Social Vulnerability to Natural Hazards in Namibia: A District-Based Analysis
Abstract
1. Introduction
2. Materials and Methods
2.1. Study Area
2.2. Natural Hazard Regime
2.3. Material and Methods
2.3.1. Social Vulnerability Indicators
2.3.2. Natural Hazard Indicators
2.3.3. District-Based Vulnerability Assessment
3. Results
3.1. District-Based Pattern of Social Vulnerability
3.2. Exposure to Natural Hazards
3.3. Vulnerability Assessment
4. Discussion
4.1. Population Vulnerability Patterns
4.2. Methodological Aspects
5. Conclusions
Supplementary Materials
Author Contributions
Funding
Acknowledgments
Conflicts of Interest
Appendix A. District-Based Patterns of Main Hazard Types

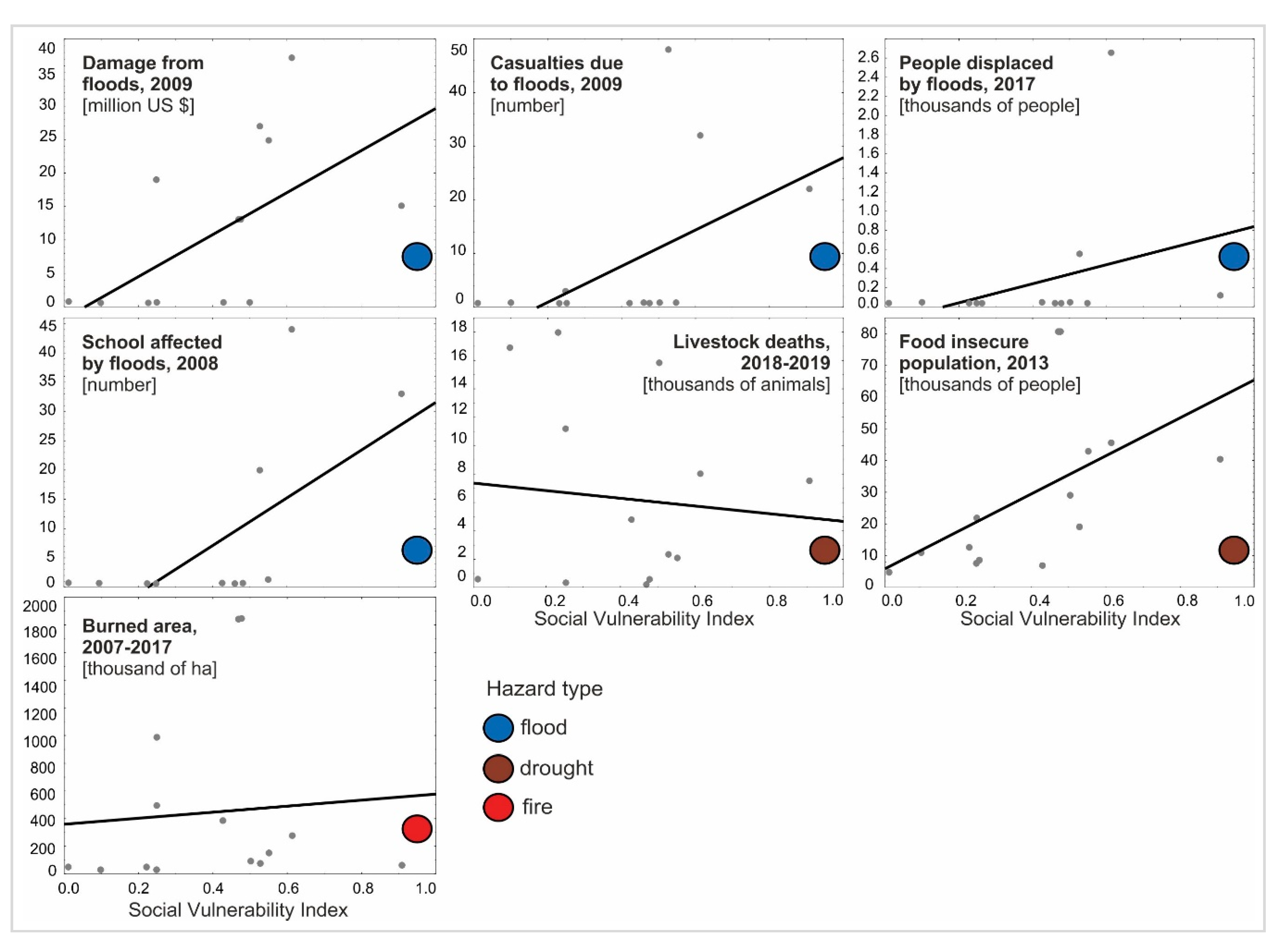
- Wildfire: Wildfire data are derived from the regular monitoring conducted by the Remote Sensing Department of the Ministry of Agriculture, Water and Forestry of Namibia, based on satellite imagery. This assessment is rather robust as it based on 10 years of observations. Identical patterns of fires were also identified in previous studies, particularly Sheuyange et al. [84] for the northeastern districts, Pricope et al. [53] and Siljander [80] for the Zambezi district, and Verlinden et al. [85] for the northern districts.
- Floods: Flood impact patterns were based on different indicators from flood seasons 2008, 2009 and 2017. The most flood-prone districts are Oshikoto, Oshana, Omusati and Ohangwena, which belong to the Cuvelai Basin floodplains. High flood incidence was documented here also by [68,73,77]. The remaining districts Kavango East, Kavango West and Zambezi, which belong to the Kavango and Zambezi river basins, showed high levels of risk too, though lower than the previous region [74]. The current dataset does not indicate any flood impact in the remaining districts, although authors in [115] indicate infrequent floods, for example, in the Kuiseb catchment in the Namib Desert. In summary, the flood pattern identified based on the used indicators is highly consistent with previous studies.
- Drought: Drought impacts were characterized based on the records from two drought seasons, 2013 and 2018–2019. These data indicate that the entire country was affected to a certain degree, though differences between districts existed. A lower level of drought impacts was observed in the central districts Khomas, Hardap and Omahake with relatively good social-economic conditions. The lower impact of drought here was therefore likely related to the higher adaptive capacity of the population relative to the remaining districts. With regard to the underlying data, drought patterns are the least robust and need to be interpreted with caution. Given the large-scale drivers of drought, which often affects multiple countries in southern Africa [116,117], all districts in Namibia need to be thought of as highly drought-exposed.
References
- Balica, S.F.; Douben, N.; Wright, N.G. Flood vulnerability indices at varying spatial scales. Water Sci. Technol. 2009, 60, 2571–2580. [Google Scholar] [CrossRef]
- Chang, S.E.; Mcdaniels, T.L.; Mikawoz, J.; Peterson, K. Infrastructure failure interdependencies in extreme events: Power outage consequences in the 1998. Nat. Hazards (Dordr.) 2006, 41, 337–358. [Google Scholar] [CrossRef]
- Botzen, W.J.W.; Deschenes, O.; Sanders, M. The economic impacts of natural disasters: A review of models and empirical studies. Rev. Environ. Econ. Policy 2019, 13, 167–188. [Google Scholar] [CrossRef]
- Yuan, X.C.; Sun, X. Climate change impacts on socioeconomic damages from weather–related events in China. Nat. Hazards (Dordr.) 2019, 99, 1197–1213. [Google Scholar] [CrossRef]
- Zhang, M.; Xiang, W.; Chen, M.; Mao, Z. Measuring social vulnerability to flood disasters in China. Sustainability 2018, 10, 2676. [Google Scholar] [CrossRef]
- Sebesvari, Z.; Renaud, F.G.; Haas, S.; Tessler, Z.; Hagenlocher, M.; Kloos, J.; Szabo, S.; Tejedor, A.; Kuenzer, C. A review of vulnerability indicators for deltaic social–Ecological systems. Sustain. Sci. 2016, 11, 575–590. [Google Scholar] [CrossRef]
- Cutter, S.L.; Mitchell, J.T.; Scott, M.S. Revealing the vulnerability of people and places: A case study of Georgetown. Ann. Assoc. Am. Geogr. 2000, 90, 713–737. [Google Scholar] [CrossRef]
- Ahmad, T.; Pandey, A.C.; Kumar, A. Flood hazard vulnerability assessment in Kashmir Valley, India using geospatial approach. Phys. Chem. Earth 2018, 105, 59–71. [Google Scholar] [CrossRef]
- Cutter, S.L.; Finch, C. Temporal and Spatial Changes in Social Vulnerability to Natural Hazards. Proc. Natl. Acad. Sci. USA 2018, 105, 2301–2306. [Google Scholar] [CrossRef]
- Rufat, S.; Tate, E.; Burton, C.G.; Maroof, A.S. Social vulnerability to floods: Review of case studies and implications for measurement. Int. J. Disaster Risk Reduct. 2015, 14, 470–486. [Google Scholar] [CrossRef]
- Ahmadalipour, A.; Moradkhani, H. Multi-Dimensional assessment of drought vulnerability in Africa: 1960–2100. Sci. Total Environ. 2018, 644, 520–535. [Google Scholar] [CrossRef] [PubMed]
- Scholze, M.; Knorr, W.; Arnell, N.W.; Prentice, I.C. A climate-change risk analysis for world ecosystems. Proc. Natl. Acad. Sci. USA 2006, 103, 13116–13120. [Google Scholar] [CrossRef]
- Gaillard, J.C.; Cadag, J.R.D.; Rampengan, M.M.F. People’s capacities in facing hazards and disasters: An overview. Nat. Hazards (Dordr.) 2018, 95, 863–876. [Google Scholar] [CrossRef]
- Clar, C. How demographic developments determine the management of hydrometeorological hazard risks in rural communities: The linkages between demographic and natural hazards research. Wires Water 2019, 1–20. [Google Scholar] [CrossRef]
- Cutter, S.L.; Boruff, B.J.; Shirley, W.L. Social Vulnerability to Environmental Hazards. Soc. Sci. Q. 2003, 84, 242–261. [Google Scholar] [CrossRef]
- Mayhorn, C.B. Cognitive aging and the processing of hazard information and disaster warnings. Nat. Hazards Rev. 2005, 6, 165–170. [Google Scholar] [CrossRef]
- Seplaki, C.L.; Goldman, N.; Weinstein, M.; Lin, Y. Before and after the 1999 Chi-Chi earthquake: Traumatic events and depressive symptoms in an older population. Soc. Sci. Med. 2006, 62, 3121–3132. [Google Scholar] [CrossRef]
- Cutter, S.L.; Barnes, L.; Berry, M.; Burton, C.; Evans, E.; Tate, E.; Webb, J. A Place-Based model for understanding community resilience to natural disasters. Glob. Environ. Chang. 2008, 18, 598–606. [Google Scholar] [CrossRef]
- Wahid, Y.; Hossain, M.B.; Hasan, M.U. Social vulnerability in the coastal region of Bangladesh: An investigation of social vulnerability index and scalar change effects. Int. J. Disaster Risk Reduct. 2019, 41, 1–14. [Google Scholar] [CrossRef]
- Wang, Z.; Lam, N.S.N.; Obradovich, N.; Ye, X. Are vulnerable communities digitally left behind in social responses to natural disasters? An evidence from Hurricane Sandy with Twitter data. Appl. Geogr. 2019, 108, 1–8. [Google Scholar] [CrossRef]
- Birkmann, J. Measuring vulnerability to promote disaster-resilient societies: Conceptual frameworks and definitions. In Measuring Vulnerability to Natural Hazards: Towards Disaster Resilient Societies, 2nd ed.; Birkmann, J., Ed.; UNU-Press: Tokyo, Japan, 2006; pp. 7–54. [Google Scholar]
- Kantamaneni, K. Evaluation of social vulnerability to natural hazards: A case of Barton on Sea, England. Arab. J. Geosci. 2019, 12, 628. [Google Scholar] [CrossRef]
- Pachauri., R.K.; Allen, M.R.; Barros, V.R. Climate Change 2014: Synthesis Report. Contribution of Working Groups I, II and III to the Fifth Assessment Report of the Intergovernmental Panel on Climate Change; ISBN 9789291691432. IPCC: Geneva, Switzerland, 2014. [Google Scholar]
- Török, I. Qualitative assessment of social vulnerability to flood hazards in Romania. Sustainability 2018, 10, 3780. [Google Scholar] [CrossRef]
- Rygel, L.; O’Sullivan, D.; Yarnal, B. A Method for constructing a social vulnerability index: An application to hurricane storm surges in a developed country. Mitig. Adapt. Strat. Glob. Chang. 2006, 11, 741–764. [Google Scholar] [CrossRef]
- Otto, I.M.; Reckien, D.; Reyer, C.P.O.; Marcus, R.; Le Masson, V.; Jones, L.; Norton, A.; Serdeczny, O. Social vulnerability to climate change: A review of concepts and evidence. Reg. Environ. Chang. 2017, 17, 1651–1662. [Google Scholar] [CrossRef]
- Malone, E.L.; Engle, N.L. Evaluating regional vulnerability to climate change: Purposes and methods. Wires Clim. Chang. 2011, 2, 462–474. [Google Scholar] [CrossRef]
- Stanickova, M.; Melecký, L. Understanding of resilience in the context of regional development using composite index approach: The case of European Union NUTS-2 regions. Reg. Stud. Reg. Sci. 2018, 5, 231–254. [Google Scholar] [CrossRef]
- Brooks, N.; Adger, W.N.; Kelly, P.M. The determinants of vulnerability and adaptive capacity at the national level and the implications for adaptation. Glob. Environ. Chang. 2005, 151–163. [Google Scholar] [CrossRef]
- Adger, W.N.; Brooks, N.; Bentham, G.; Agnew, M. New indicators of vulnerability and adaptive capacity. Final Project Report. Tyndal Cent. Clim. Chang. 2004. [Google Scholar]
- Fekete, A. Validation of a Social Vulnerability Index in Context to River-floods in Validation of a social vulnerability index in context to River-Floods in Germany. Nat. Hazards Earth Syst. Sci. 2009, 9, 393–403. [Google Scholar] [CrossRef]
- Fatemi, F.; Ardalan, A.; Aguirre, B.; Mansouri, N.; Mohammadfam, I. Social vulnerability indicators in disasters: Findings from a systematic review. Int. J. Disaster Risk Reduct. 2017, 22, 219–227. [Google Scholar] [CrossRef]
- Kodavalla, V.; Meshram, I.I.; Gottimukkula, M.; Kodavanti, M.R.; Kakani, S.; Avula, L. Development of composite index and ranking the districts using nutrition survey data in Madhya Pradesh, India. Indian J. Community Health 2015, 27, 204–210. [Google Scholar]
- Krishnan, V. Constructing an Area-Based Socioeconomic Index: A Principal Components Analysis Approach. Early Child Development Mapping Project Alberta, Edmonton, Canada. 2010. Available online: https://www.ualberta.ca/-/media/ualberta/faculties-and-programs/centres-institutes/community-university-partnership/research/ecmap-reports/seicupwebsite10april13-1.pdf (accessed on 27 January 2020).
- Krishnan, V. Development of a multidimensional living conditions index (LCI). Soc. Indic. Res. 2015, 120, 455–481. [Google Scholar] [CrossRef]
- De Silva, M.M.G.T.; Kawasaki, A. Socioeconomic vulnerability to disaster risk: A case study of flood and drought impact in a rural Sri Lankan community. Ecol. Econ. 2018, 152, 131–140. [Google Scholar] [CrossRef]
- Mertz, O.; Halsnæs, K.; Olesen, J.E.; Rasmussen, K. Adaptation to climate change in developing countries. Environ. Manag. 2009, 43, 743–752. [Google Scholar] [CrossRef] [PubMed]
- Herslund, L.B.; Jalayer, F.; Jean-Baptiste, N.; Jørgensen, G.; Kabisch, S.; Kombe, W.; Lindley, S.; Nyed, P.K.; Pauleit, S.; Printz, A.; et al. A Multi-Dimensional assessment of urban vulnerability to climate change in Sub-Saharan Africa. Nat. Hazards (Dordr.) 2016, 82, 149–172. [Google Scholar] [CrossRef]
- Luetkemeier, R.; Stein, L.; Drees, L.; Liehr, S. Blended drought index: Integrated drought hazard assessment in the Cuvelai-Basin. Climate 2017, 5, 51. [Google Scholar] [CrossRef]
- Davis-Reddy, C.L.; Vincent, K. Climate Risk and Vulnerability: A Handbook for Southern Africa, 2nd ed.; ISBN 9780620765220. Council for Scientific and Industrial Research: Pretoria, South Africa, 2017. [Google Scholar]
- Dintwa, K.F.; Letamo, G.; Navaneetham, K. Quantifying social vulnerability to natural hazards in Botswana: An application of cutter model. Int. J. Disaster Risk Reduct. 2019, 37, 1–12. [Google Scholar] [CrossRef]
- Luetkemeier, R.; Liehr, S. Household Drought Risk Index (HDRI): Social-ecological assessment of drought risk in the Cuvelai-Basin. J. Nat. Resour. Dev. 2018, 8, 46–68. [Google Scholar] [CrossRef]
- Reid, H.; Sahlén, L.; Stage, J.; MacGregor, J. Climate change impacts on Namibia’ s natural resources and economy. Clim. Policy 2008, 8, 452–466. [Google Scholar] [CrossRef]
- Hummel, D.; Doevenspeck, M.; Samimi, C. Climate Change, Environment and Migration in the Sahel: Selected Issues with a Focus on Senegal and Mali; working paper No. 1; Micle: Frankfurt, Germany, 2012. [Google Scholar]
- Kamali, B.; Abbaspour, K.C.; Wehrli, B.; Yang, H. A Quantitative analysis of Socio-Economic determinants influencing crop drought vulnerability in Sub-Saharan Africa. Sustainability 2019, 11, 6135. [Google Scholar] [CrossRef]
- Rapolaki, R.S.; Blamey, R.C.; Hermes, J.C.; Reason, C.J.C. A classification of synoptic weather patterns linked to extreme rainfall over the Limpopo River Basin in southern Africa. Clim. Dyn. 2019, 53, 2265–2279. [Google Scholar] [CrossRef]
- Global Drought Observatory. GDO Analytical Report: Drought in Southern Africa–January 2019; Copernicus: Göttingen, Germany, 2019; Available online: https://www.gdacs.org/Public/download.aspx?type=DC&id=144 (accessed on 6 January 2020).
- Lendelvo, S.; Angula, M.N.; Mogotsi, I.; Aribeb, K. Towards the reduction of vulnerabilities and risks of climate change in the Community-Based tourism, Namibia. In Natural Hazards—Risk Assessment and Vulnerability Reduction; do Carmo, J.S.A., Ed.; BoD—Books on Demand: London, UK, 2018; pp. 87–105. ISBN 978-1-78984-820-5. [Google Scholar]
- Liehr, S.; Röhrig, J.; Mehring, M.; Kluge, T. How the Social-Ecological systems concept can guide transdisciplinary research and implementation: Addressing water challenges in central northern Namibia. Sustainability 2017, 9, 1109. [Google Scholar] [CrossRef]
- Angombe, S.T. Evaluation of drought indices using the 40-percentile threshold for the North-Central regions of Namibia. J. Stud. Humanit. Soc. Sci. 2012, 1, 2026–7215. [Google Scholar]
- Landman, W.A.; Barnston, A.G.; Vogel, C.; Savy, J. Use of El Niño–Southern Oscillation related seasonal precipitation predictability in developing regions for potential societal benefit. Int. J. Clim. 2019, 39, 5327–5337. [Google Scholar] [CrossRef]
- Nhamo, L.; Mabhaudhi, T. Preparedness or repeated short-term relief aid? Building drought resilience through early warning in southern Africa. Water SA 2019, 45, 75–85. [Google Scholar] [CrossRef]
- Pricope, N.G.; Gaughan, A.E.; All, J.D.; Binford, M.W.; Rutina, L.P. Spatio-temporal analysis of vegetation dynamics in relation to shifting inundation and fire regimes: Disentangling environmental variability from land management decisions in a southern African transboundary watershed. Land 2015, 4, 627–655. [Google Scholar] [CrossRef]
- Angula, M.N.; Menjono, E. Gender, culture and climate change in rural Namibia. J. Stud. Humanit. Soc. Sci. 2014, 3, 225–238. [Google Scholar]
- Mabuku, M.P.; Senzanje, A.; Mudhara, M.; Jewitt, G. Rural households’ flood preparedness and social determinants in Mwandi district of Zambia and Eastern Zambezi Region of Namibia. Int. J. Disaster Risk Reduct. 2018, 28, 284–297. [Google Scholar] [CrossRef]
- Government Republic of Namibia (GRN), National Disaster Risk Management Plan; Government Republic of Namibia: Windhoek, Namibia, 2011.
- Food and Agriculture Organization of the United Nations (FAO). Food and Agriculture: Key to Achieving the 2030 Agenda for Sustainable Development; Food and Agriculture Organization of the United Nations: Rome, Italy, 2016. [Google Scholar]
- Government Republic of Namibia. Climate Change Vulnerability & Adaptation Assessment: Namibia; Government Republic of Namibia: Windhoek, Namibia, 2008.
- Awadallah, A.G.; Tabet, D. Estimating flooding extent at high return period for ungauged braided systems using remote sensing: A case study of Cuvelai Basin, Angola. Nat. Hazards (Dordr.) 2015, 77, 255–272. [Google Scholar] [CrossRef]
- Mittermeier, R.A.; Turner, W.R.; Larsen, F.W.; Brooks, T.M.; Gascon, C. Global biodiversity conservation: The critical role of hotspots. In Biodiversity Hotspots: Distribution and Protection of Conservation Priority Areas; Zachos, F.E., Habel, J.C., Eds.; Springer: Heidelberg, Germany, 2011; pp. 3–22. ISBN 978-3-642-20991-8. [Google Scholar]
- Scraping the Pot: San in Namibia Two Decades After Independence; Dieckmann, U., Thiem, M., Dirkx, E., Hays, J., Eds.; Legal Assistance Centre (LAC): Windhoek, Namibia, 2014; ISBN 978-99945-61-52-0. [Google Scholar]
- Lee, R.B.; Hitchcock, R.K. African Hunter-Gatherers: Survival, history and the politics of identity. Afr. Study Monogr. 2001, 26, 257–280. [Google Scholar]
- Central Inteligence Agency. The World Factbook. Available online: https://www.cia.gov/library/publications/the-world-factbook/geos/wa.html (accessed on 5 June 2020).
- Melber, H. Colonialism, land, ethnicity, and class: Namibia after the second national land conference. Afr. Spectr. 2019, 54, 73–86. [Google Scholar] [CrossRef]
- Hoole, A.; Berkes, F. Breaking down fences: Recoupling Social–Ecological systems for biodiversity conservation in Namibia. Geoforum 2009, 41, 304–317. [Google Scholar] [CrossRef]
- Namibia’s Red Line: The History of a Veterinary and Settlement Border; Giorgio, M., Ed.; Palgrave MacMillan: London, UK, 2012. [Google Scholar]
- Newsham, A.J.; Thomas, D.S.G. Knowing, farming and climate change adaptation in North-Central Namibia. Glob. Environ. Chang. 2011, 21, 761–770. [Google Scholar] [CrossRef]
- Hooli, L.J. Resilience of the poorest: Coping strategies and indigenous knowledge of living with the floods in Northern Namibia. Reg. Environ. Chang. 2015, 16, 695–707. [Google Scholar] [CrossRef]
- Van Rooy, G.; Roberts, B.; Schier, C.; Swartz, J.; Levine, S. Income Poverty and Inequality in Namibia; Discussion Paper No. 1: Windhoek, Namibia, 2007. [Google Scholar]
- Namibia Statistics Agency. Poverty Dynamics in Namibia: A Comparative Study Using 1993/1994, 2003/04 and the 2009/10 NHIES Surveys; Namibia Statistics Agency: Windhoek, Namibia, 2012. [Google Scholar]
- Mendelsohn, J.; Jarvis, A.; Roberts, C.; Robertson, T. Atlas of Namibia: A Portrait of the Land and Its People; David Philip Publishers: Cape Town, South Africa, 2002. [Google Scholar]
- Taukeni, S.; Chitiyo, G.; Chitiyo, M.; Asino, I.; Shipena, G. Post-Traumatic stress disorder amongst children aged 8–18 affected by the 2011 northern-Namibia floods. Jàmbá. J. Disaster Risk Stud. 2011, 8, 1–6. [Google Scholar] [CrossRef]
- Kluge, T.; Liehr, S.; Lux, A.; Moser, P.; Niemann, S.; Umlauf, N.; Urban, W. IWRM concept for the Cuvelai Basin in northern Namibia. Phys. Chem. Earth 2008, 33, 48–55. [Google Scholar] [CrossRef]
- Vallejo Orti, M.; Negussie, K.G. Temporal statistical analysis and predictive modelling of drought and flood in Rundu–Namibia. Clim. Dyn. 2019, 53, 1247–1260. [Google Scholar] [CrossRef]
- Speranza, C.I. Flood disaster risk management and humanitarian interventions in the Zambezi River Basin: Implications for adaptation to climate change. Clim. Dev. 2010, 2, 176–190. [Google Scholar] [CrossRef]
- Government Republic of Namibia. A Policy for Disaster Risk Management in Namibia 2009; Office of the Prime Minister—Directorate Disaster Risk Management: Windhoek, Namibia, 2009.
- Awala, S.K.; Hove, K.; Wanga, M.A.; Valombola, J.S.; Mwandemele, O.D. Rainfall trend and variability in Semi-Arid northern Namibia: Implications for smallholder agricultural production. Welwitschai Int. J. Agric. Sci. 2019, 5–25. [Google Scholar]
- Luetkemeier, R.; Liehr, S. Integrated Responses to Drought Risk in Namibia and Angola; ISOE—nstitute for Social-Ecological Research: Frankfurt, Germany, 2019; pp. 1–7. [Google Scholar]
- Government Republic of Namibia. Agricultural Inputs and Household Food Security Situation Report; Government Republic of Namibia: Windhoek, Namibia, 2019.
- Siljander, M. Predictive fire occurrence modelling to improve burned area estimation at a regional scale: A case study in East Capriv, Namibia. Int. J. Appl. Earth Obs. Geoinf. 2009, 11, 380–393. [Google Scholar] [CrossRef]
- Government Republic of Namibia. National Forest and Veld Fire Management Policy and Strategy; Government Republic of Namibia: Windhoek, Namibia, 2019.
- van Wilgen, B.W. The evolution of fire management practices in savanna protected areas in South Africa. S. Afr. J. Sci. 2009, 105, 343–349. [Google Scholar] [CrossRef]
- Government Republic of Namibia. Fire Management Strategy for Namibia’s Protected Areas; Government Republic of Namibia: Windhoek, Namibia, 2016.
- Sheuyange, A.; Oba, G.; Weladji, R.B. Effects of anthropogenic fire history on savanna vegetation in northeastern Namibia. J. Environ. Manag. 2005, 75, 189–198. [Google Scholar] [CrossRef] [PubMed]
- Verlinden, A.; Laamanen, R. Long term fire scar monitoring with remote sensing in northern namibia: Relations between fire frequency, rainfall, land cover, fire management and trees. Environ. Monit. Assess. 2006, 112, 231–253. [Google Scholar] [CrossRef]
- TIBCO Software Inc. Statistica, Software release 13.4. 2018. [Google Scholar]
- R Core Team. A Language and Environment for Statistical Computing. R Foundation for Statistical Computing; R Core Team: Vienna, Austria, 2017. [Google Scholar]
- ESRI ArcGIS Desktop: Release 10.8. Redlands, CA: Environmental Systems Research Institute 2020.
- Bunting, E.; Steele, J.; Keys, E.; Muyengwa, S.; Child, B.; Southworth, J. Local perception of risk to livelihoods in the Semi-Arid landscape of Southern Africa. Land 2013, 2, 225–251. [Google Scholar] [CrossRef]
- O’Brien, K.; Quinlan, T.; Ziervogel, G. Vulnerability interventions in the context of multiple stressors: Lessons from the Southern African Vulnerability Initiative (SAVI). Environ. Sci. Policy 2009, 12, 23–32. [Google Scholar] [CrossRef]
- Davies, J.E.; Spear, D.; Ziervogel, G.; Hegga, S.; Angula, N.; Kunamwene, I.; Togarepi, C.; Elaine, J.; Spear, D.; Ziervogel, G.; et al. Avenues of understanding: Mapping the intersecting barriers to adaptation in Namibia. Clim. Dev. 2020, 12, 268–280. [Google Scholar] [CrossRef]
- Hegga, S.; Ziervogel, G.; Angula, M.; Spear, D.; Nyamwanza, A.; Ndeunyema, E.; Kunamwene, I.; Togarepi, C.; Morchain, D. Vulnerability and Risk Assessment in Omusati Region. In Namibia: Fostering People-Centred Adaptation to Climate Change; CARIAA: Ottawa, ON, Canada, 2016. [Google Scholar]
- Angula, M.N.; Kaundjua, M.B. The changing climate and human vulnerability in North-Central Namibia. Jàmbá. J. Disaster Risk Stud. 2016, 8, 1–7. [Google Scholar] [CrossRef]
- Taapopi, M.; Kamwi, J.M.; Siyambango, N. Perception of farmers on conservation agriculture for climate change adaptation in Namibia. Environ. Nat. Resour. Res. 2018, 8, 33–43. [Google Scholar] [CrossRef]
- Angula, M. Gender and Climate Change: Namibia Case Study; Heinrich böll Foundation southern Africa: Cape Town, South Africa, 2010. [Google Scholar]
- Nhemachena, C.; Matchaya, G.; Nhemachena, C.R.; Karuaihe, S.; Muchara, B.; Nhlengethwa, S. Measuring baseline Agriculture-Related sustainable development goals index for southern Africa. Sustainability 2018, 10, 849. [Google Scholar] [CrossRef]
- Dilshad, T.; Mallick, D.; Udas, P.B.; Goodrich, C.G.; Prakash, A.; Gorti, G.; Bhadwal, S.; Anwar, M.Z.; Khandekar, N.; Hassan, S.M.T.; et al. Growing social vulnerability in the river basins: Evidence from the Hindu Kush Himalaya (HKH) Region. Environ. Dev. 2019, 31, 19–33. [Google Scholar] [CrossRef]
- Mayr, M.; Le Roux, J.; Samimi, C. The Effect of Land Use Practices on the Spatial and Temporal Characteristics of Savanna Fires in Namibia; University of Bayreuth: Bayreuth, Germany, 2015. [Google Scholar]
- Eriksen, S.; Silva, J.A. The vulnerability context of a savanna area in Mozambique: Household drought coping strategies and responses to economic change. Environ. Sci. Policy 2009, 12, 33–52. [Google Scholar] [CrossRef]
- Davies, J.; Spear, D.; Chappel, A.; Joshi, N.; Togarepi, C.; Kunamwene, I. Considering religion and tradition in climate smart Agriculture: Insights from Namibia. In The Climate-Smart Agriculture Papers: Investigating the Business of a Productive, Resilient and Low Emission Future; Rosenstock, T.S., Nowak, A., Girvetz, E., Eds.; Springer Nature Switzerland AG: Gewerbestrasse, Switzerland, 2019; pp. 187–197. ISBN 9783319927985. [Google Scholar]
- Osbahr, H.; Twyman, C.; Adger, W.N.; Thomas, D.S.G. Evaluating successful livelihood adaptation to climate variability and change in Southern Africa. Ecol. Soc. 2010, 15, 1–20. [Google Scholar] [CrossRef]
- Gan, T.Y.; Ito, M.; Hülsmann, S.; Qin, X.; Lu, X.X.; Liong, S.-Y.; Rutschman, M.D.; Koivusalo, H. Possible climate change/variability and human impacts, vulnerability of Drought-Prone regions, water resources and capacity building for Africa. Hydrol. Sci. J. 2016, 61, 1209–1226. [Google Scholar] [CrossRef]
- Zinyengere, N.; Crespo, O.; Hachigonta, S. Crop response to climate change in southern Africa: A comprehensive review. Glob. Planet. Chang. 2013, 111, 118–126. [Google Scholar] [CrossRef]
- Kusangaya, S.; Warburton, M.L.; van Garderen, E.A.; Jewitt, G.P.W. Impacts of climate change on water resources in southern Africa: A review. Phys. Chem. Earth Parts A/B/C 2014, 67–69, 47–54. [Google Scholar] [CrossRef]
- Serdeczny, O.; Adams, S.; Baarsch, F.; Coumou, D.; Robinson, A.; Hare, W.; Schaeffer, M.; Perrette, M.; Reinhardt, J. Climate change impacts in Sub-Saharan Africa: From physical changes to their social repercussions. Reg. Environ. Chang. 2017, 17, 1585–1600. [Google Scholar] [CrossRef]
- Chakraborty, L.; Rus, H.; Henstra, D.; Thistlethwaite, J.; Scott, D. A Place-Based socioeconomic status index: Measuring social vulnerability to flood hazards in the context of environmental justice. Int. J. Disaster Risk Reduct. 2019, 43, 1–12. [Google Scholar] [CrossRef]
- Dwyer, A.; Zoppou, C.; Nielsen, O.; Day, S.; Robert, S. Quantifying Social Vulnerability: A methodology for identifying those at risk to natural hazards; Geoscience Australia: Canberra, Australia, 2004; ISBN 1-920871-09-8.
- Bauer, S.; Scholz, I. Adaptation to climate change in Southern Africa: New boundaries for sustainable development? Clim. Dev. 2010, 2, 83–93. [Google Scholar] [CrossRef]
- Skilodimou, H.D.; Bathrellos, G.D.; Chousianitis, K.; Youssef, A.M.; Pradhan, B. Multi-hazard assessment modeling via Multi-Criteria analysis and GIS: A case study. Environ. Earth Sci. 2019, 78, 1–21. [Google Scholar] [CrossRef]
- Bathrellos, G.D.; Skilodimou, H.D.; Chousianitis, K.; Youssef, A.M.; Pradhan, B. Suitability estimation for urban development using Multi-Hazard assessment map. Sci. Total Environ. 2017, 575, 119–134. [Google Scholar] [CrossRef]
- Government Republic of Namibia. Disaster Risk Management Plan; Office of the Prime Minister—Directorate Disaster Risk Management: Windhoek, Namibia, 2011.
- Hosegood, V.; Madhavan, S. Data availability on men’s involvement in families in Sub-Saharan Africa to inform Family-Centred programmes for children aff ected by HIV and AIDS. J. Int. Aids Soc. 2010, 13, 1–7. [Google Scholar] [CrossRef] [PubMed]
- Obrist, B.; Pfeiffer, C.; Henley, R. Multi-layered social resilience: A new approach in mitigation research. Prog. Dev. Stud. 2010, 10, 283–293. [Google Scholar] [CrossRef]
- Saja, A.M.A.; Goonetilleke, A.; Teo, M.; Ziyath, A.M. A critical review of social resilience assessment frameworks in disaster management. Int. J. Disaster Risk Reduct. 2019, 35, 101096. [Google Scholar] [CrossRef]
- Grodek, T.; Benito, G.; Botero, B.A.; Jacoby, Y.; Porat, N.; Haviv, I.; Cloete, G. The last millennium largest floods in the hyperarid Kuiseb River basin, Namib Desert. J. Quat. Sci. 2013, 28, 258–270. [Google Scholar] [CrossRef]
- Archer, E.R.M.; Landman, W.A.; Tradross, M.A.; Malherbe, J.; Weepener, H.; Maluleke, P.; Marumbwa, F.M. Understanding the evolution of the 2014–2016 summer rainfall seasons in southern Africa: Key lessons. Clim. Risk Manag. 2017, 16, 22–28. [Google Scholar] [CrossRef]
- Fara, K. How Natural Are ‘Natural Disasters’? Vulnerability to Drought of Communal Farmers in Southern Namibia. Risk Manag. 2001, 3, 47–63. [Google Scholar] [CrossRef]






| Category | Variable | Unit | Abbrev. | Mean | Median | Min | Max. | Var. Coef. |
|---|---|---|---|---|---|---|---|---|
| Demographic | Population density | inhabitants/km2 | PopD | 6.81 | 4.30 | 0.50 | 23.90 | 107.49 |
| Population in rural area | % | PopRur | 61.50 | 64.50 | 5.00 | 99.00 | 44.21 | |
| Female population | % | FemPop | 50.23 | 49.45 | 46.70 | 55.00 | 5.51 | |
| <4 years old | % | Age < 5 | 14.36 | 13.60 | 12.30 | 20.10 | 15.26 | |
| >60 years old | % | Age > 60 | 6.42 | 6.35 | 3.30 | 9.90 | 23.81 | |
| Social | Total unemployment | % | Unemp | 36.06 | 37.05 | 21.90 | 52.20 | 24.51 |
| Population with disabilities | % | Disab | 4.77 | 4.60 | 2.30 | 7.60 | 32.92 | |
| HIV level | % | HIV | 13.34 | 12.45 | 7.30 | 23.70 | 29.78 | |
| Literacy rate | % | LitR | 85.66 | 85.55 | 66.50 | 96.70 | 9.86 | |
| Economic | Pension dependent | % | Pens$ | 16.14 | 14.00 | 4.00 | 31.00 | 49.72 |
| Average household income (2015) | USD | House$ | 1210 | 867 | 560 | 3506 | 63.49 | |
| Farming dependent | % | Farm | 20.86 | 21.50 | 1.00 | 60.00 | 74.07 |
| Hazard | Variable | Period | Unit | Abbrev. | Mean | Median | Min | Max | Weight |
|---|---|---|---|---|---|---|---|---|---|
| Fire | Average area burned | 2007–2017 | km2 | AreaB | 2160 | 701 | 0.0 | 9108 | 0.33 |
| Drought | Livestock deaths | 2018–2019 | number of livestock | LivestD | 6,301 | 3,590 | 0.0 | 17,955 | 0.165 |
| Food insecure population | 2013 | number of people | FInsP | 29,403 | 20,497 | 4928 | 80,720 | 0.165 | |
| Floods | Human mortality | 2009 | number of people | HumM | 7.5 | 0.0 | 0.0 | 48.0 | 0.083 |
| Schools affected | 2008 | number of schools | ScholA | 7.5 | 0.0 | 0.0 | 44.0 | 0.083 | |
| People displaced by floods | 2017 | number of people | PopDis | 238 | 0.0 | 0.0 | 2,655 | 0.083 | |
| Estimated damages | 2009 | millions of US $ | EstDam | 10.7 | 6.6 | 0.0 | 37.2 | 0.083 |
© 2020 by the authors. Licensee MDPI, Basel, Switzerland. This article is an open access article distributed under the terms and conditions of the Creative Commons Attribution (CC BY) license (http://creativecommons.org/licenses/by/4.0/).
Share and Cite
Kapuka, A.; Hlásny, T. Social Vulnerability to Natural Hazards in Namibia: A District-Based Analysis. Sustainability 2020, 12, 4910. https://doi.org/10.3390/su12124910
Kapuka A, Hlásny T. Social Vulnerability to Natural Hazards in Namibia: A District-Based Analysis. Sustainability. 2020; 12(12):4910. https://doi.org/10.3390/su12124910
Chicago/Turabian StyleKapuka, Alpo, and Tomáš Hlásny. 2020. "Social Vulnerability to Natural Hazards in Namibia: A District-Based Analysis" Sustainability 12, no. 12: 4910. https://doi.org/10.3390/su12124910
APA StyleKapuka, A., & Hlásny, T. (2020). Social Vulnerability to Natural Hazards in Namibia: A District-Based Analysis. Sustainability, 12(12), 4910. https://doi.org/10.3390/su12124910

