Land Use Change Impacts on Water Erosion in Rwanda
Abstract
1. Introduction
2. Materials and Methods
2.1. Study Area
2.2. Land Use/Land Cover (LULC) of Rwanda
2.3. The RUSLE Model
2.3.1. Rainfall Erosivity (R) Factor
2.3.2. Soil Erodibility (K) Factor
2.3.3. Slope Length and Steepness (LS) Factor
2.3.4. Cover Management (C) Factor
2.3.5. Support Practice (P) Factor
2.4. Estimated Soil Loss and Social Drivers
3. Results
3.1. Estimated Soil Erosion Rates in Rwanda
3.2. Land Use/Land Cover Change and Soil Erosion in Rwanda
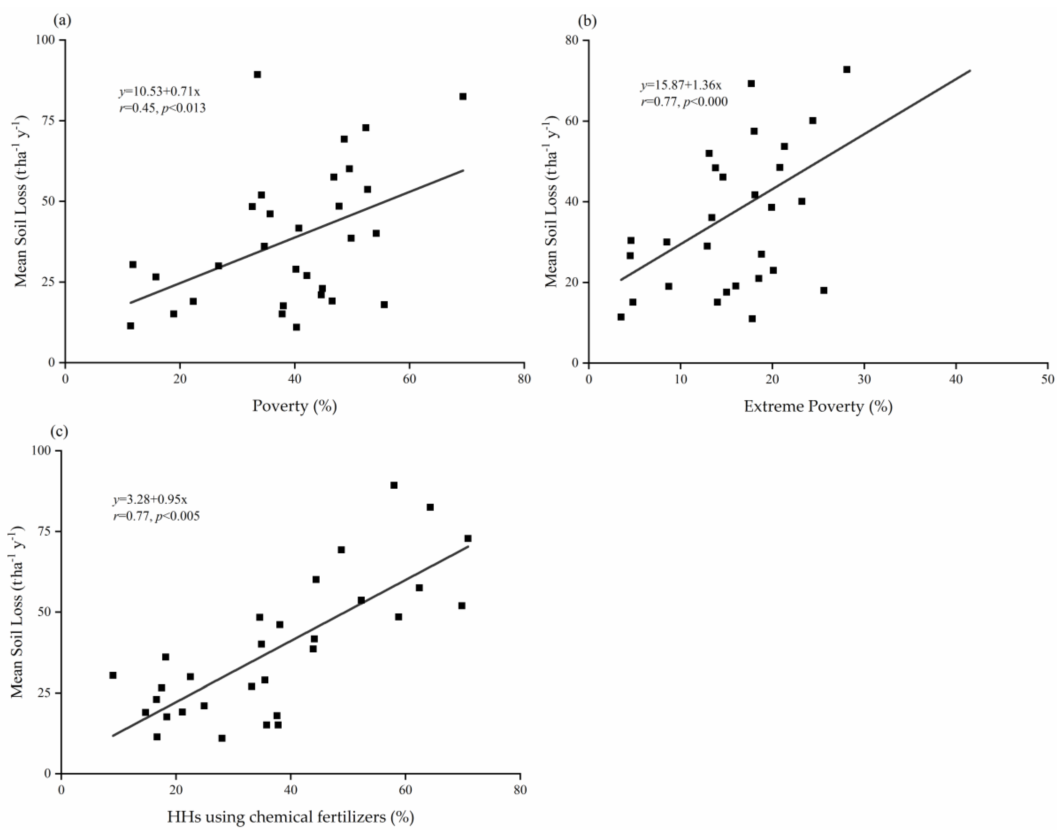
3.3. Driving Forces of Soil Erosion in Rwanda
4. Discussion
4.1. Perspective of Soil Erosion by Water in Rwanda
4.2. Impact Assessment of Soil Conservation Practices
5. Conclusions
Author Contributions
Funding
Acknowledgments
Conflicts of Interest
Appendix A
| AEZ Names | 2000 | 2015 | Net Change in Soil Loss (2000–2015) | ||
|---|---|---|---|---|---|
| Extent (%) | Mean Soil Loss (t ha−1 y−1) | Extent (%) | Mean Soil Loss (t ha−1 y−1) | ||
| Imbo | 0.7 | 48.5 | 0.7 | 29.6 | −18.9 |
| Impala | 2.8 | 86.2 | 2.8 | 59.8 | −26.4 |
| Kivu Lake Borders | 3.3 | 74.4 | 3.1 | 52.3 | −22.1 |
| Birunga/Volcano | 3.8 | 45.4 | 3.8 | 38.0 | −7.4 |
| Congo-Nile Watershed Divide | 17.2 | 107.5 | 17.4 | 82.1 | −25.4 |
| Buberuka highlands | 7.1 | 40.7 | 7.1 | 41.4 | 0.7 |
| Central Plateau and Granitic Ridge | 23.1 | 42.8 | 23.4 | 34.6 | −8.2 |
| Mayaga and Bugesera | 7.7 | 15.8 | 8.0 | 11.7 | −4.1 |
| Eastern Plateau | 15.8 | 23.4 | 15.5 | 20.6 | −2.8 |
| Eastern Savanna | 18.5 | 30.0 | 18.2 | 26.4 | −3.6 |
| Overall | 100 | 48.6 | 100 | 39.2 | −9.4 |
| District Names | 2000 | 2015 | Net Change in Soil Loss (2000–2015) | ||
|---|---|---|---|---|---|
| Extent (%) | Mean Soil Loss (t ha−1 y−1) | Extent (%) | Mean Soil Loss (t ha−1 y−1) | ||
| Nyarugenge | 0.4 | 43.2 | 0.4 | 30.4 | −12.8 |
| Gasabo | 1.7 | 32.7 | 1.6 | 26.6 | −6.1 |
| Kicukiro | 0.5 | 18.3 | 0.5 | 11.4 | −6.9 |
| Nyanza | 2.9 | 20.2 | 3.0 | 19.1 | −1.1 |
| Gisagara | 2.8 | 30.1 | 3.0 | 18.1 | −12.0 |
| Nyaruguru | 4.4 | 106.0 | 4.5 | 72.8 | 33.2 |
| Huye | 2.5 | 37.6 | 2.5 | 29.0 | −8.6 |
| Nyamagabe | 4.8 | 90.0 | 4.8 | 69.3 | −20.7 |
| Ruhango | 2.7 | 19.7 | 2.7 | 17.6 | −2.1 |
| Muhanga | 2.8 | 61.3 | 2.8 | 48.4 | −12.9 |
| Kamonyi | 2.8 | 23.6 | 2.8 | 18.9 | −4.7 |
| Karongi | 3.4 | 84.5 | 3.5 | 53.7 | −30.8 |
| Rutsiro | 2.9 | 80.7 | 3.0 | 60.1 | −20.6 |
| Rubavu | 1.4 | 56.0 | 1.4 | 46.1 | −9.9 |
| Nyabihu | 2.3 | 67.8 | 2.4 | 57.5 | −10.3 |
| Ngororero | 2.9 | 63.9 | 3.0 | 48.5 | −15.4 |
| Rusizi | 4.0 | 111.3 | 4.0 | 89.3 | −22.0 |
| Rulindo | 2.5 | 36.6 | 2.5 | 40.1 | 3.5 |
| Gakenke | 3.1 | 67.1 | 3.1 | 52.0 | −15.1 |
| Musanze | 2.2 | 49.4 | 2.1 | 41.7 | −7.7 |
| Burera | 2.3 | 40.1 | 2.3 | 38.6 | −1.5 |
| Gicumbi | 3.6 | 34.4 | 3.6 | 36.1 | 1.7 |
| Rwamagana | 2.8 | 15.7 | 2.8 | 15.1 | −0.6 |
| Nyagatare | 8.1 | 25.4 | 8.0 | 23.0 | −2.4 |
| Gatsibo | 6.5 | 31.7 | 6.3 | 26.9 | −4.8 |
| Kayonza | 7.1 | 32.4 | 7.1 | 30.0 | −2.4 |
| Kirehe | 4.7 | 24.2 | 4.5 | 21.0 | −3.2 |
| Ngoma | 3.2 | 16.5 | 3.1 | 15.1 | −1.4 |
| Bugesera | 4.6 | 12.7 | 4.6 | 10.9 | −1.8 |
| Nyamasheke | 4.1 | 103.8 | 4.1 | 82.5 | −21.3 |
| Overall | 100 | 48.6 | 100 | 39.2 | −9.4 |
| District Names | Extent (%) | Mean Soil Loss (t ha−1 y−1) | Mean Slope (%) |
|---|---|---|---|
| Nyarugenge | 0.2 | 28.3 | 26.4 |
| Gasabo | 0.8 | 26.1 | 23.7 |
| Kicukiro | 0.2 | 14.1 | 15.0 |
| Nyanza | 0.5 | 43.3 | 24.3 |
| Gisagara | 1.0 | 24.8 | 22.3 |
| Nyaruguru | 1.7 | 54.8 | 31.5 |
| Huye | 0.8 | 38.4 | 25.2 |
| Nyamagabe | 1.7 | 66.5 | 34.3 |
| Ruhango | 0.4 | 41.7 | 25.5 |
| Muhanga | 1.0 | 53.8 | 35.2 |
| Kamonyi | 0.5 | 35.8 | 26.7 |
| Karongi | 1.6 | 48.4 | 34.9 |
| Rutsiro | 1.3 | 56.4 | 33.4 |
| Rubavu | 0.7 | 33.2 | 19.8 |
| Nyabihu | 0.7 | 68.1 | 36.5 |
| Ngororero | 1.0 | 57.7 | 36.5 |
| Rusizi | 1.3 | 45.7 | 27.8 |
| Rulindo | 0.7 | 72.2 | 38.7 |
| Gakenke | 1.0 | 60.4 | 39.3 |
| Musanze | 0.5 | 25.0 | 17.3 |
| Burera | 0.5 | 62.5 | 34.4 |
| Gicumbi | 1.3 | 53.2 | 36.1 |
| Rwamagana | 1.2 | 23.0 | 18.4 |
| Nyagatare | 2.0 | 17.8 | 15.4 |
| Gatsibo | 2.2 | 21.6 | 18.7 |
| Kayonza | 2.4 | 27.3 | 18.0 |
| Kirehe | 2.1 | 21.6 | 18.5 |
| Ngoma | 1.4 | 22.8 | 20.1 |
| Bugesera | 2.4 | 15.0 | 11.2 |
| Nyamasheke | 1.5 | 57.7 | 30.7 |
| Overall | 34.6 | 38.6 | 25.4 |
References
- Bridges, E.M.; Oldeman, L.R. Global Assessment of Human-Induced Soil Degradation. Arid Soil Res. Rehabil. 1999, 13, 319–325. [Google Scholar] [CrossRef]
- Borrelli, P.; Robinson, D.A.; Fleischer, L.R.; Lugato, E.; Ballabio, C.; Alewell, C.; Meusburger, K.; Modugno, S.; Schütt, B.; Ferro, V.; et al. An assessment of the global impact of 21st century land use change on soil erosion. Nat. Commun. 2017, 8, 2013. [Google Scholar] [CrossRef] [PubMed]
- Morgan, R.P.C. Soil Erosion and Conservation, 3rd ed.; Blackwell Publishing: Oxford, UK, 2005. [Google Scholar]
- Lal, R. Soil degradation by erosion. Land Degrad. Dev. 2001, 12, 519–539. [Google Scholar] [CrossRef]
- Pimentel, D.; Harvey, C.; Resosudarmo, P.; Sinclair, K.; Kurz, D.; McNair, M.; Crist, S.; Shpritz, L.; Fitton, L.; Saffouri, R.; et al. Environmental and Economic Cost of Soil Erosion and Conservation Benefits. Science 1995, 267, 1117–1123. [Google Scholar] [CrossRef] [PubMed]
- Panagos, P.; Standardi, G.; Borrelli, P.; Lugato, E.; Montanarella, L.; Bosello, F. Cost of agricultural productivity loss due to soil erosion in the European Union: From direct cost evaluation approaches to the use of macroeconomic models. Land Degrad. Dev. 2018, 29, 471–484. [Google Scholar] [CrossRef]
- Pimentel, D.; Burgess, M. Soil Erosion Threatens Food Production. Agriculture 2013, 3, 443–463. [Google Scholar] [CrossRef]
- Pimentel, D. Soil Erosion: A Food and Environmental Threat. Environ. Dev. Sustain. 2006, 8, 119–137. [Google Scholar] [CrossRef]
- Karamage, F.; Zhang, C.; Kayiranga, A.; Shao, H.; Fang, X.; Ndayisaba, F.; Nahayo, L.; Mupenzi, C.; Tian, G. USLE-Based Assessment of Soil Erosion by Water in the Nyabarongo River Catchment, Rwanda. Int. J. Environ. Res. Public Health 2016, 13, 835. [Google Scholar] [CrossRef]
- Syvitski, J.; Vörösmarty, C.J.; Kettner, A.; Green, P. Impact of humans on the flux of terrestrial sediment to the global coastal ocean. Science 2005, 308, 376–380. [Google Scholar] [CrossRef]
- Baumhardt, R.L.; Blanco-Canqui, H. Soil: Conservation Practices. In Encyclopedia of Agriculture and Food Systems; Alfen, N.V., Ed.; Elsevier: San Diego, CA, USA, 2014; Volume 5, pp. 153–165. [Google Scholar]
- Tilman, D.; Fargione, J.; Wolff, B.; D’Antonio, C.; Dobson, A.; Howarth, R.; Schindler, D.W.; Schlesinger, W.; Simberloff, D.; Swackhamer, D. Forecasting Agriculturally Driven Global Environmental Change. Science 2001, 292, 281–284. [Google Scholar] [CrossRef]
- Justine, M.; Wanqin, Y.; Wu, F.; Tan, B.; Khan, M.; Zhao, Y. Biomass Stock and Carbon Sequestration in a Chronosequence of Pinus massoniana Plantations in the Upper Reaches of the Yangtze River. Forests 2015, 6, 3665–3682. [Google Scholar] [CrossRef]
- Hansen, M.C.; Potapov, P.; Moore, R.; Hancher, M.; Turubanova, S.; Tyukavina, A.; Thau, D.; Stehman, S.; Goetz, S.; Loveland, T.; et al. High-Resolution Global Maps of 21st-Century Forest Cover Change. Science 2013, 342, 850–853. [Google Scholar] [CrossRef] [PubMed]
- Lewis, L. Terracing and accelerated soil loss on Rwandian steeplands: A preliminary investigation of the implications of human activities affecting soil movement. Land Degrad. Dev. 1992, 3, 241–246. [Google Scholar] [CrossRef]
- Twagiramungu, F. Environmental Profile of Rwanda; European Commission: Kigali, Rwanda, 2006; Available online: https://europa.eu/capacity4dev/file/33001/download?token=bYDSWAeT (accessed on 29 July 2019).
- Clay, D.C.; Lewis, L.A. Land Use, Soil Loss, and Sustainable Agriculture in Rwanda. In Case Studies in Human Ecology; Bates, D.G., Lees, S.H., Eds.; Springer: Boston, MA, USA, 1996; pp. 271–287. [Google Scholar]
- Nsengiyumva, J.B.; Luo, G.; Amanambu, A.C.; Mind’je, R.; Habiyaremye, G.; Karamage, F.; Ochege, F.U.; Mupenzi, C. Comparing probabilistic and statistical methods in landslide susceptibility modeling in Rwanda/Centre-Eastern Africa. Sci. Total Environ. 2019, 659, 1457–1472. [Google Scholar] [CrossRef]
- Nsengiyumva, J.B.; Luo, G.; Nahayo, L.; Huang, X.; Cai, P. Landslide Susceptibility Assessment Using Spatial Multi-Criteria Evaluation Model in Rwanda. Int. J. Environ. Res. Public Health 2018, 15, 243. [Google Scholar] [CrossRef]
- Nahayo, A.; Pan, G.-X.; Joseph, S. Factors influencing the adoption of soil conservation techniques in Northern Rwanda. J. Plant Nutr. Soil Sci. 2016, 179, 367–375. [Google Scholar] [CrossRef]
- Bizoza, A.R. Three-stage analysis of the adoption of soil and water conservation in the highlands of Rwanda. Land Degrad. Dev. 2014, 25, 360–372. [Google Scholar] [CrossRef]
- Bizoza, A.R.; De Graaff, J. Financial cost–benefit analysis of bench terraces in Rwanda. Land Degrad. Dev. 2012, 23, 103–115. [Google Scholar] [CrossRef]
- Bizoza, A.R. Institutions and the Adoption of Technologies: Bench Terraces in Rwanda. In Challenges and Opportunities for Agricultural Intensification of the Humid Highland Systems of Sub-Saharan Africa; Vanlauwe, B., van Asten, P., Blomme, G., Eds.; Springer: Cham, Switzerland, 2014; pp. 335–354. [Google Scholar]
- Rushemuka, P.; Bock, L.; Mowo, J.G. Soil science and agricultural development in Rwanda: State of the art. A review. Biotechnol. Agron. Soc. Environ. 2014, 18, 142–154. [Google Scholar]
- National Institute of Statistics of Rwanda. Rwanda Statistical YearBook 2018; National Institute of Statistics of Rwanda: Kigali, Rwanda, 2018. Available online: http://www.statistics.gov.rw/publication/statistical-yearbook-2018 (accessed on 11 December 2019).
- Karamage, F.; Zhang, C.; Ndayisaba, F.; Shao, H.; Kayiranga, A.; Fang, X.; Nahayo, L.; Muhire Nyesheja, E.; Tian, G. Extent of cropland and related soil erosion risk in Rwanda. Sustainability 2016, 8, 609. [Google Scholar] [CrossRef]
- Mupenzi, J.; Li, L.; Jiwen, G.; Habumugisha, J.; Dieu, D.; Habiyaremye, G.; Jean, N.; Innocent, B. Radical Terraces in Rwanda. East Afr. J. Sci. Technol. 2012, 1, 53–58. [Google Scholar]
- Nyesheja, E.M.; Chen, X.; El-Tantawi, A.M.; Karamage, F.; Mupenzi, C.; Nsengiyumva, J.B. Soil erosion assessment using RUSLE model in the Congo Nile Ridge region of Rwanda. Phys. Geogr. 2018, 40, 339–360. [Google Scholar] [CrossRef]
- Kagabo, D.; Stroosnijder, L.; Visser, S.M.; Moore, D. Soil erosion, soil fertility and crop yield on slow-forming terraces in the highlands of Buberuka, Rwanda. Soil Till. Res. 2013, 128, 23–29. [Google Scholar] [CrossRef]
- Ministry of Agriculture and Animal Resources. Annual Report 2018–2019; Ministry of Agriculture and Animal Resources: Kigali, Rwanda, 2019. Available online: https://www.minagri.gov.rw/fileadmin/user_upload/documents/AnnualReports/Minagri_Annual_Report_2018-19.pdf (accessed on 11 December 2019).
- Benavidez, R.; Jackson, B.; Maxwell, D.; Norton, K. A review of the (Revised) Universal Soil Loss Equation ((R) USLE): With a view to increasing its global applicability and improving soil loss estimates. Hydrol. Earth Syst. Sci. 2018, 22, 6059–6086. [Google Scholar] [CrossRef]
- Karydas, C.; Panagos, P.; Gitas, I. A classification of water erosion models according to their geospatial characteristics. Int. J. Digit. Earth 2014, 7, 229–250. [Google Scholar] [CrossRef]
- Wischmeier, W.H.; Smith, D.D. Predicting Rainfall Erosion Losses—A Guide to Conservation Planning; USDA: Washington, DC, USA, 1978. [Google Scholar]
- Renard, K.G.; Foster, G.R.; Weesies, G.; McCool, D.; Yoder, D. Predicting Soil Erosion by Water: A Guide to Conservation Planning with the Revised Universal Soil Loss Equation (RUSLE); United States Department of Agriculture: Washington, DC, USA, 1997. [Google Scholar]
- Lewis, L.A.; Clay, D.C.; Dejaegher, Y.M.J. Soil loss, agriculture, and conservation in Rwanda: Toward sound strategies for soil management. J. Soil Water Conserv. 1988, 43, 418–421. [Google Scholar]
- Kabirigi, M.; Mugambi, S.; Musana, B.; Ngoga, G.; Muhutu, J.C.; Rutebuka, J.; Ruganzu, V.; Nzeyimana, I.; Nabahungu, N. Estimation of soil erosion risk, its valuation and economic implications for agricultural production in western part of Rwanda. J. Exp. Biol. Agric. Sci. 2017, 5, 525–536. [Google Scholar] [CrossRef]
- Karamage, F.; Shao, H.; Chen, X.; Ndayisaba, F.; Nahayo, L.; Kayiranga, A.; Omifolaji, K.J.; Liu, T.; Zhang, C. Deforestation Effects on Soil Erosion in the Lake Kivu Basin, D.R. Congo-Rwanda. Forests 2016, 7, 281. [Google Scholar] [CrossRef]
- Jordan, G.; Van Rompaey, A.; Szilassi, P.; Csillag, G.; Mannaerts, C.M.; Woldai, T. Historical land use changes and their impact on sediment fluxes in the Balaton basin (Hungary). Agric. Ecosyst. Environ. 2005, 108, 119–133. [Google Scholar] [CrossRef]
- Sharma, A.; Tiwari, K.N.; Bhadoria, P. Effect of land use land cover change on soil erosion potential in an agricultural watershed. Environ. Monit. Assess. 2010, 173, 789–801. [Google Scholar] [CrossRef]
- National Institute of Statistics of Rwanda. Rwanda Statistical YearBook 2017; National Institute of Statistics of Rwanda: Kigali, Rwanda, 2017. Available online: http://statistics.gov.rw/publication/statistical-yearbook-2017 (accessed on 7 September 2019).
- Nzeyimana, I.; Hartemink, A.E.; Geissen, V. Correction: GIS-based multi-criteria analysis for Arabica coffee expansion in Rwanda. PLoS ONE 2016, 11, e0149239. [Google Scholar] [CrossRef]
- Ndayisaba, F.; Guo, H.; Bao, A.; Guo, H.; Karamage, F.; Kayiranga, A. Understanding the Spatial Temporal Vegetation Dynamics in Rwanda. Remote Sens. 2016, 8, 129. [Google Scholar] [CrossRef]
- Karamage, F.; Zhang, C.; Fang, X.; Liu, T.; Ndayisaba, F.; Nahayo, L.; Kayiranga, A.; Nsengiyumva, J.B. Modeling rainfall-runoff response to land use and land cover change in Rwanda (1990–2016). Water 2017, 9, 147. [Google Scholar] [CrossRef]
- Mind’je, R.; Li, L.; Amanambu, A.C.; Nahayo, L.; Nsengiyumva, J.B.; Gasirabo, A.; Mindje, M. Flood susceptibility modeling and hazard perception in Rwanda. Int. J. Disaster Risk Reduct. 2019, 38, 101211. [Google Scholar] [CrossRef]
- Siebert, A.; Dinku, T.; Vuguziga, F.; Twahirwa, A.; Kagabo, D.; delCorral, J.; Robertson, A.W. Evaluation of ENACTS-Rwanda; A New Multi-Decade, High-Resolution Rainfall and Temperature Dataset: Climatology. Int. J. Climatol. 2019, 39, 3104–3120. [Google Scholar] [CrossRef]
- Muhire, I.; Ahmed, F.; Abd Elbasit, M. Spatio-temporal variations of rainfall erosivity in Rwanda. J. Soil Sci. Environ. Manag. 2015, 6, 72–83. [Google Scholar]
- Muhire, I.; Ahmed, F.; Abutaleb, K. Relationships between Rwandan seasonal rainfall anomalies and ENSO events. Theor. Appl. Climatol. 2014, 122, 271–284. [Google Scholar] [CrossRef]
- Muhire, I.; Ahmed, F. Spatiotemporal trends in mean temperatures and aridity index over Rwanda. Theor. Appl. Climatol. 2015, 123, 399–414. [Google Scholar] [CrossRef]
- Henninger, S. Does the global warming modify the local Rwandan climate? Nat. Sci. 2013, 5, 124–129. [Google Scholar] [CrossRef]
- Meigh, J.R.; McKenzie, A.A.; Sene, K.J. A Grid-Based Approach to Water Scarcity Estimates for Eastern and Southern Africa. Water Resour. Manag. 1999, 13, 85–115. [Google Scholar] [CrossRef]
- Stage, J.; Uwera, C. Prospects for establishing environmental satellite accounts in a developing country: The case of Rwanda. J. Clean. Prod. 2018, 200, 219–230. [Google Scholar] [CrossRef]
- Ministry of Agriculture and Animal Resources. Strategic Plan for the Transformation of Agriculture in Rwanda—Phase II (PSTA II); Final Report; Ministry of Agriculture and Animal Resources: Kigali, Rwanda, 2009. Available online: https://www.minagri.gov.rw/fileadmin/user_upload/documents/RWANDA_SAKSS/PSTA_II__2008-12_.pdf (accessed on 15 July 2019).
- Ministry of Agriculture and Animal Resources. Strategies for Sustainable Crop Intensification in Rwanda – Shifting Focus From Producing Enough to Producing Surplus; Ministry of Agriculture and Animal Resources: Kigali, Rwanda, 2011. Available online: http://www.gakenke.gov.rw/fileadmin/templates/DOCUMENT_Z_ABAKOZI/abakozi/CIP_Strategies_2011.pdf (accessed on 30 July 2019).
- Karamage, F.; Zhang, C.; Liu, T.; Maganda, A.; Isabwe, A. Soil Erosion Risk Assessment in Uganda. Forests 2017, 8, 52. [Google Scholar] [CrossRef]
- Maetens, W.; Poesen, J.; Vanmaercke, M. How effective are soil conservation techniques in reducing plot runoff and soil loss in Europe and the Mediterranean? Earth-Sci. Rev. 2012, 115, 21–36. [Google Scholar] [CrossRef]
- Maetens, W.; Vanmaercke, M.; Poesen, J.; Jankauskas, B.; Jankauskiene, G.; Ionita, I. Effects of land use on annual runoff and soil loss in Europe and the Mediterranean A meta-analysis of plot data. Prog. Phys. Geogr. 2012, 36, 599–653. [Google Scholar] [CrossRef]
- Panagos, P.; Borrelli, P.; Poesen, J.; Ballabio, C.; Lugato, E.; Meusburger, K.; Montanarella, L.; Alewell, C. The new assessment of soil loss by water erosion in Europe. Environ. Sci. Policy 2015, 54, 438–447. [Google Scholar] [CrossRef]
- Regional Centre For Mapping Resource For Development. Land Cover Viewer: Eastern & Southern Africa. Available online: http://apps.rcmrd.org/landcoverviewer/ (accessed on 6 April 2019).
- Rwanda Environment Management Authority. Chap 6. Forest and Protected Areas; Rwanda Environment Management Authority: Kigali, Rwanda, 2009. Available online: https://www.rema.gov.rw/soe/chap6.pdf (accessed on 31 July 2019).
- Akinyemi, F. Land change in the central Albertine rift: Insights from analysis and mapping of land use-land cover change in north-western Rwanda. Appl. Geogr. 2017, 87, 127–138. [Google Scholar] [CrossRef]
- Elliot, W.J.; Page-Dumroese, D.; Robichaud, P.R. The Effects of Forest Management on Erosion and Soil Productivity. In Soil Quality and Soil Erosion; Lal, R., Ed.; St. Lucie Press: Boca Raton, FL, USA, 1998; pp. 195–209. [Google Scholar]
- United States Geological Survey. U.S. Geological Survey Earthexplorer (ee) Tool. Available online: http://earthexplorer.usgs.gov/ (accessed on 19 August 2018).
- Hengl, T.; Heuvelink, G.; Kempen, B.; Leenaars, J.G.B.; Walsh, M.; Shepherd, K.; Sila, A.; Macmillan, R.A.; Mendes de Jesus, J.; Tamene, L.; et al. Mapping Soil Properties of Africa at 250 m Resolution: Random Forests Significantly Improve Current Predictions. PLoS ONE 2015, 10, e0125814. [Google Scholar] [CrossRef]
- NASA Goddard Space Flight Center. MOD13Q1—MODIS/Terra Vegetation Indices 16-Day L3 Global 250m SIN Grid. Available online: https://ladsweb.modaps.eosdis.nasa.gov/ (accessed on 6 April 2019).
- Panagos, P.; Borrelli, P.; Meusburger, K.; Yu, B.; Klik, A.; Jae Lim, K.; Yang, J.E.; Ni, J.; Miao, C.; Chattopadhyay, N.; et al. Global rainfall erosivity assessment based on high-temporal resolution rainfall records. Sci. Rep. 2017, 7, 4175. [Google Scholar] [CrossRef]
- Nearing, M.A.; Yin, S.-q.; Borrelli, P.; Polyakov, V.O. Rainfall erosivity: An historical review. Catena 2017, 157, 357–362. [Google Scholar] [CrossRef]
- Angima, S.; Stott, D.; O’neill, M.; Ong, C.; Weesies, G. Soil erosion prediction using RUSLE for central Kenyan highland conditions. Agric. Ecosyst. Environ. 2003, 97, 295–308. [Google Scholar] [CrossRef]
- Renard, K.G.; Freimund, J.R. Using monthly precipitation data to estimate the R-factor in the revised USLE. J. Hydrol. 1994, 157, 287–306. [Google Scholar] [CrossRef]
- Yang, D.; Kanae, S.; Oki, T.; Koike, T.; Musiake, K. Global potential soil erosion with reference to land use and climate changes. Hydrol. Process. 2003, 17, 2913–2928. [Google Scholar] [CrossRef]
- Williams, J.R. The EPIC Model; Computer Models of Watershed Hydrology Water Resources Publications: Highlands Ranch, CO, USA, 1995; pp. 909–1000. [Google Scholar]
- Desmet, P.J.J.; Govers, G. A GIS procedure for automatically calculating the USLE LS factor on topographically complex landscape units. J. Soil Water Conserv. 1996, 51, 427–433. [Google Scholar]
- McCool, D.K.; Brown, L.; Foster, G.; Mutchler, C.; Meyer, L. Revised Slope Length Factor for the Universal Soil Loss Equation. Trans. ASAE 1987, 30, 1387–1396. [Google Scholar] [CrossRef]
- Rodríguez José, L.G.; Suárez Martín, C.G. Estimation of slope length value of RUSLE factor L using GIS. J. Hydrol. Eng. 2010, 15, 714–717. [Google Scholar] [CrossRef]
- McCool, D.K.; Foster, G.R.; Mutchler, C.K.; Meyer, L.D. Revised Slope Length Factor for the Universal Soil Loss Equation. Trans. ASAE 1989, 32, 1571–1576. [Google Scholar] [CrossRef]
- Durigon, V.L.; Carvalho, D.F.; Antunes, M.A.H.; Oliveira, P.T.S.; Fernandes, M.M. NDVI time series for monitoring RUSLE cover management factor in a tropical watershed. Int. J. Remote Sens. 2014, 35, 441–453. [Google Scholar] [CrossRef]
- Phinzi, K.; Ngetar, N.S. The assessment of water-borne erosion at catchment level using GIS-based RUSLE and remote sensing: A review. Int. Soil Water Conserv. Res. 2019, 7, 27–46. [Google Scholar] [CrossRef]
- Renard, K.G.; Foster, G.R.; Weesies, G.A.; Porter, J.P. RUSLE: Revised universal soil loss equation. J. Soil Water Conserv. 1991, 46, 30–33. [Google Scholar]
- Panagos, P.; Borrelli, P.; Meusburger, K.; van der Zanden, E.H.; Poesen, J.; Alewell, C. Modelling the effect of support practices (P-factor) on the reduction of soil erosion by water at European scale. Environ. Sci. Policy 2015, 51, 23–34. [Google Scholar] [CrossRef]
- Asmamaw, L.B.; Mohammed, A.A. Identification of soil erosion hotspot areas for sustainable land management in the Gerado catchment, North-eastern Ethiopia. Remote Sens. Appl. Soc. Environ. 2019, 13, 306–317. [Google Scholar] [CrossRef]
- Bewket, W.; Teferi, E. Assessment of soil erosion hazard and prioritization for treatment at the watershed level: Case study in the Chemoga watershed, Blue Nile basin, Ethiopia. Land Degrad. Dev. 2009, 20, 609–622. [Google Scholar] [CrossRef]
- Shin, G. The analysis of soil erosion analysis in watershed using GIS. Ph.D. Thesis, Department of Civil Engineering, Gang-won National University, Chuncheon, Korea, 1999. [Google Scholar]
- National Institute of Statistics of Rwanda. EICV5 District Profiles; National Institute of Statistics of Rwanda: Kigali, Rwanda. Available online: https://www.statistics.gov.rw/publication/eicv5-district-profiles (accessed on 3 June 2019).
- Almaw Fenta, A.; Tsunekawa, A.; Haregeweyn, N.; Poesen, J.; Tsubo, M.; Borrelli, P.; Panagos, P.; Vanmaercke, M.; Broeckx, J.; Yasuda, H.; et al. Land susceptibility to water and wind erosion risks in the East Africa region. Sci. Total Environ. 2019, 703, 135016. [Google Scholar] [CrossRef] [PubMed]
- Tamene, L.; Le, Q.B. Estimating soil erosion in sub-Saharan Africa based on landscape similarity mapping and using the revised universal soil loss equation (RUSLE). Nutr. Cycl. Agroecosys. 2015, 102, 17–31. [Google Scholar] [CrossRef]
- Lewis, L.A.; Nyamulinda, V. The critical role of human activities in land degradation in Rwanda. Land Degrad. Dev. 1996, 7, 47–55. [Google Scholar] [CrossRef]
- Xu, C.; Yang, Z.; Qian, W.; Chen, S.; Liu, X.; Lin, W.; Xiong, D.; Jiang, M.; Chang, C.-T.; Huang, J.-C.; et al. Runoff and soil erosion responses to rainfall and vegetation cover under various afforestation management regimes in subtropical montane forest. Land Degrad. Dev. 2019, 30, 1711–1724. [Google Scholar] [CrossRef]
- Mohamad, N.A.; Nainar, A.; Annammala, K.V.; Sugumaran, D.; Jamal, M.H.; Yusop, Z. Soil erosion in disturbed forests and agricultural plantations in tropical undulating terrain: In situ measurement using a laser erosion bridge method. J. Water Clim. Chang. 2019. [Google Scholar] [CrossRef]
- National Institute of Statistics of Rwanda. Integrated Household Living Conditions Survey 3 (EICV 3) Thematic Report-Agriculture. Kigali, Rwanda, 2012. Available online: http://statistics.gov.rw/sites/default/files/publications/b47656a4-4b61-4a47-9438-7a2f9938b023/EICV3_ThematicReport_Agriculture.pdf (accessed on 6 September 2019).
- Rwanda Environment Management Authority. Rwanda-State of Environment and Outlook Report 2015; Rwanda Environment Management Authority: Kigali, Rwanda, 2015; Available online: https://www.nmbu.no/sites/default/files/pdfattachments/state_of_environment_and_outlook_report_2015.pdf (accessed on 5 November 2019).
- Rahman, M.A.K.; Zhang, D. Effects of Fertilizer Broadcasting on the Excessive Use of Inorganic Fertilizers and Environmental Sustainability. Sustainability 2018, 10, 759. [Google Scholar] [CrossRef]
- Rwanda Environment Management Authority. Impact of fertilizer use in Rwanda (Rweru—Mugesera Wetland Complex); Green World Consult Ltd.: Kigali, Rwanda, 2014; Available online: https://www.unpei.org/sites/default/files/e_library_documents/Impact_of_Fertlizer_use_in_Rwanda_2014.pdf (accessed on 4 November 2019).
- Muñoz-Rojas, M.; Pereira, P.; Brevik, E.C.; Cerdà, A.; Jordán, A. Chapter 6—Soil Mapping and Processes Models for Sustainable Land Management Applied to Modern Challenges. In Soil Mapping and Process Modeling for Sustainable Land Use Management; Pereira, P., Brevik, E.C., Muñoz-Rojas, M., Miller, B.A., Eds.; Elsevier: Amsterdam, The Netherlands, 2017; pp. 151–190. [Google Scholar]
- Critchley, W.; Bruijnzeel, L. Terrace risers: Erosion control or sediment source. In Sustainable Reconstruction of Highland and Headwater Regions; Singh, R.B.A., Haigh, M.J., Eds.; Oxford and IBH Publishing: New Delhi, India, 1995; pp. 529–541. [Google Scholar]
- Tarolli, P.; Preti, F.; Romano, N. Terraced landscapes: From an old best practice to a potential hazard for soil degradation due to land abandonment. Anthropocene 2014, 6, 10–25. [Google Scholar] [CrossRef]
- McDonagh, J.; Lu, Y.; Semalulu, O. Adoption and adaptation of improved soil management practices in the eastern Ugandan hills. Land Degrad. Dev. 2014, 25, 58–70. [Google Scholar] [CrossRef]
- Subhatu, A.; Lemann, T.; Hurni, K.; Portner, B.; Kassawmar, T.; Zeleke, G.; Hurni, H. Deposition of eroded soil on terraced croplands in Minchet catchment, Ethiopian Highlands. Int. Soil Water Conserv. Res. 2017, 5, 212–220. [Google Scholar] [CrossRef]
- Paliaga, G.; Giostrella, P.; Faccini, F. Terraced landscape as cultural and environmental heritage at risk: An example from Portofino park (Italy). ANNALES-Anal. Istrske Mediter. Studije-Ser. Hist. Sociol. 2016, 26, 513–522. [Google Scholar]
- Lesschen, J.P.; Cammeraat, E.L.H.; Nieman, T. Erosion and terrace failure due to agricultural land abandonment in semi-arid environment. Earth Surf. Process. Landf. 2008, 33, 1574–1584. [Google Scholar] [CrossRef]









| Datasets | Resolution | Database |
|---|---|---|
| LULC (Land use/land cover) maps | 30 m | RCMRD [58] |
| ASTER GDEM V2 | 30 m | USGS EarthExplorer [62] |
| Soil properties (sand, silt, clay and organic carbon fraction) | 250 m | AfSIS [63] |
| MODIS NDVI | 250 m | NASA [64] |
| Global rainfall erosivity | 30 arcsec | ESDAC [65] |
| Land Use Type | Slope (%) | P Factor Values |
|---|---|---|
| Cropland | 0–5 | 0.10 |
| 5–10 | 0.12 | |
| 10–20 | 0.14 | |
| 20–30 | 0.19 | |
| 30–50 | 0.25 | |
| 50–100 | 0.33 | |
| Forestland and grassland | All | 1.0 |
| Slope | Support Practices | ||
|---|---|---|---|
| Contouring | Strip-Cropping | Terracing | |
| 0.0–7.0 | 0.55 | 0.27 | 0.10 |
| 7.0–11.3 | 0.60 | 0.30 | 0.12 |
| 11.3–17.6 | 0.80 | 0.40 | 0.16 |
| 17.6–26.8 | 0.90 | 0.45 | 0.18 |
| >26.8 | 1.00 | 0.50 | 0.20 |
| LULC Types | Forestland | Grassland | Cropland | Mean Soil Loss 2000 |
|---|---|---|---|---|
| Forestland | - | 67.3 | 20.6 | 93.9 |
| Grassland | 91.6 | - | 10.0 | 43.1 |
| Cropland | 88.9 | 43.6 | - | 20.3 |
| Mean soil loss 2015 | 109.2 | 45.2 | 14.6 | - |
| Net change (2000–2015) | 15.3 | 2.1 | −5.7 | −9.4 |
| Researchers | Case Study | Mean Soil Loss by Water Erosion (t ha−1 y−1) | Method |
|---|---|---|---|
| Fenta et al. [83] | East Africa region | 34.2 for Rwanda | RUSLE |
| Nyesheja et al. [28] | Congo Nile Ridge region of Rwanda | 63.62 | RUSLE |
| Kabirigi et al. [36] | Western part of Rwanda (Nyamyumba, Katabuvuga and Mukamira watersheds) | 37 for Nyamyumba 28 for Mukamira 32 for all watersheds | RUSLE |
| Karamage et al. [37] | Lake Kivu Basin, D. R. Congo-Rwanda | 30 | USLE |
| Karamage et al. [9] | Nyabarongo River Catchment, Rwanda | 490 | USLE |
| Karamage et al. [26] | Rwanda | 250 | RUSLE |
| Kagabo et al. [29] | Buberuka Highlands of Rwanda | 41.5 | Experimental design |
| Lewis and Nyamulinda, [85] | Rutoyi village in Northwestern Rwanda | 68.2 | Experimental design |
© 2019 by the authors. Licensee MDPI, Basel, Switzerland. This article is an open access article distributed under the terms and conditions of the Creative Commons Attribution (CC BY) license (http://creativecommons.org/licenses/by/4.0/).
Share and Cite
Nambajimana, J.d.D.; He, X.; Zhou, J.; Justine, M.F.; Li, J.; Khurram, D.; Mind’je, R.; Nsabimana, G. Land Use Change Impacts on Water Erosion in Rwanda. Sustainability 2020, 12, 50. https://doi.org/10.3390/su12010050
Nambajimana JdD, He X, Zhou J, Justine MF, Li J, Khurram D, Mind’je R, Nsabimana G. Land Use Change Impacts on Water Erosion in Rwanda. Sustainability. 2020; 12(1):50. https://doi.org/10.3390/su12010050
Chicago/Turabian StyleNambajimana, Jean de Dieu, Xiubin He, Ji Zhou, Meta Francis Justine, Jinlin Li, Dil Khurram, Richard Mind’je, and Gratien Nsabimana. 2020. "Land Use Change Impacts on Water Erosion in Rwanda" Sustainability 12, no. 1: 50. https://doi.org/10.3390/su12010050
APA StyleNambajimana, J. d. D., He, X., Zhou, J., Justine, M. F., Li, J., Khurram, D., Mind’je, R., & Nsabimana, G. (2020). Land Use Change Impacts on Water Erosion in Rwanda. Sustainability, 12(1), 50. https://doi.org/10.3390/su12010050

