Next Article in Journal
Analysis of the Patent of a Protective Cover for Vertical-Axis Wind Turbines (VAWTs): Simulations of Wind Flow
Previous Article in Journal
Research on the Transmission Ability of China’s Thermal Coal Price Information Based on Directed Limited Penetrable Interdependent Network
 
 
Font Type:
Arial Georgia Verdana
Font Size:
Aa Aa Aa
Line Spacing:
Column Width:
Background:
Article

Automotive Aftermarket Forecast in a Changing World: The Stakeholders’ Perceptions Boost!

1
Department of Business Administration, University Carlos III, 28903 Madrid, Spain
2
Department of Applied Economics, Universidad Nacional de Educación a Distancia (UNED), 28040 Madrid, Spain
*
Author to whom correspondence should be addressed.
Sustainability 2020, 12(18), 7817; https://doi.org/10.3390/su12187817
Submission received: 22 August 2020 / Revised: 18 September 2020 / Accepted: 20 September 2020 / Published: 22 September 2020
(This article belongs to the Section Economic and Business Aspects of Sustainability)

Abstract

This study presents a methodology for forecasting the medium– and long–term real revenues of the automotive post–sales service sectors, assuming the automobile industry is nowadays undergoing a deep process of transformation. There are several conditioning factors, usage as well as environmental reasons, that makes past times an unreasonable guide for a future forecast. Firstly, we estimate, using regression models, the most important variables for the automobile sector that will affect the long–term forecasts of the automotive aftermarket’s revenues. Secondly, we apply participatory methods to quantify the impact of the new conditioning factors. This is a research tool used for the Spanish automotive aftermarket. Our results indicate how stakeholders’ perceptions modulate the forecasts for those economic sectors involved in a disrupted changing business model.

1. Introduction

The automotive industry is one of the best performing sectors worldwide and it is playing an integral part in bringing growth back to the world’s economy. The global automotive industry is worth more than 1 trillion USD a year with a current rate of more than 95 million yearly units, including cars and trucks [1]. With the enormous potential of emerging markets for future growth, a glut of deals is also expected in different countries around the world over the coming years, including the European market. It is clear the automotive industry is directly impacting the economy. For instance, official estimates suggest that up to a quarter of the manufacturing jobs created in the US since 2010 are directly attributable to the recovery of the motor industry [2]. This is happening at a time where the automotive business model is undergoing a silent revolution, moving from the sale of independently owned and operated machines to on–demand, shared, autonomous, and electric transport.
In this context, there is one economic sector related to the automobile industry that has received little attention, both in theoretical and empirical economic analyses, that is growing in relevance and importance. We refer to aftermarket automotive services whose profitability has made car manufacturers themselves consider automotive post–sales as an additional business unit. There are several examples related to the importance of aftermarket automotive services [3,4,5,6,7,8,9]. This is happening in a context of fundamental changes in the way consumers repair their vehicles, buy spare parts, and access services. These changes are a sign that car manufacturers, suppliers, and retailers are adopting new business models to increase and secure future revenues and customers.
There are some big issues that are changing the aftersales market worldwide. First, there is a rise in spare parts e–commerce. Second, direct selling is continuously increasing for suppliers and original equipment manufacturers (OEMs). Third, business–to–business (B2B) sales are a battlefield between online players and traditional distributors or retailers. Finally, a recurrent question is how to integrate business–to–business (B2B) and business–to–consumer (B2C) sales models in a digital environment.
The global automotive aftermarket industry is expected to reach $722.8 billion by 2020 [10]. Today’s consumers are keeping their vehicles longer and are more aware of the importance of preventive maintenance and scheduled servicing to maximize the lifetime value of their vehicles. This rising demand for aftermarket parts and services is spurring new growth and revenue opportunities for a wide range of businesses operating in the automotive aftermarket industry.
The goal of this paper is to present a methodology on how to forecast the future of the automotive aftermarket sector, taking into account that there are a number of conditioning factors, usage as well as environmental reasons, that will make the past an unreasonable guide to estimate the future. We incorporate participatory methods, through stakeholders’ perceptions, in order to modulate the forecasts of a sector involved in a disrupted changing business model, such as automotive aftermarket.
This analysis was applied to Spain, which is the 2nd largest car manufacturer in Europe and the 11th worldwide. It is the 1st industrial vehicle manufacturer in Europe, including light vehicles. Specifically, nine multinational brands are established in Spain with their 17 manufacturing plants. In 2017, Spain represented 13.5% of the total production of cars of the European Union. Regarding registrations, it is also an important market within Europe, where it accounts for 8.2% of total EU registrations of passenger cars [11,12]. The automotive sector is crucial for the Spanish economy considering that it represents 8.6% of Spanish GDP, contributes 19.4% of total exports, and employs 9.0% of the total active population [13]. Therefore, the analysis of the Spanish automobile post–sale services sector is necessary to obtain a whole picture of its automobile industry.
The rest of the paper is organized as follows. The Section 2 describes the theoretical framework, detailing the global disrupted trends that are affecting the current business model, using stakeholders’ perceptions to analyze and quantify their impacts. The Section 3 defines the design of the empirical analysis, introducing relevant variables and sample data, and detailing the estimation strategy. The Section 4 contains the empirical results obtained. The Section 5 contains the study’s conclusions.

2. Theoretical Framework

Under the current business model, it may be stated that cars are underused, polluting machines that generate a lot of lost time and, in the end, quite dangerous [14,15,16,17,18]. Every one of these problems requires a rethinking of the automobile business model and a search for a new paradigm [14,16,19,20,21,22]. There will be changes in the sector, in some cases disruptive, that are interrelated. Electric, autonomous, shared, and interconnected cars, as well as environmental requirements, will affect the mobility model and automobile sales and post–sale services. A large part of the automobile business is carefully watching how its future trends in case it could harm the industry. However, for the paradigm to change, it will take quite a few years, if not decades, to see the final complete results, considering eventual new regulatory and environmental barriers.

2.1. The New Disrupted Trends

Global disrupted trends compel us to rethink the automobile business model and to search for a new paradigm, which must ensure mobility as well as the process that would change the sales and post–sale services sectors. Each of these trends is not only happening at the same time. Every one of them has its own contribution to the development of the rest, being intimately related. Let us see what is going on [15,17,20,21,22,23].
The shared vehicle business will change the former business model, outdating the number of sold cars instead of considering the number of kilometers traveled.
The first inefficiency we found, regarding the current automobile model, is that cars are used less than one hour per day, i.e., a usage rate of less than 4 percent. This has not materially changed in more than 100 years. However, mobile technology and relatively simple software allow usage rates that are increasing quite remarkably. The shared mobility model modifies/changes the private ownership transportation business to another one operated by a professional service, managed by large companies, dedicated to the mega–management of large fleets. This automatically transforms the business model based on B2C ownership (business–to–consumer) to shared B2B (business–to–business).
Autonomous vehicles would involve taking advantage of all the potential of shared vehicles. If those shared cars continue to be driven by people, only 50 percent to 60 percent of their potential would be captured. Logistical inefficiencies are a fact.
Autonomous vehicles will get rid of those bottlenecks since they do not require a human driver. The highest cost of a shared trip service is clearly the person behind the steering wheel. If the driver is replaced by millions of lines of code and some commoditized sensors, the savings would be spectacular. The benefits would come through the number of lives saved, increases in productivity, reductions in traffic congestion, and fuel savings.
The electric car represents the decline of the internal combustion engine. Its objective is to have sustainable transportation using clean energy. However, low gasoline prices and the lower levels of use currently dissuade the recovery of the initial cost of the electric car, which is a very important obstacle for mass adoption.
European legislation on environmental issues such as the emission of pollutants, i.e., the new objective for 2050, means a reduction in fossil fuels of 90%. Considered as a group of requirements, it regulates acceptable limits for the emissions of internal combustion gases from new vehicles sold in the member states of the European Union. These emission standards will be progressively implemented, but simultaneously they must incentivize people to scrap the old and polluting cars [24,25,26,27]. Emissions of nitrogen oxides, hydrocarbons, carbon monoxide, and other particulates are currently regulated for most types of vehicles, including automobiles. New automobiles that do not conform to this legislation are prohibited from sale in the European Union, but new regulations are not applicable to vehicles that are already on the road. The problem is that with the passage of time, they do become mandatory, as may be seen in the schedule for applying environmental legislation announced by various European cities (Paris, London, Madrid, Barcelona). That will obviously affect and disrupt the business model, encouraging the use of electric–autonomous, shared cars.

2.2. Stakeholders’ Perceptions of the Evolving Model

Before analyzing how these new trends will affect the automobile aftermarket, we present the strengths and vulnerabilities of the current business model through stakeholders’ perceptions methodology [23,28,29,30,31]. It is based on the opinion of a panel of several Spanish aftermarket car service sector experts. Although the delimitation of the automobile sales sector is very clear, this is not the case for the car post–sales services subsectors, which may be considered a transversal activity where there are very diverse and complex roles. It includes the following five groups: automobile insurance, sale of spare parts and accessories, vehicle rentals, automobile consulting, and, finally, vehicle maintenance and repair (bodywork and paint shops, and electrical, mechanical, and maintenance shops).
In order to present the strengths and vulnerabilities of the sales and post–sale sectors, we prepared a brief questionnaire for a panel of various Spanish aftermarket car service sectors experts, who belong to each one of the different aftermarket sales automotive groups: insurance, sale of spare parts and accessories, vehicle maintenance and repair, vehicle rentals, and automobile consulting. We used a Likert Scale with five levels of response. The questions asked, along with the detail of the five Likert levels of response for each one, are attached in Table A1 in data Appendix A. Table 1 contains a summary of the responses.
Both bodywork and paint shops and electrical, mechanical, and maintenance shops had a more pessimistic medium and long–term outlook. In both cases, weaknesses outweigh the strengths. Problems, such as the aging of the fleet, low technical qualifications, or the fragmentation and atomization of repair shops, overwhelmingly offset their strong points, such as quick adaptation and projected future concentration processes to improve margins and profitability. In the middle is the spare parts sector, whose outlook would be slightly optimistic. Product quality and financial strength allow them to have an optimistic outlook, despite the increase in imports of generic products and Asian competition.
Dealerships’ outlook improves in the medium– and long–term. The uncertainty surrounding autonomous and electric cars, as well as competition by independent repair shops, could lead them to be pessimistic. However, the expected increase in family mobility, as well as the brand image of dealerships in Spain, makes them optimistic for 2025, offsetting the fears associated with a change in the business model or a new paradigm.
The most optimistic sectors are undoubtedly consulting and automobile insurance. Automobile consultancies consider that the capacity for adapting, a quick response of the sector to new challenges, and inter–sector cooperation offset enough the uncertainties regarding the future, i.e., the new technologies and new usage patterns, as well as the problems that will derive from the more than necessary projected reconversion of post–sale services. From the standpoint of insurance, the specificity of the business makes them particularly optimistic: both mandatory insurance and the weakness of public transportation, especially in the rural areas, will allow them to face Asian competition and the financial weakness of small companies, even assuming that a process of increasing premiums may be beneficial to them.
We now focus on how the new disrupted trends, discussed in the previous section, will affect the automotive aftermarket. We do not have historic data that allows us to evaluate the consequences of the new conditioning usage factors. However, we have attempted to overcome that issue by using the opinions of a panel of Spanish aftermarket car service sectors experts, based on how several simulations may be performed. We will present a series of hypotheses within three scenarios: minimum (Min), neutral (N), and maximum (Max). They will evaluate the impact on certain key variables.
An estimate will be prepared with respect to electric, autonomous, shared, and interconnected cars. For each one, we will see which percentage or share they will have of the total number of registrations. We will see whether they will affect the number of registrations and/or the automobile fleet. Finally, we will calibrate the impact on revenues, considering how they will affect mobility; accidents (measured by bodywork and paint repairs); and electrical, mechanical, and maintenance repairs.
When we analyze certain legal changes associated with environmental legislation, we will attempt to estimate the annual shrinkage or deregistrations in the old fleet caused by the new environmental legislation, due to emissions of carbon dioxide, nitrogen oxides, hydrocarbons, and/or carbon monoxide. Based on those deregistrations, we will estimate how they will affect registrations and fleet. We will quantify what percentage of that shrinkage will generate new registrations, while the rest will be definitively eliminated and decrease fleets by that amount.
Table 2 includes a summary of the opinions of Spanish aftermarket car service sectors experts regarding the impact of electric vehicles, car sharing, autonomous cars, and vehicles equipped with Advanced Driver–Assistance Systems (ADAS) level 3 on the share of total registrations, as well as the impact of the legal and environmental framework on the shrinkage or annual deregistrations of fleets, 15 years old or older, in 2025 and 2030, in each of the three indicated scenarios (Min, N, and Max). Table 3 summarizes the impact of each one of these conditioning factors on the key variables of after–sales services revenues.

3. Methodology

3.1. Sample and Variables

In this section, we describe the evolution of all relevant variables used in our model. In Appendix A, Table A2 introduces the definition of the auto market variables—car registrations, accidents, mobility, repairs, and the automobile fleet—as well as the source of the data [32,33,34,35]. The data sources are, on the one hand, two official organisms, the Ministry of Development, which collects all the information related to mobility, and the Directorate General for Traffic, which publishes the accident data. On the other, two private institutions referenced in the research and data analysis on the automotive sector in Spain are MSI Sistemas de Inteligencia de Mercado, which elaborates information on vehicle registrations and the automobile fleet, and Audatex, a company belonging to the multinational group Solera, which provides data on repairs.
Figure 1 shows a framework for the analysis in this paper. We want to estimate the medium– and long–term forecasts for the automobile post–sale services sectors but introducing the future conditioning factors.
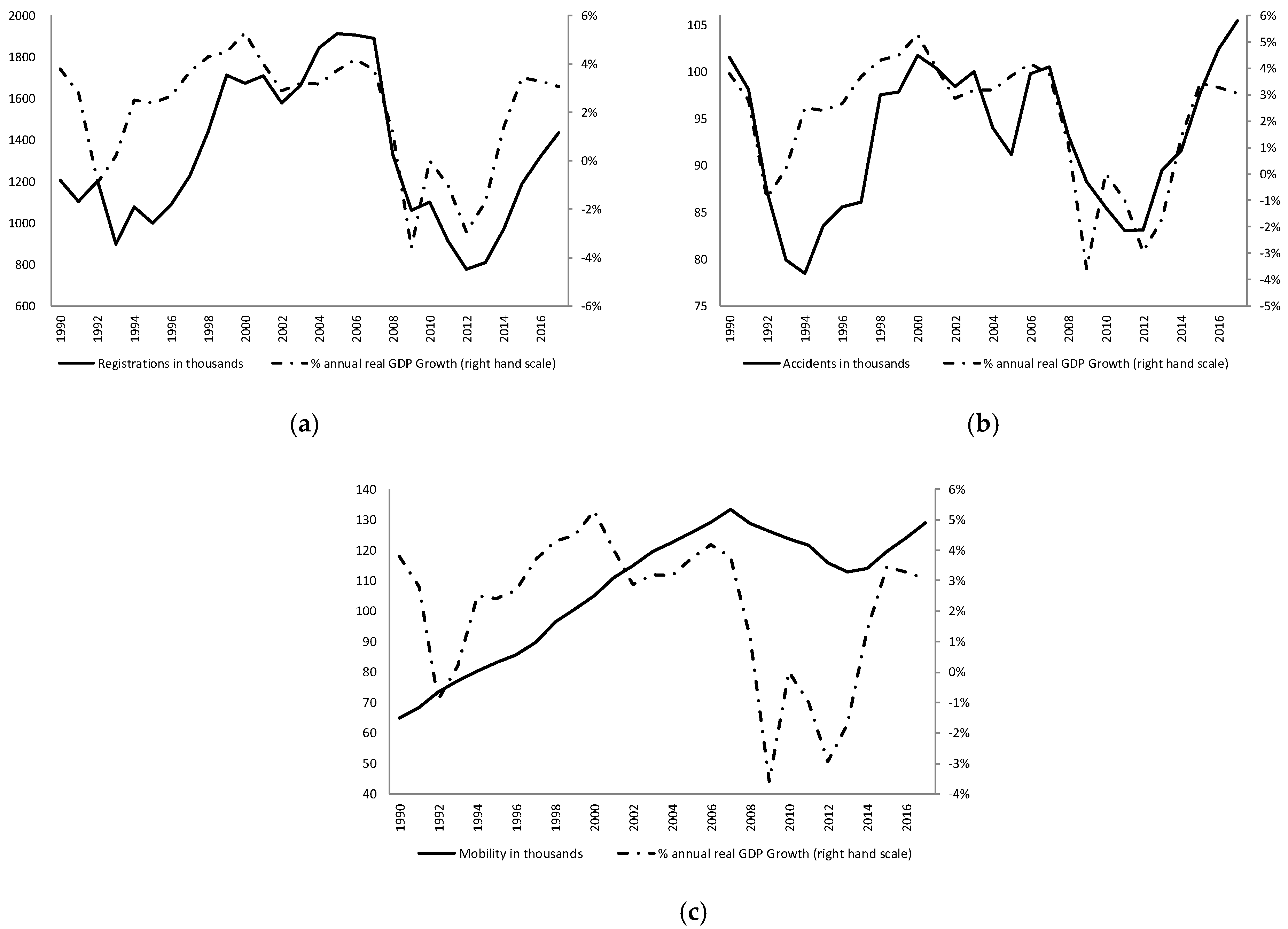
First, we introduce the Spanish automotive market variables for the period 1990–2017. See Figure 2. The number of vehicle registrations is a procyclical variable, which moves in line with the economic cycle and, furthermore, it normally moves in advance of the cycle in such a way that it grows in expansion periods (1995–1999, 2002–2006), which are the opposite of what happens in slow–down phases (2000–2002) and/or economic recessions (1990–1993, 2006–2012). On the other hand, the accident variable, which is introduced into the mobility model, and the automobile fleet, reached a peak in 2017. Finally, mobility only declines during the Great Recession (2008–2013), i.e., during a non–cyclical private balance–sheet recession [36,37], where a key variable such as total population stopped increasing, thus, began declining.
Secondly, Figure 3 introduces two additional market variables, repairs and fleet. The change over time of the number of repairs for the period 1997–2017 is introduced. This variable refers to the estimations of the total number of bodywork repairs. This is a fundamental explanatory variable for the volume of revenue in the automobile post–sale services sector. It depends, among other factors, on the number of hours invoiced and the sale of spare parts, accessories, and related products. Although accidents may provide an approximation of that information, the variable for which data is available only includes accidents with victims. The number of repairs is a procyclical variable that grows during expansion phases, in our database from 1997 to 2007, whereas they declined during the Great Recession, being a lagging indicator of the recovery that started in 2014. There are two possible reasons: first, the importance of personal disposable income and the situation of the Spanish employment market, which improved with some delay, and, second, this period matches with the reduction in the percentage of five years or younger cars, as we can see in the time evolution of the automobile fleet and its age distribution for the period 1990–2016. It is a growing series, which only reflects one year of very slight decline in 2009, although during the Great Recession it barely grew. The decline in registrations in that period gave rise to an aging of the fleet.
Now, we introduce the Spanish aftermarket car services subsectors’ revenues. The revenues time series are built from the data obtained from the National Classification of Business Activities published by the National Institute of Statistics (INE) [38,39]. The aggregate figure of revenues includes the following five subsectors: automobile insurance, sale of spare parts and accessories, vehicle rentals, automobile consulting, and vehicle maintenance and repair. See Appendix B for details about the building of revenue data. Figure 4 presents the time evolution of revenues from automobile post–sale services sectors for the period 1999–2017.
The mean annual revenues, in real terms, of car post-sales services sectors for the period 1999–2017 was 35,776 million Euros. The maximum level was reached in 2007, during the height of the real estate bubble, and the minimum in 2013, at the end of the Great Recession. Thus, post–sales services sectors’ revenues are a procyclical variable. It grew from 1999 to 2007, at a rate of 3.8%, which means practically the same as real GDP. However, the revenues from automobile post–sale services during the Great Recession declined at rates exceeding 14%, far above the fall in real GDP, which was around 1% during that period. The negative change in personal disposable income and the situation of the Spanish employment market, which improved with some delay, may explain the sharp decline in the sector in excess of the actual GDP figures.
Regarding exogenous facts, we introduce demographic variables, business cycle variables, and specific exogenous shocks in the automotive sector such as cash for clunkers programs.

3.2. Estimation Strategy

We present a methodology on how to forecast the future of an economic sector considering that there are several conditioning factors, both use and environmental reasons, that will make the past an unreasonable guide to estimate the future. Since linear regression models are based on historical information that no longer serves as a guide for the future, we will adjust the central forecast that is obtained from the estimation of such regression models through participatory methods. We conduct this study in two stages; see Figure 5. Firstly, we estimated, using historical data, both the auto–market variables that can affect the long–term forecasts of the automotive aftermarket sector (vehicle registrations, accidents, mobility, the automobile fleet, and the number of repairs) and automobile post–sale services sectors revenues. Secondly, we apply participatory methods to quantify the impact of the new conditioning usage factors. Based on the data obtained from the stakeholders’ perceptions, that is, the opinions of our panel of aftermarket car service sectors experts, which we detailed in the previous section, and that only affect registrations and total fleet, the revenues for automobile post–sale services are re–estimated for various types of vehicle fleets: fleet without assuming the existence of conditioning usage factors; autonomous and electric fleet; non–autonomous electric fleet; fleet of cars with ADAS level 3; fleet of shared cars; impact on the fleet of the legal and environmental framework; and the rest of the fleet. With these data, we re–estimate the revenue projections for the automobile post–sale services sectors to which conditioning usage factor assumptions were applied.

4. Results

4.1. First Stage of the Estimation of Explanatory Variables Using Historical Data

This section provides the details of the estimation of different time series linear regression models for vehicle registrations, accidents, mobility, the automobile fleet, the number of repairs, and automobile post–sale services sectors’ revenues. Below, we specify the simultaneous equation system we are going to use to estimate.
Ln ( Vehicle   Registrations ) t   =   α 1   +   α 2 100 Ln ( Real   GDP   per   Capita ) t   +   α 3 Unemployment   Rate t 1   +     α 4 100 ( %   Fleet >   5   years * Unemployment   Rate * %   Long   Term   Unemployment   Rate ) t   +   u 1 t
Ln ( Mobility ) t   =   β 1   +   β 2 100 Ln ( Real   GDP   per   Capita ) t   +   β 3 ( % Fleet   5   years ) t   +     β 4 ( %   Fleet   10   years ) t   +   β 5 Ln ( Total   Fleet ) t 1   +   u 2 t
Ln ( Accidents ) t   =   γ 1   +   γ 2 100 Ln ( Real   GDP   per   Capita ) t 1   +   γ 3 ( %   Fleet   5   years ) t   +   γ 4 Ln ( Mobility ) t 1   +   u 3 t
Ln ( Total   Fleet ) t   =   δ 1   +   δ 2 Ln ( Real   GDP   per   Capita ) t 1   +   δ 3 100 Ln ( Mobility ) t   +   δ 4 [ ( %   Fleet 10   years %   Fleet 5   years ) ln ( Mobility ) ] t   +     δ 5   ( Unemployment   Rate * % Long   Term   Unemployment   Rate ) t   +     δ 6 [ ( %   Fleet 10   years %   Fleet 5   years ) * Ln ( Mobility ) ] t   +   u 4 t
Ln ( Repairs ) t   =   θ 1   +   θ 2 100 ( 1 L ) Ln ( Real   GDP   per   Capita ) t   +   θ 3 ( % Fleet 5   years ) t   +   θ 4 ( % Fleet 10   years ) t   +   θ 5 Ln ( Total   Fleet ) t 1 θ 6 ( Unemployment   Rate   *   % Long   Term   Unemployment   Rate ) t   +   u 5 t
Ln ( Real   Revenues   Automobile   Post   Sales ) t   =   φ 1   +   φ 2 100 ( 1 L ) Ln ( Real   GDP   per   Capita ) t   +   φ 3 ( %   Fleet 5   years ) t   +   φ 4 ( %   Fleet 10   years ) t   +   φ 5 Ln ( Repairs ) t + u 6 t
We use both exogenous variables and auto–market ones as explanatory variables. Due to the presence of possible endogenous variables in some of the equations proposed to estimate the dependent ones, we will use the instrumental variables framework. We will conduct tests for exogeneity to detect whether variables really need to be treated as endogenous or not. The number of instruments used in the estimation of each equation is eight. They are the exogenous independent variables of each equation and those which are in the other, as well. We will also conduct tests to determine whether instruments used are or are not weak (Cragg–Donald Wald F–statistic). In the equations with endogenous variables, we will be using the generalized method of moments (GMM) instead of ordinary least square (OLS). It is the appropriate estimation method for each one of the over–identified equations of an equation system with endogenous variables. Whether we use one method or another, GMM or OLS, will mean, on the one hand, determining the explanatory variables to be used and, on the other, how they enter into the equation to be estimated—in levels, differences, or deviation rates—based on the verification, or not, of the implied assumptions that must meet the residuals of the estimated equation.
Table 4 presents the estimations using ordinary least squares (OLS) or generalized method of moments (GMM) for each one of the equations proposed for the dependent variables, that is, the number of light vehicle registrations (M1 + N1), mobility, accidents, automobile fleet, and repairs and the real revenues of automobile post–sales services sectors.
Regarding the estimation of car registrations, Equation (1), the change in real GDP per capita has a positive and significant effect [40,41,42,43,44,45,46,47,48,49]. The reason is the improvement of the economic activity. The unemployment rate delayed one period has a significant and negative effect as the economic outlook worsens [40,41,42,43,44,45,46,48]. Finally, the yearly variation of the multiplicative variable combining the age of the fleet and long–term unemployment rate is negative and significant. If the fleet ages, in a context of a worsening economic activity, new registrations are not favored.
With respect to the estimation of mobility, Equation (2), the volume, or level, of the delayed automobile fleet has a significant and positive effect [50]. The higher the volume of automobiles or light vehicles existing at the end of the preceding year, the higher the number of vehicles (thousands) that travel each year (by kilometer) on national roadways, i.e., mobility. The change in actual per capita GDP has a positive and significant effect on mobility [50,51,52]. The reason is quite obvious: the improvement in the economic situation increases mobility for business and/or recreational reasons. The percentage of the fleet that is five or fewer years old has a positive and significant effect. As the fleet becomes younger, mobility increases [50]. Conversely, if the fleet of vehicles 10 or more years old increases, the fleet becomes older and mobility decreases [50].
What about the estimation of the number of accidents, Equation (3)? The change in the real GDP per capita one year delayed has a positive and significant effect on the number of accidents [18,53,54,55]. With the improvement in the economic situation, registrations and mobility increase, and so do the number of accidents. On the other hand, the yearly variation of the percentage of the fleet five years old or younger has a positive and significant effect: when it lowers the age of the fleet, mobility increases and, therefore, so do accidents [54]. The current level of mobility, expressed in logarithms, has a positive effect on the number of accidents. The reason is obvious: the higher the mobility, the higher the probability of having an accident.
With respect to the estimation of the automobile fleet equation, Equation (4), the yearly variation of mobility has a positive effect on the fleet. When it increases, the number of vehicles (thousands) that travel each year (by kilometer) on national roadways is bigger. The level of the real GDP per capita one year delayed has a positive and significant effect on the fleet [44,45,46,48,50,51,52]. With the improvement in the economic situation, registrations and mobility increase, both for business and recreational reasons. The positive or negative sign of the multiplicative variables is, as expected, based on the hypotheses that we presented. The multiplicative variable that combines relative aging with mobility has a significant and positive effect: when there is relative aging, together with an increase in mobility, the fleet increases. The multiplicative variable that combines accidents with the percentage of the fleet 10 years or older has a significant and negative effect. The assumption that we presented is fulfilled: when accidents increase with respect to the old fleet, part of that fleet is not replaced, i.e., deregistrations will increase without new cars being purchased. The fleet will then decrease [50]. The multiplicative variable that combines the unemployment rate with the percentage of long–term unemployment is not significant.
In the estimated equation for the number of repairs, Equation (5), as expected, the delayed fleet has a positive and significant effect. The higher the fleet, the higher the mobility, which increases the probability of accidents and repairs [56]. The change in actual per capita GDP has a positive and significant effect on the number of repairs [53,54,55]. With the improvement of the economic situation, registrations and mobility increase, both for business and recreational reasons; that also increases the number of repairs. As the fleet ages, i.e., if the fleet of vehicles 10 or more years old increases, mobility decreases and so do accidents, which has a negative and significant effect on the number of repairs [54]. The coefficient that captures the lowering of the age of the fleet, percentage of vehicles of the fleet 5 years old or younger, is not significant, that is, has no effect on repairs. The mathematical sign obtained from the multiplicative variable is, as expected, based on the hypothesis introduced: the multiplicative variable that combines the unemployment rate with the percentage of long–term unemployment has a negative and significant effect, since the consolidation of long–term unemployment increases the deregistration of automobiles without new purchases being made, thereby decreasing the number of repairs.
Finally, regarding the estimation of real revenues for the automobile post–sales services sectors, Equation (6), and as was expected, the change in real GDP per capita has a positive and significant effect on the times series data of real revenues. With the improvement in the economic situation, registrations and mobility increase, both for business and recreational reasons, which increase the number of repairs [53,54,55,56]. Both the aging of the fleet and a decline in the age of the fleet have a positive and significant effect on revenues. Revenues and registrations increase due to different reasons [27,45,49,50,57,58]. The numbers of repairs enjoy a positive and significant effect since the post–sale services business increases as do possible future registrations.

Forecasting from Estimated Equations

Once the different models have been estimated, the projections for each of the relevant variables will be made. We will use the ARIMA forecasts for the exogenous independent variables’ values for the period 2018–2030. There is an exception, which is the projection of the total population and population by age. In this case, we directly use the forecasts made by the Spanish National Institute of Statistics (NIS). In the case that an explanatory variable is, in turn, one of the estimated dependent variables, we will use the forecasts deriving from the model estimated for it. Table 5 specifies the outlook for the auto–market variables and our variable of interest, that is, the automotive aftermarket revenues in 2025 and 2030. We have not included the forecast intervals given that our aim is to modify the central forecast of automotive aftermarket revenues obtained from the regression models using participatory methods under three scenarios.
The outlooks for the average real revenue volume from post–sale services in 2025 and 2030 are 44,149 million Euros and 42,200 respectively. We forecast the automotive aftermarket revenues in 2018–2030 will increase an accumulated 20.3% percent, slightly lower than real GDP, whose projections imply an accumulated increase of 23.8%. However, the forecast of the real revenues of automotive post–sales services sectors includes two different periods. We forecast an accumulated growth of the revenues for the period 2018–2025 of 25.5%, which is higher than that of the real GDP, 15.5%. However, for the period 2025–2030, we estimate a slight deceleration of the growth rate of the car post–sales sectors’ real revenues of –0.8% annually, while an annual real GDP growth rate of 1.4% for the same period is expected.

4.2. Second Stage: Stakeholder’s Perceptions of New Conditioning Factors

This section will quantify, based on the data obtained in Section 2, the fleet and registrations for the various conditioning usage factors being analyzed. The forecast of post–sale services will be calculated separately for four types of fleets (fleet without conditioning factors, autonomous and electric fleet, non–autonomous electric fleet, and the fleet of cars with ADAS level 3). In all cases, the projections will be made for three scenarios—minimum (Min), neutral (N), and maximum (Max)—taking into account the assumptions around the new usage conditions under three scenarios in Section 2. These maximum and minimum scenarios need not coincide, respectively, with the optimistic and pessimistic scenarios reflected in the projections. For example, the impact of the maximum expected car sharing is detrimental to both registrations and the carpool.

4.2.1. Registrations and Fleet Based on Different Conditioning Usage Factors

Table 6 presents car registrations and the car fleet with various conditioning usage factors. We include registrations and the fleet without taking into consideration conditioning usage factor assumptions, i.e., based on the estimated trend in accordance with past data as was done in Section 4.1. Furthermore, total registrations and fleet are presented with the conditioning usage factor assumptions taken into consideration and the percentage that they represent of the total without bearing in mind the conditioning usage factor assumptions.
The total number of registrations, including the additions deriving from the assumptions applied for new conditioning usage factors, is obtained by adding the impact of shared cars and the one derived from the impact of the legal and environmental framework to the total number of registrations without any conditioning usage factors. In 2030, they total 1,242,056 in a neutral scenario, i.e., 93.7 percent of the total without conditioning usage factors. That figure, under a pessimistic scenario, in 2030 amounts to 1,073,243, i.e., 81.0 percent of the total without conditioning usage factors, and 1,385,784 under an optimistic scenario, or 104.6 percent of the total number of registrations without taking into consideration conditioning usage factor assumptions.
If we analyze each conditioning usage factor individually, we forecast that the number of registrations under the neutral scenario, for shared cars, will total 129,204 in 2030. In the case of total autonomous cars, the figure is 193,807; and for non–autonomous electric cars, it is 129,204; while cars with ADAS level 3 will total 969,033.
The shrinkage of cars 15 years or older, due to the legal and environmental framework in the neutral scenario, is 2,882,761 units; 25 percent of them will be replaced, i.e., 720,690; and the remaining 75 percent or 2,162,071 units will be definitively deregistered. The percentage of the fleet 15 years or older notably declines between 3 percent and 12 percent, depending on the scenario. The estimated fleet in the neutral scenario with all conditioning usage factors after the shrinkage totals 30,422,470, i.e., 93.2 percent of the total fleet without conditioning usage factor assumptions.
If we analyze each conditioning usage factor individually, we forecast that the fleet under the neutral scenario in the case of shared cars will total 780,338 in 2030. In the case of total autonomous cars, the figure is 933,166; and for non–autonomous electric cars, it is 879,373; while cars with ADAS level 3 will total 8,335,321. These are very respectable figures that reveal the technological development of an economic sector such as the automotive industry, which is committed to better safety and respect for the environment.

4.2.2. Revenues in the Post–Sale Services Sector in Accordance with Various Conditioning Usage Factors

Table 7 presents the forecast for post–sale service demand separately for the various segments of the fleet. In the case of the fleet without assuming the existence of conditioning usage factors, the estimation of real revenues is the one that was presented in Section 4.1. The forecast for the different types of fleets considered (fleet of autonomous and electric vehicles, fleet of non–autonomous electric vehicles, fleet of cars with ADAS level 3, and fleet of shared cars) involves the estimation of real revenues of automobile post–sale services based on registrations and fleet, for these different types of fleets, as shown in Table 6, and their impact on the key revenue variables of post–sale services discussed in Section 2.2. For the case of the rest of the fleet, it refers to the revenues for those that do not fall within the preceding conditioning usage factors, taking into account that there has been a shrinkage of cars 15 years and older that will decrease revenues. The forecasts are based on the estimations made by experts with respect to those variables, which affect the forecasting models, defined in 2.2 and presented in Table 2 and Table 3, also considering the fleet estimates presented in Table 4.
In the neutral scenario, the smaller estimated fleet, due to all conditioning usage factors taken into consideration, generates lower revenues than excluding the assumptions conditioning usage factor, i.e., the fleet presented in the preceding section. In 2030, this represents 93.7 percent of revenue without conditioning usage factors. The reason is that even though the post–sale services and repairs are more expensive, there are fewer cars, lowering the revenue. Individually analyzed, in the neutral scenario, the total autonomous car fleet will generate post–sale services revenues totaling 1.266 billion Euros in 2030, the fleet of non–autonomous electric cars would generate 1.009 billion Euros, the fleet of cars with ADAS level 3 would generate 11.986 billion Euros, and the shared car fleet—1.044 billion Euros. The estimated shrinkage, due to the legal and environmental framework, reduces revenues in a neutral scenario by 3.688 billion Euros in 2030. In 2030, estimated revenues for the rest of the fleet in the neutral scenario is 23.206 billion Euros.
Figure 6 presents the change in the forecasts for revenues in real terms for the post–sale services sector for the period 2018–2030 in the case of non–conditioning usage factors, as was done in Section 4.1, and the total figures with conditioning usage assumptions taken into account in the three analyzed scenarios (minimum, neutral, and maximum).
With regard to the results obtained, it is worth making an assessment. Our calculations were made before COVID–19. Therefore, if the circumstances of COVID–19 were prolonged in time, the consequences in terms of mobility and environment would limit the results obtained. Very recent research [59] on the impact of COVID–19 suggests significant reductions in both car mobility and pollutant emissions.

5. Discussion and Conclusions

The automotive industry is one of the best performing sectors worldwide and is bringing growth back to the world’s economy. Within the automobile industry, the aftermarket automotive services sector has received very little attention both in theoretical and empirical analyses. However, we are in a period where the car manufacturers themselves consider automotive post–sales as an additional business unit due to their profitability. This paper’s aim is not just to offer a description of the current situation of the automotive aftermarket, but also to determine the main drivers and its outlook. For this, we must consider that the automobile industry is presently undergoing a profound process of transformation in which a series of future conditions will radically change the current business model. The aim of this paper is to achieve a medium– and long–term estimate of the real revenue volume for the automobile post–sale services sectors along the period 2018–2030, adding new future conditioning factors.
This study proposes a methodology which is conducted in two stages. Firstly, we estimate, using regression models, the most important variables for the automobile sector that can affect the long–term forecasts of the automotive aftermarket’s revenues. Based on those forecasts, we estimate the revenue projections for the automobile post–sale services sectors. Secondly, we apply participatory methods to quantify the impact of the new conditioning usage factors. The proposed methodology is based on stakeholders’ perceptions, this is, the opinions of a panel of various Spanish aftermarket car service sectors experts that will help us to evaluate the impact of the new conditioning usage factors on certain key variables (registrations; fleet; mobility; bodywork and paint repairs; and mechanical, electrical, and maintenance repairs). A series of assumptions have, therefore, been applied regarding three scenarios (minimum, neutral, and, finally, maximum). Based on the data obtained, the real revenues for automobile post–sale services are re–estimated for three scenarios (minimum, neutral, and maximum) and various types of vehicle fleets: fleet without assuming the existence of conditioning usage factors; autonomous and electric; non–autonomous electric fleet; fleet of cars with ADAS level 3; fleet of shared cars; impact on the fleet of the legal and environmental framework; and the rest.
We apply this methodology to the Spanish aftermarket automotive service sectors. On the one hand, Spanish aftermarket automotive services is a business activity that has never been treated in an integral manner, despite its enormous economic and social importance in Spain, which is revealed by the more than 40,000 repair shops that make possible for cars to operate and the more than 133,000 jobs created. On the other hand, we have enough historical data provided by Spanish car sales and post–sales services sectors’ members, as well as available sources of information from public entities, specifically the Spanish National Institute of Statistics.
Our results indicate stakeholders’ perceptions modulate the forecasts for those economic sectors involved in a disrupted changing business model. Using historical data, we forecast a recovery of the real revenue volume of the Spanish automobile post–sale services sectors during the period 2018–2025, exceeding the maximum level reached in 2007 during the period of maximum exuberance surrounding the housing market. In the period 2025–2030, the estimation is that there will be a slight deceleration. However, when we incorporate the new conditioning usage factors through participatory methods, the new estimates of such real revenues give rise to some slight downward deviations compared to the estimates obtained for the fleet without conditioning usage factors.
This methodology can be applied to all those economic sectors involved in a disrupted changing business model. For future research, certain limitations should be considered. If the circumstances of COVID–19 were to be prolonged in time, their consequences, both on mobility and environment, would limit the results obtained. Due to this uncertainty, and once we dispose of additional data, the accuracy of the experts’ opinions could be assessed and, if necessary, adjusted to improve the proposed methodology.

Author Contributions

Both the authors collaborated in the development of all the parts of this work with similar levels of effort. J.L. wrote the manuscript and M.J.M. revised this writing. Both authors have read and approved the final manuscript.

Funding

We gratefully acknowledge funding from the Spanish Ministry of Science, Innovation and Universities and FEDER through Grant RTI–2018–099403–B–I00 and the Spanish Ministry of Education and Science through Grant ECO2017–82445–R.

Acknowledgments

We wish to thank AfterMarket Club, but we are solely responsible for any errors that may remain.

Conflicts of Interest

The authors declare no conflict of interest.

Appendix A

Table A1. Questionnaire for a panel of Spanish aftermarket car experts, by sector.
Table A1. Questionnaire for a panel of Spanish aftermarket car experts, by sector.
  • Are you optimistic or pessimistic regarding the medium– and long–term change in your sector? Indicate on a scale of 1 to 5 (1 = very pessimistic, 5 = very optimistic).
2.
Which aspects concern you more in the medium and long term? Legal, environmental, technological, consumer behavior, economic cycle, credit cycle? For each, indicate on a scale of 1 to 5 (1 = not concerned at all, 5 = very concerned).
3.
What are the biggest vulnerabilities in the sector? Indicate the factors that most concern you.
4.
What are the biggest strengths in the sector? Indicate the most positive factors.
5.
Where do you see the sector in 2020–2025? On a scale of 1 to 5, where 1 would be a sector in sharp decline and 5 a sector in vigorous expansion, indicate your opinion.
Table A2. The auto–market variables determinants of car after–sales business.
Table A2. The auto–market variables determinants of car after–sales business.
VariableDefinitionSource of DataDisposable Period
Vehicle registrationsIt refers to light vehicles, i.e., cars and SUVs (N1) and vehicles that weigh less than 3500 kg (M1).MSI Market Intelligence Systems https://msiberia.org/ [35]1990–2017
AccidentsIt refers to the number of accidents with victims (dead and injured) on roadways and in urban areas.The Directorate General for Traffic (DGT) www.dgt.es [33]1990–2017
MobilityIt reflects the number of vehicles, in thousands, that travel each year (by kilometer) on national roadways and constitutes a good approximation of the number of kilometers traveled.The Annual Statistical Summaries prepared by the Ministry of Development www.fomento.es [34]1990–2017
RepairsThis variable makes reference to the estimations of the total number of bodywork repairs. Audatex, a company pertaining to the international group Solera www.solerainc.es [32]1997–2017 a
Automobile FleetIt is the group of automobiles existing in Spain, which are understood to be light vehicles, i.e., the sum of cars plus SUVs (N1) and vehicles that weigh less than 3500 kg (M1).MSI Market Intelligence Systems https://msiberia.org/ [35]1990–2017
a We assume that using the historical data of bodywork repairs we may approximate the total number of repairs, including mechanical, electrical, and maintenance repairs. This is due to the fact that bodywork repairs, as a percentage of total repairs, remain stable over time. The available data lead us to infer that the number of bodywork and painting repairs represents approximately 25 percent of total mechanical, electrical, and maintenance repairs.

Appendix B

Construction of Revenues Data Time Series

The revenues time series are constructed from the data obtained from the National Classification of Business Activities (NCBA) covering the period 1999–2017. The aggregate figure includes the following five sectors: Automobile insurance, sale of spare parts and accessories, vehicle rentals, automobile consulting, and vehicle maintenance and repair. Two considerations should be taken into account.
-
Firstly, the NCBA data are nominal, but we are interested in real–term forecasts to estimate the change in the sector. The reason is very simple: if we were working with nominal data, we would not know what percentage of revenue development is due to prices and which part is due to amounts. Conversely, in real terms, we would have the change in the sector discounting the effect of crisis. We, therefore, deflate the nominal revenue series using the GDP deflator with a base of 100 in 2010. We have, therefore, made the series homogeneous, expressing revenue values in 2010 Euros.
-
Secondly, the annual NCBA accounts prepared by the Spanish National Institute of Statistics always come with a two–year delay, i.e., the latest data available correspond to 2016. However, the explanatory variables that we will use to forecast actual revenues are available up until 2017. What we will do for 2017 is use the projection deriving from an ARIMA time series data model.

References

  1. International Organization of Motor Vehicles Manufacturers (OICA). Facts and Figures, Sales and Production Statistics 2018. Available online: www.oica.net/ (accessed on 21 September 2020).
  2. U.S. Bureau of Labour Statistics. Employment Situation, Several Years. Available online: https://www.bls.gov/opub/ (accessed on 21 September 2020).
  3. Cohen, M.A.; Lee, H.L. Out of Touch with Customer Needs? Spare Parts and After Sales Service. MIT Sloan Manag. Rev. 1990, 31, 55–66. [Google Scholar]
  4. Cohen, M.A.; Agrawal, N.; Agrawal, V. Winning in the Aftermarket. Harv. Bus. Rev. 2006, 84, 129–138. [Google Scholar]
  5. Saccani, N.; Songini, L.; Gaiardelli, P. The Role and Performance Measurement of After Sales in the Durable Consumer Goods Industries: An Empirical Study. Int. J. Product. Perform. Manag. 2006, 55, 259–283. [Google Scholar] [CrossRef]
  6. Brabazon, P.; MacCarthy, B. Investigating along tail in retail vehicle sales. Omega 2012, 40, 302–313. [Google Scholar] [CrossRef]
  7. Wells, P.; Nieuwenhuis, P. Transition failure: Understanding Continuity in the Automotive Industry. Technol. Forecast. Soc. Chang. 2012, 79, 1681–1692. [Google Scholar] [CrossRef]
  8. González, E.; Cárcaba, A.; Ventura, J. How car dealers adjust prices to reach the product efficiency frontier in the Spanish automobile market. Omega 2014, 51, 38–48. [Google Scholar] [CrossRef]
  9. Oliveira, B.B.; Carravilla, M.A.; Oliveira, J.F. Fleet and revenue management in car rental companies: A literature review and an integrated conceptual framework. Omega 2017, 71, 11–26. [Google Scholar] [CrossRef]
  10. V12DATA. A Look at Trends and Statistics in the Automotive Aftermarket Industry, V12DATA Automotive Blog. 2018. Available online: https://v12data.com/blog/a–look–at–trends–and–statistics–in–the–automotive–aftermarket–industry–2017/ (accessed on 21 September 2020).
  11. ICEX. Spain–Automotive Industry and Electro Mobility. 2014. Available online: http://www.investinspain.org/invest/wcm/idc/groups/public/documents/documento/mde0/mjyw/~edisp/doc2014260495.pdf (accessed on 21 September 2020).
  12. European Automobile Manufacturers Association (ACEA). The Automobile Industry Pocket Guide. 2018. Available online: https://www.acea.be/publications/article/acea–pocket–guide (accessed on 21 September 2020).
  13. Asociación Nacional de Fabricantes de Automóviles y Camiones (ANFAC). Several Years. Available online: https://anfac.com/ (accessed on 21 September 2020).
  14. Moriarty, P.; Honnery, D. Low–Mobility: The future of Transport. Futures 2008, 40, 865–872. [Google Scholar] [CrossRef]
  15. Beck, M.J.; Rose, J.M.; Hensher, D.A. Environmental Attitudes and Emissions Charging: An example of Policy Implications for Vehicle Choice. Transp. Res. A 2013, 50, 171–182. [Google Scholar] [CrossRef]
  16. Anowar, S.; Eluru, N.; Miranda–Moreno, L.F. Alternative Modelling Approaches Used for Examining Automobile Ownership: A Comprehensive Review. Transp. Rev. 2014, 34, 441–473. [Google Scholar] [CrossRef]
  17. Morgan Stanley. Autos & Shared Mobility. Global Investment Implications of Auto 2.0; Bluepaper Morgan Stanley Research: New York, NY, USA, 2016. [Google Scholar]
  18. Al–Madani, H.M.N. Global Road Fatality Trends’ Estimations Based on Country–Wise Micro Level Data. Accid. Anal. Prev. 2018, 111, 297–310. [Google Scholar] [CrossRef] [PubMed]
  19. Schafer, A.; Victor, D. The Future Mobility of the World Population. Transp. Res. A 2000, 34, 171–205. [Google Scholar] [CrossRef]
  20. Fredrick, C.; Olof, J.-S. Costs and Benefits of Electric Vehicles. J. Transp. Econ. Policy 2003, 37, 1–28. [Google Scholar]
  21. Epprecht, N.; Von Wirth, T.; Stünzi, C.; Blumer, Y.B. Anticipating transitions beyond the current mobility regimes: How acceptability matters. Futures 2014, 60, 30–40. [Google Scholar] [CrossRef]
  22. Athanasopouloua, A.; de Reuvera, M.; Nikoub, S.; Bouwmana, H. What technology enabled services impact business models in the automotive industry? An exploratory study. Futures 2019, 109, 73–83. [Google Scholar] [CrossRef]
  23. Malender, L. Scenario Development in Transport Studies: Methodological Considerations and Reflections on Delphi Studies. Futures 2018, 96, 68–78. [Google Scholar] [CrossRef]
  24. Moral, M.J. The withdrawal of automobiles in Spain: An application of duration models. Investig. Económicas 1998, XXII, 225–258. [Google Scholar]
  25. Miravete, E.J.; Moral, M.J.; Vitorino, M. Emission–Blind Flat Rebates and the Diffusion of Diesel Vehicles in Europe; Mimeo, UNED: Madrid, Spain, 2016. [Google Scholar]
  26. London, M. Proposal for a National Vehicle Scrappage Fund; Mimeo: London City Hall, UK, 2017. [Google Scholar]
  27. Laborda, J.; Moral, M.J. Scrappage by age: Cash for Clunkers matters! Transp. Res. A 2019, 124, 488–504. [Google Scholar] [CrossRef]
  28. Schunn, C.D.; Crowley, K.; Okada, T. The growth of multidisciplinarity in the Cognitive Science Society. Cogn. Sci. 1998, 22, 107–130. [Google Scholar] [CrossRef]
  29. Uiterkamp, A.J.M.S.; Vlek, C. Practice and Outcomes of Multidisciplinary Research for Environmental Sustainability. J. Soc. Issues 2007, 63, 175–197. [Google Scholar] [CrossRef]
  30. Reed, M.S. Stakeholder Participation for Environmental Management: A Literature Review. Biol. Conserv. 2008, 141, 2417–2431. [Google Scholar] [CrossRef]
  31. Blondet, M.; de Koning, J.; Borrass, L.; Ferranti, F.; Geitzenauer, M.; Weiss, G.; Turnhout, E.; Winkel, G. Participation in the implementation of Natura 2000: A comparative study of six EU member states. Land Use Policy 2017, 66, 346–355. [Google Scholar] [CrossRef]
  32. Audatex. Bodywork Repair Data (Several Years). Available online: https://www.solerainc.es/ (accessed on 21 September 2020).
  33. The Directorate General for Traffic (DGT). Micro–Data Regarding Deregistrations and fleet (Several Years). Available online: https://www.dgt.es (accessed on 21 September 2020).
  34. Ministry of Development. Statistical Annual Summary (Several Years). Sub–Directorate General for Highway Operations and Network Management. Available online: www.fomento.es (accessed on 21 September 2020).
  35. MSI Market Intelligent Systems. Data Regarding Registrations, Fleet and Deregistrations (Several Years). Available online: https://msiberia.org/ (accessed on 21 September 2020).
  36. Koo, R. The Holy Grail of Macroeconomics: Lessons from Japan’s Great Recession; John Wiley & Sons: Singapore, 2009. [Google Scholar]
  37. Koo, R. The Escape from Balance Sheet Recession and the QE Trap; John Wiley & Sons: Singapore, 2015. [Google Scholar]
  38. National Statistics Institute (INE). National Classification of Business Activities (CNAE 2009 and NACE rev.2), Several Years. Available online: https://www.ine.es/dyngs/INEbase/en/operacion.htm?c=Estadistica_C&cid=1254736177032&menu=ultiDatos&idp=1254735976614 (accessed on 21 September 2020).
  39. National Statistics Institute (INE). Annual Services Survey: Methodology, Several Years. Available online: www.ine.es (accessed on 21 September 2020).
  40. Bhat, C.R.; Koppelman, F.S. An endogenous switching simultaneous equation system of employment, income, and car ownership. Transp. Res. A 1993, 27, 447–459. [Google Scholar] [CrossRef]
  41. Greenspan, A.; Darrel, C. Motor vehicle stocks, scrappage, and sales. Rev. Econ. Stat. 1999, 81, 369–383. [Google Scholar] [CrossRef]
  42. Kermanshah, M.; Ghazi, F. Modelling automobile ownership decisions: A disaggregate approach. Sci. Iran. 2001, 8, 29–37. [Google Scholar]
  43. Dargay, J.M. Determinants of car ownership in rural and urban areas: A pseudo–panel analysis. Transp. Res. E 2002, 38, 351–366. [Google Scholar] [CrossRef]
  44. Medlock, K.B.; Soligo, R. Car ownership and economic development with forecasts to the year 2015. J. Transp. Econ. Policy 2002, 36, 163–188. [Google Scholar]
  45. De Jong, G.; Fox, J.; Daly, A.; Pieters, M.; Smit, R. Comparison of Car Ownership Models. Transp. Rev. 2004, 24, 379–408. [Google Scholar] [CrossRef]
  46. Clark, S.D. Estimating Local Car Ownership Models. J. Transp. Geogr. 2007, 15, 184–197. [Google Scholar] [CrossRef]
  47. Whelan, G. Modelling Car Ownership in Great Britain. Transp. Res. A 2007, 41, 205–219. [Google Scholar] [CrossRef]
  48. Gao, S.; Mokhtarian, P.L.; Johnston, R.A. Exploring the Connections Among Job Accessibility, Employment, Income, and Auto Ownership Using Structural Equation Modeling. Ann. Reg. Sci. 2008, 42, 341–356. [Google Scholar] [CrossRef]
  49. Bhat, C.R.; Sen, S.; Eluru, N. The Impact of Demographics, Built Environment Attributes, Vehicle Characteristics, and Gasoline Prices on Household Vehicle Holdings and Use. Transp. Res. B 2009, 43, 1–18. [Google Scholar] [CrossRef]
  50. Woo, Z. Transport energy demand modelling of South Korea using artificial neural network. Energy Policy 2011, 39, 4644–4650. [Google Scholar]
  51. Mohamad, D.; Sinha, K.; Kuczek, T.; Scholer, C. Annual Average Daily Traffic Prediction Model for County Roads. Transp. Res. Rec. 1998, 1617, 69–77. [Google Scholar] [CrossRef]
  52. Burón, J.M.; Aparicio, F.; Izquierdo, O.; Gómez, A.; López, I. Estimation of the input data for the prediction of road transportation emissions in Spain from 2000 to 2010 considering several scenarios. Atmos. Environ. 2005, 39, 5585–5596. [Google Scholar] [CrossRef]
  53. Reinfurt, D.W.; Stewart, J.R.; Weaver, N.L. The Economy as a Factor in Motor Vehicle Fatalities, Suicides, and Homicides. Accid Anal. Prev. 1991, 23, 453–462. [Google Scholar] [CrossRef]
  54. Srinivasan, K. Injury Severity Analysis with Variable and Correlated Thresholds: Ordered Mixed Logit Formulation. Transp. Res. Rec. 2002, 1784, 132–141. [Google Scholar] [CrossRef]
  55. Kopits, E.; Cropper, M. Traffic Fatalities and Economic Growth. Accid. Anal. Prev. 2005, 37, 169–178. [Google Scholar] [CrossRef]
  56. Broughton, J. Forecasting Road Accident Casualties in Great Britain. Accid. Anal. Prev. 1991, 23, 353–362. [Google Scholar] [CrossRef]
  57. Gilbert, C.C.S. A Duration Model of Automobile Ownership. Transp. Res. B 1992, 26, 97–114. [Google Scholar] [CrossRef]
  58. Woldeamanuel, G.; Cyganski, R.; Schulz, A.; Justen, A. Variation of Households’ Car ownership Across Time: Application of a Panel Data Model. Transportation 2009, 36, 371–387. [Google Scholar] [CrossRef]
  59. Jiang, P.; Fu, X.; Fan, Y.V.; Klemes, J.J.; Chen, P.; Ma, S.; Zhang, W. Spatial–temporal potential exposure risk analytics and urban sustainability impacts related to COVID–19 mitigation: A perspective from car mobility behaviour. J. Clean. Prod. 2020, 279, 123673. [Google Scholar] [CrossRef] [PubMed]
Figure 1. Overall approach and framework.
Figure 1. Overall approach and framework.
Sustainability 12 07817 g001
Figure 2. Spanish auto–market variables 1990–2017: (a) registrations M1+N1; (b) accidents; (c) mobility.
Figure 2. Spanish auto–market variables 1990–2017: (a) registrations M1+N1; (b) accidents; (c) mobility.
Sustainability 12 07817 g002
Figure 3. Spanish auto–market variables: (a) automobile fleet and its age (1990–2017); (b) bodywork repairs (1997–2017).
Figure 3. Spanish auto–market variables: (a) automobile fleet and its age (1990–2017); (b) bodywork repairs (1997–2017).
Sustainability 12 07817 g003
Figure 4. Real revenues of Spanish automotive aftermarket: 1999–2017 (in millions of Euros).
Figure 4. Real revenues of Spanish automotive aftermarket: 1999–2017 (in millions of Euros).
Sustainability 12 07817 g004
Figure 5. Two–stage estimation and forecasting strategy.
Figure 5. Two–stage estimation and forecasting strategy.
Sustainability 12 07817 g005
Figure 6. Forecasting automotive aftermarket’s real revenues: 2018–2030.
Figure 6. Forecasting automotive aftermarket’s real revenues: 2018–2030.
Sustainability 12 07817 g006
Table 1. The opinion of experts: 2025 outlook, strengths, and weaknesses.
Table 1. The opinion of experts: 2025 outlook, strengths, and weaknesses.
2025 IndexStrengthsWeaknesses
– Technology
– Fleet aging
Repair Shops, Bodywork Shops, and Painting1– Restructuring of the sector: fewer but more profitable– Relationships with insurers
– Fragmentation
– Low technical qualification
– Low profitability
– Capacity to adapt– Aging of the fleet
Electronical and Maintenance Shops2– Access to top–tier manufacturer technology– Little consumer orientation
– Product quality– Imports of generics
Spare Parts3– Financial strength– Competition of non–original equipment
– More family mobility– Deregulation of sales
– First contact with customer– Electric/Autonomous car
Dealerships4– Brand image– Network of independent repair shops
– Capacity to adapt– Reconversion of post–sales services
– Very quick response– New technologies
Post–Sale Consulting5– Inter–sector cooperation– New usage patterns
– Competition from other operators (Amazon, Google, …)
– Regulation (mandatory insurance) and state control (Dirección General de Seguros (DGS))– Premiums’ insufficiency
Insurance4– Weakness of public transport– Financial weakness of small companies
Note: A Likert scale with 5 levels of response has been used. See Table A1 of Appendix A for detailed information.
Table 2. Impact of the new conditioning used factors: quota in % of total registrations and % annual deregistrations. Fleet ≥ 15 years.
Table 2. Impact of the new conditioning used factors: quota in % of total registrations and % annual deregistrations. Fleet ≥ 15 years.
Quota in % of Total Registrations
2025 Scenarios2030 Scenarios
MinimumNeutralMaximumMinimumNeutralMaximum
Electric Car5.0%10.0%15.0%15.0%25.0%35.0%
Car Sharing2.5%5.0%10.0%5.0%10.0%20.0%
Autonomous Car2.0%5.0%7.5%10.0%15.0%20.0%
ADAS Level 340.0%55.0%70.0%70.0%75.0%80.0%
% Annual Deregistrations Fleet ≥ 15 Years Old
2025 Scenarios2030 Scenarios
MinimumNeutralMaximumMinimumNeutralMaximum
Legal and Environment2.5%5.0%10.0%5.0%10.0%20.0%
Note: In 2013, the National Highway Transportation Safety Administration (NHTSA) in the United States defined five different levels for ADAS: Level 0: This is the most basic level. A human driver controls everything: steering, brakes, accelerator, clutch, etc.; Level 1: At this level, most functions are still controlled by the driver, but some (such as breaking) may be performed automatically by the car (for example, adaptive cruise control); Level 2: A level 2, the vehicle is auto–piloted for more than one function, for example, control of accelerator and brakes and directional control. The driver must perform the rest of the functions; Level 3: Drivers continue to be necessary at level 3, but cars are capable of completely changing some critical functions for the safety of the vehicle in certain traffic or environmental conditions. The driver must be present in case the vehicle requests that he/she take control; Level 4: This is what is understood to be “high automation”. At level 4, the vehicles are designed to carry out all critical driving functions for safety and control roadway conditions for the trip in some driving modes; Level 5: This refers to a completely autonomous vehicle. It performs all functions in all driving modes in the same way that a human would. It can also be driven by a human.
Table 3. The impact of the conditioning factors on the key variables of automotive after–sales services revenues.
Table 3. The impact of the conditioning factors on the key variables of automotive after–sales services revenues.
RegistrationsTotal FleetMobility Bodywork Shops and PaintingMechanical, Electrical, and Maintenance Shops
Electric CarIt does not affectIt does not affectIt does not affectIt does not affectDecreases 70%
They are going down.
For each car shared, theGo down.
demand for 2 private carsReason: drop in
Car Sharingis eliminatedregistrationsIt does not affectIt does not affect40% increase in shared fleet
Decreases by 70% Increases by 40% as breakdowns
Autonomous CarIt does not affectIt does not affectIt does not affectfor fewer crashesare more expensive
Decreases by 35% Increases by 20% as breakdowns
Car with ADAS Level 3It does not affectIt does not affectIt does not affectdue to fewer shocksare more expensive
It increases in 25% of the fleet’s
Legal andIt increases in 25% of the deregistrations but it decreasesIt does not affectIt does not affectIt does not affect
Environmentalfleet’s deregristrationsby the remaining 75%
Table 4. Estimation of automotive market variables and aftermarket revenues.
Table 4. Estimation of automotive market variables and aftermarket revenues.
Method: Ordinary Least Square (OLS) or Generalized Method of Moments (GMM)
Dependent Variable
Ln(vehicle registrations)tLn(mobility)tLn(accidents)tLn(car fleet)tLn(repairs)tLn(revenues post–sales)t
Explicative VariablesCoefficientt–ratioCoefficientt–ratioCoefficientt–ratioCoefficientt–ratioCoefficientt–ratioCoefficientt–ratio
Constant14.612223.864 ***–7.001(19.181) ***9.39225.669 ***2.3871.981 *7.0243.486 **–6.287(19.181) ***
Economic Cycle
 Change in Real GDP per Capitat = 100 * (1–L) * Ln(Real GDP per Capita)t0.0514.726 ***0.0145.767 *** 0.0071.731 *0.0111.9751 *
 Change in Real GDP per Capitat–1 = 100 * (1–L) * Ln(Real GDP per Capita)t–1 0.0072.928 ***
 Ln(Real GDP per Capita)t–1 1.49512.961 ***
 Unemployment Ratet–1–0.035(11.365)***
Automotive Market
 (1–L)*( % Fleet 5 years or less)t 2.8849.282 ***
 % Fleet 5 years old or lesst 0.60912.066 *** –0.026(0.139)0.0730.507
 % Fleet 10 years or oldert –0.378(15.301)*** –0.581(4.102) ***0.4312.898 ***
 Ln(mobility)t–1 0.1785.658 ***
 Change in mobilityt = 100 * (1–L) * Ln(mobility)t 0.0064.608 ***
 Ln(Car Fleet)t–1 1.10750.515 *** 0.5124.319 ***
 Ln(Repairs)t 1.0778.153 ***
Multiplicative Effects
 (% Fleet 10 years or older – % Fleet 5 years or younger)t * Ln(mobility)t 0.0936.698 ***
 (Unemployment rate * % long–term unemployment)t –0.001(0.268)–0.018(2.334) **
 (% Fleet 10 years or older * ln(accidents))t –0.114(6.821) ***
 (1–L) * (% Fleet older than 5 years* Unemployment rate*
 * %long–term unemployment)t
–0.055(2.372) ***
MethodOLSGMMOLSOLSOLSOLS
F–statistic75.841 *** 1125.132 *** 72.274 *** 1434.532 *** 163.621 *** 21.628 ***
J–statistic 2.7603.7921.7012.3513.341
Weak Instrument Diagnosis (Cragg–Donald Wald F–statistic) 4456.003 ***584.735 ***2.745211.222 ***45.680 ***
Endogeneity Test (Difference in J–statistic) 2.7568 *0.397 1.3811.4701.081
Note: t refers time; (***) significant coefficient at 1%; (**) significant coefficient at 5%; (*) significant coefficient at 10%.
Table 5. Projections of the auto–market variables and aftermarket revenues from results obtained in Table 4: 2025 and 2030.
Table 5. Projections of the auto–market variables and aftermarket revenues from results obtained in Table 4: 2025 and 2030.
Variable20252030
Car Registrations1,324,8851,292,044
Mobility163,740159,359
Accidents100,678102,120
Automobile Fleet34,042,32032,644,688
Number of Repairs6,411,3405,655,092
Automotive Aftermarket Revenues (in millions of Euros)44,14942,200
Note: In Appendix A, Table A2 contains the definitions of the auto–market variables determinants of car after–sales business.
Table 6. Forecasting registrations and fleets in units according to different conditioning of use.
Table 6. Forecasting registrations and fleets in units according to different conditioning of use.
Registrations in UnitsTotal Fleet in Units
Scenarios Scenarios
YearMinimumNeutralMaximumYearMinimumNeutralMaximum
Total Cars without Considering New Conditions of Use2025 1,324,885 2025 34,042,320
2030 1,292,044 2030 32,644,688
Shared Car Impact2025–132,489–66,244–33,1222025–527,165–263,583–131,791
2030–258,409–129,204–64,6022030–1,560,675–780,338–390,169
Autonomous Cars202526,49866,24499,366202582,131222,804337,118
2030129,204193,807258,4092030521,162933,1661,305,859
Non–Autonomous Electric Cars202539,74766,24499,3662025181,452362,618628,397
203064,602129,204193,8072030452,783879,3731,403,530
Cars with ADAS Level 32025529,954728,687927,42020252,807,7314,006,2705,204,808
2030904,431969,0331,033,63520306,554,5568,335,32110,116,086
Legal and Environmental Framework Impact202519,59439,18978,3782025–1,938,345–969,172–484,586
203039,60879,216158,4332030–4,324,141–2,162,071–1,081,035
Autonomous Cars + Non–Autonomous Electric Cars +2025596,198861,1751,126,15220253,071,3144,591,6916,170,324
Cars with ADAS Level 320301,098,2371,292,0441,485,85020307,528,50210,147,86012,825,474
Total Cars with Considering New Conditions of Use20251,211,9911,297,8301,370,141202532,222,92533,132,62333,587,472
20301,073,2431,242,0561,385,874203028,201,25130,422,97031,533,829
Index 1202591.5%98.0%103.4%202594.7%97.3%98.7%
203081.0%93.7%104.6%203086.4%93.2%96.6%
1 Index = (Total Cars with Hypothesis/Total Cars without Hypothesis).
Table 7. Forecasting automotive aftermarket real revenues in different scenarios.
Table 7. Forecasting automotive aftermarket real revenues in different scenarios.
Automotive Aftermarket Revenues in Real Terms (Million Euros)
Scenarios
YearMaximumNeutralMinimum
Fleet without Considering New Conditions of Use2025 44,149
2030 42,200
Fleet of Shared Cars2025175343691
203052910442070
Fleet of Autonomous Cars2025107293446
203069412661803
Fleet of Non–Autonomous Electric Cars2025229445744
203055010091509
Fleet of Cars with ADAS Level 32025381455437333
2030927811,98614,774
Impact on Fleet Cars Due to Legal and Environmental Framework2025–3859–1973–998
2030–7054–3688–1886
Rest of the Car Fleet202535,96535,55133,937
203024,09523,20620,158
Total Fleet with Considering New Conditions of Use202540,46642,51943,842
203035,67439,55642,383
Index 100 (Total Fleet with Hypothesis/Total Fleet without Hypothesis)202591.7%96.3%99.3%
203084.5%93.7%100.4%

Share and Cite

MDPI and ACS Style

Laborda, J.; Moral, M.J. Automotive Aftermarket Forecast in a Changing World: The Stakeholders’ Perceptions Boost! Sustainability 2020, 12, 7817. https://doi.org/10.3390/su12187817

AMA Style

Laborda J, Moral MJ. Automotive Aftermarket Forecast in a Changing World: The Stakeholders’ Perceptions Boost! Sustainability. 2020; 12(18):7817. https://doi.org/10.3390/su12187817

Chicago/Turabian Style

Laborda, Juan, and María José Moral. 2020. "Automotive Aftermarket Forecast in a Changing World: The Stakeholders’ Perceptions Boost!" Sustainability 12, no. 18: 7817. https://doi.org/10.3390/su12187817

APA Style

Laborda, J., & Moral, M. J. (2020). Automotive Aftermarket Forecast in a Changing World: The Stakeholders’ Perceptions Boost! Sustainability, 12(18), 7817. https://doi.org/10.3390/su12187817

Note that from the first issue of 2016, this journal uses article numbers instead of page numbers. See further details here.

Article Metrics

Back to TopTop