Next Article in Journal
Proposal of Package-to-Product Indicator for Carbon Footprint Assessment with Focus on the Czech Republic
Previous Article in Journal
Leading Schools towards Sustainability. Fields of Action and Management Strategies for Principals
 
 
Font Type:
Arial Georgia Verdana
Font Size:
Aa Aa Aa
Line Spacing:
Column Width:
Background:
Article

A Distributed Cooperative Control Strategy of Offshore Wind Turbine Groups with Input Time Delay

College of Energy and Electrical Engineering, Hohai University, Nanjing 211100, China
*
Author to whom correspondence should be addressed.
Sustainability 2020, 12(7), 3032; https://doi.org/10.3390/su12073032
Submission received: 18 February 2020 / Revised: 29 March 2020 / Accepted: 3 April 2020 / Published: 9 April 2020

Abstract

With large-scale development of offshore wind power and the increasing scale of power grid interconnection, more and more attention has been drawn to the stable operation of wind power units. When the wide area measurement system (WAMS) is applied to the power system, the time delay mainly occurs in the signal measurement and transmission of the power system. When 10MW wind turbines transmit information through complex communication network, time delay often exists, which leads to the degradation of performance and instability for system. This affects the normal operation of a wind farm. Therefore, in this paper, the distributed control problem of doubly fed wind turbines with input time delay is studied based on the Hamiltonian energy theory. Firstly, the Port-controlled Hamiltonian system with Dissipation (PCH-D) model is implemented with the Hamiltonian energy method. Then, the Casimir function is introduced into the PCH-D model of the single wind turbine system to stabilize the time delay. The wind turbine group is regarded as one network and the distributed control strategy is designed, so that the whole wind turbine cluster can remain stable given a time delay occurring in the range of 30–300 ms. Finally, simulation results show that the output power of the wind turbine cluster with input delay converges to the expected value rapidly and remains stable. Additionally, the system error caused by time delay is greatly reduced. This control method can effectively solve the problem of input time delay and improve the stability of the wind turbine cluster. Moreover, the method proposed in this paper can adopt the conventional time step of dynamic simulation, which is more efficient in calculation. This method has adaptability in transient stability analysis of large-scale power system, however, the third-order mathematical model used in this paper cannot be used to analyze the internal dynamics of the whole power converter.

1. Introduction

In the low-carbon economy, significant attention has focused on wind power as a main source of renewable energy, with the potential to become a hotspot for global energy development in the future [1,2]. If offshore wind energy resources are abundant, and wind turbulence intensity and sea surface roughness are less than those on land, then the utilization of offshore wind energy becomes an important way to meet the requirements for energy growth and implement sustainable development [3,4]. As technological innovation has matured in this field, a trend for large-capacity development of offshore wind power has emerged and the scale of the wind farm has expanded. In order to meet the reliability and stability requirements of the wind turbine group in the marine environment, a good control strategy is designed to further improve the control effect of a single unit and the whole wind farm.
With the rapid integration of the power system and communication network, the control of the system tends to be networked, intelligent, and comprehensive [5,6,7]. Compared with traditional centralized control, distributed control has more advantages in solving networked system control problems. For example, the risk of failure is dispersed and the reliability of the system is improved [8,9,10]. The offshore wind farm is regarded as a distributed network, each unit in the wind farm is a node in the network, and unit information is exchanged through communication circuits. On the network, the corresponding distributed control strategy can be implemented and the synchronization output of each unit can be adjusted, which can make the wind power system run stably and effectively realize control of the whole wind farm [11].
Modern power systems are gradually developing with multiple-interconnection and large-scale characteristics. WAMS has been applied to power systems, enabling distributed synchronous measurement and stability control of modern power systems [12,13]. WAMS exists in the phasor measurement unit of a wind farm, the communication system and control system of dispatching center. In the WAMS, the time delay of signal transmission is usually large, and presenting a random characteristic. The time delay is inevitable occurring in many power engineering and applications. The time delay in the WAMS may cause the change of the main eigenvalue and the main oscillation frequency in the unstable state. Additionally, time delay leads to the preset controller parameters unavailable, and reduces the stability margin of the system, even worsening the operation condition of the power system. Therefore, the time delay control of the wind turbine cannot be ignored [14,15].
In recent decades, the problem of time delay has been widely concerned, and many scholars have put forward many good results. The novel decentralized sliding mode load frequency control (LFC) strategy is proposed for a multiple-area time delay power system with significant wind power penetration in [16]. In the paper [17], time delay is considered in command communication from control unit to motor driver in wind turbine, and an inertial supplementary scheme is proposed. The method based on the network predictive control (NPC) is proposed for coordinated design to improve damping, and compensate for the time delay in [18]. The control methods mentioned above are all based on universal nonlinear model. The specific action position of time delay on the wind turbine model is not considered, also on the coordination between multiple wind turbines. Offshore wind turbine cluster is a complex Multi-input Multi-output (MIMO) nonlinear system. A model having more clear structure and physical meaning is needed to describe wind power system. Generalized Hamiltonian system is an important field in nonlinear system research, and PCH-D model has clear structural characteristics, so it is used in the nonlinear system application and control [19].
The generalized Hamiltonian system is defined by generalized Poisson bracket, and the Casimir function is one of the special properties of Poisson manifold. Casimir function is used as a conserved quantity to determine the stability of Hamiltonian system at the equilibrium point, and reduce the dimension of finite dimension Hamiltonian system. Therefore, Casimir has been widely used and studied in various fields. Casimir function is used to constrain the state of the finite dimensional port Hamiltonian system; the energy function of the controller is easily shaped to solve the regulation problem [20]. The Energy-Casimir method is proposed to deal with power preserving system and applied to longitudinal beam vibrations [21]. Casimir function is an important tool in the design of Hamiltonian system. The design process is simple, and the stability analysis and control of the Hamiltonian system can be advanced by using the Casimir function [22,23,24].
At present, the stability problems of nonlinear time delay system are widely concerned by scholars and engineers in practical engineering and theoretical research. A new adaptive neural network controller is designed based on the traditional Lyapunov-Krasovski function, to obtain the stability criterion of nonlinear time delay system in [25]. However, in the process of derivation, the matrix inequality is amplified many times, which increases the conservatism of the conclusion. Based on linear matrix inequality (LMI) method, a fuzzy controller of time delay is designed in [26]. The LMI method needs to find multiple uncertain matrices, and may not be available in the actual nonlinear system, also, the process is more complex. The offshore wind turbine group is affected by time delay in the wide area signal. In this paper, the Casimir function method is proposed to design the time delay controller. In the design process, the amplification of multiple uncertain matrices is avoided, the conservatism brought by amplification of multiple matrix in the other method is overcome, and the control is easier to achieve. Moreover, Casimir function method can combine distributed cooperative control to solve the coordination problem among multiple control objects.
A wind turbine is a typical nonlinear system. In order to realize the control of the doubly fed wind turbine group, the main work in this paper can be summarized as follows:
  • The Hamiltonian implementation of the doubly fed generator is firstly carried out, and the PCH-D model is obtained; this is well structured with clear physical meaning.
  • Considering that the single-machine system in the wind farm has input time delay, the closed-loop PCH-D form is embedded into the extended system using the Casimir function. The extended system is confined to the invariant Casimir manifold and controlled by the interconnection of the system under the PCH-D structure, so that closed-loop system maintains the required stability and performance through energy-shaping approaches.
  • The control problem of the single-machine wind turbine is extended to the control of wind turbine group consisting of multiple units. By combining the Casimir function with distributed control design, a distributed cooperative control strategy is proposed for wind turbines with input time delays. Thus, all wind turbines can achieve global stability synchronization of active power output under input time delay.

2. PCH-D Model of Doubly Fed Wind Turbine and Graph Theory Foundation

2.1. Doubly Fed Wind Turbine Structure

The doubly fed wind turbine includes wind turbine, transmission structure and doubly fed induction generator (DFIG). The stator of DFIG is directly connected to the power grid, and the rotor is connected to the power grid through a converter. A typical configuration of a DFIG based on a wind turbine is shown schematically in Figure 1:
From the physical description, the wind turbine provides the rated power by adjusting kinetic energy (KE) stored in the rotating mass. Intuitively, the wind turbine’s aerodynamic characteristics and output power can be obtained by adjusting the rotor speed. If the turbine, gearbox, shafts and generator are lumped together into an equivalent mass H tot , one-mass transmission can be represented by a first-order model with dynamic power as Equation (1) [27]:
2 H tot d s d t = P s P m
where, H tot is the inertia constant of the wind turbine and the generator as a whole; S is the rotor slip rate; P m is the mechanical power input of the wind turbine; P s is the active power output of the wind turbine.
When the generator is in a stable state, there is still an optimal rotor speed for the wind turbine to operate at its maximum power point tracking (MPPT) mode at each specific wind speed, and achieve dynamic power balance. The DFIG is a two-order model by ignoring the electromagnetic transient of the stator as Equation (2) [28]:
{ d E d d t = s ω s E q E d + ( X s X s ) i q s T 0 ω s L m L r r u q r d E q d t = s ω s E d E q ( X s X s ) i d s T 0 + ω s L m L r r u d r
where, L ss is the self-inductance of the stator; L rr is the self-inductance of the rotor; L m is the mutual inductance; R r is the resistance of the rotor; ω s is the synchronous angular velocity; X s is the reactance; X s is the transient reactance of the stator; i d s and i q s is the current of the stator on the d shaft and q shaft respectively; E d and E q is the voltage of the d shaft and q shaft under the transient reactance respectively; u d r and u q r is the voltage of the rotor on the d shaft and q shaft respectively; P s is the output of the active power of the stator; X s = ω s L ss , X s = ω s ( L ss L m 2 / L rr ) , P s = E d i d s E q i q s and T 0 = L rr / R r .
In this paper, we consider a mathematical model of a wind turbine with one-mass transmission system and without considering the stator transients. The DFIG only presents low frequent oscillating mode (~3Hz), and there is not dc-link voltage or rotor flux d-component being responsible for decaying mode; stator current, turbine speed, twist angle, generator speed and rotor flux q-component are not responsible for oscillating mode of wind turbine, under which the DFIG operation is possible [29]. The DFIG model with one-mass transmission and neglecting the transient state of stator is more suitable for practical application. However, there is some assumption adopted in the model analysis, and a suitable order of wind turbine model is necessary, to study the internal dynamics of the power converter.

2.2. Hamiltonian Implementation of Doubly Fed Wind Turbine

Doubly fed wind turbine is a MIMO nonlinear model; there is much research for the design of nonlinear system. The controller designed by differential geometric feedback linearization has a complex structure [30]. This method can only deal with accurate models, and there are great limitations in practical engineering applications. Direct feedback linearization can only deal with single input and single output (SISO) models, not MIMO models [31]. The direct Lyapunov method only deals with stabilizable system [32]. The Lyapunov function does not have a unified and general construction method, so the construction process is difficult, and it is not suitable for transient stability study of high-order and large-scale power systems.
The generalized Hamiltonian energy method constructs the nonlinear system into a Hamiltonian model, and selects the Hamiltonian energy function as the Lyapunov function, avoiding the difficulty of directly constructing the Lyapunov function [33]. Any system has the characteristics of energy storage, consumption, and conversion. Hamiltonian energy method takes full advantage of the system’s structural characteristics and the nonlinear characteristics of the energy function. The controller is designed in a simple process, so this method is suitable for the stability analysis of large-scale power systems.
The nonlinear system can be transformed into PCH-D form by selecting the appropriate Hamiltonian energy function, as follows:
{ x ˙ = ( J R ) H + G μ y = G T H
where x is the state; μ is the control input; y is the output; J is skew-symmetric matrices, that is, J T = J ; R are non-negative symmetric matrices; H is the gradient of the Hamiltonian function H; G is control matrices.
In order to transform the mathematical model of wind turbine into PCH-D form in Equation (3), Equations (1) and (2) is rewritten into matrix form as follows:
d d t [ s E q E d ] = [ i q s 2 H t o t E q i d s 2 H t o t E d P m 2 H t o t 1 T 0 E q s ω s E d + i d s T 0 ( X s X s ) s ω s E q 1 T 0 E d i q s T 0 ( X s X s ) ] + [ 0 0 ω s L m L r r 0 0 ω s L m L r r ] · [ u d r u q r ]
The Hamiltonian energy function of the system is written as follows:
H = s 2 2 + 1 2 ( E q + P m 2 i q s ) 2 + 1 2 ( E d + P m 2 i d s ) 2
The model in (4) can be rewritten into PCH form, and then the control law u = [ u d r u q r ] = K + μ is designed with pre-feedback K and output feedback μ, where
K = [ L r r ω s L m ( i d s T 0 ( X s X s ) + P m 2 T 0 i q s + ( ω s P m 2 i d s i q s 2 H t o t ) s ) L r r ω s L m ( i q s T 0 ( X s X s ) + P m 2 T 0 i d s ( ω s P m 2 i q s + i d s 2 H t o t ) s ) ]
The PCH-D form of the closed-loop system in (4) is obtained [34]
d d t [ s E q E d ] = [ 0 i q s 2 H t o t i d s 2 H t o t i q s 2 H t o t 1 T 0 s ω s i d s 2 H t o t s ω s 1 T 0 ] H + [ 0 0 ω s L m L r r 0 0 ω s L m L r r ] · [ μ d r μ q r ] = Δ ( J R ) H + G μ
y = G T H = [ ω s L m L r r ( E q + P m 2 i q s ) ω s L m L r r ( E q + P m 2 i q s ) ]

2.3. Conceptions of Graph Theory

The offshore wind turbines are interconnected through communication networks, and the whole wind farm can be regarded as a network topology, where the units coordinate with each other through designed control strategies. In this paper, some basic concepts of graph theory are introduced to provide the theoretical basis for the following controller design [35].
Considering that there are n nodes communicating with each other on the network, the communication topology graph is usually recorded. G ( V , E ) , V = ( v 1 , v 2 , , v n ) is a set of nodes. E V × V is a set of the edges representing the communication of information between two nodes. If the edge is directed, G ( V , E ) is called a directed graph; otherwise, it is called an undirected graph. The edge ( v i , v j ) indicates that node j can obtain information about node i, and each graph has its own adjacency matrix, A = { a i j } R n × n and Laplacian matrix L. If ( v i , v j ) E , a i j > 0 ; otherwise, a i j = 0 . For convenience of analysis in the paper, a i j take 1 when a i j 0 .

3. Controller Design for Doubly Fed Wind Turbine Groups with Input Time Delay

In recent years, the rapid development of the power grid has greatly increased the complexity of its structure and operation. At the same time, smart grid construction requires significant improvement on stability and transmission capability. In wide-area control systems, significant time delays exist in the feedback and transmission process of remote measured signals and local measured signals, and wind power becomes a dynamic system with time delay. Meanwhile, because of this time delay, the control effect of the closed-loop system becomes worse and even causes oscillation, which deteriorates the stability of the system. The offshore wind farm is located at the far end of the power grid. The wind turbines are geographically situated at a certain distance from each other and are affected by different marine environments. Therefore, the time delay of the wide-area signal is usually affected by transmission distance and transmission protocol, which is uncertain and random. That is, the time delays of different units change in a certain range [36]. In this paper, a coordinated control strategy for offshore wind turbines with input time delay is proposed to solve this problem.

3.1. Controller Design for A Single-Machine System with Input Delay

This section analyzes the control problem of a single-machine system with time delay, and the nonlinear model of a doubly fed wind turbine is transformed into PCH-D form. Then, the Casimir function is introduced and the new energy function is shaped by extending the interconnection. The Hamiltonian function is considered a candidate of a Lyapunov function in the extended system, which makes the extended wind turbine system operate stably at the original equilibrium point.

3.1.1. Problem Description

Considering offshore wind turbine groups, the PCH-D model of a single-machine system is extended to that of a multi-machine system as follows:
{ x ˙ i = ( J i R i ) H i + G i μ i y i = G i T H i
The subscript i denotes the parameters of unit i in the network topology.
Assuming that the wind turbine is connected to other machines in the distance, the time delay is inevitable in measurement data. Considering the control inputs are u d r and u qr , this feeds back both the local measurement information and the wide area measurement signals, and the wind turbine system is modeled as PCH-D with the input time delay as follows:
{ x ˙ i = ( J i R i ) H i x i + G i ( x i ) μ i ( t τ i ) y i = G i T H i
where τ i is the input time delay of the unit i. The distances between wind turbines are different, and the time delays produced in the wide-area signals of each unit are different. Therefore, the time delays vary within a certain range, τ min is the minimum delay, and τ max is the maximum delay in the wind turbine network, and τ i is an uncertain constant satisfying τ min τ i τ max .

3.1.2. Design of the Casimir Function

The actual wind turbine system is a nonlinear time delay system. The model described by PCH-D form has clear structural characteristics. Casimir function method is an important analysis tool of Hamiltonian energy theory, and can be used to analyze the stability of the uncertain Hamiltonian system at the equilibrium point. By selecting the Hamiltonian energy function as a candidate function of the Lyapunov function, this method will not change the structural characteristics of the PCH-D model, and does not require the application of an inequality matrix. Therefore, the difficulty of analysis reduced greatly [23]. In the following, the controller of the time delay control system is designed by Casimir function, and the stability of the system is analyzed.
In order to achieve the required stability performance with input time delay, a new energy function is formed by interconnecting the system in (10) with the following source system in (11):
{ ξ ˙ i = ( J 1 i ( ξ i ) R 1 i ( ξ i ) ) H 1 i ( ξ i ) + G 1 i ( ξ i ) u 1 i ( t τ i ) y 1 i = G 1 i T ( ξ i ) H 1 i ( ξ i )
where, ξ i R n 1 , y 1 i R m , u 1 i ( t τ i ) R m , and H 1 i ( ξ i ) is the extended Hamiltonian function for the dynamic controller.
The design of the feedback interconnection controller is as follows:
{ μ i ( t τ i ) = ( t τ i ) y 1 i u 1 i ( t τ i ) = ( t τ i ) y i
Through the interconnection, the system is expressed as:
( x ˙ i ξ ˙ i ) = ( J i ( t ) R i ( t ) G i ( x i ) ( t τ i ) G 1 i T ( ξ i ) G 1 i ( ξ i ) ( t τ i ) G i T ( x i ) J i ( ξ i ) R i ( ξ i ) ) · ( H i ( x i ) H 1 i ( ξ i ) )
Proposition 1.
Function ξ i c i ( x , t τ i ) , i = 1 , 2 , , n 1 , is the Casimir function of the system in (11), and its necessary and sufficient conditions satisfy:
{ ( C ( x , t τ ) ) T J C ( x , t τ ) = J 1 R C ( x , t τ ) = R 1 = 0 ( C ( x , t τ ) ) T J = G 1 ( t τ ) G T
where,
C ( x , t τ ) = ( c 1 ( x , t τ ) , c 2 ( x , t τ ) , , c n i ( x , t τ ) )
Meanwhile, invariant manifolds are defined as
B = { ( x , ξ ) | ξ i = c n i ( x , t τ ) + d i , i = 1 , 2 , , n i }
where, d 1 , d 2 , , d n is a constant.
Based on the above definition, to maintain the stable operation of the wind turbine system with input delay, a control strategy is designed based on the Casimir function. The theorem is as follows:
Theorem 1.
Considering the doubly fed wind turbine in (4) with input delay on offshore wind farm, a feedback controller is designed as follows:
μ i 1 ( t τ i ) = ( t τ i ) G T 1 i H 1 i ( ξ i , t ) | ξ i = c i ( x , t τ i ) + d i
Given the above propositions, the closed-loop single-machine system can maintain stable operation under the condition of input time delay.
Proof of Theorem 1.
For the PCH-D model in (10), the controller is
μ i 1 ( t τ i ) = ( t τ i ) G T 1 i H 1 i ( ξ i , t ) | ξ i = c i ( x , t τ i ) + d i
By substituting this into the interconnected extended closed-loop system in (13), it is obtained:
x ˙ i = ( J i ( x , t ) R i ( x , t ) ) H a i ( x , t , t τ i )
where
H a i ( x , t , t τ ) = H i ( x , t ) + H 1 i ( x , t , t τ i )
With the introduction of the Casimir function, the Hamiltonian function can be expressed as follows:
H 1 i ( x , t , t τ i ) = H 1 i ( c 1 ( x , t τ i ) + d 1 , , c n i ( x , t τ i ) + d n i , t )
Take the interconnection system to satisfy:
{ H 1 ( ξ , t ) = ξ C ( x 1 , x 2 , x 3 , t τ ) = 1 2 τ x 1 2 G 1 ( x , t ) = ( a x 1 τ e ( t τ ) b x 1 τ e ( t τ ) )
Then,
H 1 ( ξ , t ) = 1 , C ( x 1 , x 2 , x 3 , t τ ) = ( τ x 1 0 0 )
This satisfies the necessary and sufficient conditions in (14) for the existence of the Casimir function. If the Casimir function ξ i c i ( x , t τ i ) of the extended system can be taken as ξ = C ( x , t τ ) , then
H a ( x , t , t τ ) = H ( x , t ) + H 1 ( x , t , t τ ) = x 1 2 2 + 1 2 ( x 2 + P m 2 i q s ) 2 + 1 2 ( x 3 + P m 2 i d s ) 2 + 1 2 τ x 1 2 0
This shows that the equilibrium points of the Hamiltonian energy function for the extended single-machine system are x 1 = 0 , x 2 = P m 2 i q s , x 3 = P m 2 i d s , which are the same as those without input time delay in the system. The system can be restricted to invariant manifold B, and H a ( x , t , t τ ) is regarded as the Lyapunov function of the system. The system in (9) with input time delay can maintain global stability under the action of the source system in (11).
This demonstrates that the PCH-D model of wind turbine can be extended and interconnected through the Casimir function when a time delay exists in the input of a wind turbine. Then, the input time delay controller is designed to maintain the wind turbine stable in the PCH-D form. Simultaneously, the influence of time delay on the system is eliminated and the stability of the system is maintained.

3.2. Controller Design of A Multi-machine System with Input Time Delay

At present, distributed control in the development of smart grid and new energy has attracted great attention of scholars and engineers. A distributed consensus-based power sharing algorithm is introduced to determine the power generations of the subsystems, which enhances load current sharing accuracy among the local distributed generators [37]. This paper presents a distributed control technique for voltage, frequency and active/reactive power control of the point of common connection (PCC), AC-grid of a wind farm. The distributed control strategy allows maximum power transfer from the wind turbines to the AC-grid, with good dynamic performance during steady-state and transient operation of the AC-grid [38]. Distributed control is more flexible and extensible, so it is widely used in power generation, transmission and distribution.
The offshore wind farm contains multiple wind turbines. The communication between the turbines and the main control center is complex. In addition, the offshore environment is complex and changeable, making maintenance of wind turbines difficult. The distributed control structure is adopted for the offshore wind turbine group. Through the communication structure, each unit can obtain the corresponding status information or parameters from the neighboring units and make its decisions with the control strategy. There is no communication between the central controller and each unit. Through communication and independent control strategy, each unit can adjust KE stored in the rotating mass, so that the wind turbines can achieve the desired power output and stable state under the corresponding wind speed. The distributed control greatly reduces the communication burden between the wind turbines and the central controller. The investment of the transmission and distribution equipment is reduced, also the loss of the power grid transmission. The energy utilization rate has been greatly improved. The network diagram of wind turbines with distributed control is shown in Figure 2:
In the offshore wind farm, wind turbines are interconnected by communication circuits and provide power to the grid. The offshore environment is complex, and the distances between wind turbines are different. The time delay of the wide-area signal of each wind turbine is affected by the distance and the environment, which varies randomly within a certain range. In this section, the controller of single-machine system with input time delay proposed in the previous section is extended to that of multi-machine system with input time delay. For the network of wind turbines, a distributed control strategy is proposed to solve the control problem of the system with different stochastic time delay inputs. The whole wind farm can maintain global stability and improve operational reliability. The design process is as follows:
Assumption 1.
Considering the network topology of the offshore wind turbine group, there is, at least, one directed spanning tree existing.
Theorem 2.
Consider one offshore wind farm consisting of N wind turbines. The control strategy for wind turbines with stochastic time delays in the input is designed as follows:
μ i = μ i 1 + μ i 2 = ( t τ i ) G T 1 i H 1 i ( ξ , t ) | ξ i = c i ( x , t τ i ) + d i j = 1 N a i j ( y i y j ) , i , j = 1 , 2 , , N
where, τ min τ i τ max , μ i 1 = ( t τ i ) G T 1 i H 1 i ( ξ , t ) | ξ i = c i ( x , t τ i ) + d i , μ i 2 = j = 1 N a i j ( y i y j ) and a i j = 1 .
Under the control strategy, the output of each unit in the wind turbine group can converge when there is a time delay in the input, and the active power output can synchronize, so that the whole closed-loop system is globally stable.
Proof of Theorem 2.
The control strategy μ i 1 maintains a stable PCH-D structure when a time delay exists in the input of the system. Whereas the control strategy μ i 2 can adjust the whole output of the wind farm, and realize output synchronization of a multi-machine system, to maintain the stable operation of the whole wind farm.
Each unit in the wind farm can be extended to the PCH-D system interconnecting with the source system through the feedback interconnection controller. An extended PCH-D system is obtained as follows:
( x ˙ ξ ˙ ) = ( J ( t ) R ( t ) G ( x ) ( t τ ) G 1 T ( ξ ) G 1 ( ξ ) ( t τ ) G T ( x ) J ( ξ ) R ( ξ ) ) ( H ( x ) H 1 ( ξ ) )
Then, the control strategy μ i is substituted into the PCH-D model in (9) in the wind turbine group, and it can be rewritten as follows:
x ˙ i = ( J i R i ) H i x i g i ( x i ) ( t τ i ) G T 1 i H 1 i ( ξ , t ) | ξ i = c i ( x , t τ i ) + d i g i ( x i ) j = 1 N a i j ( y i y j ) = ( J i R i ) H a i x i g i ( x i ) j = 1 N a i j ( y i y j )
where,
H a i ( x i , t , t τ i ) = H i ( x i , t ) + H 1 i ( x i , t , t τ i )
In terms of the Casimir function, it is gotten:
H 1 i ( x i , t , t τ i ) = H 1 i ( c 1 ( x , t τ i ) + d 1 , , c n i ( x , t τ i ) + d n i , t )
The Lyapunov function of the whole system is set as follows:
V = 2 i = 1 N H a i ( x i )
Taking the derivative of the Lyapunov function, and substituting the control strategy μ i 2 into the derivation, we have
V ˙ = 2 i = 1 N T H a i ( x i ) x ˙ i = 2 i = 1 N T H a i ( x i ) ( J i R i ) H a + 2 i = 1 N T H a i ( x i ) G i μ i 2 = 2 i = 1 N T H a i ( x i ) ( J i R i ) H a 2 i = 1 N y i T j = 1 N a i j ( y i y j )
Formula V ˙ can be rewritten into a vector form as follows:
V ˙ = 2 T H a ( x ) R H a ( x ) 2 y T ( L N I 3 ) y 0
where, the output is y = [ y 1 , y 2 , , y N ] T , and L N is N × N , the Laplacian matrix for the system.
Consider:
S = { x | V ˙ = 0 } = { x | H T R H = 0 , ( L N I 3 ) y = 0 }
According to LaSalle’s invariant principle [39], when t , the solutions converge to the set S, and the output y 1 = y 2 = = y N is satisfied. When the wind turbine operates steadily, it is obtained that
P s i = P m i
When the system maintains operational stability, the active power output of the wind turbine is equal to its input mechanical power [40]. Therefore, under the distributed control strategy designed through the Casimir function, the wind turbines with input time delays in a certain range can coordinate with each other to ensure the whole closed-loop system maintains operational stability in terms of the output.
Based on the analysis, when a time delay exists in the input of offshore wind turbines, the Casimir function is used to construct and interconnect the feedback controller, to maintain a stable PCH-D structure in the case of input time delay, which makes the single-machine run stably. When there are time delays in the inputs of all wind turbines in an offshore wind farm, the networked distributed control is applied to each unit so that the machines coordinate with each other. This not only eliminates the influence of time delay, but also maintains the stable operation and greatly improves the reliability of the whole wind farm.

4. Simulation Verification

In this section, MATLAB software is used to simulate and verify the effectiveness of the control strategy. Firstly, the proposed control strategy is used to stabilize the output of the single wind turbine with input time delay. Compared with the control strategy without considering time delay, the control method is proven effective. Then, by using the designed control strategy for the multi-machine system with input delays, the whole wind farm can maintain synchronous output and stable operation. The numerical values of the wind turbine used in the simulation are shown in Table 1.

4.1. Controller Design for a Single-Machine with Input Delay

In a doubly fed wind turbine cluster, the wind turbines are connected with each other. The local measurement information and wide-area measurement signal is feedback by the control input, therefore, time delay τ exists in input inevitably. τ is a constant satisfying τ min τ τ max . For the convenience of analysis, only the influence of distance is considered on the value of time delay. τ min = 30 ms is taken as the shortest delay of wind turbines, and τ max = 300 ms as the longest delay. In the interconnection system, G 1 ( x , t ) is substituted into the designed controller with the Casimir function.
μ 1 ( x , t τ ) = ( t τ ) G T 1 H 1 ( ξ , t ) | ξ i = c i ( x , t τ ) + d i = ( a τ x 1 e b τ x 1 e )
An appropriate initial value is selected to simulate and the simulation results of a single-machine system are shown in Figure 3. The simulation results of the output response of a single wind turbine with input time delay are shown in Figure 3a. The simulation results of the output response of a single-machine, controlled by the Casimir function, are shown in Figure 3b. The simulation results of active power of a single wind turbine with input time delay are shown in Figure 3c, and the simulation results of the active power controlled by the Casimir function are shown in Figure 3d.
Figure 3a,c illustrate that the curves of the output response of the unit are unstable and even fluctuate greatly, when there is a time delay τ in the input of a wind turbine. The maximum active power is P s max = 20.1 MW , and the maximum power changed within 1s is Δ P s max = 18.06 MW . The stable PCH-D form of the unit is destroyed by the time delay τ, which causes the system to run unsteadily.
Figure 2d and Figure 3b show that the output response and active power curve of a single- machine have a certain amplitude of oscillation in a short period of time, and the fluctuation amplitude reduces significantly after 10s. After 25s, the output converges to 0, and the active power output of the unit converges to 10 MW. The system operates stably. The maximum active power is P s max = 17.1 MW , and the maximum power changed within 1s is Δ P s max = 16.05 MW . The peak time and accommodation time of the active power are t p = 2.01 s and t s = 2.01 s respectively, the overshoot is σ = 71 % , and the steady-state error is e s s p = 0.1 .
Through comparison, it can be seen that the single-machine system has oscillation mode due to the input time delay. After the unit is controlled with time delay controller, the system converges rapidly, maintains the global stability, and reduces the steady-state error of the system. It shows that the Casimir function method can effectively solve the oscillation problem caused by input time delay, and also enhance the stability and control accuracy of the system.

4.2. Controller Design for A Multi-Machine with Input Delay

A wind farm contains multiple wind turbines, and multiple wind turbines are affected by time delays, so distributed control is adopted for the wind farm. For the convenience of simulation and analysis, a wind turbine cluster composed of six doubly fed wind turbines is considered in this section. The single line diagram of the wind farm underneath is as follows:
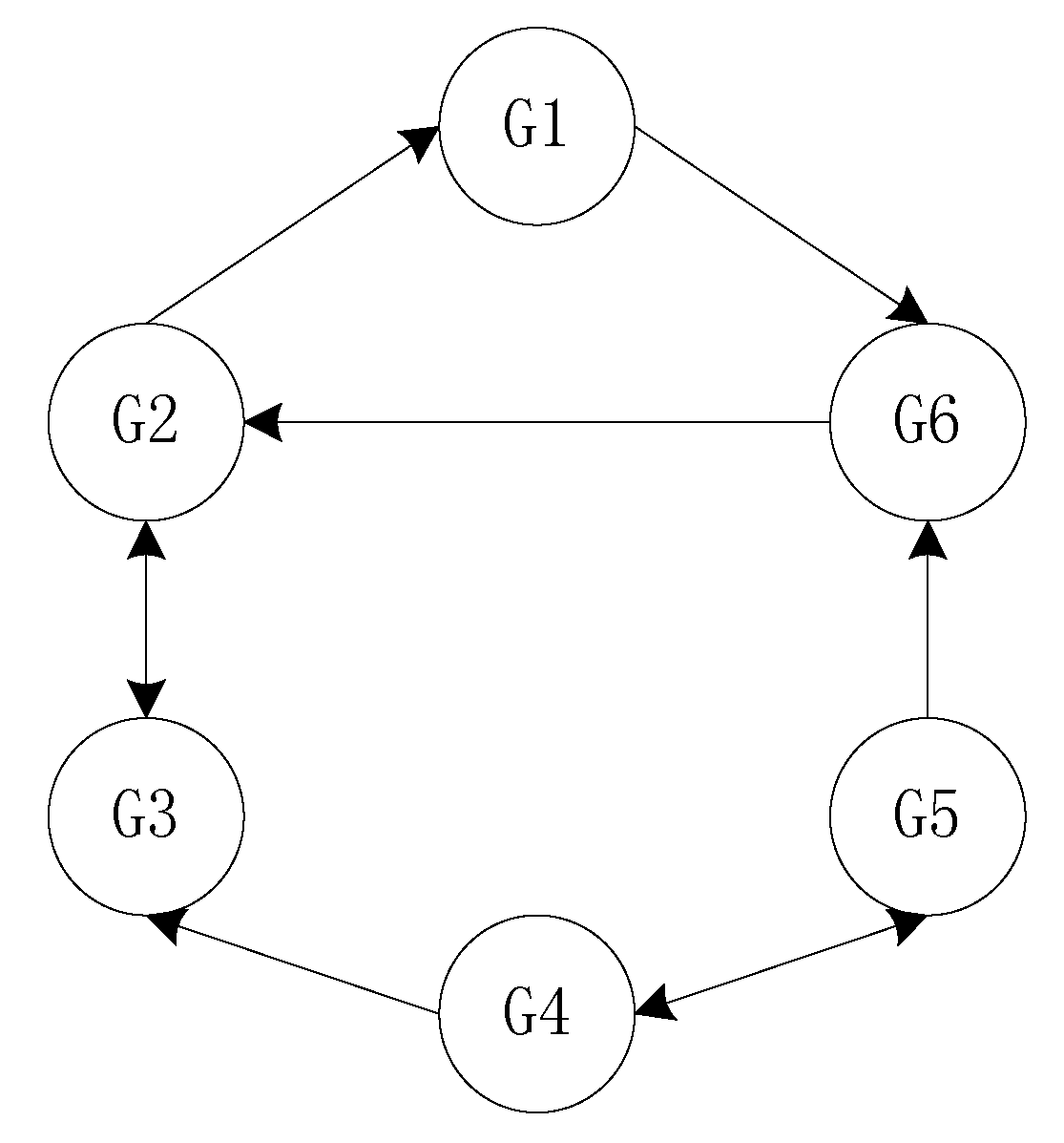
The units G1-G6 in Figure 4 are regarded as nodes, and the units exchange information with each other through communication lines. The network structure of the G1-G6 is simplified as Figure 5 as follows:
Figure 5 contains a directed spanning tree. In the distributed time delay control strategy (18), the control strategy μ i 2 is distributed control strategy, to realize output synchronization of a multi-machine system. There is a directed spanning tree structure in Figure 5, which satisfies the design conditions of distributed cooperative control strategies for units G1-G6 [11]. By adopting distributed cooperative control for each unit, the units can be coordinated with each other to achieve a stable output convergence. Therefore, the distributed cooperative control strategy for the wind turbine group without time delay is
μ i 2 = j = 1 N a i j ( y i y j ) , i , j = 1 , 2 , 3 , , 6
Considering the connection direction of unit G1-G6 in Figure 5, the distributed cooperative control strategies of the units G1-G6 are designed as follows:
{ μ 12 = y 2 y 1 μ 22 = y 6 + y 3 2 y 2 μ 32 = y 2 + y 4 2 y 3 μ 42 = y 5 y 4 μ 52 = y 4 y 5 μ 62 = y 5 + y 1 2 y 6
There is time delay τ i in the input of each turbine, and time delay of each unit is different randomly, satisfying τ min τ i τ max . Based on the above Casimir function, the wind turbines with time delays are controlled through the distributed cooperative control strategies. From Theorem 2 in Section 3, the control strategy μ i of wind farm with time delays is Equation (18), the strategy μ i 1 and strategy μ i 2 are obtained from Equation (18) and Equation (19) respectively. The distributed control strategies of six units with time delays are designed as follows:
{ μ 1 = μ 11 + y 2 y 1 μ 2 = μ 21 + y 6 + y 3 2 y 2 μ 3 = μ 31 + y 2 + y 4 2 y 3 μ 4 = μ 41 + y 5 y 4 μ 5 = μ 51 + y 4 y 5 μ 6 = μ 61 + y 5 + y 1 2 y 6
The simulation results of wind turbine groups are shown in Figure 6. The simulation results of the output response of wind turbines with input time delays are shown in Figure 6a. The simulation results of the output response of wind turbines controlled by distributed control strategy, are shown in Figure 6b. The simulation results of active power of wind turbines with input time delays are shown in Figure 6c, and the simulation results of the active power of wind turbines controlled by time delay control are shown in Figure 6d.
Figure 3a,b demonstrate that the output of wind turbines fluctuates greatly under the influence of input time delay, and the whole system is in an unstable state. The normal operation of wind turbines is seriously affected by input time delay. Figure 4a,b demonstrate that the curves of the output response and the active power output fluctuated less at 10 s. After 15 s, the output converges to 0, the active power output of each unit converges to 10 MW, and the output of each unit is synchronous.
Table 2 shows the stability parameters of wind turbines with time delays after distributed time delay control.
In Table 2, the maximum active power is P 4 s max = 14.15 MW , all the accommodation time is within 10s. The fastest accommodation time is unit G1’s. The overshoots of the units are less than 50%, and the steady-state errors of the units are all within 0.04. The distributed control strategy based on Casimir function suppresses the oscillation caused by time delay, and achieves active power stability and output synchronization. After the wind turbine group is controlled by the distributed time delay controller, the convergence speed of the system is faster, also the overshoot and steady-state error is smaller. The distributed time delay control method proposed in this paper can effectively improve the stability and control accuracy of the system.

5. Discussions

In this paper, a distributed time delay controller is proposed, which can effectively solve the time delay problem of offshore doubly fed wind clusters. This method is of great significance to improve the reliability of the power system to meet the demand of the power system.
The third-order DFIG turbine model adopts one-mass drive and ignores the stator transient, so some flux components are not responsible for the turbine’s decaying mode and oscillating mode. The model is more controllable, and more suitable for the actual system. Based on Hamiltonian energy method, the third-order model is transformed into PCH-D model. The PCH-D model can be designed through the input port, and contains the basic structural characteristics of the system. The structure of the model is clear and extensible, also the construction process is simple, which is of great significance in the transient stability analysis of power system.
In large-scale power system, the power will oscillate in a short period of time due to the time delay, which do harm to turbines, power equipment and power grid. The power quality and generation efficiency are reduced, and generation cost is increased. Time delay seriously affects the economic benefits of wind farms. It is necessary to study the time delay control of large-scale power systems. For the PCH-D model, Hamiltonian energy function is used as the Lyapunov function of the system in the Casimir function method. The number of matrix inequalities used in this process is reduced, so the conservatism of the condition is reduced. Casimir method can solve the problem of time delay, and improve the response speed, stability, and control accuracy of wind turbine. This method improves the utilization rate of wind energy, and is a feasible and effective control method in wind power systems.
Instead of the traditional centralized control mode, the distributed control method is adopted to solve the control problem of wind turbine groups in this paper. In the traditional centralized control mode, control decisions are obtained through the calculation of the central control system. The calculation of the central control system is heavily burdened and the turbine system excessively depends on the main control system, resulting in the low reliability and poor flexibility [41]. In the distributed control mode, the communication all over the network is not needed, so the cost is reduced. Through the design of distributed control strategy, the stability of the system can be improved, and the life of power transmission equipment and power conversion equipment can be prolonged, which is practical and economical.
In summary, the method proposed in this paper is technically and economically advantageous in terms of power generation performance, system simplification, and cost effectiveness. Adopting new control technology and system structure is an important method to analyze power systems and improve energy utilization. The potential research on this method is as follows:
  • At present, the control technology of single energy has been relatively mature. The comprehensive utilization of various renewable energy is the inevitable choice for energy development [6]. The distributed control method in this paper, can be applied to the wind power and other energy for comprehensive management or dispatching, to promote the efficient utilization of energy and large-scale consumption of renewable energy.
  • With the research and development of artificial intelligence in various fields, artificial intelligence plays an important role in the development and utilization of new energy [42]. An artificial intelligence algorithm is adopted for energy prediction and optimal dispatching to achieve efficient utilization of renewable energy. Based on Casimir method and distributed control theory, the new artificial intelligence theory and algorithm research will be further applied to the dispatching management of offshore doubly fed wind turbine groups, to improve the power quality for users. Intelligent control algorithm is one of the important ways of energy networking in the future.

6. Conclusions

In this paper, input time delay influences the stable operation of offshore wind turbines. The wind turbine cluster with input time delay can be controlled by a distributed cooperative control strategy. Based on the Hamiltonian energy method, the Casimir function is introduced to maintain the stability of the system. The main innovations of this paper can be summarized as follows:
  • For doubly fed wind turbine with input time delay, the Casimir function is embedded to design the feedback interconnection controller based on the PCH-D model, so that the extended system can be restricted to the invariant manifold. In the design process, the PCH-D model is used to simplify the mathematical model of the wind turbine, which is more convenient for the controller design. The Casimir method improves the stability, and control accuracy of the wind turbine system with time delay.
  • With regard to the wind turbine cluster, the input time delays vary between internal units. In this case, the PCH-D model of the single-machine is extended to accommodate a cluster of wind turbines. The distributed control strategy is designed by networking the wind turbines. The whole wind turbine cluster can thus maintain operational stability. This greatly improves the reliability of the wind farm and positively contributes toward achieving better control of the wind farm cluster. The method is practical and economical, so it has significance for the actual control of wind turbines.

Author Contributions

B.W. contributed to the design, analysis, and writing of the paper. Z.T. analyzed the data and performed the computer simulations. W.L. and Q.Z. contributed to give some suggestions and consultation. All authors have read and agreed to the published version of the manuscript.

Funding

This research was funded by National Natural Science Foundation of China (NSFC) under grant number 51777058 and Six Talent Peaks Project in Jiangsu Province under grant number XNY-010.

Acknowledgment

We thank H. Liu for sharing unpublished data and helpful conversations. We thank J. Liu for excellent technical assistance on simulation, in whose lab some of these experiments were performed.

Conflicts of Interest

The authors declare no conflict of interest.

References

  1. Arabatzis, G.; Kyriakopoulos, G.; Tsialis, P. Typology of regional units based on RES plants: The case of Greece. Renew. Sustain. Energy Rev. 2017, 78, 1424–1434. [Google Scholar] [CrossRef]
  2. Wu, Q.W.; Sun, Y.Z. Modeling and Modern Control of Wind Power; Wiley-IEEE Press: Hoboken, NJ, USA, 2018. [Google Scholar]
  3. Liu, Y.S.; Abu-Rub, H.; Ge, B.M.; Blaabjerg, F.; Ellabban, O.; Loh, P.C. Impedance Source Power Electronic Converters; Wiley-IEEE Press: Hoboken, NJ, USA, 2016. [Google Scholar]
  4. Ntanos, S.; Kyriakopoulos, G.; Chalikias, M.; Arabatzis, G.; Skordoulis, M.; Galatsidas, S.; Drosos, D. A social assessment of the usage of Renewable Energy Sources and its contribution to life quality: The case of an Attica Urban area in Greece. Sustainability 2018, 10, 1414. [Google Scholar] [CrossRef]
  5. He, J.H.; Wang, Z.J.; Luo, G.M.; Zhang, M.; Ren, X.Y. Hierarchical distributed control of voltage and active power for VSC-MTDC. Power Syst. Technol. 2018, 42, 3951–3959. [Google Scholar]
  6. Cady, S.T.; Dominguez-Garcia, A.D.; Hadjicostis, C.N. A Distributed Generation Control Architecture for Islanded AC Microgrids. IEEE Trans. Control. Syst. Technol. 2015, 23, 1717–1735. [Google Scholar] [CrossRef]
  7. Chen, G.; Lewis, F.L.; Feng, E.N.; Song, Y.-D. Distributed Optimal Active Power Control of Multiple Generation Systems. IEEE Trans. Ind. Electron. 2015, 62, 7079–7090. [Google Scholar] [CrossRef]
  8. Wu, X.; Shen, C. Distributed Optimal Control for Stability Enhancement of Microgrids with Multiple Distributed Generators. IEEE Trans. Power Syst. 2017, 32, 4045–4059. [Google Scholar] [CrossRef]
  9. Sun, Q.Y.; Han, R.K.; Zhang, H.G.; Zhou, J.G.; Guerrero, J.M. A multiagent-based consensus algorithm for distributed coordinated control of distributed generators in the energy internet. IEEE Trans. Smart Grid 2015, 6, 3006–3019. [Google Scholar] [CrossRef]
  10. Wang, P.; Jin, C.; Zhu, D.X.; Tang, Y.; Chiang, L.P.; Hoong, F.C. Distributed control for autonomous operation of a three-port AC/DC/DS hybrid microgrid. IEEE Trans. Ind. Electron. 2015, 62, 1279–1290. [Google Scholar] [CrossRef]
  11. Wang, B.; Dou, Y.; Wang, H.H. Distributed cooperative control research of doubly fed wind turbine groups in offshore wind farms. Proc. CSEE 2016, 36, 5279–5287. [Google Scholar]
  12. Lin, Z.; Xia, T.; Ye, Y.; Zhang, Y.; Chen, L.; Liu, Y.; Tomsovic, K.; Bilke, T.; Wen, F. Application of wide area measurement systems to islanding detection of bulk power systems. IEEE Trans. Power Syst. 2013, 28, 2006–2015. [Google Scholar] [CrossRef]
  13. Ghasemkhani, A.; Monsef, H.; Rahimi-Kian, A.; Anvari-Moghaddam, A. Optimal Design of a Wide Area Measurement System for Improvement of Power Network Monitoring Using a Dynamic Multiobjective Shortest Path Algorithm. IEEE Syst. J. 2015, 11, 2303–2314. [Google Scholar] [CrossRef]
  14. Walter, S.; Giorgio, G. Monitoring continental Europe: An overview of WAMS used in Italy and Switzerland. IEEE Power Energy Mag. 2015, 13, 41–48. [Google Scholar]
  15. Liu, M.; Dassios, I.; Tzounas, G.; Milano, F.; Tzounas, G. Stability Analysis of Power Systems with Inclusion of Realistic-Modeling WAMS Delays. IEEE Trans. Power Syst. 2018, 34, 627–636. [Google Scholar] [CrossRef]
  16. Mia, Y.; Hao, X.; Liu, Y.; Fu, Y.; Wang, C.; Wang, P.; Loh, P.C. Sliding mode load frequency control for multi-area time-delay power system with wind power integration. IET Gener. Transm. Distrib. 2017, 11, 4644–4653. [Google Scholar] [CrossRef]
  17. Yin, M.; Li, W.; Chung, C.Y.; Chen, Z.; Zou, Y. Inertia compensation scheme of WTS considering time delay for emulating large-inertia turbines. IET Renew. Power Gener. 2017, 11, 529–538. [Google Scholar] [CrossRef]
  18. Mohsen, D.; Abolfazl, J. Designing a wide area damping controller to coordinate FACTS devices in the presence of wind turbines with regard to time delay. IET Renew. Power Gener. 2018, 12, 1523–1534. [Google Scholar]
  19. Van Der Schaft, A.; Jeltsema, D. Port-Hamiltonian Systems Theory: An Introductory Overview; Now Publishers Inc.: Hanover, MA, USA, 2014. [Google Scholar]
  20. Macchelli, A.; Melchiorri, C. Control by interconnection of mixed port Hamiltonian systems. IEEE Trans. Autom. Control. 2005, 50, 1839–1844. [Google Scholar] [CrossRef]
  21. Macchelli, A.; Le Gorrec, Y.; Ramirez, H.; Zwart, H. On the Synthesis of Boundary Control Laws for Distributed Port-Hamiltonian Systems. IEEE Trans. Autom. Control. 2017, 62, 1700–1713. [Google Scholar] [CrossRef]
  22. Wang, Y.Z. General Hamilton Control System Theory-Implementation, Control and Application; Science Press: Beijing, China, 2007.
  23. Van Der Schaft, A.J. L2-Gain and Passivity Techniques in Nonlinear Control; Springer: Berlin, Germany, 1999. [Google Scholar]
  24. Guo, Y.; Cheng, D. Stabilization of time-varying Hamiltonian systems. IEEE Trans. Control. Syst. Technol. 2006, 14, 871–880. [Google Scholar]
  25. Wang, M.; Chen, B.; Shi, P. Adaptive Neural Control for a Class of Perturbed Strict-Feedback Nonlinear Time-Delay Systems. IEEE Trans. Syst. 2008, 38, 721–730. [Google Scholar]
  26. Kiamini, S.; Jalilvand, A.; Mobayen, S. LMI-based robust control of floating tension-leg platforms with uncertainties and time-delays in offshore wind turbines via T-S fuzzy approach. Ocean Eng. 2018, 154, 367–374. [Google Scholar] [CrossRef]
  27. Wang, N.; Gao, X.; Meng, K.; Qiu, J.; Lai, L.L.; Gao, S. Utilisation of kinetic energy from wind turbine for grid connections: A review paper. IET Renew. Power Gener. 2018, 12, 615–624. [Google Scholar] [CrossRef]
  28. Wu, F.; Zhang, X.; Ju, P.; Sterling, M. Decentralized Nonlinear Control of Wind Turbine with Doubly Fed Induction Generator. IEEE Trans. Power Syst. 2008, 23, 613–621. [Google Scholar]
  29. Mei, F.; Pal, B.C. Modelling and small-signal analysis of a grid connected doubly-fed induction generator. In Proceedings of the IEEE Power Engineering Society General Meeting 2005, San Francisco, CA, USA, 12–16 June 2005. [Google Scholar]
  30. De Luca, A.; Ulivi, G. Design of an exact nonlinear controller for induction motors. IEEE Trans. Autom. Control. 1989, 34, 1304–1307. [Google Scholar] [CrossRef]
  31. Chiasson, J. A new approach to dynamic feedback linearization control of an induction motor. IEEE Trans. Autom. Control. 1998, 43, 391–397. [Google Scholar] [CrossRef]
  32. Januszewski, M.; Machowski, J.; Bialek, J.W. Application of the direct Lyapunov method to improve damping of power swings by control of UPFC. IEE Proc. Gener. Transm. Distrib. 2004, 151, 252–260. [Google Scholar] [CrossRef]
  33. Wu, Z.Q.; Ma, B.M.; Kong, Q.X. Research on double PWM converter control of wind energy based on Hamilton system. Power Syst. Prot. Control 2012, 40, 19–23+29. [Google Scholar]
  34. Wang, B.; Tian, M.; Wang, H.H. Distributed complementary control of doubly-fed wind turbine group in offshore wind farm based on Hamiltonian energy theory. Electr. Power Autom. Equip. 2018, 38, 58–66. [Google Scholar]
  35. Mesbahi, M.; Egerstedt, M. Graph Theoretic Methods in Multiagent Networks; Princeton University Press: Princeton, NJ, USA, 2010. [Google Scholar]
  36. Hu, N.; Li, X.Y.; Yang, Y.Q.; Qin, B. Adaptive wide-area damping control for HVDC transmission system considering influence of time-varying delay. Power Syst. Technol. 2014, 38, 281–288. [Google Scholar]
  37. Fan, B.; Peng, J.K.; Duan, J.J.; Yang, Q.M.; Liu, W.X. Distributed control of multiple-bus microgrid with paralleled distributed generators. IEEE CAA J. Autom. Sin. 2019, 6, 676–684. [Google Scholar] [CrossRef]
  38. Iván Andrade, A.; Blasco-Gimenez, B.; Ruben Pena, G. Distributed control strategy for a wind generation systems based on PMSG with uncontrolled rectifier HVDC connection. In Proceedings of the IEEE International Conference on Industrial Technology (ICIT) 2005, Seville, Spain, 17–19 March 2005. [Google Scholar]
  39. Khalil, H.K. Nonlinear Systems, 3rd ed.; Prentice Hall: Upper Saddle River, NJ, USA, 2002. [Google Scholar]
  40. Wang, B.; Wu, Q.X.; Tian, M.; Hu, Q.Y. Distributed coordinated control of offshore doubly fed wind turbine groups based on the Hamiltonian energy method. Sustainability 2017, 9, 1448. [Google Scholar] [CrossRef]
  41. Vovos, P.N.; Kiprakis, A.E.; Robin Wallace, A.; Harrison, G.P. Centralized and distributed voltage control: Impact on distributed generation penetration. IEEE Trans. Power Syst. 2007, 22, 476–483. [Google Scholar] [CrossRef]
  42. Quan, H.; Srinivasan, D.; Khosravi, A. Short-term load and wind power forecasting using neural network-based prediction intervals. IEEE Trans. Neural Netw. Learn. Syst. 2014, 25, 303–315. [Google Scholar] [CrossRef] [PubMed]
Figure 1. Basic configuration of a DFIG wind turbine.
Figure 1. Basic configuration of a DFIG wind turbine.
Sustainability 12 03032 g001
Figure 2. Offshore wind turbine group distributed control system.
Figure 2. Offshore wind turbine group distributed control system.
Sustainability 12 03032 g002
Figure 3. (a) Single wind turbine output with input time delay; (b) Single wind turbine output under time delay control; (c) Single wind turbine active power with input time delay; (d) Single wind turbine active power under time delay control.
Figure 3. (a) Single wind turbine output with input time delay; (b) Single wind turbine output under time delay control; (c) Single wind turbine active power with input time delay; (d) Single wind turbine active power under time delay control.
Sustainability 12 03032 g003
Figure 4. The single line diagram of the wind farm.
Figure 4. The single line diagram of the wind farm.
Sustainability 12 03032 g004
Figure 5. Network topologies of offshore wind turbine group.
Figure 5. Network topologies of offshore wind turbine group.
Sustainability 12 03032 g005
Figure 6. (a) Wind turbine group output with input time delay; (b) Wind turbine group output under time delay control; (c) Wind turbine group active power with input time delay; (d) Wind turbine group active power under time delay control.
Figure 6. (a) Wind turbine group output with input time delay; (b) Wind turbine group output under time delay control; (c) Wind turbine group active power with input time delay; (d) Wind turbine group active power under time delay control.
Sustainability 12 03032 g006
Table 1. Wind turbine parameters.
Table 1. Wind turbine parameters.
Para.ValueUnitsPara.ValueUnits
H tot 6s ω s 3.14p.u.
L s 0.17p.u. i d s 1.8p.u.
L r 0.156p.u. i q s 1.7p.u.
L m 0.4p.u. L rr 0.556p.u.
R s 0.085p.u. P m 10MW
Table 2. Wind turbine parameters.
Table 2. Wind turbine parameters.
ParametersG1G2G3G4G5G6
P s Max / MW 10.7610.8911.1314.1514.0411.66
P s / MW 10.019.98410.019.9679.9659.967
σ7.49%9.07%11.19%41.97%40.89%16.99%
t p / s 0.871.970.841.61.71.67
t s / s 5.586.728.059.19.69.09
t s / s 0.010.0160.010.0330.0350.33

Share and Cite

MDPI and ACS Style

Wang, B.; Tang, Z.; Liu, W.; Zhang, Q. A Distributed Cooperative Control Strategy of Offshore Wind Turbine Groups with Input Time Delay. Sustainability 2020, 12, 3032. https://doi.org/10.3390/su12073032

AMA Style

Wang B, Tang Z, Liu W, Zhang Q. A Distributed Cooperative Control Strategy of Offshore Wind Turbine Groups with Input Time Delay. Sustainability. 2020; 12(7):3032. https://doi.org/10.3390/su12073032

Chicago/Turabian Style

Wang, Bing, Zhen Tang, Weiyang Liu, and Qiuqiao Zhang. 2020. "A Distributed Cooperative Control Strategy of Offshore Wind Turbine Groups with Input Time Delay" Sustainability 12, no. 7: 3032. https://doi.org/10.3390/su12073032

APA Style

Wang, B., Tang, Z., Liu, W., & Zhang, Q. (2020). A Distributed Cooperative Control Strategy of Offshore Wind Turbine Groups with Input Time Delay. Sustainability, 12(7), 3032. https://doi.org/10.3390/su12073032

Note that from the first issue of 2016, this journal uses article numbers instead of page numbers. See further details here.

Article Metrics

Back to TopTop