lentil yield with different companion crops across the two management systems, all years, and all lentil varieties (α = 0.05).
The average lentil yield in mixed cropping with spring barley was 0.95 t ha−1 and with oat 0.71 t ha−1. The average yield of camelina was 0.66 t ha−1 (Figure 6B).
Interactions of lentil varieties Anicia (ANI), Späth’s Alblinse I (SA1), Späth’s Alblinse II (SA2) with the companion crop were non-significant (Figure 7). With an average of 1.43 t ha−1, the combination of Späth’s Alblinse I and the companion crop spring barley reached the highest lentil yield.
Figure 7.
Lentil yields of the varieties Anicia (ANI), Späth’s Alblinse I (SA1), Späth’s Alblinse II (SA2) as a function of the companion crop (ComCr) spring barley (B), oat (O), and camelina (C) across the two management systems, all years, and all lentil varieties. (α = 0.05).
3.6. Mixing Ratio between Lentils and Companion Crops
Camelina was only represented in mixing ratio groups 1 to 3 (according Table 3). On 81% of all farms using camelina as companion crop, camelina was sown in mixing ratio group 1, on 6% in mixing ratio group 2 and 13% in mixing ratio group 3. Spring barley and oat were classified in the mixing ratios of groups 2 to 5. Cereal crops were mostly sown in mixing ratio group 3 (spring barley: 45%, oat: 58%). On 5% of all farms using spring barley as companion crop, the mixing ratio fell in group 2, on 32% in mixing ratio group 4 and 18% in mixing ratio group 5. On 23% of all farms using oat as companion crop the mixing ratio fell in group 2, on 6% in mixing ratio group 4 and 13% in mixing ratio group 5.
3.7. Soil Tillage
Conventional tillage was defined as inversion tillage by moldboard plough either for primary soil tillage or as the last operation before seedbed preparation. Shallow tillage with complete abandonment of the moldboard plough was defined as reduced tillage. In reduced tillage primary soil tillage was carried out solely with several passes of the chisel plough. Table 5 shows the division of farms into categories of reduced tillage and conventional tillage.
Table 5.
Type of soil tillage used for primary tillage or before lentils (Lens culinaris Medik. subsp. culinaris) cultivation in the years 2015, 2016, and 2017 by the 25 farmers involved in the case study.
Nine of the surveyed farmers used the moldboard plough exclusively for primary soil tillage, (organic n = 7, conventional n = 2). Three farmers (organic n = 2, conventional n = 1) used the moldboard plough only for the last tillage step before seedbed preparation for lentil cultivation. Exclusively organic farms (n = 7) used the moldboard plough both for primary soil tillage and before seedbed preparation for lentil cultivation. Seedbed preparation was preferentially done with a rotary harrow, both conventionally and organically (n = 15).
3.8. Weeds
A total of 17 different weed species, two monocotyledonous and 15 dicotyledonous species, were mentioned by the farmers in both farm management systems. Organic farmers listed considerably more weed species than conventional farmers. The number of individual weed plants has not been determined. In organic farming, Canada thistle (Cirsium arvense L. Scop.) dominated as the main dicotyledonous weed species. The conventional farmers mentioned a few isolated clusters of Canada thistle.
Two species of monocotyledonous weeds were mentioned by organic farmers: black-grass (Alopecurus myosuroides Huds.) and couch-grass (Elymus repens L. Gould). Dicotyledonous weeds were mentioned in the following decreasing frequency: Canada thistle, dock (Rumex L. ssp.), field mustard (Sinapis arvensis L.), clover (Trifolium L. ssp.), goosefoot (Chenopodium L. ssp.), jointed charlock (Raphanus raphanistrum L.), bindweed (Convolvulus arvensis L.), red poppy (Papaver rhoeas L.), chamomile (Matricaria L. ssp.), cleavers (Galium aparine L.), shepherd’s purse (Capsella bursa-pastoris L. Medik.), and cornflower (Centaurea cyanus L.).
Conventional farmers mentioned black-grass as monocotyledonous weed. The following dicotyledonous weeds were mentioned by conventional farmers in decreasing frequency: Goosefoot, Canada thistle, common fumitory (Fumaria L. ssp.), deadnettle (Lamium L. ssp.), dock, and speedwell (Veronica peregrina L.).
3.9. Crop Rotation, Preceding Crops, Subsequent Crops, and Catch Crops
Crop rotation had an average duration of 5.4 years across all farms (organic: 5.7 years, conventional: 4 years). Cereals were preferentially used as a directly preceding crop to lentils. Figure 8 shows the distribution of preceding crops on organic and conventional farms (percentage share of farm–year combinations). The preceding crop most frequently used by organic farmers was spelt (48%) while conventional farmers grew mostly barley (42%).
Figure 8.
Preceding crop before lentils in the crop rotation of organic (left) and conventional (right) farms: spelt (Triticum spelta L.), barley (Hordeum vulgare L.), maize (Zea mays L.), triticale (X Triticosecale Wittm. ex A. Camus.), winter wheat (Triticum aestivum L.), oat (Avena sativa L.), red clover (Trifolium pratense L.), winter rye (Secale cereale L.), grass/clover, and poppy seeds + mustard (Papaver somniferum L. + Sinapis alba L.); percentage share of farm-year combinations.
The most common succeeding crop of lentils on organic farms was a grass/clover mixture (Figure 9). Conventional farms listed three succeeding crops: winter wheat (Triticum aestivum L.) (78%) was the crop used most often, followed by maize (Zea mays L.) and barley (11% each), data not shown. On 69% of all farms (org: 69%, con: 67%) no catch crops or cover crops were integrated into the crop rotation. Some organic farms (10%) had single non-legume catch crops in the crop rotation, and 19% a mixture without legume crops. A mixture of undefined crops was grown on 2% of organic farms. On 25% of the conventional farms a single non-leguminous mixture as catch crop was cultivated, and on 8% a mixture without leguminous content.
Figure 9.
Succeeding crop after lentils in the crop rotation of organic farms: grass/clover, spelt (Triticum spelta L.), winter rye (Secale cereale L.), emmer (Triticum dicoccum Schrank ex Schübl.), winter wheat (Triticum aestivm L.), oat (Avena sativa L.), spring barley (Hordeum vulgare L.), maize (Zea mays L.), winter barley; percentage share of farm-year combinations.
3.10. Evaluation of the Face-to-Face Interviews
The interviewer asked about motivations for lentil cultivation. Response from 82% of the experts (n = 11) indicated that the initial motivation was triggered externally, e.g., by neighbors who were already growing lentils or by members of the cooperative “Alb-Leisa” who convinced the interviewees to grow lentils (Figure 10). Roughly a third (27%) identified lentil cultivation as an attractive challenge they wanted to take up, and they saw collaboration with research as an important part of this endeavor. For all farmers interviewed (100%), good marketing channels were a major reason to start growing lentils. These included a high demand from private customers and caterers (45%), direct marketing options (36%), and the resulting lucrative prices (18%). The price received on delivery to the producer cooperative was around EUR 2.30 kg−1 (costs for processing already included) on average. In direct marketing, farmers received on average EUR 9 kg−1. The existing infrastructure for post-harvest processing that the producer cooperative offers for its members (55%) was of equal importance. These local drying and sorting facilities greatly enabled and facilitated the start of lentil cultivation. The agricultural potential of lentils was also important for both, organic and conventional farmers, to include this crop in their farming system (91%). The extension of crop rotation (36%) and the fact that lentils can be easily integrated into existing cropping systems and offer additional benefits, e.g., improving soil structure, were mentioned several times (27%). For 82% of farmers, the environmental and social impacts, such as preservation of a traditional but neglected crop (45%), the production of regional vegetable protein (27%), and the promotion of biodiversity (9%) were motivations for growing lentils. Positive public perception of the crop also played an important role for 45% of lentil growers.
Figure 10.
Motivation and reasons of farmers interviewed (percentage of response of farmers interviewed (n = 11), multiple answers possible; guideline-based interviews, 2017).
4. Discussion
Compared to yield levels on global scale, lentil yields in Germany and in this study are average: German field experiments resulted in 0.75–2.7 t ha−1 [15,29], Greek field experiments in 0.75–2.9 t ha−1 [30], Australian field experiments in 0.3–2.1 t ha−1 [31] and Canadian field experiments in 0.20–1.29 t ha−1 [32]. In contrast to the above-mentioned studies, lentils in Germany are cultivated in mixed cropping instead of sole cropping; however, the magnitude of lentil yields is at a similar level. In addition, German farmers can also harvest and market the companion crop, while most farmers in lentil-growing countries grow lentils as sole crop. However, harvesting conditions between experimental conditions and on-farm conditions differ and this can have a significant impact resulting in higher yields compared to on-farm conditions. Yields in organic farming are typically lower than those of conventional farming. For example, in Germany, organic wheat yields reach on average 47.3% of conventional yields [33]. Vlachosergios and Roupakias [30] reported a yield reduction of 0.47–44% when screening different lentil genotypes grown under conventional and organic farming conditions in a field trial in Greece. In the current survey, the yields of organic farms were 0.2–1.3 t ha−1, slightly lower than conventional farms at 0.3–1.5 t ha−1, but differences were not significant. Cultivation under organic farming could achieve yields comparable to conventionally produced lentils (Figure 4). This confirms the results of Seufert et al. and Pimentel et al. [34,35] who found only minor differences in yield for legumes grown under conventional and organic conditions. Legumes are less prone to yield reduction related to reduced N availability in organic farming systems [34]. As no synthetic plant protection products are approved for lentil cultivation in Germany, only weed control within the crop rotation, either before or after lentils, makes a difference between conventional and organic farming. Therefore, differences in organic and conventional yields in this study are probably more contextual and influenced by factors such as growing conditions, climate, site conditions, and crops in rotation, than by management system.
With respect to the present results, the small yield difference between organic and conventional farming could be due to the choice of the heirloom varieties Späth’s Alblinse I and II on organic farms. These genotypes may be well adapted to local conditions, performing well under conditions of low nutrient inputs and with disease resistance [36]. However, it is worth noting that the cultivars Späth’s Alblinse I and II were bred approximately 70 years ago and most likely environmental conditions on the Swabian Alb have changed since. Further field experiments with all three varieties Anicia, Späth’s Alblinse I, and II would have to be carried out in direct comparison under organic and conventional conditions to analyze the performance of the varieties depending on the farming system. The key to our observed similar yields in organic and conventional farms seems rather to be the growing conditions, which did not differ much during the growing season (no chemical-synthetic plant protection).
There were non-significant differences between the lentil yields of Anicia, Späth’s Alblinse I and Späth’s Alblinse II, where Späth’s Alblinse I produced the highest yield and Späth’s Alblinse II the lowest. Späth’s Alblinse I and II differ considerably in the size of the seeds.
The choice of companion crop in the study did not have a significant impact on lentil yield across all years and cropping systems. More than three quarters of farmers used spring cereals as a companion crop for lentils. Oat and spring barley are the traditional companion crops for mixed cropping with lentils [10]. Recently, and in the present survey, camelina was also used because the separation of lentil seeds and the very small camelina seeds is much easier compared to a lentil/cereal mixture. Some farmers switched back to cereals during the survey period time, mainly because of problems in establishing the small-seeded camelina on the fields (own observations). Additionally, the market for camelina oil is small [37]. The combination of lentils and spring barley resulted in the highest lentil yields and highest yields of the companion crop (Figure 7). However, as none of the companion crop yields was significantly superior to the other, farmers seem free to choose the companion crop according to their individual needs. The combination of spring barley and Späth’s Alblinse I had the highest yield and the combination of Späth’s Alblinse I and camelina the lowest. The choice of companion crop should therefore be adapted to the morphology and biomass produced by the lentil variety. For example, camelina may not be the right companion crop for cultivation with the vigorous Späth’s Alblinse I.
Lentils are somewhat frost tolerant and can be sown even in cool temperatures in early spring. Wang et al. [29] describe that early sowing dates lead to higher yield for both lentils and the companion crops. Nevertheless, time of sowing by the farmers in the study differed widely. Practice shows that an early sowing date is not always easy to implement and farmers must adapt sowing time to current weather.
As for mixing ratios, Wang et al. [15] recommend a 3:1 ratio of lentil to cereal. The higher the ratio of lentil plants in the mixture, the more successfully they can compete with the companion crops for space, light, and water, and lentil yield should therefore be higher. If the proportion of companion crop in the sowing mixture is too low, yield losses due to lodging of the lentils can easily occur under wet conditions [15]. Farmers in the survey sow at very different mixing ratios. The species of companion crop plays an important role here, which is why camelina was sown in much different proportions to lentils than the cereals spring barley and oat. Cereals were most often sown at ratios between 1:1 and 2:1. In practice, farmers take more factors into account when choosing the mixing ratio than is done in research experiments. Since seed costs for lentils are often higher than for cereals or other companion crops [31], it could therefore be economical for farmers to reduce the proportion of lentils in their sowing mixture. Furthermore, the price for the harvested companion crop or lentils can be crucial in the choice of a mixing ratio. There are complex competition relationships on the field, namely lentil vs. companion crop, lentil vs. weeds, and companion crop vs. weeds. An optimal combination of lentils and companion crops would include a companion crop strong enough to suppress weeds, but does not outcompete the lentils, and that offers anchors for stabilizing the lentil plants.
In the present case study, both reduced and conventional tillage were performed, though most was conventional tillage (76%) (Table 5). While reduced tillage usually improves infiltration of water and the availability of water for crops, conventional tillage by moldboard plough significantly reduces weed numbers [38]. However, Gruber et al. [38] have collected data from several growing areas in different countries and concluded that the weeding practices in lentil cultivation can be adapted to the location. The diversity of weed species listed by the organic farmers was with 14 different species (mainly Canada thistle and dock) twice as large as the diversity of weed species found on conventional farms, who identified seven species (mainly goosefoot). A good way to combat weeds (especially Canada thistle) is a clover-grass ley as succeeding crop [39]. On 28% of the organic farms, clover-grass was used as the succeeding crop after lentils and the other succeeding crops were cereals. The cultivation of lentils can result in a high share of legumes in the crop rotation; therefore, leguminous cover crops are not recommended. Only 21% of the farmers mentioned a cover crop in their crop rotation. Cereals were chosen almost exclusively as preceding crop in the survey (Figure 8), because cereals are particularly beneficial in weed control, and lentils show a weak competition against weeds [10]. The farmers’ contributions revealed that the diversity of possible preceding and succeeding crops is high and that cultivation is possible both with and without cover crops.
Finally, the agronomic data illustrate the wide range of practices that can be implemented in lentil cultivation and which are largely used in SW Germany. Lentils integrate very well into already existing structures of the farmers. Studies by Pelzer et al. [40] have even shown that the integration of lentils or other legumes into existing cropping system leads to increased economic, social and environmental sustainability on the farms. This can help to facilitate expansion of lentil cultivation in other German and European regions. If lentil cultivation is to further expand, data from more farmers must be collected and evaluated and decisive factors have to be worked out more clearly.
In addition to agronomic factors, socio-economic and cultural factors must be considered to explain the spread of lentil cultivation in the survey area. In our study, the initial spark came from an enthusiastic pioneer farmer who lived his idea regardless of the opinions of colleagues. Other farmers were motivated mainly by positive examples of their colleagues. However, good marketing opportunities must first be ensured (Figure 10). The mediating role of the producer cooperative “Alb-Leisa” which was founded by the first farmers who grew lentil was very important in promoting and disseminating lentil cultivation in the region. The farmers’ cooperative represents the interests of its members, creates a sense of identification with their product, and increases cooperation and knowledge transfer among them. The provision of a central unit for cleaning, sorting, and packaging and funding programmes of the Federal State of Baden-Württemberg made it easier for many farmers to get started with lentil growing or to continue lentil cultivation. As Figure 10 indicates, farmers are keenly aware of the environment and society. This is a superordinate goal with ethical dimensions and shows that farmers are conscious of their responsibility for a sustainable economy. Probably this habit is linked to the farm size (59 ha) and management which in this study is mostly organic farming (84%) with multiple crops and animal husbandry. For comparison, the average size of all farms in the Federal State of Baden-Württemberg is 61.5 ha [41] with an organic share of 13.2% [42].
The historical anchoring of lentils to a traditional diet has also helped to make the crop attractive to consumers again and to justify prices higher than those of imported lentils (own observation). Zander and Hamm [43] showed that farmers’ communication with customers to market their products is crucial for consumer behavior. Terms such as “regional”, “fair”, and “organic” are of great importance in this context. In this case the brand name “Alb-Leisa” already identifies the region of origin in SW Germany. This increases the bond between consumer and producer and creates trust. Cultural past, tradition, and regional ties can support marketing and increase the attractiveness of a product for the consumer. Askegaard and Madsen [44] showed that despite globalization, culture is still strongly linked to the eating habits of Europeans. Consumers build a relationship with the foods they are accustomed to from their traditional cuisines.
In the French region of Haute-Loire, the lentil variety “Le Puy” is still considered a speciality of the region also called “the poor man’s caviar” [45]. It is of historical importance for the town of the same name, Le Puy-en-Velay, and therefore has a protected geographical indication [46].
Similar to the situation in the Swabian Alb, Italian lentil cultivation, though a formerly widespread crop, can now only be found in certain regions of Italy. In many traditional lentil-growing regions like Sicily or Abruzzi, the cultivation of lentils has been greatly reduced, many landraces have been lost over the last few decades and the lentils have been replaced by more profitable crops on the farmers’ fields [47]. The revival of lentil cultivation in the Swabian Alb could serve as a model for such regions to bring lentils back into European agriculture. Ultimately, it is not only agronomic conditions that support lentil cultivation. There are also emotional, social, and ethical reasons, such as the preservation of ancient varieties, regionality, environmental-friendly cultivation, and good cooperation between farmers and end-consumers.
5. Conclusions
As none of the evaluated agronomic factors for lentil growing could be determined to have a significant, or even relevant, effect on lentil yield, farmers have many options for integrating lentil cropping on their farms according to their needs. This refers for example to the management system (organic–conventional), and factors analyzed in this study: lentil varieties, companion crops, mixing ratio, soil tillage, and crop rotation. Instable yields are still a problem and could be overcome with breeding of new lentil varieties that better tolerate impacts of the weather. Generally, mixed cropping of lentils as performed in Germany offers the opportunity to receive yields from the companion crop in addition to lentil yields, or to get a considerable yield of the companion crops even if lentil yield fails. Historical or cultural ties of lentils to the region can make a major contribution ensuring that demand is guaranteed and that consumers are willing to pay a fair price. The search for possible regions into which to expand lentil cultivation should therefore not only be based on agronomic factors but also on socio-economic and cultural factors. Regional production is a goal that is welcomed by farmers and by consumers. This study demonstrates that re-introduction of lentils followed a bottom up-process driven by farmers themselves and supported by the government only to a minor degree. This pattern can be transferred to other regions throughout Europe. Nevertheless, yields under on-farm conditions are relatively low and unstable compared to experimental conditions, so research into lentil cultivation should be further developed. Because the lentil has great potential at economical, ecological, and social levels, it has a good chance to regain more attention from agriculture and society throughout Europe.
Author Contributions
Conceptualization, S.Z. and S.G.; data curation, T.M.R.; formal analysis, T.M.R. and J.H.; funding acquisition, S.Z. and S.G.; investigation, A.-M.R.; methodology, S.Z., A.-M.R., and S.G.; project administration, S.Z. and S.G.; supervision, S.Z. and S.G.; validation, T.M.R., S.Z., J.H., and S.G.; visualization, T.M.R.; writing—original draft, T.M.R. and C.P.L.; writing—review and editing, T.M.R., S.Z., and S.G. All authors have read and agreed to the published version of the manuscript.
Funding
This project was funded by the European Union’s Horizon-2020 Research and Innovation project, “TRansition paths to sUstainable legume based systems in Europe,” www.true-project.eu; Grant Agreement Number 727973.
Institutional Review Board Statement
Not applicable.
Informed Consent Statement
Not applicable.
Data Availability Statement
The data presented in this study are available on request from the corresponding author. The data are not publicly available due to protection of privacy of the participating farmers.
Acknowledgments
We would like to thank Woldemar Mammel and the farmers’ cooperative “Alb-Leisa” for the good cooperation and the assistance to find the survey participants. Many thanks also go to the farmers who took the time for the interviews and the surveys.
Conflicts of Interest
The authors declare no conflict of interest.
References
- Vasconcelos, M.W.; Balázs, B.; Kelemen, E.; Squire, G.R.; Iannetta, P.P.M. Editorial: Transitions to sustainable food and feed systems. Front. Plant Sci. 2019, 10. [Google Scholar] [CrossRef] [PubMed]
- Squire, G.R.; Quesada, N.; Begg, G.S.; Iannetta, P.P.M. Transitions to greater legume inclusion in cropland: Defining opportunities and estimating benefits for the nitrogen economy. Food Energy Secur. 2019, 8. [Google Scholar] [CrossRef]
- Cokkizgin, A.; Shtaya, M.J.Y. Lentil: Origin, cultivation techniques, utilization and advances in transformation. Agric. Sci. 2013, 1, 55–62. [Google Scholar] [CrossRef]
- Sarker, A.; Erskine, W. Recent progress in the ancient lentil. J. Agric. Sci. 2006, 144, 19–29. [Google Scholar] [CrossRef]
- Santos, C.S.; Silva, B.; Valente, L.M.P.; Gruber, S.; Vasconcelos, M.W. The effect of sprouting in lentil (Lens culinaris) nutritional and microbiological profile. Foods 2020, 9, 400. [Google Scholar] [CrossRef]
- Urbano, G.; Porres, J.M.; Frías, J.; Vidal-Valverde, C. Nutritional value. In Lentil: An Ancient Crop for Modern Times; Yadav, S.S., McNeil, D.L., Stevenson, P.C., Eds.; Springer: Dordrecht, The Netherlands, 2007; pp. 47–93. [Google Scholar]
- Yadav, S.S.; Stevenson, P.C.; Rizvi, A.H.; Manohar, M.; Gailing, S.; Mateljan, G. Use and consumption. In Lentil: An Ancient Crop for Modern Times; Yadav, S.S., McNeil, D.L., Stevenson, P.C., Eds.; Springer: Dordrecht, The Netherlands, 2007; pp. 33–46. [Google Scholar]
- Food and Agriculture Organization of the United Nations. FAOSTAT. Available online: http://www.fao.org/faostat/en/#data/QC (accessed on 9 December 2020).
- Horneburg, B.; Becker, H.C. Crop adaptation in on-farm management by natural and conscious selection: A case study with lentil. Crop Sci. 2008, 48, 203–212. [Google Scholar] [CrossRef]
- Horneburg, B. Frischer Wind für eine Alte Kulturpflanze! Linsen im Ökologischen Anbau, ihre Geschichte und Verwendung. Mit Hinweisen zur Sortenpflege und Sortenentwicklung im Landwirtschaftlichen Betrieb, 1st ed.; Dreschflegel e.V.: Göttingen, Germany, 2003. [Google Scholar]
- Güll, R. Die Linse—Renaissance Einer Hülsenfrucht in Baden-Württemberg. Available online: https://www.statistik-bw.de/Service/Veroeff/Monatshefte/PDF/Beitrag14_12_05.pdf (accessed on 29 October 2020).
- Chemnitz, C.; Rehmer, C.; Wenz, K. Fleischatlas 2018: Daten und Fakten über Tiere als Nahrungsmittel. Available online: https://www.bund.net/service/publikationen/detail/publication/fleischatlas-2018/ (accessed on 8 December 2020).
- Bundesministerium für Ernährung und Landwirtschaft. Deutschland, wie es isst: Der BMEL-Ernährungsreport 2020. Available online: https://www.bmel.de/SharedDocs/Downloads/DE/Broschueren/ernaehrungsreport-2020.html;jsessionid=82627DC07C3C92F31A52E8E7C8F40969.internet2832 (accessed on 8 December 2020).
- Ministerium für Ländlichen Raum und Verbraucherschutz Baden-Württemberg. Linsen-Info: Anbauregionen. Available online: https://linsen.landwirtschaft-bw.de/pb/,Lde/Startseite/Anbau+und+Verarbeitung/Anbauregionen (accessed on 30 October 2020).
- Wang, L.; Gruber, S.; Claupein, W. Optimizing lentil-based mixed cropping with different companion crops and plant densities in terms of crop yield and weed control. Org. Agr. 2012, 2, 79–87. [Google Scholar] [CrossRef]
- Carr, P.M.; Gardner, J.J.; Schatz, B.G.; Zwinger, S.W.; Guldan, S.J. Grain yield and weed biomass of a wheat–lentil intercrop. Agron. J. 1995, 87, 574–579. [Google Scholar] [CrossRef]
- Mammel, L. Lauteracher Alb-Feld-Früchte: Erzeuger Gemeinschaft. Available online: https://lauteracher.de/oeko-erzeugergemeinschaft-alb-leisa/ (accessed on 30 October 2020).
- Landeszentrale für Politische Bildung Baden-Württemberg. Landeskunde Baden-Württemberg: Die Regionalverbände. Available online: https://www.landeskunde-baden-wuerttemberg.de/regionalverbaende.html (accessed on 29 October 2020).
- Landesanstalt für Umwelt Baden-Württemberg. Klimawandel und Anpassung-Boden: Hintergrund und Eckdaten. Available online: https://www.lubw.baden-wuerttemberg.de/klimawandel-und-anpassung/boden-hintergrund-und-eckdaten (accessed on 30 October 2020).
- Landwirtschaftliches Technologiezentrum Augustenberg. Agrarmeteorologie Baden-Württemberg. Available online: https://www.wetter-bw.de/Internet/AM/inetcntrBW.nsf/cuhome.xsp?src=DXA7X04V99&p1=7IN3BW78X7&p3=0SUH35YG92&p4=EZ5D5ZTI3K (accessed on 29 October 2020).
- Crowley, J.G.; Fröhlich, A. Factors Affecting the Composition and Use of Camelina; Teagasc: Dublin, Ireland, 1998. [Google Scholar]
- Maurer, A.; Draba, V.; Pillen, K. Genomic dissection of plant development and its impact on thousand grain weight in barley through nested association mapping. J. Exp. Bot. 2016, 67, 2507–2518. [Google Scholar] [CrossRef]
- Mut, Z.; Erbaş Kose, Ö.D.; Akay, H. Grain yield and some quality traits of different oat (Avena sativa L.) genotypes. Int. J. Environ. Agric. Res. 2016, 2, 83–88. [Google Scholar]
- Mayring, P. Qualitative Inhaltsanalyse. Grundlagen und Techniken, 12th ed.; Beltz Verlagsgruppe: Weinheim, Germany, 2010. [Google Scholar]
- Patterson, H.D. Analysis of series of variety trials. In Statistical Methods for Plant Variety Evaluation, 1st ed.; Kempton, R.A., Fox, P.N., Cerezo, M., Eds.; Springer: Dordrecht, The Netherlands, 1997; pp. 139–161. [Google Scholar]
- Wolfinger, R. Covariance structure selection in general mixed models. Commun. Stat. Simul. Comput. 1993, 22, 1079–1106. [Google Scholar] [CrossRef]
- Kuntze, H.; Niemann, J.; Roeschmann, G.; Schwerdtfeger, G. Bodenkunde, 4th ed.; Ulmer Press: Stuttgart, Germany, 1989. [Google Scholar]
- Bundesministeriums der Justiz und für Verbraucherschutz. Gesetz zur Schätzung des Landwirtschaftlichen Kulturbodens (Bodenschätzungsgesetz–BodSchätzG). Available online: https://www.gesetze-im-internet.de/bodsch_tzg_2008/BodSch%C3%A4tzG.pdf (accessed on 21 December 2020).
- Wang, L.; Gruber, S.; Claupein, W. Mixed cropping with lentils increases grain protein of wheat and barley. J. Cultiv. Plants 2013, 65, 422–426. [Google Scholar] [CrossRef]
- Vlachostergios, D.N.; Roupakias, D.G. Response to conventional and organic environment of thirty-six lentil (Lens culinaris Medik.) varieties. Euphytica 2008, 163, 449–457. [Google Scholar] [CrossRef]
- Siddique, K.H.M.; Loss, S.P.; Regan, K.L.; Pritchard, D.L. Adaptation of lentil (Lens culinaris Medik) to short season Mediterranean-type environments: Response to sowing rates. Aust. J. Agric. Res. 1998, 49, 1057–1066. [Google Scholar] [CrossRef]
- Baird, J.M.; Shirtliffe, S.J.; Walley, F.L. Optimal seeding rate for organic production of lentil in the northern Great Plains. Can. J. Plant Sci. 2009, 89, 1089–1097. [Google Scholar] [CrossRef]
- Bundesanstalt für Landwirtschaft und Ernährung. Erträge im Biologischen und Konventionellen Landbau. Available online: https://www.oekolandbau.de/handel/marktinformationen/der-biomarkt/marktberichte/ertraege-im-biologischen-und-konventionellen-landbau/ (accessed on 8 December 2020).
- Seufert, V.; Ramankutty, N.; Foley, J.A. Comparing the yields of organic and conventional agriculture. Nature 2012, 485, 229–232. [Google Scholar] [CrossRef]
- Pimentel, D.; Hepperly, P.; Hanson, J.; Douds, D.; Seidel, R. Environmental, energetic, and economic comparisons of organic and conventional farming systems. BioScience 2005, 55, 574–582. [Google Scholar] [CrossRef]
- Hawkes, J.G. 1. The importance of genetic resources in plant breeding. Biol. J. Linn. Soc. 1991, 43, 3–10. [Google Scholar] [CrossRef]
- Mammel, L. (Lauteracher Alb-Feld-Früchte, Lauterach, Germany); Mammel, W. (Lauteracher Alb-Feld-Früchte, Lauterach, Germany). Personal communication, 2017.
- Gruber, S.; Zikeli, S.; Claupein, W. Perspectives and limitations of weed control in organic lentils (Lens culinaris): A review. J. Cultiv. Plants 2012, 64, 365–377. [Google Scholar]
- Dierauer, H.; Kranzler, A.; Ebert, U. Creeping Thistle: Successful Control in Organic Farming; Basic Guide. Available online: https://www.agricology.co.uk/sites/default/files/Creeping%20Thistle.pdf (accessed on 7 November 2020).
- Pelzer, E.; Bourlet, C.; Carlsson, G.; Lopez-Bellido, R.J.; Jensen, E.S.; Jeuffroy, M.-H. Design, assessment and feasibility of legume-based cropping systems in three European regions. Crop Pasture Sci. 2017, 68, 902. [Google Scholar] [CrossRef]
- Bundesministerium für Ernährung und Landwirtschaft. Agrarpolitischer Bericht der Bundesregierung 2019. Available online: https://www.bmel-statistik.de/landwirtschaft/agrarpolitischer-bericht/ (accessed on 23 November 2020).
- Statistisches Bundesamt Bodennutzungshaupterhebung. Ökologischer Landbaunach Verordnung (EG) Nr. 834/2007 i.V.m. Verordnung (EG) Nr. 889/2008 in Deutschland im Jahr 2019. Available online: https://www.bmel.de/SharedDocs/Downloads/DE/_Landwirtschaft/Biologischer-Landbau/oekolandbau-deutschland-2019.pdf?__blob=publicationFile&v=2 (accessed on 8 December 2020).
- Zander, K.; Hamm, U. Werte ökologischer Lebensmittel: Anforderungen an eine erfolgreiche Kommunikation mit Verbrauchern. In Es geht ums Ganze: Forschen im Dialog von Wissenschaft und Praxis, Proceedings of the Wissenschaftstagung Ökologischer Landbau, Gießen, Germany, 15–18 March 2011; Leithold, G., Becker, K., Brock, C., Fischinger, S., Spiegel, A.-K., Spory, K., Wilbois, K.-P., Williges, U., Eds.; Dr. Köster: Berlin, Germany; pp. 292–295.
- Askegaard, S.; Madsen, T.K. The local and the global: Exploring traits of homogeneity and heterogeneity in European food cultures. Int. Bus. Rev. 1998, 7, 549–568. [Google Scholar] [CrossRef]
- Clarkson, J. Food History Almanac. Over 1,300 Years of World Culinary History, Culture, and Social Influence; Rowman & Littlefield Publishers: Lanham, MD, USA, 2013. [Google Scholar]
- Mestre, J.-R. La Lentille Verte du Puy. Une Histoire Naturelle! Ed. du Roure: Polignac, France, 2009. [Google Scholar]
- Piergiovanni, A.R. The evolution of lentil (Lens culinaris Medik.) cultivation in Italy and its effects on the survival of autochthonous populations. Genet. Resour. Crop Evol. 2000, 47, 305–314. [Google Scholar] [CrossRef]
Publisher’s Note: MDPI stays neutral with regard to jurisdictional claims in published maps and institutional affiliations. |
© 2020 by the authors. Licensee MDPI, Basel, Switzerland. This article is an open access article distributed under the terms and conditions of the Creative Commons Attribution (CC BY) license (http://creativecommons.org/licenses/by/4.0/).









