Spatiotemporal Variations of Water Stable Isotope Compositions in Nujiang Headwaters, Qinghai-Tibetan Plateau
Abstract
1. Introduction
2. Methods
2.1. Study Area
2.2. Sampling and Isotopic Analysis
2.3. Environmental Variables
2.4. Statistical Analysis
3. Results
3.1. Meteorological and Hydrological Variations during the Study Period
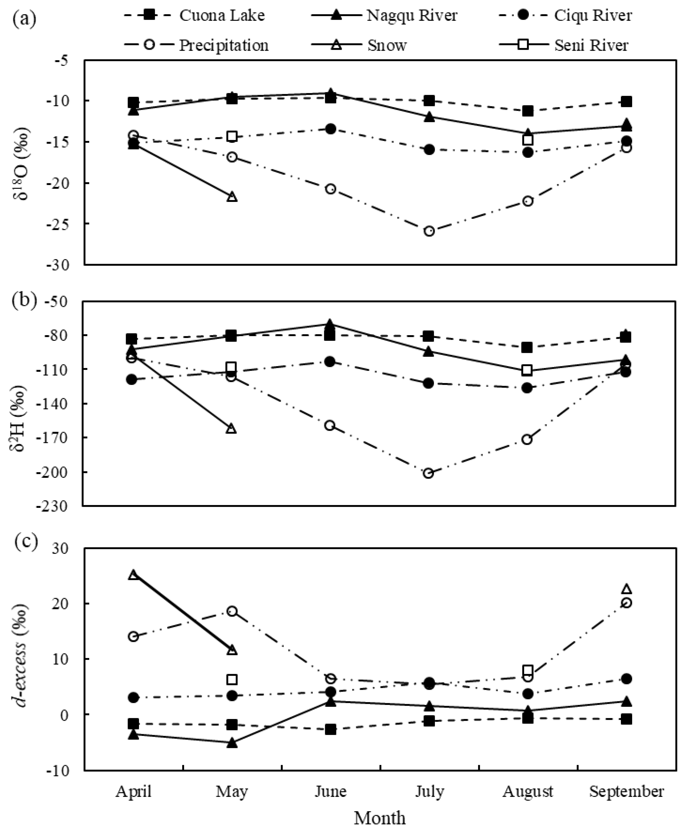
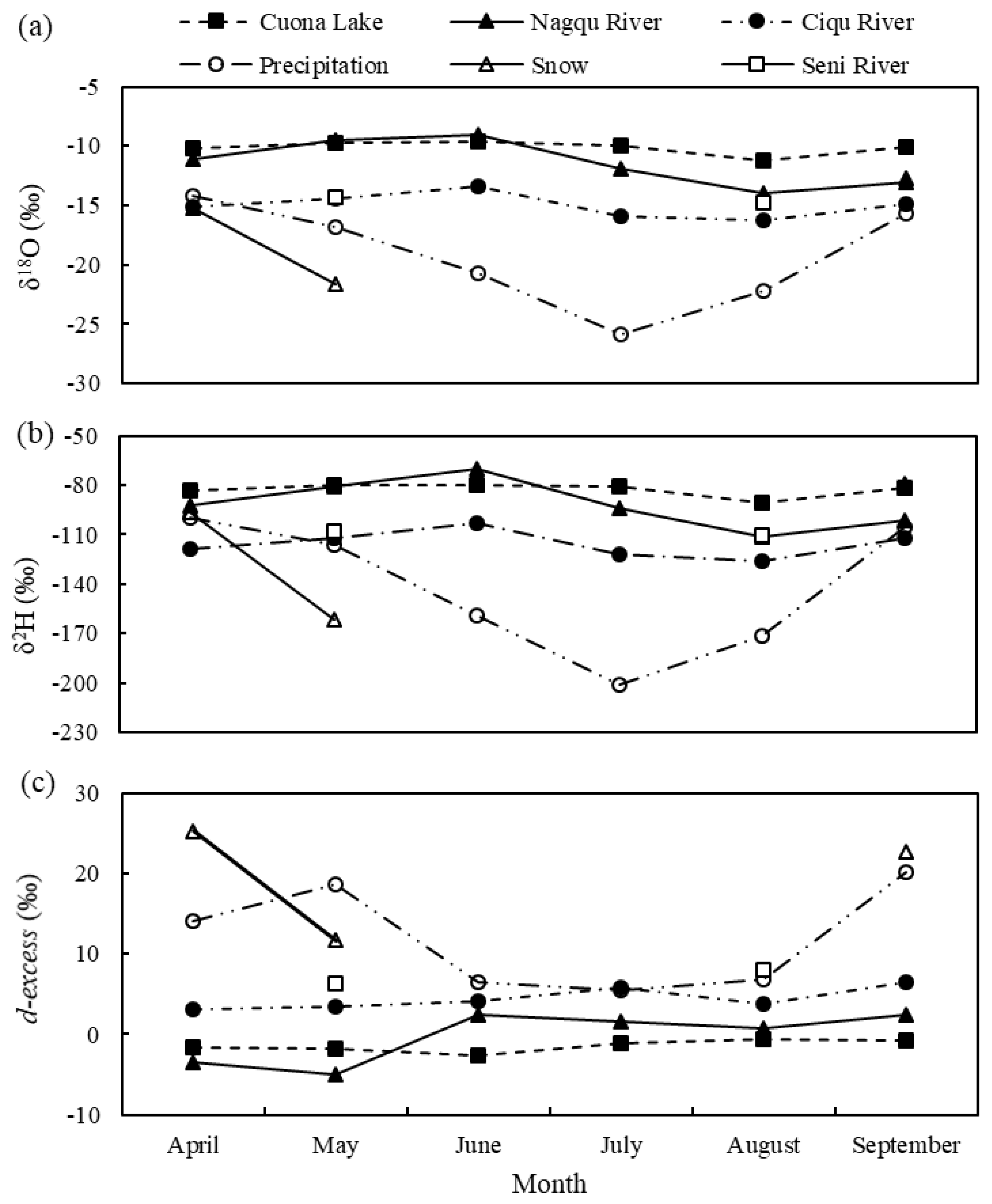
3.2. Variations of δ18O and δ2H Values
3.3. The Relationship between δ18O and δ2H Values
3.4. Correlations of Isotopic Composition and Environmental Factors
4. Discussion
4.1. Stable Isotopic Precipitation Patterns
4.2. Stable Isotopic Pattern in Snow and Ice
4.3. Stable Isotopic Patterns in Surface Water
4.4. Surface Water Lines
5. Conclusions
Author Contributions
Funding
Acknowledgments
Conflicts of Interest
References
- Immerzeel, W.W.; Van Beek, L.P.H.; Bierkens, M. Climate Change Will Affect the Asian Water Towers. Science 2010, 328, 1382–1385. [Google Scholar] [CrossRef]
- Zhang, M.; Zhao, Y.; Liu, F.; Pan, X. Glacier dynamics and water balance in the Qinghai−Tibet plateau. Environ. Sci. Technol. 2012, 46, 6449–6450. [Google Scholar] [CrossRef]
- Qu, B.; Zhang, Y.; Kang, S.; Sillanpää, M. Water chemistry of the southern Tibetan Plateau: An assessment of the Yarlung Tsangpo river basin. Environ. Earth Sci. 2017, 76, 74. [Google Scholar] [CrossRef]
- Song, C.Q.; Ke, L.H.; Huang, B.; Richards, K.S. Can mountain glacier melting explains the GRACE−observed mass loss in the southeast Tibetan Plateau: From a climate perspective? Glob. Planet. Chang. 2015, 124, 1–9. [Google Scholar] [CrossRef]
- Hren, M.T.; Bookhagen, B.; Blisniuk, P.M.; Booth, A.L.; Chamberlain, C.P. δ18O and δD of streamwaters across the Himalaya and Tibetan Plateau: Implications for moisture sources and paleoelevation reconstructions. Earth Planet. Sci. Lett. 2009, 288, 20–32. [Google Scholar] [CrossRef]
- Li, L.; Yang, S.; Wang, Z.; Zhu, X.; Tang, H. Evidence of Warming and Wetting Climate over the Qinghai-Tibet Plateau. Arct. Antarct. Alp. Res. 2010, 42, 449–457. [Google Scholar] [CrossRef]
- Ganjurjav, H.; Gao, Q.Z.; Gornish, E.S.; Schwartz, M.W.; Liang, Y.; Cao, X.J.; Zhang, W.N.; Zhang, Y.; Li, W.H.; Wan, Y.F.; et al. Differential response of alpine steppe and alpine meadow to climate warming in the central Qinghai−Tibetan Plateau. Agric. For. Meteorol. 2016, 223, 233–240. [Google Scholar] [CrossRef]
- Ren, W.; Yao, T.D.; Xie, S.Y. Stable isotopic composition reveals the spatial and temporal dynamics of discharge in the large river of Yarlungzangbo in the Tibetan Plateau. Sci. Total. Environ. 2018, 625, 373–381. [Google Scholar] [CrossRef]
- Zhang, M.; Wang, S.; Li, Z.; Wang, F. Glacier area shrinkage in China and its climatic background during the past half century. J. Geogr. Sci. 2012, 22, 15–28. [Google Scholar] [CrossRef]
- Huang, X.; Sillanpää, M.; Duo, B.; Gjessing, E.T. Water quality in the Tibetan Plateau: Metal contents of four selected rivers. Environ. Pollut. 2008, 156, 270–277. [Google Scholar] [CrossRef]
- Li, B.; Yu, Z.; Liang, Z.; Acharya, K. Hydrologic response of a high altitude glacierized basin in the central Tibetan Plateau. Glob. Planet. Chang. 2014, 118, 69–84. [Google Scholar] [CrossRef]
- Ren, W.; Yao, T.; Xie, S. Water stable isotopes in the Yarlungzangbo headwater region and its vicinity of the southwestern Tibetan Plateau. Tellus B Chem. Phys. Meteorol. 2016, 68, 30397. [Google Scholar] [CrossRef]
- Lachniet, M.S.; Patterson, W.P. Stable isotope values of Costa Rican surface waters. J. Hydrol. 2002, 260, 135–150. [Google Scholar] [CrossRef]
- Gao, J.; Masson-Delmotte, V.; Yao, T.; Tian, L.; Risi, C.; Hoffmann, G. Precipitation Water Stable Isotopes in the South Tibetan Plateau: Observations and Modeling. J. Clim. 2011, 24, 3161–3178. [Google Scholar] [CrossRef]
- Yao, T.C.; Zhang, X.P.; Li, G.; Huang, H.; Wu, H.W.; Huang, Y.M.; Zhang, W.J. Characteristics of the stable isotopes in different water bodies and their relationships in surrounding areas of Yuelu Mountain in the Xiangjiang River basin. Nat. Resour. J. 2016, 31, 1198–1210. [Google Scholar]
- Jouzel, J.; Delaygue, G.; Landais, A.; Masson-Delmotte, V.; Risi, C.; Vimeux, F. Water isotopes as tools to document oceanic sources of precipitation. Water Resour. Res. 2013, 49, 7469–7486. [Google Scholar] [CrossRef]
- Salamalikis, V.; Argiriou, A.A.; Dotsika, E. Stable isotopic composition of atmospheric water vapor in Patras, Greece: A concentration weighted trajectory approach. Atmos. Res. 2015, 152, 93–104. [Google Scholar] [CrossRef]
- Yu, W.S.; Wei, F.L.; Ma, Y.M.; Liu, W.J.; Zhang, Y.Y.; Luo, L.; Tian, L.D.; Xu, B.Q.; Qu, D.M. Stable isotope variations in precipitation over Deqin on the southeastern margin of the Tibetan Plateau during different seasons related to various meteorological factors and moisture sources. Atmos. Res. 2016, 170, 123–130. [Google Scholar] [CrossRef]
- Liu, Z.F.; Tian, L.D.; Yao, T.D.; Yu, W.S. Seasonal deuterium excess in Nagqu precipitation: Influence of moisture transport and recycling in the middle of Tibetan Plateau. Environ. Geol. 2008, 55, 1501–1506. [Google Scholar] [CrossRef]
- Juhlke, T.R.; Meier, C.; Van Geldern, R.; Vanselow, K.A.; Wernicke, J.; Baidulloeva, J.; Barth, J.A.; Weise, S.M. Assessing moisture sources of precipitation in the Western Pamir Mountains (Tajikistan, Central Asia) using deuterium excess. Tellus B Chem. Phys. Meteorol. 2019, 71, 1–16. [Google Scholar] [CrossRef]
- Yu, W.S.; Yao, T.D.; Tian, L.D.; Ma, Y.M.; Ichiyanagi, K.; Wang, Y.; Sun, W.Z. Relationships between δ18O in precipitation and air temperature and moisture origin on a south–north transect of the Tibetan Plateau. Atmos. Res. 2008, 87, 158–169. [Google Scholar] [CrossRef]
- A Review of Climatic Controls on δ18O in Precipitation over the Tibetan Plateau: Observations and Simulations. Available online: https://agupubs.onlinelibrary.wiley.com/doi/full/10.1002/rog.20023 (accessed on 12 August 2020).
- Tian, L.; Yao, T.; Schuster, P.F.; White, W.C.; Ichiyanagi, K.; Pendall, E.; Pu, J.; Yu, W. Oxygen−18 concentrations in recent precipitation and ice cores on the Tibetan Plateau. J. Geophys. Res. 2003, 108. [Google Scholar] [CrossRef]
- Yang, X.X.; Xu, B.Q.; Yang, W.; Qu, D.W. The Indian monsoonal influence on altitude effect of δ18O in surface water on southeast Tibetan Plateau. Sci. China Earth Sci. 2012, 55, 438–445. [Google Scholar] [CrossRef]
- Ren, W.; Yao, T.; Xie, S. Key drivers controlling the stable isotopes in precipitation on the leeward side of the central Himalayas. Atmos. Res. 2017, 189, 134–140. [Google Scholar] [CrossRef]
- Controls on the Stable Isotopes in Precipitation and Surface Waters across the Southeastern Tibetan Plateau. Available online: http://dx.doi.org/10.1016/j.jhydrol.2016.12.034 (accessed on 12 August 2020).
- Tian, L.D.; Liu, Z.F.; Gong, T.L.; Yin, C.L.; Yu, W.S.; Yao, T.D. Isotopic variation in the lake water balance at the Yamdruk−tso basin, southern Tibetan Plateau. Hydrol. Process. 2008, 22, 3386–3392. [Google Scholar] [CrossRef]
- Yu, W.S.; Yao, T.D.; Tian, L.D.; Wang, Y.; Yin, C.L. Isotopic composition of atmospheric water vapor before and after the monsoon’s end in the Nagqu River Basin. Chin. Sci. Bull. 2005, 50, 2755–2760. [Google Scholar] [CrossRef]
- Lutz, A.F.; Immerzeel, W.W.; Shrestha, A.B.; Bierkens, M. Consistent increase in High Asia’s runoff due to increasing glacier melt and precipitation. Nat. Clim. Chang. 2014, 4, 587–592. [Google Scholar] [CrossRef]
- Tong, Y.D.; Chen, L.; Chi, J.; Zhen, G.C.; Zhang, Q.G.; Wang, R.N.; Yao, R.H.; Zhang, W.; Wang, X.J. Riverine nitrogen loss in the Tibetan Plateau and potential impacts of climate change. Sci. Total Environ. 2016, 553, 276–284. [Google Scholar] [CrossRef]
- Du, J.; Ma, Y. Climatic trend of rainfall over Tibetan plateau from 1971 to 2000. Acta Geogr. Sin. 2004, 59, 375–382. [Google Scholar]
- Craig, H. Isotopic variation in meteric waters. Science 1961, 133, 1702–1703. [Google Scholar] [CrossRef]
- Yu, W.S.; Tian, L.D.; Yao, T.D.; Xu, B.Q.; Wei, F.L.; Ma, Y.M.; Zhu, H.F.; Luo, L.; Qu, D.M. Precipitation stable isotope records from the northern Hengduan Mountains in China capture signals of the winter India–Burma Trough and the Indian Summer Monsoon. Earth Planet. Sci. Lett. 2017, 477, 123–133. [Google Scholar] [CrossRef]
- Wu, H.B.; Zhao, Q.; Qin, X.B.; Gao, Q.Z.; Lyu, C.W. Temporal and spatial variations of hydrogen and oxygen isotopes in Tuojia River and its influencing factors. J. Appl. Ecol. 2018, 29, 1461–1469. [Google Scholar]
- Liu, Z.F.; Tian, L.D.; Yao, T.D.; Yu, W.S. Characterization of precipitation δ18O variation in Nagqu, central Tibetan Plateau and its climate controls. Theor. Appl. Clim. 2010, 99, 95–104. [Google Scholar] [CrossRef]
- Yu, W.S.; Xu, B.Q.; Lai, C.T.; Ma, Y.M.; Tian, L.D.; Qu, D.M.; Zhu, Z.Y. Influences of relative humidity and Indian monsoon precipitation on leaf water stable isotopes from the southeastern Tibetan Plateau. Geophys. Res. Lett. 2014, 41, 7746–7753. [Google Scholar] [CrossRef]
- Xu, Y.; Kang, S.; Zhang, Y.; Zhang, Y. A method for estimating the contribution of evaporative vapor from Nam Co to local atmospheric vapor based on stable isotopes of water bodies. Chin. Sci. Bull 2011, 56, 1511–1517. [Google Scholar] [CrossRef]
- Stable Isotopes in Precipitation. Available online: https://www.ldeo.columbia.edu/~polissar/OrgGeochem/dansgaard-1964-stable-isoto.pdf (accessed on 12 August 2020).
- Yu, W.S.; Yao, T.D.; Tian, L.D.; Li, Z.; Sun, W.Z.; Wang, Y. Relationships between δ18O in summer precipitation and temperature and moisture trajectories at Muztagata, western China. Sci. China Ser. D Earth Sci. 2006, 49, 27–35. [Google Scholar] [CrossRef]
- Pu, T.; He, Y.; Zhu, G.; Zhang, N.; Du, J.; Wang, C. Characteristics of water stable isotopes and hydrograph separation in Baishui catchment during the wet season in Mt.Yulong region, south western China. Hydrol. Process. 2012, 27, 3641–3648. [Google Scholar] [CrossRef]
- Chen, H.; Zhu, Q.; Peng, C.; Wu, N.; Wang, Y.; Fang, X.; Gao, Y.; Zhu, D.; Yang, G.; Tian, J.; et al. The impacts of climate change and human activities on biogeochemical cycles on the Qinghai-Tibetan Plateau. Glob. Chang. Boil. 2013, 19, 2940–2955. [Google Scholar] [CrossRef]
- Tian, L.D.; Yao, T.D.; MacClune, L.; White, W.C.; Schilla, A.; Vaughn, B.; Vachon, R.; Ichiyanagi, K. Stable isotopic variations in west China: A concentration of moisture sources. J. Geophys. Res-Atmos. 2007, 112. [Google Scholar] [CrossRef]
- Merlivat, L.; Jouzel, J. Global climatic interpretation of the deuterium−oxygen18 relationship for precipitation. J. Geophys. Res. 1979, 84, 5029–5033. [Google Scholar] [CrossRef]
- Kurita, N.; Yamada, H. The Role of Local Moisture Recycling Evaluated Using Stable Isotope Data from over the Middle of the Tibetan Plateau during the Monsoon Season. J. Hydrometeorol. 2008, 9, 760–775. [Google Scholar] [CrossRef]
- Pang, Z.H.; Kong, Y.L.; Froehlich, K.; Huang, T.M.; Yuan, L.J.; Li, Z.Q.; Wang, F.T. Processes affecting isotopes in precipitation of an arid region. Tellus B 2011, 63, 352–359. [Google Scholar] [CrossRef]
- A Preliminary Analysis about the Tracks of Moisture Transportation on the Qinghai−Xizang Plateau. Available online: http://www.dlyj.ac.cn/EN/10.11821/yj1990030004 (accessed on 12 August 2020).
- Stable Isotopes of Modern Water across the Himalaya and Eastern Tibetan Plateau: Implications for Estimates of Paleoelevation and Paleoclimate. Available online: https://agupubs.onlinelibrary.wiley.com/doi/full/10.1029/2011JD016132 (accessed on 12 August 2020).
- Wu, H.B.; Wang, X.X.; Ganjurjav, H.; Hu, G.Z.; Qin, X.B.; Gao, Q.Z. Effects of increased precipitation combined with nitrogen addition and increased temperature on methane fluxes in alpine meadows of the Tibetan Plateau. Sci. Total Environ. 2020, 705, 135818. [Google Scholar] [CrossRef] [PubMed]
- Zhou, S.Q.; Masayoshi, N.; Sakai, A.; Matsuda, Y. Variations of hydrogen and oxygen stable isotope of Qiyi glacier and precipitation in the Qilian Mountains. Chin. Sci. Bull. 2007, 52, 2187–2193. [Google Scholar]
- Isotopic Pattern in Modern Global Precipitation. Available online: https://www.researchgate.net/publication/257359208_Isotopic_patterns_in_Global_Precipitation (accessed on 12 August 2020).
- Tian, L.D.; Yao, T.D.; Numaguti, A.; Duan, K.Q. Relation between stable isotope in monsoon precipitation in southern Tibetan Plateau and moisture transport history. Sci. China Ser. D Earth Sci. 2001, 44, 267–274. [Google Scholar] [CrossRef]
- Aji, K.; Tang, C.; Song, X.; Kondoh, A.; Sakura, Y.; Yu, J.; Kaneko, S. Characteristics of chemistry and stable isotopes in groundwater of Chaobai and Yongding River basin, North China Plain. Hydrol. Process. 2008, 22, 63–72. [Google Scholar] [CrossRef]
- Cui, B.L.; Li, X.Y. Characteristics of stable isotope and hydrochemistry of the groundwater around Qinghai Lake, NE Qinghai−Tibet Plateau, China. Environ. Earth Sci. 2013, 71, 1159–1167. [Google Scholar] [CrossRef]







| April | May | June | July | August | September | ||
|---|---|---|---|---|---|---|---|
| Nagqu River | 5.44 ± 2.36 | 10.35 ± 1.72 | 13.64 ± 1.10 | 15.86 ± 0.98 | 14.48 ± 0.36 | 10.00 ± 0.78 | |
| WT (°C) | Cuona Lake | 10.18 ± 1.32 | 10.22 ± 0.08 | 15.70 ± 3.17 | 17.68 ± 0.55 | 20.62 ± 0.12 | 13.98 ± 1.08 |
| Ciqu River | 11.38 ± 0.43 | 11.64 ± 0.22 | 12.17 ± 0.30 | 12.33 ± 1.00 | 11.72 ± 1.87 | 8.75 ± 1.42 | |
| Nagqu River | 8.27 ± 0.21 | 8.38 ± 0.25 | 8.50 ± 0.17 | 8.66 ± 0.17 | 8.84 ± 0.10 | 8.72 ± 0.09 | |
| pH | Cuona Lake | 8.35 ± 0.13 | 8.61 ± 0.16 | 8.98 ± 0.41 | 9.10 ± 0.18 | 9.17 ± 0.08 | 8.87 ± 0.10 |
| Ciqu River | 8.58 ± 0.01 | 8.53 ± 0.06 | 8.37 ± 0.09 | 8.48 ± 0.06 | 8.68 ± 0.02 | 8.53 ± 0.01 |
| Sample | Sampling Date | Elevation (m) | Lat. (°N) | Long. (°E) | δ18O (‰) | δ2H (‰) | Type |
|---|---|---|---|---|---|---|---|
| 1 a | 2018/5/19 | 4678 | 31.4667 | 92.1022 | −14.7 | −109.2 | Nagqu River |
| 1 b | 2018/8/28 | 4678 | 31.4667 | 92.1022 | −16.3 | −121.7 | Nagqu River |
| 2 a | 2018/4/27 | 4584 | 31.9252 | 91.5119 | −10.2 | −83.4 | Cuona Lake |
| 2 b | 2018/5/19 | 4584 | 31.9252 | 91.5119 | −9.8 | −79.8 | Cuona Lake |
| 2 c | 2018/6/25 | 4584 | 31.9252 | 91.5119 | −9.9 | −80.2 | Cuona Lake |
| 2 d | 2018/7/26 | 4584 | 31.9252 | 91.5119 | −10.0 | −80.7 | Cuona Lake |
| 2 e | 2018/8/28 | 4584 | 31.9252 | 91.5119 | −11.2 | −90.5 | Cuona Lake |
| 2 f | 2018/9/20 | 4584 | 31.9252 | 91.5119 | −10.1 | −81.5 | Cuona Lake |
| 3 a | 2018/5/19 | 4586 | 31.9233 | 91.5147 | −8.6 | −73.0 | Cuona Lake |
| 3 b | 2018/8/28 | 4586 | 31.9233 | 91.5147 | −10.3 | −85.5 | Cuona Lake |
| 4 a | 2018/4/27 | 4569 | 31.7633 | 91.5581 | −11.1 | −92.6 | Nagqu River |
| 4 b | 2018/5/19 | 4569 | 31.7633 | 91.5581 | −9.5 | −81.0 | Nagqu River |
| 4 c | 2018/6/25 | 4569 | 31.7633 | 91.5581 | −9.1 | −70.4 | Nagqu River |
| 4 d | 2018/7/26 | 4569 | 31.7633 | 91.5581 | −12.0 | −94.2 | Nagqu River |
| 4 e | 2018/8/28 | 4569 | 31.7633 | 91.5581 | −14.0 | −110.9 | Nagqu River |
| 4f | 2018/9/20 | 4569 | 31.7633 | 91.5581 | −13.0 | −101.7 | Nagqu River |
| 5 a | 2018/5/19 | 4546 | 31.6697 | 91.7181 | −16.5 | −130.3 | Nagqu River |
| 5 b | 2018/8/28 | 4546 | 31.6697 | 91.7181 | −13.4 | −107.7 | Nagqu River |
| 6 a | 2018/5/19 | 4500 | 31.4678 | 92.0417 | −14.3 | −112.3 | Ciqu River |
| 6 b | 2018/8/28 | 4500 | 31.4678 | 92.0417 | −16.9 | −130.7 | Ciqu River |
| 7 a | 2018/4/27 | 4468 | 31.4675 | 92.0372 | −15.2 | −118.3 | Ciqu River |
| 7 b | 2018/5/19 | 4468 | 31.4675 | 92.0372 | −14.4 | −112.0 | Ciqu River |
| 7c | 2018/6/25 | 4468 | 31.4675 | 92.0372 | −13.4 | −102.8 | Ciqu River |
| 7 d | 2018/7/26 | 4468 | 31.4675 | 92.0372 | −15.9 | −121.8 | Ciqu River |
| 7 e | 2018/8/28 | 4468 | 31.4675 | 92.0372 | −16.3 | −126.3 | Ciqu River |
| 7 f | 2018/9/20 | 4468 | 31.4675 | 92.0372 | −14.8 | −112.2 | Ciqu River |
| 8 a | 2018/5/19 | 4790 | 31.5542 | 92.2114 | −15.1 | −112.4 | Seni River |
| 8 b | 2018/8/28 | 4790 | 31.5542 | 92.2114 | −15.6 | −117.3 | Seni River |
| 9 a | 2018/5/19 | 4570 | 31.4678 | 92.1225 | −15.8 | −116.6 | Seni River |
| 9b | 2018/8/28 | 4570 | 31.4678 | 92.1225 | −15.6 | −118.9 | Seni River |
| 10 a | 2018/5/19 | 4510 | 31.4769 | 92.0539 | −14.3 | −107.7 | Seni River |
| 10 b | 2018/8/28 | 4510 | 31.4769 | 92.0539 | −14.8 | −110.5 | Seni River |
| 11 a | 2018/5/19 | 4435 | 31.4102 | 92.0133 | −14.0 | −108.8 | Nagqu River |
| 11 b | 2018/8/28 | 4435 | 31.4102 | 92.0133 | −16.5 | −128.8 | Nagqu River |
| 12 (−10) | 2018/5/19 | - | 32.3022 | 91.8686 | −14.5 | −109.6 | Ice |
| 12 (−20) | 2018/5/19 | - | 32.3022 | 91.8686 | −14.7 | −111.0 | Ice |
| 12 (−30) | 2018/5/19 | - | 32.3022 | 91.8686 | −14.9 | −111.7 | Ice |
| 12 (−40) | 2018/5/19 | - | 32.3022 | 91.8686 | −15.0 | −112.8 | Ice |
| 12 (−50) | 2018/5/19 | - | 32.3022 | 91.8686 | −15.0 | −111.9 | Ice |
| 13 a | 2018/4/24 | 4554 | 31.4667 | 92.1022 | −14.2 | −99.8 | Precipitation |
| 13 b | 2018/5/31 | 4554 | 31.4667 | 92.1022 | −16.9 | −116.4 | Precipitation |
| 13 c | 2018/6/15 | 4554 | 31.4667 | 92.1022 | −20.7 | −159.1 | Precipitation |
| 13 d | 2018/7/30 | 4554 | 31.4667 | 92.1022 | −25.9 | −201.3 | Precipitation |
| 13 e | 2018/8/20 | 4554 | 31.4667 | 92.1022 | −22.2 | −171.1 | Precipitation |
| 13 f | 2018/9/13 | 4554 | 31.4667 | 92.1022 | −15.7 | −105.1 | Precipitation |
| 14 a | 2018/4/27 | 4554 | 31.4667 | 92.1022 | −15.2 | −96.5 | Snow |
| 14 b | 2018/5/4 | 4554 | 31.4667 | 92.1022 | −21.6 | −161.3 | Snow |
| 14 c | 2018/9/20 | 4554 | 31.4667 | 92.1022 | −12.7 | −79.0 | Snow |
| 15 | 2018/5/6 | 4560 | 31.6461 | 91.7556 | −16.1 | −114.9 | Snow |
| 16 | 2018/5/6 | 4690 | 32.2983 | 91.8647 | −13.8 | −89.4 | Snow |
| 17 | 2018/5/6 | 4810 | 32.3047 | 91.8514 | −10.7 | −61.0 | Snow |
| 18 | 2018/5/6 | 4880 | 32.1896 | 91.7078 | −12.2 | −72.8 | Snow |
| 19 | 2018/5/6 | 4950 | 32.1578 | 91.6413 | −6.3 | −16.3 | Snow |
© 2020 by the authors. Licensee MDPI, Basel, Switzerland. This article is an open access article distributed under the terms and conditions of the Creative Commons Attribution (CC BY) license (http://creativecommons.org/licenses/by/4.0/).
Share and Cite
Wu, H.; Wang, X.; Shui, H.; Ganjurjav, H.; Hu, G.; Lin, Q.; Qin, X.; Gao, Q. Spatiotemporal Variations of Water Stable Isotope Compositions in Nujiang Headwaters, Qinghai-Tibetan Plateau. Sustainability 2020, 12, 6654. https://doi.org/10.3390/su12166654
Wu H, Wang X, Shui H, Ganjurjav H, Hu G, Lin Q, Qin X, Gao Q. Spatiotemporal Variations of Water Stable Isotope Compositions in Nujiang Headwaters, Qinghai-Tibetan Plateau. Sustainability. 2020; 12(16):6654. https://doi.org/10.3390/su12166654
Chicago/Turabian StyleWu, Hongbao, Xuexia Wang, Hongwei Shui, Hasbagan Ganjurjav, Guozheng Hu, Quanhong Lin, Xiaobo Qin, and Qingzhu Gao. 2020. "Spatiotemporal Variations of Water Stable Isotope Compositions in Nujiang Headwaters, Qinghai-Tibetan Plateau" Sustainability 12, no. 16: 6654. https://doi.org/10.3390/su12166654
APA StyleWu, H., Wang, X., Shui, H., Ganjurjav, H., Hu, G., Lin, Q., Qin, X., & Gao, Q. (2020). Spatiotemporal Variations of Water Stable Isotope Compositions in Nujiang Headwaters, Qinghai-Tibetan Plateau. Sustainability, 12(16), 6654. https://doi.org/10.3390/su12166654

