The Impact of Income Inequality on Carbon Emissions in China: A Household-Level Analysis
Abstract
1. Introduction
2. Literature Review
3. Data Source and Empirical Methodology
3.1. Data Source
3.1.1. Household Carbon Emissions
3.1.2. Income Inequality
3.1.3. Descriptive Statistics
3.2. The Econometric Model
4. Empirical Results
4.1. Baseline Results
4.2. Roles of Consumption Patterns, Time Preference for Consumption, and Mental Health
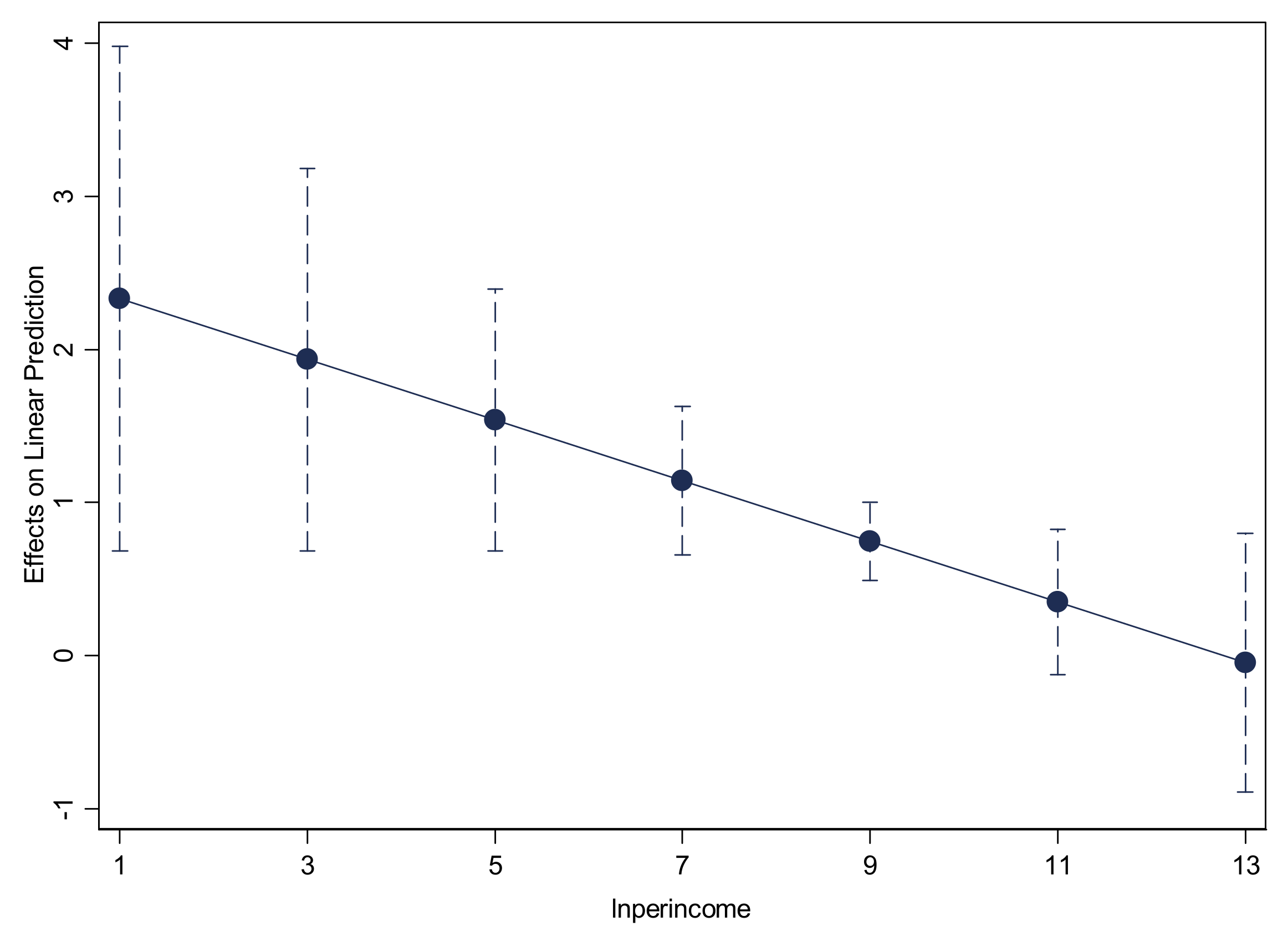
4.3. The Heterogeneity
5. Conclusions and Policy Implications
Author Contributions
Funding
Conflicts of Interest
References
- IPCC. Global Warming of 1.5 °C. An IPCC Special Report on the Impacts of Global Warming of 1.5 °C above Pre-Industrial Levels and Related Global Greenhouse Gas Emission Pathways. In The Context of Strengthening the Global Response to the Threat of Climate Change, Sustainable Development, and Efforts to Eradicate Poverty; IPCC: Geneva, Switzerland, 2018; in press. [Google Scholar]
- UNEP (United Nations Environment Program). The Emissions Gap Report 2019; United Nations Environment Programme (UNEP): Nairobi, Kenya, 2019. [Google Scholar]
- World Bank. Growth and CO2 Emissions: How Do Different Countries Fare; Environment Department: Washington, DC, USA, 2007.
- Hao, Y.; Chen, H.; Zhang, Q. Will income inequality affect environmental quality? Analysis based on China’s provincial panel data. Ecol. Indic. 2016, 67, 533–542. [Google Scholar] [CrossRef]
- Guo, D.; Chen, H.; Long, R.; Ni, Y. An integrated measurement of household carbon emissions from a trading-oriented perspective: A case study of urban families in Xuzhou, China. J. Clean. Prod. 2018, 188, 613–624. [Google Scholar] [CrossRef]
- Ji, Q.; Zhang, D. China’s crude oil futures: Introduction and some stylized facts. Financ. Res. Lett. 2019, 28, 376–380. [Google Scholar] [CrossRef]
- Xu, K.; Han, Y.; Lv, F. Household carbon inequality in urban China, its sources and determinants. Ecol. Econ. 2016, 128, 77–86. [Google Scholar] [CrossRef]
- Bin, S.; Dowlatabadi, H. Consumer lifestyle approach to US energy use and the related CO2 emissions. Energy Policy 2005, 33, 197–208. [Google Scholar] [CrossRef]
- Baiocchi, G.; Minx, J.; Hubacek, K. The impact of social factors and consumer behavior on carbon dioxide emissions in the United Kindom. J. Ind. Ecol. 2010, 14, 50–72. [Google Scholar] [CrossRef]
- Pachauri, S.; Spreng, D. Direct and indirect energy requirements of households in India. Energy Policy 2002, 30, 511–523. [Google Scholar] [CrossRef]
- Liu, L.; Wu, G.; Wang, J.; Wei, Y. China’s carbon emissions from urban and rural households during 1992–2007. J. Clean. Prod. 2011, 19, 1754–1762. [Google Scholar] [CrossRef]
- Fan, J.; Liao, H.; Liang, Q.; Tatano, H.; Liu, C.; Wei, Y. Residential carbon emission evolutions in urban-rural divided China: An end-use and behavior analysis. Appl. Energy 2013, 101, 323–332. [Google Scholar] [CrossRef]
- Hertwich, E.G.; Peters, G.P. Carbon footprint of nations: A global, trade-linked analysis. Environ. Sci. Technol. 2009, 43, 6414–6420. [Google Scholar] [CrossRef]
- Wu, S.; Lei, Y.; Li, S. CO2 emissions from household consumption at the provincial level and interprovincial transfer in China. J. Clean. Prod. 2019, 210, 93–104. [Google Scholar] [CrossRef]
- Dong, Y.; Zhao, T. Difference analysis of the relationship between household per capita income, per capita expenditure and per capita CO2 emissions in China: 1997–2014. Atmos. Pollut. Res. 2017, 8, 310–319. [Google Scholar] [CrossRef]
- Stiglitz, J.T. The Price of Inequality: How Today’s Divided Society Endangers Our Future; WW Norton & Company: New York, NY, USA, 2012. [Google Scholar]
- Piketty, T. Capital in the Twenty-First Century; Harvard University Press: Cambridge, MA, USA, 2014. [Google Scholar]
- Ribeiro, W.S.; Bauer, A.; Andrade, M.C.; York-Smith, M.; Pan, P.M.; Pingani, L.; Knapp, M.; Coutinho, E.S.; Evans-Lacko, S. Income inequality and mental illness-related morbidity and resilience: A systematic review and meta-analysis. Lancet Psychiatry 2017, 4, 554–562. [Google Scholar] [CrossRef]
- Burns, J.K.; Tomita, A.; Kapadia, A.S. Income inequality and schizophrenia: Increased schizophrenia incidence in countries with high levels of income inequality. Int. J. Soc. Psychiatry 2014, 60, 185–196. [Google Scholar] [CrossRef]
- Layte, R.; Whelan, C. GINI DP 78: Who Feels Inferior? A Test of the Status Anxiety Hypothesis of Social Inequalities in Health; AIAS, Amsterdam Institute for Advanced Labour Studies: Amsterdam, The Netherlands, 2013. [Google Scholar]
- Vanderende, K.E.; Young, I.K.M.; Dynes, M.M.; Sibley, L.M. Community-level correlates of intimate partner violence against women globally: A systematic review. Soc. Sci. Med. 2012, 75, 1143–1155. [Google Scholar] [CrossRef]
- Kumhof, M.; Rancière, R.; Winant, P. Inequality, Leverage, and Crises. Am. Econ. Rev. 2015, 105, 1217–1245. [Google Scholar] [CrossRef]
- Wolde-Rufael, Y.; Idowu, S. Income distribution and CO2 emission: A comparative analysis for China and India. Renew Sustain Energy Rev. 2017, 4, 1336–1345. [Google Scholar] [CrossRef]
- Solt, F. Standardizing the world income inequality database. Soc. Sci. Q. 2009, 90, 231–242. [Google Scholar] [CrossRef]
- Jorgenson, A.; Schor, J.; Huang, X.R. Income inequality and carbon emissions in the United States: A State-level Analysis, 1997–2012. Ecol. Econ. 2017, 134, 40–48. [Google Scholar] [CrossRef]
- Boyce, J.K. Inequality as a cause of environmental degradation. Ecol. Econ. 1994, 3, 169–178. [Google Scholar] [CrossRef]
- Scruggs, L.A. Political and economic inequality and the environment. Ecol. Econ. 1998, 26, 259–275. [Google Scholar] [CrossRef]
- Heerink, N.; Mulatu, A.; Bulte, E. Income inequality and the environment: Aggregation bias in environmental Kuznets curves. Ecol. Econ. 2001, 3, 359–367. [Google Scholar] [CrossRef]
- Ravallion, M.; Heil, M.; Jalan, J. CO2 emissions and income inequality. Oxf. Econ. Pap. 2000, 4, 651–669. [Google Scholar] [CrossRef]
- Heil, M.; Selden, T. CO2 emissions and economic development: Future trajectories based on historical experience. Environ. Dev. Econ. 2001, 1, 63–83. [Google Scholar] [CrossRef]
- Borghesi, S. Income inequality and the environmental Kuznets curve. In Environment, Inequality Collective Action; Routledge: London, UK, 2006. [Google Scholar]
- Schor, J. The Overspent American: When Buying Becomes You; Basic books: New York, NY, USA, 1998. [Google Scholar]
- Veblen, T. The Theory of the Leisure Class; Oxford University Press: Oxford, UK, 2009. [Google Scholar]
- Golley, J.; Meng, X. Income inequality and carbon dioxide emissions: The case of Chinese urban households. Energy Econ. 2012, 34, 1864–1872. [Google Scholar] [CrossRef]
- Baek, J.; Gweisah, G. Does income inequality harm the environment? Empirical evidence from the United States. Energy Policy 2013, 62, 1434–1437. [Google Scholar] [CrossRef]
- Jorgenson, A. Inequality and the carbon intensity of human well-being. J. Environ. Stud. Sci. 2015, 3, 277–282. [Google Scholar] [CrossRef]
- Kasuga, H.; Takaya, M. Does inequality affect environmental quality? Evidence from major Japanese cities. J. Clean. Prod. 2017, 142, 3689–3701. [Google Scholar] [CrossRef]
- Liu, C.; Jiang, Y.; Xie, R. Does income inequality facilitate carbon emission reduction in the US? J. Clean. Prod. 2019, 217, 380–387. [Google Scholar] [CrossRef]
- Uzar, U.; Eyuboglu, K. The nexus between income inequality and CO2 emissions in Turkey. J. Clean. Prod. 2019, 227, 149–157. [Google Scholar] [CrossRef]
- Coondoo, D.; Dinda, S. Carbon dioxide emission and income: A temporal analysis of cross-country distributional patterns. Ecol. Econ. 2008, 65, 375–385. [Google Scholar] [CrossRef]
- Baloch, A.; Shah, S.Z.; Noor, Z.M.; Magsi, H.B. The nexus between income inequality, economic growth and environmental degradation in Pakistan. Geo J. 2018, 83, 207–222. [Google Scholar] [CrossRef]
- Hübler, M. The inequality-emissions nexus in the context of trade and development: A quantile regression approach. Ecol. Econ. 2017, 134, 174–185. [Google Scholar] [CrossRef]
- Sager, L. Income inequality and carbon consumption: Evidence from environmental Engel curves. Energy Econ. 2019, 84, 104507. [Google Scholar] [CrossRef]
- Grunewald, N.; Klasen, S.; Martínez-Zarzoso, I.; Muris, C. The Trade-off between income inequality and carbon dioxide emissions. Ecol. Econ. 2017, 142, 249–256. [Google Scholar] [CrossRef]
- Clément, M.; Meunié, A. Inégalités, développement et qualité de l’environnement: Mécanismes et application empirique. Mondes En Développement 2010, 151, 67–82. [Google Scholar] [CrossRef]
- Policardo, L. Is democracy good for the environment? Quasi-experimental evidence from regime transitions. Environ. Resour. Econ. 2016, 2, 275–300. [Google Scholar] [CrossRef]
- Waston, B.; Osberg, L. Can positive income anticipations reverse the mental health impacts of negative income anxieties. Econ. Hum. Biol. 2019, 35, 107–122. [Google Scholar]
- Vilhjalmsdottir, A.; Gardarsdottir, R.B.; Bernburg, J.G.; Sigfusdottir, I.D. Neighborhood income inequality, social capital and emotional distress among adolescents: A population-based study. J. Adolesc. 2016, 51, 92–102. [Google Scholar] [CrossRef]
- Layte, R. The association between income inequality and mental health: Testing status anxiety, social capital, and neo-materialist explanations. Eur. Sociol. Rev. 2011, 28, 498–511. [Google Scholar] [CrossRef]
- Chiavegatto Filho, A.D.; Kawachi, I.; Wang, Y.P.; Viana, M.C.; Andrade, L.H. Does income inequality get under the skin? A multilevel analysis of depression, anxiety and mental disorders in Sao Paulo, Brazil. J. Epidemiol. Community Health 2013, 67, 966–972. [Google Scholar] [CrossRef]
- Oishi, S.; Kesebir, S. Income inequality explains shy economic growth does not always translate to an increase in happiness. Psychol. Couns. 2015, 26, 1630–1638. [Google Scholar]
- Velek, C.; Steg, L. Human behavior and environmental sustainability: Problems, driving forces, and research topics. J. Soc. Issues 2007, 63, 1–19. [Google Scholar] [CrossRef]
- Kaida, N.; Kaida, K. Pro-environmental behavior correlates with present and future subjective well-being. Environ. Dev. Sustain. 2016, 18, 111–127. [Google Scholar] [CrossRef]
- Koenig-Lewis, N.; Palmer, A.; Dermody, J.; Urbye, A. Consumers’ evaluations of ecological packaging-rational and emotional approaches. J. Environ. Psychol. 2014, 37, 94–105. [Google Scholar] [CrossRef]
- Bissing-Olson, M.J.; Iyer, A.; Fielding, K.S.; Zacher, H. Relationships between daily affect and pro-environmental behavior at work: The moderating role of pro-environmental attitude. J. Organ. Behav. 2013, 34, 151–171. [Google Scholar] [CrossRef]
- Ibanez, L.; Moureau, N.; Roussel, S. How do incidental emotions impact pro-environmental behavior? Evidence from the dictator game. J. Behav. Exp. Econ. 2017, 66, 150–155. [Google Scholar] [CrossRef]
- Li, J.; Zhang, D.; Su, B. The impact of social awareness and lifestyles on household carbon emissions in China. Ecol. Econ. 2019, 160, 145–155. [Google Scholar] [CrossRef]
- Wei, Y.; Liu, L.; Fan, Y.; Wu, G. The impact of lifestyle on energy use and CO2 emission: An empirical analysis of China’s residents. Energy Policy 2007, 35, 247–257. [Google Scholar] [CrossRef]
- Su, B.; Ang, B.W. Multiplicative decomposition of aggregate carbon intensity change using input-output analysis. Appl. Energy 2015, 154, 13–20. [Google Scholar] [CrossRef]
- Zhang, Q.; Churchill, S.A. Income inequality and subjective wellbeing: Panel data evidence from China. China Econ. Rev. 2020, 60, 101392. [Google Scholar] [CrossRef]
- Zhang, W.; Shi, P.; Wang, K.; Xue, J.; Song, G.; Sun, P. Intertemporal lifestyle changes and carbon emissions: Evidence from a China household survey. Energy Econ. 2020, 86, 104655. [Google Scholar] [CrossRef]
- Liu, Q.; Wang, S.; Zhang, W.; Li, J.; Kong, Y. Examining the effects of income inequality on CO2 emissions: Evidence from non-spatial and spatial perspectives. Appl. Energy 2019, 236, 163–171. [Google Scholar] [CrossRef]
- Andersson, D.; Nässén, J.; Larsson, J.; Holmber, J. Greenhouse gas emissions and subjective well-being: An analysis of Swedish households. Ecol. Econ. 2014, 102, 75–82. [Google Scholar] [CrossRef]
- Streimikiene, D.; Volochovic, A. The impact of household behavioral changes on GHG emission reduction in Lithuania. Renew. Sustain. Energy Rev. 2011, 15, 4118–4124. [Google Scholar] [CrossRef]
- Büchs, M.; Schnepf, S.V. Who emits most? Associations between socio-economic facts and UK households’ home energy, transport, indirect and total CO2 emissions. Ecol. Econ. 2013, 90, 114–123. [Google Scholar] [CrossRef]
- Dai, H.; Masui, T.; Matsuoka, Y.; Fujimori, S. The impacts of China’s household consumption expenditure patterns on energy demand and carbon emissions towards 2050. Energy Policy 2012, 50, 736–750. [Google Scholar] [CrossRef]
- Lee, S.; Lee, B. The influence of urban form on GHG emissions in the US household sector. Energy Policy 2014, 68, 534–549. [Google Scholar] [CrossRef]
- Chancel, L. Are younger generations higher carbon emitters than their elders? Inequalities, generations and CO2 emissions in France and in the USA. Ecol. Econ. 2014, 100, 195–207. [Google Scholar] [CrossRef]
- Jones, C.; Kammen, D.M. Spatial distribution of U.S. Household carbon footprints reveals suburbanization undermines greenhouse gas benefits of urban population density. Environ. Sci. Technol. 2014, 48, 895–902. [Google Scholar] [CrossRef]
- Meier, H.; Rehdanz, K. Determinants of residential space heating expenditures in Great Britain. Energy Econ. 2010, 32, 949–959. [Google Scholar] [CrossRef]
- Ottelin, J.; Heinonen, J.; Junnila, S. Carbon footprint trends of metropolitan residents in Finland: How strong mitigation policies affect different urban zones. J. Clean. Prod. 2018, 170, 1523–1535. [Google Scholar] [CrossRef]
- Qu, J.; Liu, L.; Zeng, J.; Zhang, Z.; Wang, J.; Pei, H.; Dong, L.; Liao, Q.; Maraseni, T. The impact of income on household CO2 emissions in China based on a large sample survey. Sci. Bull. 2019, 64, 351–353. [Google Scholar] [CrossRef]
- Ewing, R.; Rong, F. The impact of urban form on us residential energy use. Hous. Policy Debate 2008, 19, 1–30. [Google Scholar] [CrossRef]
- Qin, B.; Han, S. Planning parameters and household carbon emission: Evidence from high-and low-carbon neighborhoods in Beijing. Habitat Int. 2013, 37, 52–60. [Google Scholar] [CrossRef]
- Lewbel, A. Using heteroscedasticity to identify and estimate mismeasured and endogenous regressor models. J. Bus. Econ. Stat. 2012, 30, 67–80. [Google Scholar] [CrossRef]
- Casaló, L.V.; Escario, J.J. Heterogeneity in the association between environmental attitudes and pro-environmental behavior: A multilevel regression approach. J. Clean. Prod. 2018, 175, 155–163. [Google Scholar] [CrossRef]
- Li, J.; Zhang, J.; Zhang, D.; Ji, Q. Does gender inequality affect household green consumption behavior in China? Energy Policy. 2019, 135, 111071. [Google Scholar] [CrossRef]
- Miao, L. Examining the impact factors of urban residential energy consumption and CO2 emissions in China-Evidence from city-level data. Ecol. Indic. 2017, 73, 29–37. [Google Scholar] [CrossRef]
- Bai, Y.; Deng, X.; Gibson, J.; Zhao, Z.; Hu, H. How does urbanization affect residential CO2 emissions? An analysis on urban agglomerations of China. J. Clean. Prod. 2019, 209, 876–885. [Google Scholar] [CrossRef]
- Topcu, M.; Tugcu, C.T. The impact of renewable energy consumption on income inequality: Evidence from developed countries. Renew. Energy 2020, 151, 1134–1140. [Google Scholar] [CrossRef]
- Kleibergen, G.; Paap, R. Generalized reduced rank tests using the singular value decomposition. J. Econom. 2006, 133, 97–126. [Google Scholar] [CrossRef]
- De Maio, F.G. Income inequality measures. J. Epidemiol. Community Health 2007, 61, 849–852. [Google Scholar] [CrossRef] [PubMed]
- Cobham, A.; Sumner, A.; Cornia, A.; Dercon, S.; Engberg-pedersen, L.; Evans, M.; Lea, N.; Lustig, N.; Manning, R.; Milanovic, B.; et al. Putting the Gini Back in the Bottle? ‘The Palma’ As a Policy-Relevant Measure of Inequality; King’s College WP-5: London, UK, 2013. [Google Scholar]
- Palma, J.G. Homogeneous middles vs. Heterogeneous tails, and the end of the ‘inverted-U’: it’s all about the share of the rich. Dev. Chang. 2011, 42, 87–153. [Google Scholar] [CrossRef]
- Lyons, S.; Pentecost, A.; Tol, R.S.J. Socioeconomic distribution of emissions and resource use in Ireland. J. Environ. Manag. 2012, 112, 186–198. [Google Scholar] [CrossRef] [PubMed]
- Wiedenhofer, D.; Guan, D.; Liu, Z.; Meng, J.; Zhang, N.; Wei, Y.M. Unequal household carbon footprints in China. Nat. Clim. Chang. 2016, 7, 75–80. [Google Scholar] [CrossRef]
- Charles, K.K.; Hurst, E.; Roussanov, N. Conspicuous consumption and race. Q. J. Econ. 2009, 124, 425–467. [Google Scholar] [CrossRef]
- Kaus, W. Conspicuous consumption and “race”: Evidence from South Africa. J. Dev. Econ. 2013, 100, 63–73. [Google Scholar] [CrossRef]
- Zhou, G.; Fan, G.; Ma, G. The impact of income inequality on the visible expenditure of China’s households. Financ. Trade Econ. 2018, 39, 21–35. [Google Scholar]
- Kessler, R.C.; Andrews, G.; Colpe, L.J.; Hiripi, E.; Mroczek, D.K.; Normand, S.L.; Walters, E.E.; Zaslavsky, A.M. Short screening scales to monitor population prevalences and trends in non-specific psychological distress. Psychol. Med. 2002, 6, 959–976. [Google Scholar]






| Variable | Variable Descriptions | Mean | Std.Dev. | Min | Max | |
|---|---|---|---|---|---|---|
| Main Variables | ||||||
| CO2 | All | Household total carbon emissions (ton) | 13.714 | 39.541 | 0.004 | 2205.997 |
| 2010 | 6.905 | 17.391 | 0.004 | 691.291 | ||
| 2012 | 10.096 | 8.634 | 0.101 | 97.891 | ||
| 2014 | 24.142 | 64.391 | 0.016 | 2205.997 | ||
| Gini | All | County-level income inequality | 0.462 | 0.079 | 0.206 | 0.852 |
| 2010 | 0.437 | 0.067 | 0.248 | 0.749 | ||
| 2012 | 0.495 | 0.077 | 0.278 | 0.725 | ||
| 2014 | 0.453 | 0.082 | 0.206 | 0.852 | ||
| Control variables | ||||||
| Age | Age of the head of household | 50.812 | 11.975 | 16 | 90 | |
| Gender | Gender of the head of household (male = 1, female = 0) | 0.721 | 0.448 | 0 | 1 | |
| Married | Marital status of the head of household (married = 1, unmarried = 0) | 0.897 | 0.304 | 0 | 1 | |
| Hukou | Hukou of the head of household (urban hukou = 1, rural hukou = 0) | 0.213 | 0.409 | 0 | 1 | |
| Policy | CPC member (yes = 1, no = 0) | 0.119 | 0.324 | 0 | 1 | |
| Education | Years of education of the head of household | 7.030 | 4.261 | 0 | 19 | |
| Health = fair | Self-reported health (fair = 1, otherwise 0) | 0.238 | 0.426 | 0 | 1 | |
| Health = good | Self-reported health (good = 1, otherwise 0) | 0.572 | 0.495 | 0 | 1 | |
| Health = bad | Self-reported health (bad = 1, otherwise 0) | 0.190 | 0.392 | 0 | 1 | |
| Remployee | Proportion of members of a household who are working | 0.532 | 0.389 | 0 | 1 | |
| Rchild | Child dependency ratio of a household | 0.120 | 0.157 | 0 | 0.75 | |
| Rold | Elderly dependency ratio of a household | 0.137 | 0.273 | 0 | 1 | |
| Familysize | Family size | 3.855 | 1.732 | 1 | 26 | |
| Car | Owing at least one car (yes = 1, no = 0) | 0.154 | 0.361 | 0 | 1 | |
| Lndwelling | Log of dwelling size | 4.666 | 0.648 | 0 | 8.564 | |
| Lndistance | Log of distance to the county center (min) | 2.712 | 1.448 | 0 | 5.635 | |
| Lnperincome | Log of per capita income (yuan) | 8.829 | 1.178 | 1.653 | 13.816 | |
| Lnasset | Log of households’ net wealth (yuan) | 14.239 | 4.793 | −17.533 | 21.302 | |
| Urban | Habitual residence (urban=1, otherwise 0) | 0.348 | 0.476 | 0 | 1 | |
| Economic | Economic situation of the community surveyed (1 = very poor, 7 = very rich) | 4.168 | 1.444 | 1 | 7 | |
| Crowded | Building density (1=crowded, 7 = not crowded at all) | 4.548 | 1.479 | 1 | 7 | |
| Other variables | ||||||
| Lnconsumption | Log of household expenditure | 10.001 | 0.864 | 3.178 | 13.710 | |
| Conspicuous | Proportion of conspicuous consumption in household total expenditure (including expenditure on clothing, traffic and correspondence, residence) | 0.207 | 0.133 | 0 | 1.188 | |
| Edurate | Education and training expenditure as a share of total expenditure | 0.077 | 0.142 | 0 | 0.949 | |
| Mental health | Mental health of the household head (1 = very bad, 5 = very good) | 4.069 | 0.820 | 1 | 5 | |
| (1) FE | (2) FE | (3) FE | (4) FE | (5) IV | |
|---|---|---|---|---|---|
| LnCO2 | LnCO2 | LnCO2 | LnCO2 | LnCO2 | |
| Gini | 0.745 *** (0.131) | 0.729 *** (0.131) | 0.761 *** (0.131) | 0.762 *** (0.131) | 1.381 ** (0.703) |
| Age | −0.009 *** (0.002) | −0.007 *** (0.002) | −0.007 *** (0.002) | −0.007 *** (0.002) | |
| Gender | 0.056 ** (0.026) | 0.056 ** (0.025) | 0.054 ** (0.025) | 0.054 ** (0.025) | |
| Married | 0.101 * (0.058) | 0.036 (0.057) | 0.037 (0.057) | 0.035 (0.057) | |
| Hukou | 0.054 (0.057) | 0.035 (0.056) | 0.033 (0.056) | 0.036 (0.056) | |
| Policy | 0.049 (0.050) | 0.053 (0.048) | 0.057 (0.048) | 0.050 (0.048) | |
| Education | 0.000 (0.005) | −0.001 (0.005) | −0.001 (0.005) | −0.001 (0.004) | |
| Health = bad | |||||
| Health = fair | 0.008 (0.030) | −0.003 (0.030) | −0.003 (0.030) | −0.003 (0.030) | |
| Health = good | −0.061 ** (0.029) | −0.068 ** (0.028) | −0.066 ** (0.028) | −0.063 ** (0.028) | |
| Remployee | −0.026 (0.026) | −0.024 (0.026) | −0.021 (0.027) | ||
| Rchild | −0.133 (0.122) | −0.130 (0.122) | −0.130 (0.118) | ||
| Rold | −0.115 (0.085) | −0.109 (0.085) | −0.108 (0.081) | ||
| Familysize | 0.136 *** (0.019) | 0.135 *** (0.019) | 0.135 *** (0.018) | ||
| Car | 0.210 *** (0.058) | 0.215 *** (0.058) | 0.218 *** (0.057) | ||
| Lndwelling | 0.038 (0.028) | 0.040 (0.028) | 0.039 (0.028) | ||
| Lnperincome | 0.053 *** (0.011) | 0.052 *** (0.011) | 0.056 *** (0.011) | ||
| Lnasset | 0.001 (0.002) | 0.001 (0.002) | 0.000 (0.002) | ||
| Lndistance | −0.029 (0.028) | −0.034 (0.028) | |||
| Urban | 0.176 ** (0.072) | 0.169 ** (0.071) | |||
| Economic | 0.011 (0.010) | 0.012 (0.010) | |||
| Crowded | −0.009 (0.009) | −0.009 (0.008) | |||
| Constant | 7.938 *** (0.059) | 8.877 *** (0.134) | 8.188 *** (0.226) | 8.198 *** (0.247) | |
| Year dummies | Yes | Yes | Yes | Yes | Yes |
| Family FEs | Yes | Yes | Yes | Yes | Yes |
| Modified Wald test (heteroskedasticity) | 0.000 | ||||
| Under-id. test | 0.000 | ||||
| F-stat | 69.37 | ||||
| Over-id. test | 0.000 | ||||
| Obs | 11388 | 11388 | 11388 | 11388 | 11388 |
| R-squared | 0.353 | 0.357 | 0.374 | 0.375 |
| (1) FE | (2) FE | (3) FE | (4) FE | |
|---|---|---|---|---|
| LnCO2 | LnCO2 | LnCO2 | LnperCO2 | |
| Gini | 0.818 *** (0.185) | 0.800 *** (0.131) | ||
| P10 | 0.651 *** (0.122) | |||
| Palma | 0.026 *** (0.005) | |||
| Age | −0.007 *** (0.002) | −0.007 *** (0.002) | −0.007 *** (0.002) | −0.007 *** (0.002) |
| Gender | 0.055 ** (0.025) | 0.054 ** (0.025) | 0.053 ** (0.025) | 0.053 ** (0.025) |
| Married | 0.039 (0.057) | 0.040 (0.057) | 0.037 (0.057) | −0.062 (0.056) |
| Hukou | 0.034 (0.056) | 0.032 (0.057) | 0.034 (0.056) | 0.034 (0.056) |
| Policy | 0.057 (0.048) | 0.061 (0.048) | 0.059 (0.048) | 0.059 (0.048) |
| Education | −0.002 (0.005) | −0.002 (0.005) | −0.001 (0.005) | −0.001 (0.005) |
| Health=bad | ||||
| Health=fair | −0.002 (0.030) | −0.002 (0.030) | −0.005 (0.030) | −0.003 (0.029) |
| Health=good | −0.066 ** (0.028) | −0.064 ** (0.028) | −0.068 ** (0.028) | −0.066 ** (0.028) |
| Remployee | −0.025 (0.026) | −0.027 (0.026) | −0.023 (0.026) | −0.009 (0.026) |
| Rchild | −0.131 (0.122) | −0.122 (0.122) | −0.131 (0.123) | −0.183 (0.118) |
| Rold | −0.109 (0.085) | −0.109 (0.085) | −0.106 (0.085) | −0.074 (0.084) |
| Familysize | 0.135 *** (0.018) | 0.136 *** (0.018) | 0.136 *** (0.019) | −0.101 *** (0.013) |
| Car | 0.215 *** (0.058) | 0.211 *** (0.058) | 0.216 *** (0.058) | 0.211 *** (0.058) |
| Lndwelling | 0.041 (0.028) | 0.042 (0.028) | 0.038 (0.028) | 0.037 (0.028) |
| Lnperincome | 0.049 *** (0.011) | 0.051 *** (0.011) | 0.053 *** (0.011) | 0.054 *** (0.011) |
| Lnasset | 0.001 (0.002) | 0.001 (0.002) | 0.001 (0.002) | 0.001 (0.002) |
| Lndistance | −0.025 (0.028) | −0.024 (0.028) | −0.033 (0.028) | −0.024 (0.028) |
| Urban | 0.181 ** (0.072) | 0.181 ** (0.072) | 0.173 ** (0.072) | 0.172 ** (0.072) |
| Economic | 0.012 (0.010) | 0.011 (0.010) | 0.011 (0.010) | 0.012 (0.010) |
| Crowded | −0.009 (0.009) | −0.007 (0.009) | −0.008 (0.009) | −0.009 (0.009) |
| Constant | 8.348 *** (0.242) | 7.964 *** (0.233) | 8.187 *** (0.255) | 7.903 *** (0.244) |
| Year dummies | Yes | Yes | Yes | Yes |
| Family FEs | Yes | Yes | Yes | Yes |
| Obs. | 11388 | 11388 | 11388 | 11388 |
| R-squared | 0.374 | 0.375 | 0.374 | 0.387 |
| (1) FE | (2) FE | (3) FE | (4) FE | |
|---|---|---|---|---|
| Lnconsumption | LnCO2 | LnCO2 | LnCO2 | |
| Gini | 0.104 (0.107) | 0.566 *** (0.123) | 0.717 *** (0.129) | 0.750 *** (0.134) |
| Gini*Conspicuous | −2.784 *** (1.055) | |||
| Gini*Edurate | −2.211 *** (0.688) | |||
| Gini*Mental health | −0.308 ** (0.126) | |||
| Conspicuous | 1.716 *** (0.093) | |||
| Edurate | 0.991 *** (0.078) | |||
| Mental health | −0.008 (0.018) | |||
| Age | −0.007 *** (0.001) | −0.007 *** (0.002) | −0.007 *** (0.002) | −0.007 *** (0.002) |
| Gender | 0.052 *** (0.020) | 0.055 ** (0.024) | 0.051 ** (0.025) | 0.051 ** (0.026) |
| Married | 0.060 (0.047) | 0.031 (0.055) | 0.047 (0.057) | 0.022 (0.057) |
| Hukou | 0.026 (0.042) | 0.047 (0.052) | 0.034 (0.057) | 0.026 (0.055) |
| Policy | 0.061 (0.037) | 0.062 (0.045) | 0.061 (0.047) | 0.058 (0.049) |
| Education | 0.001 (0.004) | 0.000 (0.004) | −0.001 (0.004) | −0.001 (0.005) |
| Health=bad | ||||
| Health=fair | −0.023 (0.024) | −0.020 (0.029) | −0.005 (0.029) | −0.009 (0.030) |
| Health=good | −0.058 *** (0.022) | −0.085 *** (0.027) | −0.071 ** (0.028) | −0.066 ** (0.029) |
| Remployee | −0.041 * (0.022) | −0.042 * (0.025) | −0.005 (0.026) | −0.020 (0.026) |
| Rchild | −0.227 ** (0.092) | −0.203 * (0.116) | −0.014 (0.122) | −0.153 (0.122) |
| Rold | −0.163 ** (0.063) | −0.088 (0.081) | −0.111 (0.084) | −0.100 (0.084) |
| Familysize | 0.124 *** (0.013) | 0.129 *** (0.017) | 0.124 *** (0.018) | 0.153 *** (0.014) |
| Car | 0.507 *** (0.044) | 0.267 *** (0.055) | 0.240 *** (0.058) | 0.204 *** (0.058) |
| Lndwelling | 0.038 * (0.020) | 0.035 (0.026) | 0.044 (0.028) | 0.034 (0.029) |
| Lnperincome | 0.070 *** (0.009) | 0.051 *** (0.010) | 0.058 *** (0.011) | 0.053 *** (0.011) |
| Lnasset | −0.000 (0.002) | −0.000 (0.002) | 0.001 (0.002) | 0.001 (0.002) |
| Lndistance | −0.062 *** (0.020) | −0.040 (0.025) | −0.036 (0.028) | −0.032 (0.028) |
| Urban | 0.035 (0.050) | 0.141 ** (0.068) | 0.174 ** (0.071) | 0.175 ** (0.073) |
| Economic | −0.003 (0.007) | 0.005 (0.009) | 0.010 (0.010) | 0.013 (0.010) |
| Crowded | 0.009 (0.006) | −0.001 (0.008) | −0.007 (0.009) | −0.011 (0.009) |
| Constant | 9.305 *** (0.184) | 7.957 *** (0.230) | 8.083 *** (0.245) | 7.109 *** (0.248) |
| Year dummies | Yes | Yes | Yes | Yes |
| Family FEs | Yes | Yes | Yes | Yes |
| Obs. | 11364 | 11388 | 11388 | 11010 |
| R-squared | 0.238 | 0.426 | 0.388 | 0.376 |
| (1) FE | (2) FE | (3) FE | |
|---|---|---|---|
| LnCO2 | LnCO2 | LnCO2 | |
| Gini | 0.766 *** (0.132) | 0.762 *** (0.131) | 0.766 *** (0.131) |
| Gini*Urban | –0.100 (0.244) | ||
| Gini*Lnperincome | −0.198 * (0.104) | ||
| Gini*Age | −0.015 * (0.009) | ||
| Urban | 0.180 ** (0.073) | 0.177 ** (0.072) | 0.177 ** (0.072) |
| Lnperincome | 0.052 *** (0.011) | 0.059 *** (0.011) | 0.052 *** (0.011) |
| Age | −0.007 *** (0.002) | −0.007 *** (0.002) | −0.007 *** (0.002) |
| Gender | 0.054 ** (0.025) | 0.055 ** (0.025) | 0.053 ** (0.025) |
| Married | 0.037 (0.057) | 0.037 (0.057) | 0.034 (0.057) |
| Hukou | 0.033 (0.056) | 0.035 (0.056) | 0.036 (0.056) |
| Policy | 0.057 (0.048) | 0.056 (0.048) | 0.057 (0.048) |
| Education | −0.002 (0.005) | −0.002 (0.005) | −0.001 (0.005) |
| Health = bad | |||
| Health = fair | −0.003 (0.030) | −0.003 (0.030) | −0.003 (0.030) |
| Health = good | −0.066 ** (0.028) | −0.065 ** (0.028) | −0.066 ** (0.028) |
| Remployee | −0.024 (0.026) | −0.023 (0.026) | −0.027 (0.026) |
| Rchild | −0.130 (0.122) | −0.125 (0.122) | −0.128 (0.122) |
| Rold | −0.108 (0.085) | −0.105 (0.085) | −0.107 (0.085) |
| Familysize | 0.135 *** (0.019) | 0.136 *** (0.019) | 0.136 *** (0.018) |
| Car | 0.215 *** (0.058) | 0.214 *** (0.058) | 0.215 *** (0.058) |
| Lndwelling | 0.040 (0.028) | 0.039 (0.028) | 0.039 (0.028) |
| Lnasset | 0.001 (0.002) | 0.001 (0.011) | 0.001 (0.002) |
| Lndistance | −0.029 (0.028) | −0.028 (0.028) | −0.028 (0.028) |
| Economic | 0.011 (0.010) | 0.011 (0.07) | 0.011 (0.010) |
| Crowded | −0.008 (0.009) | −0.008 (0.009) | −0.008 (0.009) |
| Constant | 8.191 *** (0.248) | 8.129 *** (0.252) | 8.192 *** (0.247) |
| Year dummies | Yes | Yes | Yes |
| Family FEs | Yes | Yes | Yes |
| Obs. | 11388 | 11388 | 11388 |
| R-squard | 0.375 | 0.375 | 0.375 |
© 2020 by the authors. Licensee MDPI, Basel, Switzerland. This article is an open access article distributed under the terms and conditions of the Creative Commons Attribution (CC BY) license (http://creativecommons.org/licenses/by/4.0/).
Share and Cite
Liu, Y.; Zhang, M.; Liu, R. The Impact of Income Inequality on Carbon Emissions in China: A Household-Level Analysis. Sustainability 2020, 12, 2715. https://doi.org/10.3390/su12072715
Liu Y, Zhang M, Liu R. The Impact of Income Inequality on Carbon Emissions in China: A Household-Level Analysis. Sustainability. 2020; 12(7):2715. https://doi.org/10.3390/su12072715
Chicago/Turabian StyleLiu, Yulin, Min Zhang, and Rujia Liu. 2020. "The Impact of Income Inequality on Carbon Emissions in China: A Household-Level Analysis" Sustainability 12, no. 7: 2715. https://doi.org/10.3390/su12072715
APA StyleLiu, Y., Zhang, M., & Liu, R. (2020). The Impact of Income Inequality on Carbon Emissions in China: A Household-Level Analysis. Sustainability, 12(7), 2715. https://doi.org/10.3390/su12072715
