The “Eco-Effectiveness” of Agritourism Dynamics in Italy and Spain: A Tool for Evaluating Regional Sustainability
Abstract
1. Introduction
2. Multi-Dimensional Sustainability (The Theoretical Background)
3. Methodology
- number of tourist arrivals and nights spent in the accommodation;
- capacity of tourist accommodation establishments.
- N = structures in the region
- Ni = structures in i-th province of the region
- Bi = beds in i-th province of the region
- Ai = arrivals in i-th province of the region
- Qi = nights spent in i-th province of the region
- the variations in the number of facilities (N), their size (C), and the number of nights spent in these facilities during the period being studied (D) can be used to estimate ecological sustainability;
- the level of use of the facilities or Occupancy Rate (OR = QT/PS, where QT is the total number of nights spent at time T and PS is obtained by multiplying the number of beds by 365 days) is a useful indicator of whether the supply of accommodation is suitably in line with demand;
- the territorial concentration of agritourism, as expressed by the ratio of the facilities in the i-th province with respect to the regional total (Ni/N = S). This indicates the density of agritourism facilities in particular areas, which in turn is a good indicator of institutional sustainability. It also offers an indirect estimate of cultural sustainability.
- D = variation in the total nights spent in agritourism facilities during the study period (0–T)
- QT = total nights spent at time T
- Q0 = total nights spent at time 0
- DN = variation in D attributable to the number of agritourism facilities (N)
- DS = variation in D attributable to the provincial concentration of agritourism facilities (S)
- DC = variation in D attributable to the size of agritourism facilities (C)
- DI = variation in D attributable to the arrivals/beds ratio (I)
- DL = variation in D attributable to the nights spent/arrivals ratio (L)
- (1)
- RR > 1; RD ≤ 1
- (2)
- RR < 1; RD > 1
- (3)
- RR > 1; RD > 1, with RR > RD
- (4)
- RR > 1; RD > 1, with RR < RD
4. Results
5. Discussion
6. Conclusions
Author Contributions
Funding
Acknowledgments
Conflicts of Interest
References
- Khanal, A.R.; Honey, U.; Omobitan, O. Diversification through “fun in the farm”: Analyzing structural factors affecting agritourism in Tennessee. Int. Food Agribus. Manag. Rev. 2020, 23, 105–120. [Google Scholar] [CrossRef]
- Khanal, A.R.; Mishra, A.K. Agritourism and off-farm work: Survival strategies for small farms. Agric. Econ. 2014, 45, 65–76. [Google Scholar] [CrossRef]
- Sonnino, R. For a “piece of bread”? Interpreting sustainable development through agritourism in Southern Tuscany. Sociol. Rural. 2004, 44, 285–300. [Google Scholar] [CrossRef]
- Arru, B.; Furesi, R.; Madau, F.A.; Pulina, P. Recreational Services Provision and Farm Diversification: A Technical Efficiency Analysis on Italian Agritourism. Agriculture 2019, 9, 42. [Google Scholar] [CrossRef]
- Flanigan, S.; Blackstock, K.; Hunter, C. Agritourism from the perspective of providers and visitors: A typology-based study. Tour. Manag. 2014, 40, 394–405. [Google Scholar] [CrossRef]
- Phillip, S.; Hunter, C.; Blackstock, K. A typology for defining agritourism. Tour. Manag. 2010, 31, 754–758. [Google Scholar] [CrossRef]
- Oostindië, H.; van der Ploeg, J.D.; Broekhuizen, R.V.; Ventura, F.; Milone, P. The central role of nested markets in rural development in Europe. Riv. Econ. Agrar. 2010, 65, 191–224. [Google Scholar]
- Van der Ploeg, J.D. Newly emerging, nested market: A theoretical introduction. In Rural Development and the Construction of New Markets; Hebinck, P., Schneider, S., Van der Ploeg, J.D., Eds.; Routledge: London, UK, 2011. [Google Scholar] [CrossRef]
- Ventura, F.; Schiavelli, A.; Milone, P. Direct Food Roma; Saggine Donzelli: Roma, Italy, 2016. [Google Scholar]
- Lumsdon, L.M.; McGrath, P. Developing a conceptual framework for slow travel: A grounded theory approach. J. Sustain. Tour. 2011, 19, 265–279. [Google Scholar] [CrossRef]
- Serdane, Z.; Maccarrone-Eaglen, A.; Sharifi, S. Conceptualising slow tourism: A perspective from Latvia. Tour. Recreat. Res. 2020, 21, 337–350. [Google Scholar] [CrossRef]
- Van der Ploeg, J.D.; Roep, D. Multifunctionality and rural development: The actual situation in Europe. In Multifunctional Agriculture. A New Paradigm for European Agriculture and Rural Development; van Huylenbroeck, G., Durand, G., Eds.; Ashgate: Hampshire, UK, 2003; pp. 37–53. [Google Scholar]
- Alario, M.; Morales, E. Iniciativas de las mujeres: Emprendimiento y oportunidades en el espacio rural de Castilla y León. Doc. d’Anàlisi Geogràfica 2016, 62, 613–637. [Google Scholar] [CrossRef]
- Maroto-Martos, J.C.; Voth, A.; Pinos-Navarrete, A. The Importance of Tourism in Rural Development in Spain and Germany. In Neoendogenous Development in European Rural Areas. Results and Lessons; Cejudo, E., Navarro, F., Eds.; Springer: Cham, Switzerland, 2020; pp. 181–205. [Google Scholar]
- Potočnik-Slavič, I.; Schmitz, S. Farm tourism across Europe. Eur. Countrys. 2013, 5, 265–274. [Google Scholar] [CrossRef]
- Navarro, F.; Labianca, M.; Cejudo, E.; De Rubertis, S.; Salento, A.; Maroto, J.C.; Belliggiano, A. Interpretations of innovation in rural development. The cases of Leader projects in Lecce (Italy) and Granada (Spain) in 2007–2013 period. Eur. Countrys. 2018, 10, 107–126. [Google Scholar] [CrossRef]
- Nieto Masot, A.; Cárdenas Alonso, G.C. 25 Years of the leader initiative as European Rural Development Policy: The case of Extremadura (SW Spain). Eur. Countrys. 2017, 9, 302–316. [Google Scholar] [CrossRef]
- Streifeneder, T.; Dax, T. Agritourism in Europe: Enabling Factors and Current Developments of Sustainable On-Farm Tourism in Rural Areas. In Global Opportunities and Challenges for Rural and Mountain Tourism; Kala, D., Bagri, S.C., Eds.; IGI Globa: Hershey, PA, USA, 2020; pp. 40–58. [Google Scholar]
- Belliggiano, A.; Sturla, A.; Vassallo, M.; Viganò, L. Neo-Endogenous Rural Development in Favor of Organic Farming: Two Case Studies from Italian Fragile Areas. Eur. Countrys. 2020, 12, 1–29. [Google Scholar] [CrossRef]
- Labianca, M.; De Rubertis, S.; Belliggiano, A.; Salento, A.; Navarro, F. Social Innovation, Territorial Capital and LEADER Experiences in Andalusia (Spain) and in Molise (Italy). In Neoendogenous Development in European Rural Areas. Results and Lessons; Cejudo, E., Navarro, F., Eds.; Springer: Cham, Switzerland, 2020; pp. 111–131. [Google Scholar]
- Hashemkhani Zolfani, S.; Sedaghat, M.; Maknoon, R.; Zavadskas, E.K. Sustainable tourism: A comprehensive literature review on frameworks and applications. Econ. Res.-Ekon. Istraživanja 2015, 28, 1–30. [Google Scholar] [CrossRef]
- Mastronardi, L.; Giaccio, V.; Giannelli Scardera, A. Is agritourism eco-friendly? A comparison between agritourisms and other farms in Italy using farm accountancy data network dataset. SpringerPlus 2015, 4, 590. [Google Scholar] [CrossRef] [PubMed]
- Lupi, C.; Giaccio, V.; Mastronardi, L.; Giannelli, A.; Scardera, A. Exploring the features of agritourism and its contribution to rural development in Italy. Land Use Policy 2017, 64, 383–390. [Google Scholar] [CrossRef]
- Marsh, J. An index of tourism sustainability. In Tourism and Sustainable Development: Monitoring, Planning, Managing; Nelson, J., Butler, R., Wall, G., Eds.; Department of Geography, University of Waterloo: Waterloo, ON, Canada, 1993; pp. 257–258. [Google Scholar]
- Nelson, J.G. Are tourism growth and sustainability objectives compatible? Civil, assessment, informed choice. In Tourism and Sustainable Development: Monitoring, Planning, Managing; Nelson, J., Butler, R., Wall, G., Eds.; Department of Geography, University of Waterloo: Waterloo, ON, Canada, 1993; pp. 259–268. [Google Scholar]
- Payne, R.J. Sustainable tourism: Suggested indicators and monitoring techniques. In Tourism and Sustainable Development: Monitoring, Planning, Managing; Nelson, J., Butler, R., Wall, G., Eds.; Department of Geography, University of Waterloo: Waterloo, ON, Canada, 1993; pp. 249–254. [Google Scholar]
- Manning, T. Indicators of tourism sustainability. Tour. Manag. 1999, 20, 179–181. [Google Scholar]
- James, D. Local sustainable tourism indicator. In Proceedings of the 5th International Forum on Tourism Statistics, Caledonian University Conference Proceeding, Glasgow, UK, 19–23 June 2000. [Google Scholar]
- Miller, G. The development of indicators for sustainable tourism: Results of a Delphi survey of tourism researchers. Tour. Manag. 2001, 22, 351–362. [Google Scholar] [CrossRef]
- Sirakaya, E.; Jamal, T.B.; Choy, H.S. Developing indicators for destination sustainability. In The Encyclopedia of Ecotourism; Weaver, D.B., Ed.; CAB International: Wallingford, UK, 2001; pp. 411–432. [Google Scholar]
- Twining-Ward, L.; Butler, R. Implementing sustainable tourism development on a small island: Development and use of sustainable tourism development indicators in Samoa. J. Sustain. Tour. 2002, 10, 363–387. [Google Scholar] [CrossRef]
- Dwyer, L.; Kim, C. Destination competitiveness: Determinants and indicators. Curr. Issues Tour. 2003, 6, 369–414. [Google Scholar] [CrossRef]
- Vera, J.F.; Ivars, J.A. Measuring sustainability in a mass tourist destination: Pressures, perceptions and policy responses in Torrevieja, Spain. J. Sustain. Tour. 2003, 11, 181–203. [Google Scholar]
- Bloyer, J.; Gustke, L.; Leung, Y. Indicators for sustainable tourism development: Crossing the divide from definition to actions. In Sustainable Tourism; Pineda, F., Brebbia, C., Múgica, M., Eds.; WiT: Southampton, UK, 2004; pp. 109–115. [Google Scholar]
- Blackstock, K.L.; McCrum, G.; Scott, A.; White, V. A Framework for Developing Indicators of Sustainable Tourism; Macaulay Institute: Aberdeen, UK, 2006. [Google Scholar]
- Choi, H.C.; Sirakaya, E. Sustainability indicators for managing community tourism. Tour. Manag. 2005, 27, 1274–1289. [Google Scholar] [CrossRef]
- White, V.; McCrum, G.; Blackstock, K.L.; Scott, A. Indicators and Sustainable Tourism: Literature Review; Macaulay Institute: Aberdeen, UK, 2006. [Google Scholar]
- Sancho, A.; García, G.; Rozo, E. Comparativa de indicadores de sostenibilidad para destinos desarrollados, en desarrollo y con poblaciones vulnerables. Ann. Tour. Res. 2007, 9, 150–177. [Google Scholar]
- Schianetz, K.; Kavanagh, L. Sustainability indicators for tourism destinations: A complex adaptive systems approach using systemic indicator systems. J. Sustain. Tour. 2008, 16, 601–628. [Google Scholar] [CrossRef]
- Pulido, J.; Sánchez, M. Measuring tourism sustainability: Proposal for a composite index. Tour. Econ. 2009, 15, 277–296. [Google Scholar]
- Blancas, F.J.; Lozano-Oyola, M.; González, M.; Guerrero, F.M.; Caballero, R. How to use sustainability indicators for tourism planning: The case of rural tourism in Andalusia (Spain). Sci. Total Environ. 2011, 412, 28–45. [Google Scholar] [CrossRef]
- Asmelash, A.G.; Kumarc, S. Assessing progress of tourism sustainability: Developing and validating sustainability indicators. Tour. Manag. 2019, 71, 67–83. [Google Scholar] [CrossRef]
- Torres-Delgado, A.; Saarinenc, J. Using indicators to assess sustainable tourism development: A review. Tour. Geogr. Int. J. Tour. Space Place Environ. 2014, 16, 31–47. [Google Scholar] [CrossRef]
- Ko, T.G. Development of a tourism sustainability assessment procedure: A conceptual approach. Tour. Manag. 2005, 26, 431–445. [Google Scholar] [CrossRef]
- Villanueva-Álvaro, J.J.; Mondéjar-Jiménez, J.; Sáez-Martínez, F.J. Rural Tourism: Development, Management and Sustainability in Rural Establishments. Sustainability 2017, 9, 818. [Google Scholar] [CrossRef]
- Marzo-Navarro, S.; Pedraja-Iglesias, M.; Vinzón, L. Sustainability indicators of rural tourism from the perspective of the residents. Tour. Geogr. Int. J. Tourism Space Place Environ. 2015, 17, 586–602. [Google Scholar] [CrossRef]
- Park, D.B.; Yoon, Y.S. Developing Sustainable Rural Tourism. Evaluation Indicators. Int. J. Tour. Res. 2011, 13, 401–415. [Google Scholar] [CrossRef]
- EC-European Commission. The European Tourism Indicator System. ETIS Toolkit for Sustainable Destination Management; European Union: Luxembourg, 2016. [Google Scholar]
- WTO-World Tourism Organization. Indicators of Sustainable Development for Tourism Destinations: A Guidebook; World Tourism Organization: Madrid, Spain, 2004. [Google Scholar]
- Braungart, M.; McDonough, W.; Bollinger, A. Cradle-to-cradle design: Creating healthy emissions–a strategy for eco-effective product and system design. J. Clean. Prod. 2007, 15, 1337–1348. [Google Scholar] [CrossRef]
- Young, W.; Tilley, F. Can businesses move beyond efficiency? The shift toward effectiveness and equity in the corporate sustainability debate. Bus. Strat. Environ. 2006, 15, 402–415. [Google Scholar] [CrossRef]
- Baležentis, T.; Kriščiukaitiene, I.; Baležentis, A.; Garland, R. Rural tourism development in Lithuania (2003–2010)—A quantitative analysis. Tour. Manag. Perspect. 2012, 2, 1–6. [Google Scholar] [CrossRef]
- European Economic Community. The Future of Rural Society; Bulletin of the European Communities; COM88(501); Office for Official Publications of the European Communities: Luxembourg, 1988; pp. 1–68. [Google Scholar]
- Henke, R.; Salvioni, C. La multifunzionalità in agricoltura: Dal post-produttivismo all’azienda rurale. In Agricoltura Multifunzionale; Aguglia, L., Henke, R., Salvioni, C., Eds.; ESI: Napoli, Italy, 2008; pp. 15–29. [Google Scholar]
- Saxena, G.; Clark, G.; Oliver, T.; Ilbery, B. Conceptualizing integrated rural tourism. Tour. Geogr. 2007, 9, 347–370. [Google Scholar] [CrossRef]
- Belliggiano, A. Il turismo “cult–rurale” nei processi di sviluppo locale: Evidenze e prospettive in alcune regioni meridionali. In Il Turismo Culturale Europeo; Garibaldi, R., Ed.; Franco Angeli: Milano, Italy, 2012; pp. 176–189. [Google Scholar]
- Castillo, J.; Martínez, C. El patrimonio agrario: Definición, caracterización y representatividad en el ámbito de la UNESCO. Boletín Asoc. Española Geogr. 2014, 66, 105–124. [Google Scholar] [CrossRef]
- Cejudo, E.; Toro, F.; Castillo, J. Agrarian Heritage as an Example of the Sustainable and Dynamic Use of Natural Resources. LEADER Projects in Andalusia 2007–2013. In Neoendogenous Development in European Rural Areas. Results and Lessons; Cejudo, E., Navarro, F., Eds.; Springer: Cham, Switzerland, 2020; pp. 251–282. [Google Scholar]
- Courtney, P.; Hill, G.; Roberts, D. The role of natural heritage in rural development: An analysis of economic linkages in Scotland. J. Rural Stud. 2006, 22, 469–484. [Google Scholar] [CrossRef]
- Hernández-Mogollón, J.; Campón-Cerro, A.; Leco-Berrocal, F.; Pérez-Díaz, A. Agricultural diversification and the sustainability of agricultural systems: Possibilites for the development of agrotourism. Environ. Eng. Manag. J. 2011, 10, 1911–1921. [Google Scholar] [CrossRef]
- LaPan, C.; Barbieri, C. The role of agritourism in heritage preservation. Curr. Issues Tour. 2014, 17, 666–673. [Google Scholar] [CrossRef]
- Plaza, J.J.; Cañizares, M.C.; Ruiz, A.R. Heritage, vineyard and tourism: Specific resources to innovate the territorial development of Castilla-La Mancha. Cuad. Tur. 2017, 40, 719–722. [Google Scholar]
- Baraja, E.; Herrero, D.; Martínez, M.; Plaza, J.I. Turismo y desarrollo vitivinícola en espacios de montaña con “alta densidad patrimonial”. Cuad. Tur. 2019, 43, 97–122. [Google Scholar] [CrossRef]
- Agüera, F.O.; Cuadra, S.M.; López-Guzmán, T.; Morales, P.C. Study of demand on the olive-oil tourism. Case of Andalusia. Cuad. Tur. 2017, 39, 677–680. [Google Scholar]
- Molinero, F.; Tort, J. Paisajes Patrimoniales de España; III tomos; Ministerio de Agricultura, Pesca y Alimentación, Ministerio para la Transición Ecológica; UAM ediciones: Madrid, Spain, 2018. [Google Scholar]
- Cejudo, E.; Castillo, J. La Vega de Granada. La construcción patrimonial de un espacio agrario. In Los Regadíos Históricos Españoles. Paisajes Culturales, Paisajes Sostenibles; Hermosilla, J., Ed.; Ministerio de Medio Ambiente y Medio Rural y Marino: Valencia, Spain, 2010; pp. 243–284. [Google Scholar]
- Canales, G.; López, A. La palmera en el paisaje de huerta del Bajo Segura. Un elemento identitario necesitado de protección. E-rph Rev. Electrónica Patrim. Histórico 2013, 13, 4–39. [Google Scholar]
- Silva, R.; Fernández, V. Claves para el reconocimiento de la dehesa como “paisaje cultural” de Unesco. An. Geogr. Univ. Complut. 2015, 35, 121–142. [Google Scholar]
- Camarero, L. Los patrimonios de la despoblación: La diversidad del vacío. Revista PH 2019, 98, 50–69. [Google Scholar] [CrossRef]
- Cohen, E.; Cohen, S.A. Authentication: Hot and Cool. Ann. Tour. Res. 2012, 39, 1295–1314. [Google Scholar] [CrossRef]
- Khanom, S.; Moyle, B.; Scott, N.; Kennelly, M. Host–guest authentication of intangible cultural heritage: A literature review and conceptual model. J. Herit. Tour. 2019, 14, 396–408. [Google Scholar] [CrossRef]
- Reeder, R.J.; Brown, D.M. Recreation, Tourism and Rural Well-Being; Economic Research Service Report; US Department of Agriculture: Washington, DC, USA, 2005.
- Borrello, M.; Pascucci, S.; Cembalo, L. Three Propositions to Unify Circular Economy Research: A Review. Sustainability 2020, 12, 4069. [Google Scholar] [CrossRef]
- Pearce, D.W.; Markandya, A.; Barbier, E.B. Blueprint for a Green Economy; Earthscan Routledge: London, UK, 1989. [Google Scholar]
- Varela, C.; Martín, F. Problemas de sostenibilidad del turismo rural en España. An. Geogr. Univ. Complut. 2011, 31, 171–194. [Google Scholar]
- Spangenberg, J.H. Environmental space and the prism of sustainability: Frameworks for indicators measuring sustainable development. Ecol. Indic. 2002, 2, 295–309. [Google Scholar] [CrossRef]
- Spangenberg, J.H. Reconciling sustainability and growth: Criteria, indicators, policies. Sustain. Dev. 2004, 12, 74–86. [Google Scholar] [CrossRef]
- Spangenberg, J.H. Economic sustainability of the economy: Concepts and indicators. Int. J. Sustain. Dev. 2005, 8, 47–64. [Google Scholar] [CrossRef]
- Pfahl, S. Institutional sustainability. Int. J. Sustain. Dev. 2005, 8, 80–96. [Google Scholar] [CrossRef]
- Hollander, M.C.D.; Bakker, C.A.; Hultink, E.J. Product Design in a Circular Economy: Development of a Typology of Key Concepts and Terms. J. Ind. Ecol. 2017, 21, 517–525. [Google Scholar] [CrossRef]
- Bocken, N.; De Pauw, I.; Bakker, C.; Van Der Grinten, B. Product design and business model strategies for a circular economy. J. Ind. Prod. Eng. 2016, 33, 308–320. [Google Scholar] [CrossRef]
- Yubero, C.; García Hernández, M. El turismo en el medio rural en España desde el enfoque de la transferencia de políticas públicas. Boletín Asoc. Geogr. Española 2019, 81, 1–34. [Google Scholar] [CrossRef]
- Red Rural Nacional. LEADER en España (1991–2011). Una Contribución Activa al Desarrollo Rural; Ministerio de Medio Ambiente y Medio Rural y Marino: Madrid, Spain, 2011; Available online: https://www.mapa.gob.es/es/desarrollo-rural/publicaciones/publicaciones-de-desarrollo-rural/INFORME%20LEADER_tcm30-131208.pdf (accessed on 21 May 2020).
- Di Napoli, R. Il Leader, primo laboratorio di collegamento tra turismo e agricoltura. In “I Love Turismo Rurale”; Rete Rurale Nazionale: Roma, Italy, 2019; pp. 24–26. [Google Scholar]
- Lanzalaco, L. Innovare le istituzioni: Percorsi di sviluppo sostenibili. In Innovazione e Sostenibilità. Modelli Locali di Sviluppo al Bivio; Messina, P., Ed.; CLEUP: Padova, Italy, 2009; pp. 177–190. [Google Scholar]
- Canoves, G.; Villarino, M.; Herrera, L. Políticas públicas, turismo rural y sostenibilidad: Difícil equilibrio. Boletín Asoc. Geógrafos Españoles 2006, 41, 199–217. [Google Scholar]
- Tirado, J.G.; Hernández, M. Assessing the Impact of EU Rural Development Programs on Tourism. Tour. Plan. Dev. 2017, 14, 149–166. [Google Scholar] [CrossRef]
- Tirado, J.G.; Hernández, M. Promoting tourism through the EU LEADER programme: Understanding Local Action Group governance. Eur. Plan. Stud. 2019, 27, 396–414. [Google Scholar] [CrossRef]
- Ohe, Y.; Kurihara, S. Evaluating the complementary relationship between local brand farm products and rural tourism: Evidence from Japan. Tour. Manag. 2013, 35, 278–283. [Google Scholar] [CrossRef]
- Szlanyinka, E. The role of cultural values in rural development. In Traditional Food Production and Rural Sustainable Development; Vaz, T., Nijkamp, P., Rastoin, J.-L., Eds.; Ashgate: Farnham, UK, 2010; pp. 101–118. [Google Scholar]
- Belliggiano, A.; Cejudo, E.; De Rubertis, S. The Role of Agriculture in Rural Development in Spain and Italy Within the Framework of the LEADER 2007–2013 Programming Period. In Neoendogenous Development in European Rural Areas. Results and Lessons; Cejudo, E., Navarro, F., Eds.; Springer: Cham, Switzerland, 2020; pp. 149–180. [Google Scholar]
- ISMEA. Multifunzionalità Agricola e Agriturismo. Scenario e Prospettive; ISMEA: Roma, Italy, 2017. [Google Scholar]
- Ang, B.W.; Wang, H. Index decomposition analysis with multidimensional and multilevel energy data. Energy Econ. 2015, 51, 67–76. [Google Scholar] [CrossRef]
- Belliggiano, A.; De Rubertis, S. El “farm tourism” como oportunidad de desarrollo sostenible en las regiones del sur de Italia. Pampa Rev. Interuniv. Estud. Territ. 2016, 13, 11–30. [Google Scholar] [CrossRef]
- Ang, B.W. The LMDI approach to decomposition analysis: A practical guide. Energy Policy 2005, 33, 867–871. [Google Scholar] [CrossRef]
- Istat. Le Aziende Agrituristiche in Italia 2018; Statistiche Report; Istituto Nazionale di Statistica: Roma, Italy, 2019. [Google Scholar]
- Ballacchino, K.; Bindi, L. Cammini di Uomini, Cammini di Animali. Transumanze, Pastoralismi e Patrimoni Bioculturali; Il Bene Comune Edizioni: Campobasso, Italy, 2017. [Google Scholar]
- Ievoli, C.; Basile, R.G.; Belliggiano, A. The spatial patterns of dairy farming in Molise. Eur. Countrys. 2017, 9, 729–745. [Google Scholar] [CrossRef]
- De Rubertis, S.; Belliggiano, A.; Labianca, M. Partecipazione e identità territoriale. Il caso di Castel del Giudice (Molise). Geotema 2018, 56, 48–54. [Google Scholar]
- Jurado, J.M.; Pazos-García, F.J. Población y turismo rural en territorios de baja densidad demográfica en España. Boletín Asoc. Geógrafos Españoles 2016, 71, 247–272. [Google Scholar]
- Canoves, G.; Villarino, M. Turismo rural en España: Paisajes y usuarios, nuevos usos y nuevas visions. Cuad. Tur. 2005, 15, 63–76. [Google Scholar]
- Pulido, J.I.; Cárdenas, P. El turismo rural en España. Orientaciones estratégicas para una tipología aún en desarrollo. Boletín Asoc. Geógrafos Españoles 2011, 56, 155–176. [Google Scholar]
- Sánchez Martín, J.M.; Martín Delgado, L.M.; Rengifo Gallego, J.I. La reputación online de los alojamientos rurales en Extremadura desde una óptica geoestadística. Boletín Asoc. Geógrafos Españoles 2019, 82, 1–36. [Google Scholar] [CrossRef]
- Sariego, I.; Mazarrasa, K. Explorando la experiencia turística en Cantabria: Análisis del comportamiento de la demanda. Int. J. Sci. Manag. Tour. 2017, 3, 419–430. [Google Scholar]
- Gil, C. Turismo y alojamiento hotelero en Cantabria. Algunas bases de análisis para la caracterización de la actividad turística regional. Boletín Asoc. Española Geografía 2008, 48, 277–309. [Google Scholar]
- Sariego, I.; Moreno, A. La competitividad turística de Cantabria para la demanda potencial de la población del sur de Francia. Investig. Turísticas 2013, 5, 110–135. [Google Scholar] [CrossRef]
- Fusté-Forné, F. Turismo en las cuevas: El patrimonio rupestre en Cantabria, España. Gran Tour Rev. Investig. Turísticas 2017, 16, 78–94. [Google Scholar]
- Delgado, C.; Gil, C. Dinámica y desarrollo territorial de la Montaña Cantábrica: El ejemplo de las comarcas cántabras de Campoo y Cabuérniga-Tudanca. Ería 2008, 75, 53–76. [Google Scholar]
- Cardona, R.; Serra, A. Características de la demanda del turismo rural de Baleares. RIAT Rev. Interam. Ambiente Tur. 2013, 9, 120–126. [Google Scholar]
- Tur, V.; Garau, J.B. Agroturismo y Turismo Rural en Baleares; Estudis CAEB-CITTIB–Govern de les Illes Balears: Palma de Mallorca, Spain, 2002. [Google Scholar]
- Moreno, S.; Cabrera Guillén, D.; López Galán, E.; de León Ledesma, J.; del Río Fresen, C.; Carballo Fuentes, R. El cambio de modelo turístico en las denominadas zonas no turísticas: Un acercamiento a través del posicionamiento adecuado. In El turismo en Canarias; del Mar Armas Cruz, Y., Ed.; Fundación FYDE-CajaCanarias: La Laguna, Spain, 2011; pp. 93–118. [Google Scholar]
- Simancas, M.; Parra, E. ¿Existe un Modelo Turístico Canario? PROMOTUR Turismo Canarias, S.A: Santa Cruz de Tenerife, Spain, 2016. [Google Scholar]
- Martín, C.S. Evolución del sistema turístico de la isla de El Hierro (Canarias). Cuad. Tur. 2009, 24, 111–133. [Google Scholar]
- González, A.; Hernández, J.A.; Parreño, J.M. Los nuevos usos turísticos en la Reserva de la Biosfera de la isla de La Palma (Canarias). Boletín Asoc. Geógrafos Españoles 2016, 70, 239–257. [Google Scholar]
- Sanagustín Fons, M.V.; Moseñe Fierro, J.A.; Gomez Patiño, M. Rural tourism: A sustainable alternative. Appl. Energy 2011, 88, 551–557. [Google Scholar]
- Sanagustín Fons, M.V.; Moseñe Fierro, J.A.; Gomez Patiño, M.; Arena Luna, L. Sustainable Tourism in Aragon, a Case of a Spanish Inside Region. In Strategies for Tourism Industry. Micro and Macro Perspectives; Kasimoglu, M., Ed.; Intechopen: London, UK, 2012; pp. 79–98. Available online: https://www.intechopen.com/books/strategies-for-tourism-industry-micro-and-macro-perspectives (accessed on 24 May 2020).
- Sanagustín Fons, V.; Lafita-Cortés, T.; Moseñe, J.A. Social Perception of Rural Tourism Impact: A Case Study. Sustainability 2018, 10, 339. [Google Scholar] [CrossRef]
- Giaccio, V.; Giannelli, A.; Mastronardi, L. Explaining determinants of Agritourism income: Evidence from Italy. Tour. Rev. 2018, 73, 216–229. [Google Scholar] [CrossRef]
- Adamov, T.; Ciolac, R.; Iancu, T.; Brad, I.; Pet, E.; Popescu, G.; Smuleac, L. Sustainability of Agritourism Activity. Initiatives and Challenges in Romanian Mountain Rural Regions. Sustainability 2020, 12, 2502. [Google Scholar] [CrossRef]
- Choi, H.C.; Turk, E.S. Sustainability indicators for managing community tourism. In Quality-of-Life Community Indicators for Parks, Recreation and Tourism Management; Budruk, M., Phillips, R., Eds.; Springer: Dordrecht, The Netherlands, 2011; pp. 115–140. [Google Scholar]
- Cernat, L.; Gourdon, J. Paths to success: Benchmarking cross-country sustainable tourism. Tour. Manag. 2012, 33, 1044–1056. [Google Scholar] [CrossRef]







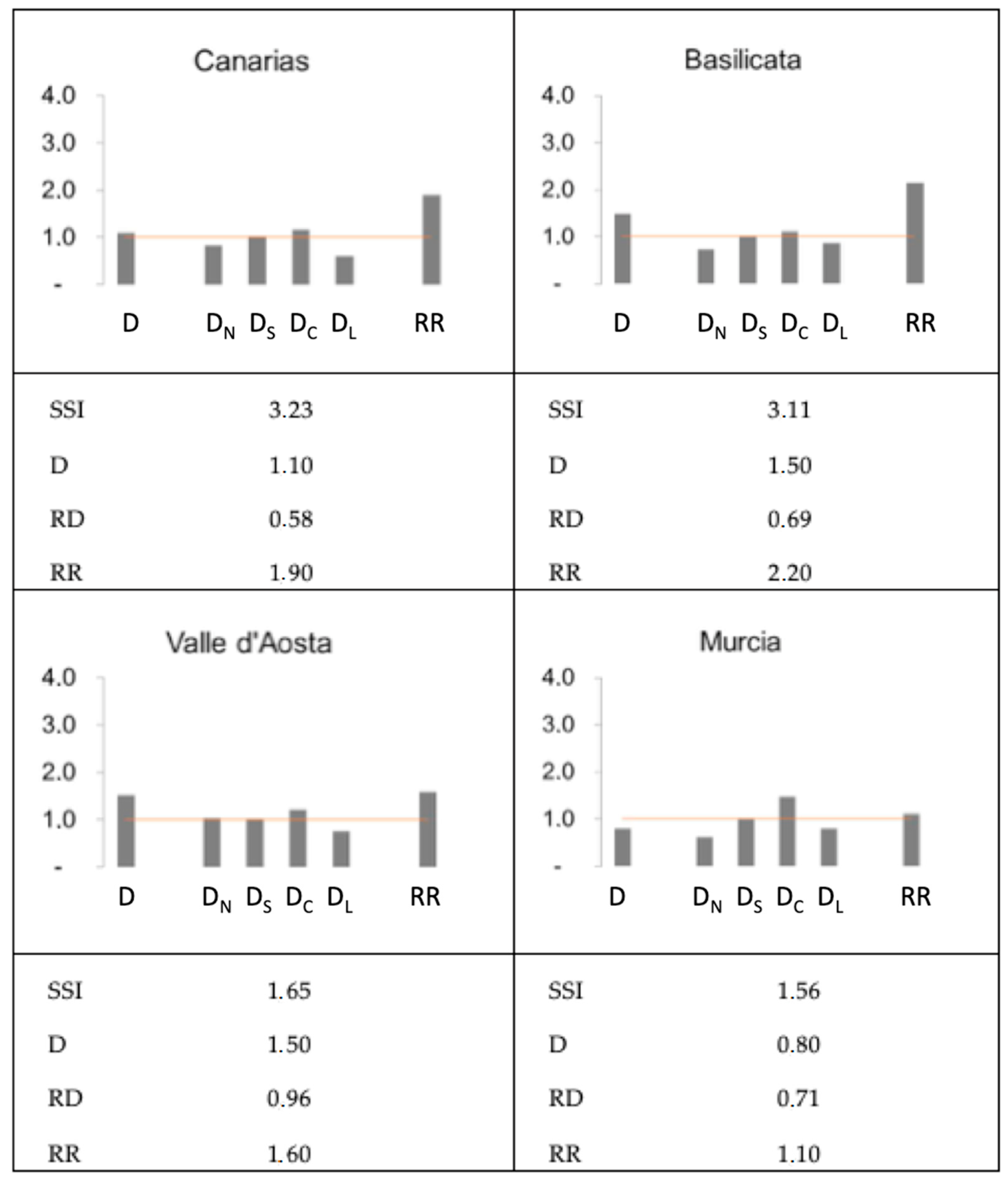
| Regions | SSI | D | DN | DS | DC | DL | DI (RR) | RD |
|---|---|---|---|---|---|---|---|---|
| Canarias | 3.23 | 1.10 | 0.83 | 1.02 | 1.16 | 0.60 | 1.89 | 0.58 |
| Basilicata | 3.11 | 1.50 | 0.73 | 1.00 | 1.11 | 0.86 | 2.16 | 0.69 |
| Valled’ Aosta | 1.65 | 1.51 | 1.04 | 1.00 | 1.21 | 0.76 | 1.58 | 0.96 |
| Murcia | 1.56 | 0.79 | 0.61 | 1.00 | 1.47 | 0.80 | 1.11 | 0.71 |
| Lombardia | 1.39 | 2.92 | 1.60 | 1.00 | 1.05 | 0.86 | 2.02 | 1.45 |
| Piemonte | 1.37 | 2.35 | 1.59 | 1.00 | 1.02 | 0.81 | 1.79 | 1.31 |
| Abruzzo | 1.37 | 0.78 | 1.12 | 1.02 | 1.00 | 0.66 | 1.03 | 0.76 |
| Cantabria | 1.34 | 1.11 | 1.13 | 1.00 | 0.98 | 0.82 | 1.22 | 0.91 |
| Sicilia | 1.33 | 1.46 | 0.92 | 0.96 | 1.24 | 0.96 | 1.39 | 1.05 |
| Trentino | 1.28 | 1.76 | 1.25 | 1.00 | 1.06 | 0.88 | 1.50 | 1.17 |
| Galicia | 1.24 | 1.14 | 1.04 | 1.01 | 1.06 | 0.86 | 1.19 | 0.96 |
| Navarra (C.F. de) | 1.07 | 1.15 | 1.41 | 1.00 | 1.08 | 0.68 | 1.11 | 1.04 |
| Lazio | 1.05 | 0.78 | 0.80 | 1.50 | 1.63 | 0.44 | 0.91 | 0.86 |
| Balears (Illes) | 0.97 | 2.01 | 1.74 | 1.00 | 1.13 | 0.73 | 1.40 | 1.44 |
| Friuli | 0.92 | 2.35 | 1.67 | 1.00 | 1.05 | 0.91 | 1.47 | 1.60 |
| Umbria | 0.91 | 1.14 | 1.26 | 1.00 | 1.00 | 0.88 | 1.02 | 1.12 |
| Marche | 0.91 | 2.01 | 1.57 | 1.00 | 1.12 | 0.84 | 1.35 | 1.49 |
| Liguria | 0.87 | 2.62 | 1.69 | 1.00 | 1.11 | 0.93 | 1.51 | 1.74 |
| Rioja | 0.85 | 1.17 | 1.54 | 1.00 | 1.01 | 0.75 | 1.00 | 1.17 |
| Aragón | 0.84 | 1.17 | 1.64 | 1.00 | 1.02 | 0.71 | 0.99 | 1.18 |
| Emilia | 0.82 | 2.02 | 1.81 | 0.99 | 1.01 | 0.87 | 1.29 | 1.57 |
| Madrid (C. de) | 0.81 | 1.20 | 1.65 | 1.00 | 0.87 | 0.85 | 0.99 | 1.22 |
| Comunitat Valenciana | 0.80 | 1.00 | 1.18 | 1.01 | 1.09 | 0.86 | 0.89 | 1.12 |
| Pais Vasco | 0.75 | 1.40 | 1.54 | 0.99 | 1.06 | 0.85 | 1.03 | 1.36 |
| Toscana | 0.73 | 1.42 | 1.35 | 1.00 | 1.20 | 0.86 | 1.02 | 1.40 |
| Asturias (P. de) | 0.73 | 1.19 | 1.36 | 1.00 | 1.25 | 0.75 | 0.93 | 1.28 |
| Puglia | 0.73 | 2.18 | 2.02 | 1.13 | 0.79 | 0.96 | 1.26 | 1.73 |
| Extremadura | 0.71 | 1.43 | 1.87 | 1.04 | 1.08 | 0.68 | 1.01 | 1.42 |
| Veneto | 0.65 | 2.74 | 1.88 | 1.12 | 1.23 | 0.80 | 1.33 | 2.06 |
| Cataluña | 0.64 | 1.26 | 1.57 | 1.03 | 1.04 | 0.83 | 0.90 | 1.40 |
| Andalucía | 0.62 | 1.58 | 1.67 | 1.01 | 1.06 | 0.90 | 0.99 | 1.60 |
| Castilla y León | 0.57 | 1.15 | 1.67 | 1.03 | 0.98 | 0.84 | 0.81 | 1.42 |
| Castilla – La Mancha | 0.49 | 1.36 | 2.05 | 1.05 | 1.11 | 0.70 | 0.82 | 1.66 |
| Molise | 0.24 | 0.53 | 1.74 | 0.98 | 0.99 | 0.88 | 0.35 | 1.50 |
| Campania | 0.22 | 0.44 | 1.60 | 1.07 | 0.90 | 0.90 | 0.31 | 1.39 |
| Calabria | 0.15 | 1.20 | 3.01 | 1.05 | 0.93 | 0.97 | 0.42 | 2.86 |
| Sardegna | n.a. |
| Groups/Cases | Nights Spent 5–17 | Arrivals 5–17 | National % of Nights ‘17 | National % of Arrivals ‘17 | Nights Spent 2017 | Nights Spent 2005 | Arrivals 2017 | Arrivals 2005 | Average Stay 2017 |
|---|---|---|---|---|---|---|---|---|---|
| Group A | −47.26 | −44.06 | 1.36 | 1.41 | 172,433 | 326,925 | 45,773 | 81,828 | 3.77 |
| Group B | −14.28 | 68.17 | 1.27 | 1.85 | 161,481 | 188,374 | 59,961 | 35,654 | 2.69 |
| Group C Spain | 84.38 | 109.03 | 71.70 | 74.25 | 7,879,687 | 4,273,634 | 2,992,152 | 1,431,465 | 2.63 |
| Group C Italy | 93.95 | 138.89 | 60.39 | 61.29 | 7,675,364 | 3,957,391 | 1,987,391 | 831,921 | 3.86 |
| Group C | 88.98 | 120.00 | - | - | 15,555,051 | 8,231,025 | 4,979,543 | 2,263,386 | 3.12 |
| Group D Spain | 38.81 | 64.65 | 14.73 | 16.79 | 1,618,214 | 1,165,739 | 676,411 | 410,807 | 2.39 |
| Group D Italy | 173.86 | 218.74 | 11.08 | 16.36 | 1,408,046 | 514,150 | 530,333 | 166,383 | 2.66 |
| Group D | 80.15 | 109.07 | - | - | 3,026,260 | 1,679,889 | 1,206,744 | 577,190 | 2.51 |
| Balearics | 143.17 | 277.92 | 9.75 | 6.79 | 1,071,532 | 440,657 | 273,691 | 72,421 | 3.92 |
| Canaries | 20.50 | 123.18 | 3.82 | 2.17 | 419,728 | 348,313 | 87,341 | 39,134 | 4.81 |
| Basilicata | 113.01 | 180.27 | 0.53 | 0.67 | 67,008 | 31,458 | 21,612 | 7711 | 3.10 |
| Trentino A.A. | 101.43 | 148.45 | 24.40 | 17.36 | 3,101,456 | 1,539,693 | 562,844 | 226,539 | 5.51 |
| Italy | 93.79 | 140.16 | 99.03 | 98.94 | 12,709,327 | 6,558,350 | 3,242,443 | 1,350,111 | 3.92 |
| Spain | 76.44 | 106.24 | 100.00 | 100.00 | 10,989,161 | 6,228,343 | 4,029,595 | 1,953,827 | 2.73 |
© 2020 by the authors. Licensee MDPI, Basel, Switzerland. This article is an open access article distributed under the terms and conditions of the Creative Commons Attribution (CC BY) license (http://creativecommons.org/licenses/by/4.0/).
Share and Cite
Belliggiano, A.; Garcia, E.C.; Labianca, M.; Valverde, F.N.; De Rubertis, S. The “Eco-Effectiveness” of Agritourism Dynamics in Italy and Spain: A Tool for Evaluating Regional Sustainability. Sustainability 2020, 12, 7080. https://doi.org/10.3390/su12177080
Belliggiano A, Garcia EC, Labianca M, Valverde FN, De Rubertis S. The “Eco-Effectiveness” of Agritourism Dynamics in Italy and Spain: A Tool for Evaluating Regional Sustainability. Sustainability. 2020; 12(17):7080. https://doi.org/10.3390/su12177080
Chicago/Turabian StyleBelliggiano, Angelo, Eugenio Cejudo Garcia, Marilena Labianca, Francisco Navarro Valverde, and Stefano De Rubertis. 2020. "The “Eco-Effectiveness” of Agritourism Dynamics in Italy and Spain: A Tool for Evaluating Regional Sustainability" Sustainability 12, no. 17: 7080. https://doi.org/10.3390/su12177080
APA StyleBelliggiano, A., Garcia, E. C., Labianca, M., Valverde, F. N., & De Rubertis, S. (2020). The “Eco-Effectiveness” of Agritourism Dynamics in Italy and Spain: A Tool for Evaluating Regional Sustainability. Sustainability, 12(17), 7080. https://doi.org/10.3390/su12177080

