Low-End Lock-In of Chinese Equipment Manufacturing Industry and the Global Value Chain
Abstract
1. Introduction
2. Literature Review
3. Indicator Construction and Data Sources
3.1. The Production Chain Length System
3.2. The Total Trade Accounting Framework
3.3. Data Sources
4. Measurement and Analysis of Chinese Equipment Manufacturing Industry’s Participation in GVCs
4.1. Physical Location
4.1.1. Length of GVC of China’s Equipment Manufacturing
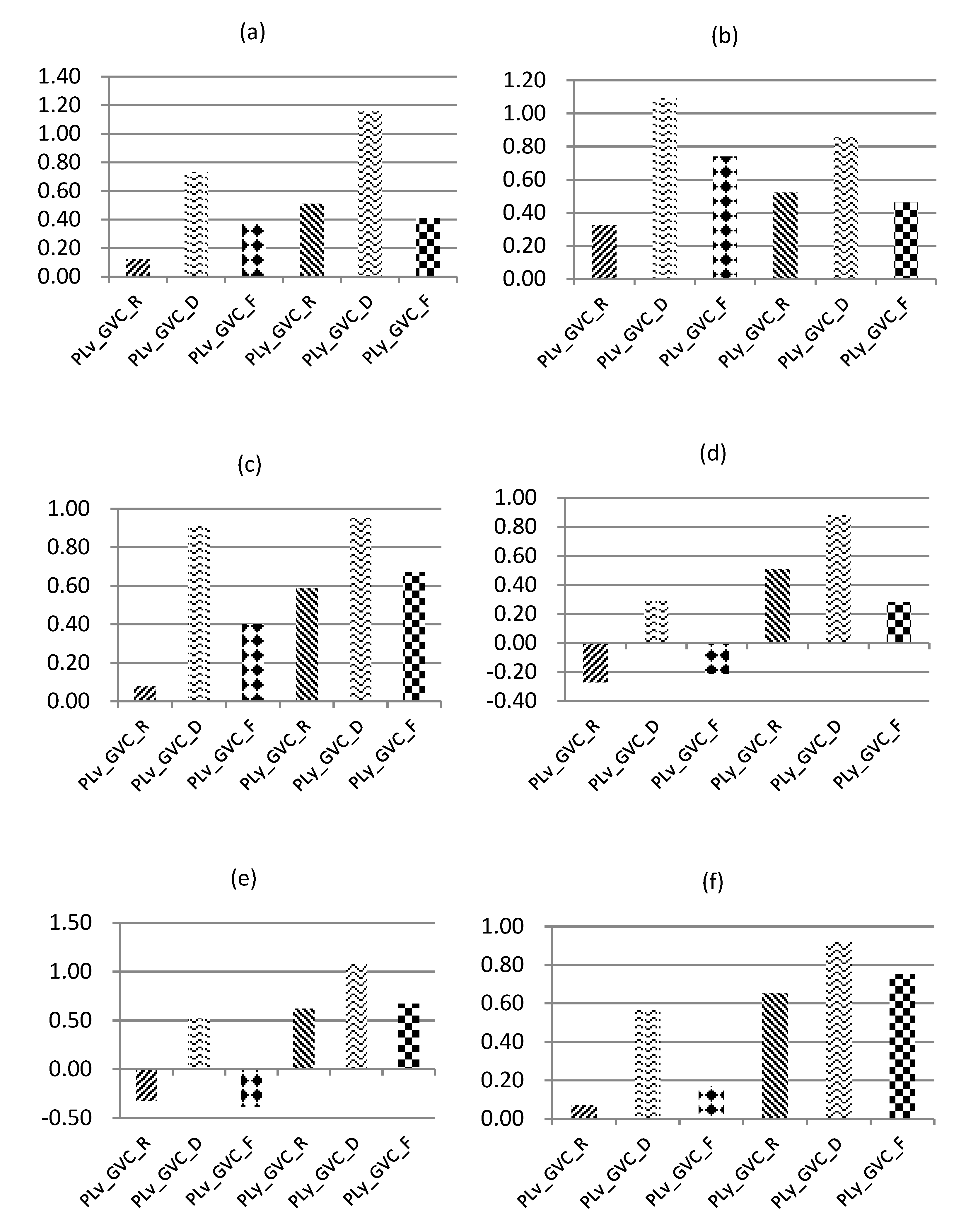
4.1.2. Decomposition of the GVC Length of China’s Equipment Manufacturing Industry
4.1.3. Position of Chinese Equipment Manufacturing Industry in the GVC
4.2. Economic Location
4.2.1. Overall Value-Added Export Rate of China’s Equipment Manufacturing Industry
4.2.2. China’s Equipment Manufacturing Industry Segment Value-Added Export Rate
5. Conclusions and Recommendations
Author Contributions
Funding
Conflicts of Interest
Appendix A


Appendix B
| Industry | Part | 2000 | 2001 | 2002 | 2003 | 2004 | 2005 | 2006 | 2007 | 2008 | 2009 | 2010 | 2011 | 2012 | 2013 | 2014 |
|---|---|---|---|---|---|---|---|---|---|---|---|---|---|---|---|---|
| C25 | PLv_GVC_R | 3.83 | 3.74 | 3.56 | 3.51 | 3.51 | 3.50 | 3.57 | 3.61 | 3.61 | 3.82 | 3.76 | 3.75 | 3.84 | 3.92 | 3.95 |
| PLv_GVC_D | 6.86 | 6.75 | 6.47 | 6.44 | 6.52 | 6.72 | 6.70 | 6.74 | 6.82 | 7.15 | 7.17 | 7.24 | 7.39 | 7.53 | 7.59 | |
| PLv_GVC_F | 5.11 | 4.99 | 4.82 | 4.77 | 4.83 | 4.89 | 4.97 | 5.02 | 5.04 | 5.21 | 5.17 | 5.19 | 5.30 | 5.44 | 5.48 | |
| C26 | PLv_GVC_R | 3.64 | 3.66 | 3.53 | 3.48 | 3.58 | 3.77 | 3.73 | 3.61 | 3.55 | 3.72 | 3.83 | 3.93 | 4.02 | 3.96 | 3.97 |
| PLv_GVC_D | 5.25 | 5.25 | 5.04 | 5.02 | 5.16 | 5.45 | 5.40 | 5.23 | 5.26 | 5.66 | 5.91 | 6.08 | 6.13 | 6.28 | 6.34 | |
| PLv_GVC_F | 3.94 | 3.90 | 3.79 | 3.79 | 3.92 | 4.15 | 4.12 | 4.09 | 4.06 | 4.12 | 4.30 | 4.41 | 4.50 | 4.63 | 4.68 | |
| C27 | PLv_GVC_R | 3.82 | 3.75 | 3.65 | 3.59 | 3.58 | 3.66 | 3.66 | 3.77 | 3.79 | 3.81 | 3.85 | 3.87 | 3.84 | 3.90 | 3.90 |
| PLv_GVC_D | 6.28 | 6.22 | 5.99 | 6.01 | 6.14 | 6.43 | 6.46 | 6.54 | 6.57 | 6.77 | 6.83 | 6.96 | 6.98 | 7.14 | 7.19 | |
| PLv_GVC_F | 4.71 | 4.64 | 4.51 | 4.52 | 4.57 | 4.77 | 4.80 | 4.91 | 4.95 | 4.89 | 4.95 | 5.01 | 4.99 | 5.10 | 5.11 | |
| C28 | PLv_GVC_R | 4.54 | 4.46 | 4.37 | 4.28 | 4.26 | 4.25 | 4.26 | 4.23 | 4.18 | 4.30 | 4.20 | 4.16 | 4.15 | 4.27 | 4.27 |
| PLv_GVC_D | 7.40 | 7.29 | 7.09 | 7.08 | 7.16 | 7.38 | 7.39 | 7.29 | 7.25 | 7.43 | 7.34 | 7.39 | 7.46 | 7.66 | 7.69 | |
| PLv_GVC_F | 5.55 | 5.42 | 5.33 | 5.26 | 5.28 | 5.31 | 5.33 | 5.24 | 5.19 | 5.26 | 5.16 | 5.12 | 5.14 | 5.31 | 5.33 | |
| C29 | PLv_GVC_R | 4.85 | 4.76 | 4.70 | 4.56 | 4.22 | 4.21 | 4.22 | 4.28 | 4.24 | 4.60 | 4.51 | 4.45 | 4.40 | 4.49 | 4.53 |
| PLv_GVC_D | 8.09 | 8.03 | 7.85 | 7.83 | 7.69 | 7.95 | 7.97 | 8.05 | 7.97 | 8.30 | 8.32 | 8.35 | 8.41 | 8.59 | 8.61 | |
| PLv_GVC_F | 5.92 | 5.85 | 5.74 | 5.60 | 5.12 | 5.12 | 5.15 | 5.24 | 5.23 | 5.57 | 5.50 | 5.50 | 5.41 | 5.50 | 5.54 | |
| C30 | PLv_GVC_R | 4.05 | 4.10 | 3.90 | 3.98 | 3.75 | 3.74 | 3.81 | 3.94 | 3.67 | 4.03 | 4.17 | 3.99 | 4.09 | 4.26 | 4.12 |
| PLv_GVC_D | 7.07 | 7.20 | 6.87 | 6.97 | 7.08 | 7.32 | 7.35 | 7.29 | 7.12 | 7.42 | 7.54 | 7.36 | 7.45 | 7.75 | 7.64 | |
| PLv_GVC_F | 4.99 | 5.12 | 4.92 | 5.03 | 4.78 | 4.85 | 4.91 | 5.00 | 4.67 | 4.96 | 5.23 | 5.05 | 5.32 | 5.42 | 5.16 |
| Industry | Part | 2000 | 2001 | 2002 | 2003 | 2004 | 2005 | 2006 | 2007 | 2008 | 2009 | 2010 | 2011 | 2012 | 2013 | 2014 |
|---|---|---|---|---|---|---|---|---|---|---|---|---|---|---|---|---|
| C25 | PLy_GVC_R | 4.55 | 4.58 | 4.46 | 4.49 | 4.57 | 4.74 | 4.81 | 4.88 | 4.85 | 4.96 | 4.89 | 4.90 | 4.99 | 5.02 | 5.06 |
| PLy_GVC_D | 7.09 | 7.11 | 6.91 | 6.98 | 7.09 | 7.55 | 7.70 | 7.84 | 7.80 | 8.00 | 7.89 | 7.86 | 7.99 | 8.14 | 8.25 | |
| PLy_GVC_F | 5.67 | 5.61 | 5.40 | 5.41 | 5.48 | 5.63 | 5.71 | 5.83 | 5.83 | 6.01 | 5.85 | 5.87 | 5.99 | 6.04 | 6.08 | |
| C26 | PLy_GVC_R | 3.92 | 3.91 | 3.77 | 3.75 | 3.86 | 4.10 | 4.05 | 3.87 | 3.93 | 4.15 | 4.33 | 4.46 | 4.49 | 4.50 | 4.44 |
| PLy_GVC_D | 6.08 | 6.00 | 5.76 | 5.76 | 5.95 | 6.29 | 6.25 | 6.16 | 6.24 | 6.44 | 6.53 | 6.66 | 6.70 | 6.84 | 6.94 | |
| PLy_GVC_F | 4.72 | 4.70 | 4.53 | 4.44 | 4.54 | 4.78 | 4.73 | 4.65 | 4.72 | 4.79 | 5.01 | 5.18 | 5.19 | 5.24 | 5.19 | |
| C27 | PLy_GVC_R | 4.43 | 4.42 | 4.30 | 4.30 | 4.37 | 4.56 | 4.59 | 4.60 | 4.67 | 4.79 | 4.81 | 4.90 | 4.98 | 5.01 | 5.02 |
| PLy_GVC_D | 6.85 | 6.79 | 6.57 | 6.55 | 6.67 | 7.04 | 7.06 | 7.10 | 7.19 | 7.37 | 7.34 | 7.43 | 7.51 | 7.68 | 7.80 | |
| PLy_GVC_F | 5.29 | 5.24 | 5.05 | 5.09 | 5.19 | 5.40 | 5.44 | 5.48 | 5.63 | 5.71 | 5.73 | 5.84 | 5.93 | 5.97 | 5.96 | |
| C28 | PLy_GVC_R | 4.51 | 4.50 | 4.39 | 4.39 | 4.44 | 4.62 | 4.66 | 4.66 | 4.68 | 4.81 | 4.80 | 4.88 | 4.97 | 5.03 | 5.02 |
| PLy_GVC_D | 6.96 | 6.92 | 6.71 | 6.71 | 6.83 | 7.17 | 7.22 | 7.26 | 7.28 | 7.46 | 7.40 | 7.47 | 7.54 | 7.73 | 7.84 | |
| PLy_GVC_F | 5.96 | 5.90 | 5.71 | 5.66 | 5.65 | 5.84 | 5.84 | 5.70 | 5.78 | 6.01 | 5.91 | 6.01 | 6.16 | 6.23 | 6.24 | |
| C29 | PLy_GVC_R | 4.78 | 4.77 | 4.67 | 4.63 | 4.64 | 4.85 | 4.89 | 4.95 | 5.05 | 5.22 | 5.28 | 5.33 | 5.39 | 5.45 | 5.40 |
| PLy_GVC_D | 7.36 | 7.33 | 7.17 | 7.15 | 7.16 | 7.52 | 7.61 | 7.74 | 7.78 | 8.05 | 8.06 | 8.10 | 8.19 | 8.37 | 8.44 | |
| PLy_GVC_F | 6.54 | 6.56 | 6.44 | 6.41 | 6.40 | 6.62 | 6.62 | 6.66 | 6.80 | 7.07 | 7.08 | 7.09 | 7.13 | 7.23 | 7.21 | |
| C30 | PLy_GVC_R | 4.45 | 4.39 | 4.28 | 4.34 | 4.39 | 4.56 | 4.56 | 4.62 | 4.64 | 4.78 | 4.87 | 4.94 | 5.03 | 5.11 | 5.10 |
| PLy_GVC_D | 7.02 | 6.99 | 6.77 | 6.73 | 6.84 | 7.17 | 7.19 | 7.24 | 7.28 | 7.49 | 7.47 | 7.57 | 7.61 | 7.84 | 7.94 | |
| PLy_GVC_F | 5.67 | 5.59 | 5.54 | 5.45 | 5.52 | 5.70 | 5.62 | 5.70 | 5.74 | 5.85 | 5.92 | 6.06 | 6.17 | 6.37 | 6.42 |
| Abbreviation | Definition |
|---|---|
| GVC | Global value chain |
| WIOD | World input–output database |
| VS | Vertical specialization |
| VAX | Value-added export |
| V_GVC_R | Domestic value-added of source countries directly absorbed by importing countries in bilateral intermediate exports |
| V_GVC_F | Domestic value-added in bilateral intermediate exports that are indirectly absorbed by the direct importing country or re-exported to a third country |
| V_GVC_D | Domestic value-added returned from bilateral intermediate exports and absorbed by the source country |
| PL_GVC | GVC production length |
| PLv_D | Pure domestic production length |
| PLv_RT | Traditional trade production length |
| PLv_GVC_R | Domestic value-added only crosses the border once |
| PLv_GVC_D | GVC production length absorbed by source country |
| PLv_GVC_F | GVC production length absorbed by other countries |
| DVA | Domestic value-added absorbed abroad |
| RDV | Domestic value-added returned and absorbed by the country |
| FVA | Value-added abroad |
| DVA_FIN | Domestic value-added of final exports |
| DVA_INT | Intermediate exports absorbed by direct importing countries |
| DVA_INTrex | Absorbed by direct import production and export to third countries |
| DDC | Pure double counting part from domestic accounts |
| MVA | Export implied value-added of import countries |
| OVA | Export implied value-added of other countries |
| FDC | Pure double counting from a foreign account |
References
- Jing, L.; Yuan, P. New Trend of Global Value Chain change and Chinese countermeasures. Manag. World 2019, 35, 72–79. (In Chinese) [Google Scholar]
- He, X.; Wang, H. Development trend and Countermeasures of Global Value Chain from the perspective of the fourth industrial revolution. Enterp. Econ. 2017, 36, 151–156. (In Chinese) [Google Scholar]
- Chang, W.; Dai, Z.; Duan, L. On the Possibility of Establishing China-Japan-Korea FTA. WTO Focus. 2005, 5, 29–33. (In Chinese) [Google Scholar]
- Zhao, L. Research on China Textile and Apparel Industry Upgrade under Global Value Chain; Donghua University Press: Shanghai, China, 2009. [Google Scholar]
- Antras, P.; Chor, D.; Fally, T.; Hillberry, R. Measuring the Upstreamness of Production and Trade Flows. Am. Econ. Rev. 2012, 102, 412–416. [Google Scholar] [CrossRef]
- Chen, X. Producer Services Agglomeration and the Global Value Chain Status. J. Cap. Univ. Econ. Bus. 2020, 22, 69–79. (In Chinese) [Google Scholar]
- Ai, X.; Ruan, Z. China’s Role in the Transformation of Global Value Chains. New Financ. 2019, 12, 17–20. (In Chinese) [Google Scholar]
- Zhao, L. Research on the Embeddedness of International Logistics Network and Production Network of Multinational Corporations—Based on the Perspective of Modularization of Service Processes. J. Bus. Econ. 2013, 256, 15–24. (In Chinese) [Google Scholar]
- Dai, X.; Jin, B. Intra-product specialization, institution quality and export sophistication. Econ. Res. J. 2014, 7, 4–17. [Google Scholar]
- Koopman, R.B.; Wang, Z.; Wei, S.J. How Much of Chinese Exports Is Really Made in China? Assessing Domestic Value-Added When Processing Trade Is Pervasive; Social Science Electronic Publishing: New York, NY, USA, 2008. [Google Scholar]
- Chen, L.; Luo, S.; Zhao, T. Financial Constraints, Trade Mode Transition, and Global Value Chain Upgrading of Chinese Firms. Sustainability 2019, 11, 4527. [Google Scholar] [CrossRef]
- Zhao, P. SWOT Analysis of China’s Industrial Upgrade from the Perspective of Global Value Chains. Mkt. Forum 2017, 7, 5–7. (In Chinese) [Google Scholar]
- Yang, F.; Sun, W.; Cheng, Y. Does Technology Catching-Up Inspire Sino-U. S. Trade Friction. China Ind. Econ. 2018, 10, 99–117. (In Chinese) [Google Scholar]
- Chen, A. Reconstructing the value chain to promote the innovative development of equipment manufacturing. China Natl. Cond. Strength 2015, 12, 17–18. (In Chinese) [Google Scholar]
- Ji, G.; Wang, T.; Zhao, D. The path of Liaoning equipment manufacturing industry innovation ability improvement based on diamond model. J. Shenyang Univ. Technol. (Soc. Sci. Ed.) 2017, 10, 414–420. (In Chinese) [Google Scholar]
- Schmitz, H.; Knorringa, P. Learning from Global Buyers. J. Dev. Stud. 2010, 37, 177–205. [Google Scholar] [CrossRef]
- Grunsven, L.V.; Smakman, F. Restructuring and Mature Industry Pathways in the Asian First Generation NICs: The Singapore Garment Industry. Environ. Plan. A 2005, 37, 657–680. [Google Scholar] [CrossRef]
- Timmer, M.P.; Erumban, A.A.; Los, B.; Stehrer, R.; De Vries, G.J. Slicing Up Global Value Chains †. J. Econ. Perspect. 2014, 28, 99–118. [Google Scholar] [CrossRef]
- Tschang, T.; Goldstein, A. The Outsourcing of “Creative” Work and the Limits of Capability: The Case of the Philippines’ Animation Industry. IEEE Trans. Eng. Manag. 2010, 57, 132–143. [Google Scholar] [CrossRef]
- Ivarsson, I.; Alvstam, C.G. Supplier Upgrading in the Home-furnishing Value Chain: An Empirical Study of IKEA’s Sourcing in China and South East Asia. World Dev. 2010, 38, 1575–1587. [Google Scholar] [CrossRef]
- Ren, B.; Liu, Z.; Ren, Y. Endogenous Causes and Mechanisms of Low-end Locking of Global Value Chains: Based on the Perspective of Enterprise Chain Decision Mechanism. World Econ. Politics Forum. 2016, 5, 1–23. (In Chinese) [Google Scholar]
- Buckley, P.J. The impact of the global factory on economic development. J. World Bus. 2009, 44, 131–143. [Google Scholar] [CrossRef]
- Zhuo, Y.; Zhang, H. Revenue distribution and “miserable growth” in the Global Value Chain: An analysis based on China’s textile and apparel industry. China Ind. Econ. 2008, 7, 131–140. (In Chinese) [Google Scholar]
- Yi, K.; Sun, Q. Breakthrough mechanism and path of “low end lock in” of private manufacturing enterprises—Based on the perspective of intelligent manufacturing. Sci. Technol. Policy 2014, 31, 73–78. (In Chinese) [Google Scholar]
- Hu, D. Research on the strategic risk of “low-end lock-in” in the Global Value Chain of China’s industrial clusters and the path of transformation and upgrading. Sci. Technol. Policy 2016, 33, 66–71. (In Chinese) [Google Scholar]
- Liu, Z.; Xu, K. Growth of China’s Trade Volume and Upgrading of Local Industries: A Governance Perspective Based on Global Value Chains. Acad. Mon. 2007, 39, 80–86. (In Chinese) [Google Scholar]
- Hao, F.; Zhang, Y. The impact of low-end locking on the upgrading of local industries in Global Value Chains. Sci. Res. Manag. 2016, 37, 131–141. (In Chinese) [Google Scholar]
- Li, J.; Sun, H. Has the integration of the global value chain improved the international division of labor of “Made in China”? Inn. Mong. Soc. Sci. 2016, 37, 112–118. (In Chinese) [Google Scholar]
- Antràs, P.; Chor, D. Organizing the Global Value Chain. Econometrica 2013, 81, 2127–2204. [Google Scholar]
- Su, Q.; Gao, L. Location of Global Value Chain Division and Its Evolution. Stat. Res. 2015, 32, 38–45. (In Chinese) [Google Scholar]
- Tang, Y.; Zhang, P. FDI, Global Value Chain Embedding and Export of Domestic Added Value. Stat. Res. 2017, 34, 36–49. (In Chinese) [Google Scholar]
- Lu, R. Research on China’s Participation in the Low-end Locking of Global Value Chain Division of labor—Analysis Based on Value-added Trade Data. East China Econ. Manag. 2017, 31, 72–78. (In Chinese) [Google Scholar]
- Wang, Z.; Wei, S.-J.; Yu, X.; Zhu, K. Characterizing Global Value Chains: Production Length and Upstreamness; National Bureau of Economic Research: Cambridge, MA, USA, 2017. [Google Scholar]
- Hummels, D.; Ishii, J.; Yi, K. The nature and growth of vertical specialization in world trade. J. Int. Econ. 2001, 54, 75–96. [Google Scholar] [CrossRef]
- OECD-WTO. Trade in Value-Added: Concepts, Methodologies and Challenges. Available online: http://www.oecd.org/sti/industryandglobalisation/49894138.pdf (accessed on 9 February 2020).
- Johnson, R.C.; Noguera, G. Accounting for intermediates: Production sharing and trade in value-added. J. Int. Econ. 2012, 86, 224–236. [Google Scholar] [CrossRef]
- Koopman, R.; Wang, Z.; Wei, S. Tracing Value-Added and Double Counting in Gross Exports. Social Sci. Elec. Publishing. Am. Econ. Rev. 2014, 104, 459–494. [Google Scholar] [CrossRef]
- Wang, Z.; Wei, S.; Zhu, K. Total trade nuclear algorithm: Official trade statistics and measurement of global value chains. Chin. Soc. Sci. 2015, 9, 108–127. (In Chinese) [Google Scholar]
- Leontief, W.W. Quantitative input and output relations in the economic system of the United States. Rev. Econ. Stat. 1936, 18, 100–125. [Google Scholar] [CrossRef]
- David, D.; Jose, G.R.; Wang, Z. Global Value Chain Development Report 2017; Social Science Literature Press: Guangzhou, China, 2017. [Google Scholar]
- World Input-Output Database. Available online: http://www.wiod.org/home (accessed on 22 March 2020).
- Research Institute for GVC of the University of International Business and Economics. Available online: http://rigvc.uibe.edu.cn/sjzlk/sjk/76970.htm (accessed on 22 March 2020).
- Li, C. Analysis of Global Value Chain Distribution and Embedded Position of Chinese Manufacturing Industry. Future Dev. 2018, 42, 15–16. (In Chinese) [Google Scholar]
- Wang, Y.; Chen, J. Positioning of China’s Equipment Manufacturing Industry Based on GVCs. Ind. Econ. Rev. 2018, 9, 118–131. (In Chinese) [Google Scholar]
- Arnold, C.; Kiel, D.; Voigt, K.I. How the Industrial Internet of Things Changes Business Models in Different Manufacturing Industries. Int. J. Innov. Manag. 2016, 20, 1640015. [Google Scholar] [CrossRef]
- Guariglia, A.; Liu, P. To what extent do financing constraints affect Chinese firms’ innovation activities? Int. Rev. Financ. Anal. 2014, 36, 223–240. [Google Scholar] [CrossRef]
- Poorya, G.Y.; Aydin, A.; Majid, H. An Empirical Investigation of the Relationship between Overall Equipment Efficiency (OEE) and Manufacturing Sustainability in Industry 4. 0 with Time Study Approach. Sustainability 2018, 10, 3031. [Google Scholar]
- Anwar, S.; Hu, B.; Jin, Y.; Wang, K. China’s export tax rebate and the duration of firm export spells. Rev. Dev. Econ. 2019, 23, 376–394. [Google Scholar] [CrossRef]
- Fonseca, L.; Lima, V. Countries three Wise Men: Sustainability, Innovation, and Competitiveness. J. Ind. Eng. Manag. 2015, 8, 1288–1302. [Google Scholar] [CrossRef]





| Outputs Inputs | Intermediate Use | Final Demand | Total Output | |||||||
|---|---|---|---|---|---|---|---|---|---|---|
| 1 | 2 | ⋯ | M | 1 | 2 | ⋯ | M | |||
| Intermediate input | 1 | Z11 | Z12 | ⋯ | Z1m | Y11 | Y12 | ⋯ | Y1g | X1 |
| 2 | Z21 | Z22 | ⋯ | Z2m | Y21 | Y22 | ⋯ | Y2g | X2 | |
| ⋮ | ⋮ | ⋮ | ⋱ | ⋮ | ⋮ | ⋮ | ⋱ | ⋮ | ⋮ | |
| M | Zm1 | Zm2 | ⋯ | Zmm | Ym1 | Ym2 | ⋯ | Ymm | Xm | |
| Value-added | Va1 | Va2 | ⋯ | Vam | ||||||
| Total input | (X1)’ | (X2)’ | ⋯ | (Xm)’ | ||||||
| Industry | Total Export Billion US $ | Domestic Value-Added (DVA)(%) | Foreign Value-Added (FVA)(%) | |||||||
|---|---|---|---|---|---|---|---|---|---|---|
| DVA_FIN+ DVA_INT | DVA_INTrex | Export Implied Value-Added of Import Countries (MVA) | Export Implied Value-Added of Other Countries (OVA) | |||||||
| 2000 | 2014 | 2000 | 2014 | 2000 | 2014 | 2000 | 2014 | 2000 | 2014 | |
| C25 | 7.214 | 84.998 | 6.837 | 6.677 | 1.502 | 1.377 | 0.176 | 0.259 | 1.074 | 1.027 |
| C26 | 47.524 | 560.582 | 5.704 | 5.787 | 1.218 | 1.142 | 0.348 | 0.316 | 2.006 | 1.680 |
| C27 | 17.851 | 221.114 | 7.096 | 6.784 | 1.031 | 1.107 | 0.227 | 0.286 | 1.305 | 1.217 |
| C28 | 8.791 | 189.106 | 7.564 | 7.099 | 0.875 | 1.062 | 0.175 | 0.252 | 1.148 | 1.106 |
| C29 | 1.698 | 60.889 | 7.120 | 6.798 | 1.407 | 1.565 | 0.180 | 0.193 | 1.007 | 0.937 |
| C30 | 3.709 | 53.697 | 7.514 | 7.641 | 0.740 | 0.601 | 0.249 | 0.406 | 1.291 | 1.102 |
© 2020 by the authors. Licensee MDPI, Basel, Switzerland. This article is an open access article distributed under the terms and conditions of the Creative Commons Attribution (CC BY) license (http://creativecommons.org/licenses/by/4.0/).
Share and Cite
Li, Y.; Sun, H.; Huang, J.; Huang, Q. Low-End Lock-In of Chinese Equipment Manufacturing Industry and the Global Value Chain. Sustainability 2020, 12, 2981. https://doi.org/10.3390/su12072981
Li Y, Sun H, Huang J, Huang Q. Low-End Lock-In of Chinese Equipment Manufacturing Industry and the Global Value Chain. Sustainability. 2020; 12(7):2981. https://doi.org/10.3390/su12072981
Chicago/Turabian StyleLi, Yan, Huiying Sun, Jincheng Huang, and Qingbo Huang. 2020. "Low-End Lock-In of Chinese Equipment Manufacturing Industry and the Global Value Chain" Sustainability 12, no. 7: 2981. https://doi.org/10.3390/su12072981
APA StyleLi, Y., Sun, H., Huang, J., & Huang, Q. (2020). Low-End Lock-In of Chinese Equipment Manufacturing Industry and the Global Value Chain. Sustainability, 12(7), 2981. https://doi.org/10.3390/su12072981
