Aerated Irrigation of Different Irrigation Levels and Subsurface Dripper Depths Affects Fruit Yield, Quality and Water Use Efficiency of Greenhouse Tomato
Abstract
1. Introduction
2. Materials and Methods
2.1. Study Area
2.2. Experimental Design and Treatments
2.3. Measurement of Soil Oxygen Concentration, Air-Filled Porosity, Crop Growth Performance Parameters, Tomato Yield, and Fruit Nutrition and Taste Quality Index
2.4. Data Analysis
3. Results
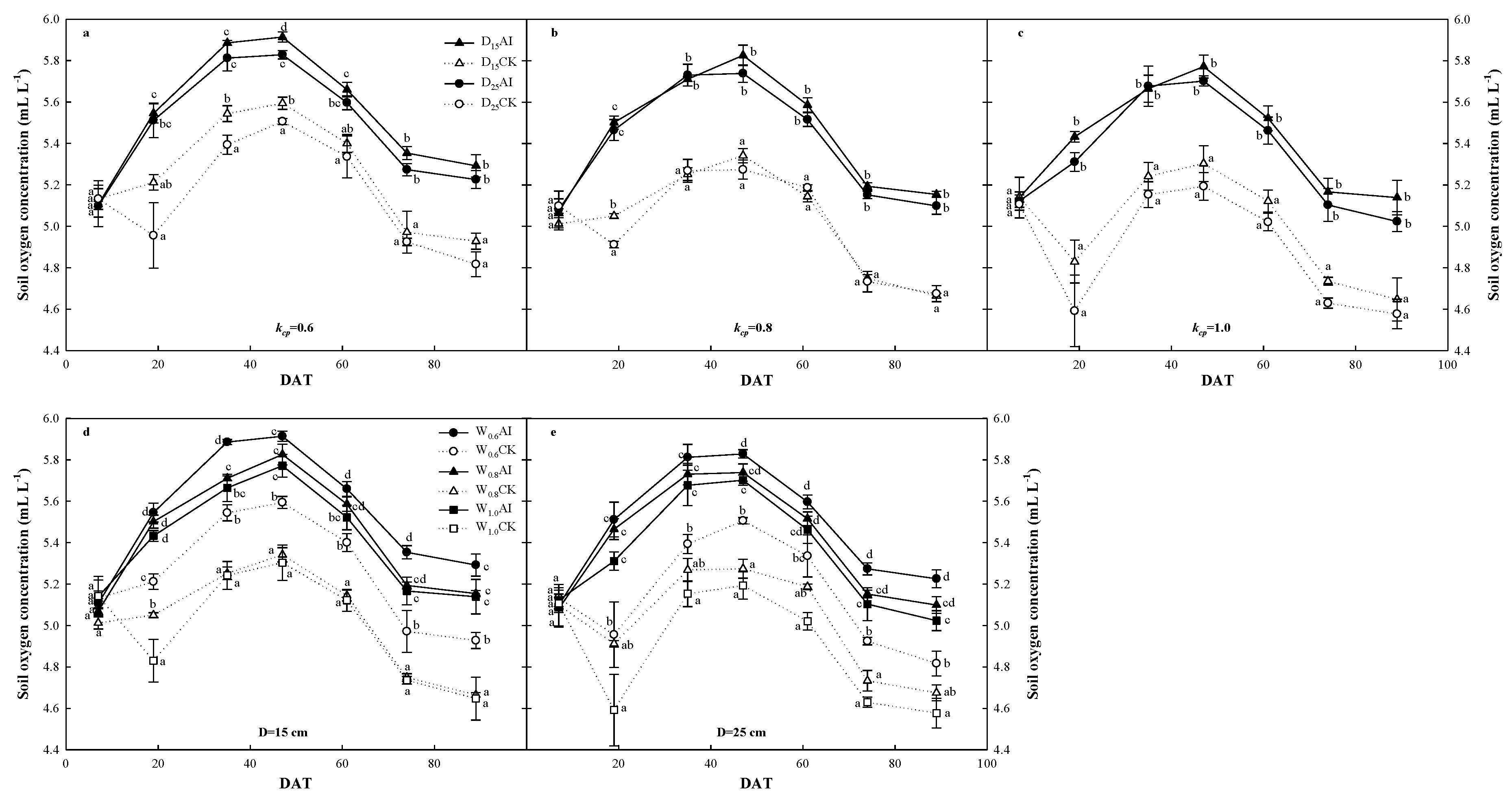
3.1. Variations of Soil Oxygen Concentration and Air-Filled Porosity
3.2. Impacts of AI on Flowering Time and Duration, Dry Matter, Root Parameters, Fruit Yield, Nutrition and Taste Quality
4. Discussion
5. Conclusions
Author Contributions
Funding
Conflicts of Interest
References
- Thompson, T.L.; Doerge, T.A.; Godin, R.E. Subsurface drip irrigation and fertigation of broccoli: II. Agronomic, economic, and environmental outcomes. Soil Sci. Soc. Am. J. 2002, 66, 178–185. [Google Scholar] [CrossRef]
- Hanson, B.; May, D. Effect of subsurface drip irrigation on processing tomato yield, water table depth, soil salinity, and profitability. Agric. Water Manag. 2004, 68, 1–17. [Google Scholar] [CrossRef]
- Smith, R.; Raine, S.R.; Minkevich, J. Irrigation application efficiency and deep drainage potential under surface irrigated cotton. Agric. Water Manag. 2005, 71, 117–130. [Google Scholar] [CrossRef]
- McHugh, A.; Bhattarai, S.P.; Lotz, G.; Midmore, D.J. Effects of subsurface drip irrigation rates and furrow irrigation for cotton grown on a vertisol on off-site movement of sediments, nutrients and pesticides. Agron. Sustain. Dev. 2008, 28, 507–519. [Google Scholar] [CrossRef]
- Bhattarai, S.P.; Su, N.; Midmore, D.J. Oxygation unlocks yield potentials of crops in oxygen-limited soil environments. Adv. Agron. 2005, 88, 313–377. [Google Scholar]
- Bhattarai, S.P.; Pendergast, L.; Midmore, D.J. Root aeration improves yield and water use efficiency of tomato in heavy clay and saline soils. Sci. Hortic. 2006, 108, 278–288. [Google Scholar] [CrossRef]
- Machado, R.M.; Do Rosário, M.; Oliveira, G.; Portas, C.A. Tomato root distribution, yield and fruit quality under subsurface drip irrigation. Plant Soil. 2003, 255, 333–341. [Google Scholar] [CrossRef]
- Bhattarai, S.P.; McHugh, A.; Lotz, G.; Midmore, D.J. The response of cotton to subsurface drip and furrow irrigation in a vertisol. Exp. Agric. 2006, 42, 29. [Google Scholar] [CrossRef]
- Payero, J.O.; Tarkalson, D.D.; Irmak, S.; Davison, D.; Petersen, J.L. Effect of irrigation amounts applied with subsurface drip irrigation on corn evapotranspiration, yield, water use efficiency, and dry matter production in a semiarid climate. Agric. Water Manag. 2008, 95, 895–908. [Google Scholar] [CrossRef]
- Zhu, Y.; Cai, H.; Song, L.; Chen, H. Aerated irrigation promotes soil respiration and microorganism abundance around tomato rhizosphere. Soil Sci. Soc. Am. J. 2019, 83, 1343–1355. [Google Scholar] [CrossRef]
- Li, Y.; Niu, W.; Wang, J.; Liu, L.; Zhang, M.; Xu, J. Effects of artificial soil aeration volume and frequency on soil enzyme activity and microbial abundance when cultivating greenhouse tomato. Soil Sci. Soc. Am. J. 2016, 80, 1208–1221. [Google Scholar] [CrossRef]
- Drew, M.C. Effects of flooding and oxygen deficiency on plant mineral nutrition. Adv. Plant Nutr. 1988, 3, 115–159. [Google Scholar]
- Drew, M.C. Soil aeration and plant root metabolism. Soil Sci. 1992, 154, 259–268. [Google Scholar] [CrossRef]
- Drew, M.C. Oxygen deficiency and root metabolism: Injury and acclimation under hypoxia and anoxia. Annu. Rev. Plant Biol. 1997, 48, 223–250. [Google Scholar] [CrossRef] [PubMed]
- Gibbs, J.; Turner, D.; Armstrong, W.; Sivasithamparam, K.; Greenway, H. Response to oxygen deficiency in primary maize roots. II. Development of oxygen deficiency in the stele has limited short-term impact on radial hydraulic conductivity. Funct. Plant Biol. 1998, 25, 759–763. [Google Scholar] [CrossRef]
- Barrett-Lennard, E. The interaction between waterlogging and salinity in higher plants: Causes, consequences and implications. Plant Soil 2003, 253, 35–54. [Google Scholar] [CrossRef]
- Drew, M.C. Plant injury and adaptation to oxygen deficiency in the root environment: A review. Plant Soil 1983, 75, 179–199. [Google Scholar] [CrossRef]
- Else, M.A.; Coupland, D.; Dutton, L.; Jackson, M.B. Decreased root hydraulic conductivity reduces leaf water potential, initiates stomatal closure and slows leaf expansion in flooded plants of castor oil (Ricinus communis) despite diminished delivery of ABA from the roots to shoots in xylem sap. Physiol. Plant. 2001, 111, 46–54. [Google Scholar] [CrossRef]
- Bhattarai, S.P.; Huber, S.; Midmore, D.J. Aerated subsurface irrigation water gives growth and yield benefits to zucchini, vegetable soybean and cotton in heavy clay soils. Ann. Appl. Biol. 2004, 144, 285–298. [Google Scholar] [CrossRef]
- Bhattarai, S.P.; Midmore, D.J. Oxygation enhances growth, gas exchange and salt tolerance of vegetable soybean and cotton in a saline vertisol. J. Integr. Plant Biol. 2009, 51, 675–688. [Google Scholar] [CrossRef]
- Pendergast, L.; Bhattarai, S.P.; Midmore, D.J. Benefits of oxygation of subsurface drip-irrigation water for cotton in a Vertosol. Crop Pasture Sci. 2014, 64, 1171–1181. [Google Scholar] [CrossRef]
- Chen, X.; Dhungel, J.; Bhattarai, S.P.; Torabi, M.; Pendergast, L.; Midmore, D.J. Impact of oxygation on soil respiration, yield and water use efficiency of three crop species. J. Plant Ecol. 2011, 4, 236–248. [Google Scholar] [CrossRef]
- Chen, H.; Hou, H.; Hu, H.; Shang, Z.; Zhu, Y.; Cai, H.; Qaisar, S. Aeration of different irrigation levels affects net global warming potential and carbon footprint for greenhouse tomato systems. Sci. Hortic. 2018, 242, 10–19. [Google Scholar] [CrossRef]
- Bhattarai, S.P.; Midmore, D.J.; Pendergast, L. Yield, water-use efficiencies and root distribution of soybean, chickpea and pumpkin under different subsurface drip irrigation depths and oxygation treatments in vertisols. Irrig. Sci. 2008, 26, 439. [Google Scholar] [CrossRef]
- Abuarab, M.; Mostafa, E.; Ibrahim, M. Effect of air injection under subsurface drip irrigation on yield and water use efficiency of corn in a sandy clay loam soil. J. Adv. Res. 2013, 4, 493–499. [Google Scholar] [CrossRef] [PubMed]
- Lei, H.; Bhattarai, S.P.; Balsys, R.; Midmore, D.J.; Holmes, T.; Zimmerman, W. Temporal and spatial dimension of dissolved oxygen saturation with fluidic oscillator and Mazzei air injector in soil-less irrigation systems. Irrig. Sci. 2016, 34, 421–430. [Google Scholar] [CrossRef]
- Li, Y.; Niu, W.; Dyck, M.; Wang, J.; Zou, X. Yields and nutritional of greenhouse tomato in response to different soil aeration volume at two depths of subsurface drip irrigation. Sci. Rep. 2016, 6, 1–10. [Google Scholar] [CrossRef]
- Li, Y.; Niu, W.; Xu, J.; Wang, J.; Zhang, M. Root morphology of greenhouse produced muskmelon under sub-surface drip irrigation with supplemental soil aeration. Sci. Hortic. 2016, 201, 287–294. [Google Scholar] [CrossRef]
- Ben-Noah, I.; Friedman, S. Aeration of clayey soils by injecting air through subsurface drippers: Lysimetric and field experiments. Agric. Water Manag. 2016, 176, 222–233. [Google Scholar] [CrossRef]
- Ben-Noah, I.; Friedman, S. Oxygation of clayey soils by adding hydrogen peroxide to the irrigation solution: Lysimetric experiments. Rhizosphere 2016, 2, 51–61. [Google Scholar] [CrossRef]
- Bhattarai, S.P.; Midmore, D.J.; Su, N. Sustainable irrigation to balance supply of soil water, oxygen, nutrients and agro-chemicals. In Biodiversity, Biofuels, Agroforestry and Conservation Agriculture; Springer: Dordrecht, The Netherlands, 2010; pp. 253–286. [Google Scholar]
- Chen, J.; Kang, S.; Du, T.; Qiu, R.; Guo, P.; Chen, R. Quantitative response of greenhouse tomato yield and quality to water deficit at different growth stages. Agric. Water Manag. 2013, 129, 152–162. [Google Scholar] [CrossRef]
- Rao, A.V.; Agarwal, S. Role of antioxidant lycopene in cancer and heart disease. J. Am. Coll. Nutr. 2000, 19, 563–569. [Google Scholar] [CrossRef]
- Ruiz-Altisent, M.; Lleó, L.; Riquelme, F. Instrumental quality assessment of peaches: Fusion of optical and mechanical parameters. J. Food Eng. 2006, 74, 490–499. [Google Scholar] [CrossRef]
- Toor, R.K.; Savage, G.P.; Heeb, A. Influence of different types of fertilisers on the major antioxidant components of tomatoes. J. Food Compos. Anal. 2006, 19, 20–27. [Google Scholar] [CrossRef]
- Zhu, Y.; Cai, H.; Song, L.; Chen, H. Effects of climatic factors and soil parameters on soil respiration under oxygation conditions. Nongye Jixie Xuebao 2016, 47, 223–232. [Google Scholar]
- Zhu, Y.; Cai, H.; Song, L.; Chen, H. Oxygation improving soil aeration around tomato root zone in greenhouse. Trans. Chin. Soc. Agric. Eng. 2017, 33, 163–172. [Google Scholar]
- Zhao, W.; Cai, H.; Shan, Z.; Chen, X.; Wang, J. High yield indicators of greenhouse tomato under non-pressure irrigation. Trans. Chin. Soc. Agric. Eng. 2009, 25, 16–21. [Google Scholar]
- Doorenbos, J. Guidelines for Predicting Crop Water Requirements. Irrigation Drainage Papers; Food and Agriculture organization: Rome, Italy, 1975; Volume 24. [Google Scholar]
- Klimant, I.; Meyer, V.; Kühl, M. Fiber-optic oxygen microsensors, a new tool in aquatic biology. Limnol. Oceanogr. 1995, 40, 1159–1165. [Google Scholar] [CrossRef]
- Sharma, S.; Le Maguer, M. Lycopene in tomatoes and tomato pulp fractions. Ital. J. Food Sci. 1996, 8, 107–113. [Google Scholar]
- Gao, J. Experimental Guidance for Plant Physiology; China Higher Education Press: Beijing, China, 2006. [Google Scholar]
- Spiro, R.G. Analysis of sugars found in glycoproteins. In Methods in Enzymology; Academic Press: New York, NY, USA, 1966; Volume 8, pp. 3–26. [Google Scholar]
- AOAC. Official Methods of Analysis, 15th ed.; Association of Official Analytical Chemists: Washington, DC, USA, 1990. [Google Scholar]
- Friedman, S.; Naftaliev, B. A survey of the aeration status of drip-irrigated orchards. Agric. Water Manag. 2012, 115, 132–147. [Google Scholar] [CrossRef]
- Du, Y.D.; Niu, W.Q.; Gu, X.B.; Zhang, Q.; Cui, B.J.; Zhao, Y. Crop yield and water use efficiency under aerated irrigation: A meta-analysis. Agric. Water Manag. 2018, 210, 158–164. [Google Scholar] [CrossRef]
- Ozaki, K.; Uchida, A.; Takabe, T.; Shinagawa, F.; Tanaka, Y.; Takabe, T.; Hayashi, T.; Hattori, T.; Rai, A.K.; Takabe, T. Enrichment of sugar content in melon fruits by hydrogen peroxide treatment. J. Plant Physiol. 2009, 166, 569–578. [Google Scholar] [CrossRef] [PubMed]
- Dumas, Y.; Dadomo, M.; Di Lucca, G.; Grolier, P. Effects of environmental factors and agricultural techniques on antioxidantcontent of tomatoes. J. Sci. Food Agric. 2003, 83, 369–382. [Google Scholar] [CrossRef]
- Stevens, M.A.; Rick, C.M. Genetics and breeding. In The Tomato Crop; Springer: Dordrecht, The Netherlands, 1986; pp. 35–109. [Google Scholar]
- Horchani, F.; Gallusci, P.; Baldet, P.; Cabasson, C.; Maucourt, M.; Rolin, D.; Aschi-Smiti, S.; Raymond, P. Prolonged root hypoxia induces ammonium accumulation and decreases the nutritional quality of tomato fruits. J. Plant Physiol. 2008, 165, 1352–1359. [Google Scholar] [CrossRef] [PubMed]
- Kläring, H.P.; Zude, M. Sensing of tomato plant response to hypoxia in the root environment. Sci. Hortic. 2009, 122, 17–25. [Google Scholar] [CrossRef]
- Aguilar, E.; Turner, D.; Gibbs, D.; Armstrong, W.; Sivasithamparam, K. Oxygen distribution and movement, respiration and nutrient loading in banana roots (Musa spp. L.) subjected to aerated and oxygen-depleted environments. Plant Soil 2003, 253, 91–102. [Google Scholar] [CrossRef]
- Wang, F.; Kang, S.; Du, T.; Li, F.; Qiu, R. Determination of comprehensive quality index for tomato and its response to different irrigation treatments. Agric. Water Manag. 2011, 98, 1228–1238. [Google Scholar] [CrossRef]
- Qi, H.Y.; Li, T.L.; Zhang, J.; Wang, L.; Chen, Y.H. Effects on sucrose metabolism, dry matter distribution and fruit quality of tomato under water deficit. Agric. Sci. China 2003, 11, 1253–1258. [Google Scholar]



| Treatments | First Ear | Second Ear | Third Ear | |||
|---|---|---|---|---|---|---|
| Flowering Time | Flowering Duration | Flowering Time | Flowering Duration | Flowering Time | Flowering Duration | |
| W0.6D15AI | 16.00abc 1 | 7.67a | 25.67ab | 7.00a | 31.67bcd | 8.00c |
| W0.6D15CK | 15.33ab | 6.00a | 25.00ab | 6.00a | 30.00a | 6.00a |
| W0.6D25AI | 16.00abc | 7.67a | 27.00b | 6.00a | 33.67e | 7.67bc |
| W0.6D25CK | 14.00a | 6.33a | 25.00ab | 6.00a | 31.33abc | 6.33ab |
| W0.8D15AI | 18.33cde | 7.00a | 26.00ab | 6.00a | 32.33cde | 7.67bc |
| W0.8D15CK | 16.00abc | 6.00a | 25.00ab | 6.00a | 30.33ab | 6.33ab |
| W0.8D25AI | 19.00e | 7.00a | 27.00b | 6.00a | 33.00de | 7.67bc |
| W0.8D25CK | 16.00abc | 6.33a | 25.00ab | 6.00a | 31.33abc | 6.67abc |
| W1.0D15AI | 18.67de | 6.33a | 26.00ab | 6.00a | 32.67cde | 7.67bc |
| W1.0D15CK | 16.33abcd | 6.00a | 24.33a | 6.00a | 30.33ab | 7.00abc |
| W1.0D25AI | 19.00e | 6.33a | 27.00b | 6.00a | 32.67cde | 7.67bc |
| W1.0D25CK | 17.33bcde | 6.00a | 25.00ab | 6.00a | 31.33abc | 8.00c |
| F-value | ||||||
| AI | 11.44 ** 2 | 7.61 ** | 14.74 ** | 0.586 | 35.09 ** | 9.80 ** |
| W | 6.86 ** | 1.58 | 0.038 | 0.579 | 0.015 | 1.042 |
| D | 0.026 | 0.097 | 2 | 0.586 | 5.64 * | 0.38 |
| Treatment | Dry Weight (g) | Harvest Index | |||
|---|---|---|---|---|---|
| Root | Leaf | Stem | Fruit | ||
| W0.6D15AI | 2.55ab | 28.25ab | 29.60abc | 78.53bcd | 0.5627a |
| W0.6D15CK | 2.42a | 24.03a | 24.14a | 58.08ab | 0.5270a |
| W0.6D25AI | 2.41a | 26.98ab | 26.83abc | 76.77bcd | 0.5731a |
| W0.6D25CK | 2.21a | 23.94a | 23.21a | 54.39a | 0.5155a |
| W0.8D15AI | 3.20ab | 30.19ab | 33.98bc | 80.37cd | 0.5442a |
| W0.8D15CK | 2.68ab | 27.47ab | 29.10abc | 61.65abc | 0.5125a |
| W0.8D25AI | 2.98ab | 30.96ab | 34.07bc | 78.65bcd | 0.5332a |
| W0.8D25CK | 2.55ab | 26.71ab | 26.66ab | 58.09ab | 0.5082a |
| W1.0D15AI | 3.50b | 32.84b | 35.86bc | 85.31d | 0.5429a |
| W1.0D15CK | 3.03ab | 29.92ab | 32.00abc | 68.26abcd | 0.5045a |
| W1.0D25AI | 3.13ab | 33.44b | 36.17c | 85.87d | 0.5466a |
| W1.0D25CK | 2.98ab | 28.50ab | 30.38abc | 68.79abcd | 0.5207a |
| F-value | |||||
| AI | 2.684 | 5.35 * | 8.41 ** | 22.58 ** | 5.00 * |
| W | 5.21 ** | 3.82 * | 6.34 ** | 2.19 | 0.585 |
| D | 0.922 | 0.052 | 0.473 | 0.156 | 0.001 |
| Treatments | Root Diameter (mm) | Root Length Density (cm m−3) | Root Surface Area (cm−2) | Root Volume Density (cm3 m−3) | ||||||||
|---|---|---|---|---|---|---|---|---|---|---|---|---|
| AI | CK | Mean | AI | CK | Mean | AI | CK | Mean | AI | CK | Mean | |
| W0.6 | 3.22 | 2.39 | 2.80a 1 | 1597 | 982.8 | 1289.9a | 548.5 | 364.2 | 456.4a | 15.34 | 10.99 | 13.16a |
| W0.8 | 3.35 | 2.51 | 2.93a | 1879.5 | 1264.8 | 1572.2ab | 614 | 443.3 | 528.6ab | 18.47 | 12.31 | 15.39ab |
| W1.0 | 3.51 | 2.56 | 3.04a | 2130.7 | 1641.1 | 1885.9b | 697.9 | 502.6 | 600.2b | 20.67 | 13.88 | 17.28b |
| D15 | 3.28 | 2.43 | 2.85 | 1912.1 | 1281.5 | 1596.8 | 626.4 | 437.2 | 531.8 | 18.22 | 12.12 | 15.17 |
| D25 | 3.44 | 2.55 | 2.99 | 1826 | 1311 | 1568.5 | 613.9 | 436.2 | 525 | 18.1 | 12.66 | 15.38 |
| Mean | 3.36B | 2.49A | 1869.1B | 1296.2A | 620.1B | 436.7A | 18.16B | 12.39A | ||||
| F-value | ||||||||||||
| AI | 84.2 ** | 37.21 ** | 41.60 ** | 73.01 ** | ||||||||
| W | 0.582 | 10.01 ** | 4.806 * | 4.986 * | ||||||||
| D | 0.617 | 0.043 | 0.025 | 0.031 | ||||||||
| Treatments | Yield Per Plant (g) | Number of Fruit Per Plant | Fruit Weight (g) | IWUE (g L−1) |
|---|---|---|---|---|
| W0.6D15AI | 1096.5 ± 52.6c | 11.4 ± 0.542ab | 99.0 ± 4.94bcde | 53.9 ± 2.59e |
| W0.6D15CK | 803.8 ± 42.8a | 10.7 ± 0.692a | 79.0 ± 4.43a | 39.5 ± 2.10b |
| W0.6D25AI | 1103.3 ± 40.4c | 11.8 ± 0.638ab | 102.1 ± 8.24cde | 54.2 ± 1.98e |
| W0.6D25CK | 851.4 ± 53.2a | 11.4 ± 0.995ab | 85.9 ± 8.72ab | 41.8 ± 2.61bc |
| W0.8D15AI | 1285.7 ± 43.3d | 12.4 ± 0.400ab | 106.1 ± 4.42def | 47.4 ± 1.60d |
| W0.8D15CK | 926.4 ± 46.7ab | 12.6 ± 0.751b | 80.1 ± 5.83a | 34.1 ± 1.72a |
| W0.8D25AI | 1320.2 ± 36.7d | 12 ± 0.469ab | 112.6 ± 3.91efg | 48.6 ± 1.35d |
| W0.8D25CK | 908.6 ± 46.8ab | 11.9 ± 0.645ab | 77.1 ± 1.73a | 33.5 ± 1.72a |
| W1.0D15AI | 1576.7 ± 38.6e | 13.1 ± 0.479b | 123.8 ± 4.83g | 46.5 ± 1.14cd |
| W1.0D15CK | 1016.7 ± 38.3bc | 12.6 ± 0.638b | 85.8 ± 5.91ab | 30.0 ± 1.13a |
| W1.0D25AI | 1496.3 ± 44.4e | 12.8 ± 0.463b | 120.5 ± 5.00fg | 44.1 ± 1.30bcd |
| W1.0D25CK | 1069.5 ± 57.7c | 12.7 ± 0.765b | 88.2 ± 4.71abc | 31.5 ± 1.70a |
| F-value | ||||
| AI | 156.31 ** | 0.414 | 74.88 ** | 155.21 ** |
| W | 29.60 ** | 5.28 ** | 5.083 ** | 17.54 ** |
| D | 0.036 | 0.005 | 0.339 | 0.088 |
| W × D1 | 0.202 | 0.669 | 0.247 | 0.233 |
| W × AI | 5.89 ** | 0.192 | 2.543 | 0.109 |
| D × AI | 0.595 | 0.046 | 0 | 0.407 |
| W × D × AI | 1.036 | 0.088 | 0.569 | 0.678 |
| Treatments | Lycopene (ug g−1) | VC (mg 100 g−1) | Soluble Sugar (%) | Organic Acid (%) | Sugar–Acid Ratio |
|---|---|---|---|---|---|
| W0.6D15AI | 45.38 ± 2.78e | 3.90 ± 0.33ef | 4.21 ± 0.53cd | 0.854 ± 0.060bcde | 4.97 ± 0.54cd |
| W0.6D15CK | 25.19 ± 2.15ab | 2.86 ± 0.42bcd | 3.12 ± 0.30ab | 1.017 ± 0.049f | 3.27 ± 0.45ab |
| W0.6D25AI | 46.22 ± 2.76e | 4.23 ± 0.31f | 4.93 ± 0.57d | 0.777 ± 0.059abc | 6.73 ± 0.85e |
| W0.6D25CK | 29.76 ± 2.52b | 3.18 ± 0.43cde | 3.69 ± 0.41bc | 0.978 ± 0.054ef | 3.84 ± 0.42abc |
| W0.8D15AI | 41.25 ± 1.92de | 3.93 ± 0.12ef | 3.38 ± 0.36abc | 0.934 ± 0.039def | 3.71 ± 0.45abc |
| W0.8D15CK | 24.54 ± 0.91ab | 1.97 ± 0.10a | 3.05 ± 0.27ab | 0.712 ± 0.040ab | 4.48 ± 0.53abcd |
| W0.8D25AI | 43.63 ± 1.44e | 4.07 ± 0.14f | 4.01 ± 0.34bcd | 0.869 ± 0.041cde | 4.77 ± 0.51bcd |
| W0.8D25CK | 25.21 ± 1.23ab | 2.36 ± 0.32abc | 3.31 ± 0.27abc | 0.717 ± 0.044ab | 4.73 ± 0.40bcd |
| W1.0D15AI | 35.53 ± 1.81c | 3.06 ± 0.17def | 4.01 ± 0.28bcd | 0.734 ± 0.061abc | 5.98 ± 0.72de |
| W1.0D15CK | 21.76 ± 2.17a | 2.19 ± 0.45ab | 2.43 ± 0.16a | 0.873 ± 0.072cdef | 3.01 ± 0.29a |
| W1.0D25AI | 37.01 ± 2.18cd | 3.84 ± 0.24ef | 4.26 ± 0.20cd | 0.685 ± 0.048a | 6.83 ± 0.79e |
| W1.0D25CK | 25.50 ± 1.70ab | 2.43 ± 0.37abc | 2.55 ± 0.20a | 0.831 ± 0.051abcd | 3.20 ± 0.30a |
| F-value | |||||
| AI | 163.48 ** | 63.35 ** | 28.81 ** | 1.827 | 25.998 ** |
| W | 4.6 * | 2.424 | 3.463 * | 5.358 ** | 0.308 |
| D | 1.531 | 1.684 | 3.625 | 1.732 | 4.526 * |
| Factors | Yield Per Plant (g) | Number of Fruit Per Plant | Fruit Weight (g) | IWUE (g L−1) | Lycopene (ug g−1) | VC (mg 100 g−1) | Soluble Sugar (%) | Organic Acid (%) | Sugar–Acid Ratio |
|---|---|---|---|---|---|---|---|---|---|
| Yield per plant (g) | 1 | 0.644 * | 0.962 ** | 0.454 | 0.551 | 0.604 * | 0.45 | −0.431 | 0.596 * |
| Number of fruit per plant | 1 | 0.456 | −0.258 | −0.094 | −0.131 | −0.163 | −0.641 * | 0.223 | |
| Fruit weight (g) | 1 | 0.647 * | 0.707* | 0.777 ** | 0.628 * | −0.299 | 0.661 * | ||
| IWUE (g L−1) | 1 | 0.956 ** | 0.943 ** | 0.891 ** | 0.058 | 0.609 * | |||
| Lycopene (ug g−1) | 1 | 0.948 ** | 0.844 ** | −0.047 | 0.609 * | ||||
| VC (mg 100 g−1) | 1 | 0.847 ** | 0.073 | 0.597 * | |||||
| Soluble sugar (%) | 1 | −0.257 | 0.863 ** | ||||||
| Organic acid (%) | 1 | −0.678 * | |||||||
| Sugar–acid ratio | 1 |
| Principle Components | Eigenvalue | Variance Contribution Rate (%) | Cumulative Variance Contribution Rate (%) |
|---|---|---|---|
| 1 | 5.447 | 60.521 | 60.521 |
| 2 | 2.313 | 25.701 | 86.223 |
| 3 | 0.967 | 10.743 | 96.966 |
| 4 | 0.173 | 1.921 | 98.887 |
| 5 | 0.058 | 0.639 | 99.526 |
| 6 | 0.032 | 0.353 | 99.879 |
| 7 | 0.007 | 0.081 | 99.96 |
| 8 | 0.003 | 0.037 | 99.997 |
| 9 | 0 | 0.003 | 100 |
| Factors | Principle Components | ||
|---|---|---|---|
| 1 | 2 | 3 | |
| IWUE (g L−1) | 0.985 | 0.023 | 0.009 |
| VC (mg 100 g−1) | 0.968 | 0.215 | −0.066 |
| Lycopene (ug g−1) | 0.945 | 0.168 | 0.038 |
| Soluble sugar (%) | 0.909 | −0.034 | 0.394 |
| Yield per plant (g) | 0.447 | 0.862 | 0.193 |
| Number of fruit per plant | −0.302 | 0.861 | 0.35 |
| Fruit weight (g) | 0.651 | 0.732 | 0.131 |
| Organic acid (%) | 0.085 | −0.339 | −0.924 |
| Sugar–acid ratio | 0.622 | 0.191 | 0.744 |
| Treatments | Main Factor 1 | Main Factor 2 | Main Factor 3 | Comprehensive Score | Comprehensive Ranking |
|---|---|---|---|---|---|
| W0.6D15AI | 1.1799 | −0.70252 | −0.13636 | 0.5188828 | 5 |
| W0.6D15CK | −0.17724 | −1.43581 | −1.20373 | −0.605549 | 8 |
| W0.6D25AI | 1.46025 | −0.85679 | 1.09338 | 0.7809773 | 1 |
| W0.6D25CK | 0.09878 | −0.98895 | −0.77664 | −0.27779 | 7 |
| W0.8D15AI | 0.50083 | 0.94261 | −1.44153 | 0.3905328 | 6 |
| W0.8D15CK | −1.23719 | −0.36919 | 1.14365 | −0.720801 | 11 |
| W0.8D25AI | 0.93278 | 0.54084 | −0.61529 | 0.6374322 | 4 |
| W0.8D25CK | −0.9064 | −0.95226 | 1.23719 | −0.66041 | 10 |
| W1.0D15AI | 0.3325 | 1.66496 | 0.5358 | 0.6866686 | 3 |
| W1.0D15CK | −1.43756 | 0.48576 | −0.63815 | −0.813708 | 12 |
| W1.0D25AI | 0.49425 | 1.0636 | 1.24433 | 0.7061063 | 2 |
| W1.0D25CK | −1.24089 | 0.60777 | −0.44266 | −0.642331 | 9 |
© 2020 by the authors. Licensee MDPI, Basel, Switzerland. This article is an open access article distributed under the terms and conditions of the Creative Commons Attribution (CC BY) license (http://creativecommons.org/licenses/by/4.0/).
Share and Cite
Zhu, Y.; Cai, H.; Song, L.; Wang, X.; Shang, Z.; Sun, Y. Aerated Irrigation of Different Irrigation Levels and Subsurface Dripper Depths Affects Fruit Yield, Quality and Water Use Efficiency of Greenhouse Tomato. Sustainability 2020, 12, 2703. https://doi.org/10.3390/su12072703
Zhu Y, Cai H, Song L, Wang X, Shang Z, Sun Y. Aerated Irrigation of Different Irrigation Levels and Subsurface Dripper Depths Affects Fruit Yield, Quality and Water Use Efficiency of Greenhouse Tomato. Sustainability. 2020; 12(7):2703. https://doi.org/10.3390/su12072703
Chicago/Turabian StyleZhu, Yan, Huanjie Cai, Libing Song, Xiaowen Wang, Zihui Shang, and Yanan Sun. 2020. "Aerated Irrigation of Different Irrigation Levels and Subsurface Dripper Depths Affects Fruit Yield, Quality and Water Use Efficiency of Greenhouse Tomato" Sustainability 12, no. 7: 2703. https://doi.org/10.3390/su12072703
APA StyleZhu, Y., Cai, H., Song, L., Wang, X., Shang, Z., & Sun, Y. (2020). Aerated Irrigation of Different Irrigation Levels and Subsurface Dripper Depths Affects Fruit Yield, Quality and Water Use Efficiency of Greenhouse Tomato. Sustainability, 12(7), 2703. https://doi.org/10.3390/su12072703
