Gully Erosion Induced by Snowmelt in Northeast China: A Case Study
Abstract
1. Introduction
2. Materials and Methods
2.1. Site Description
2.2. Snow Measurement
2.3. Snowmelt Runoff Observation
2.4. Sediment Concentration Measurement
2.5. Spatial Measurement
2.6. Meteorological Data
3. Results and Analysis
3.1. Spatial Distribution of Snow Cover in the Watershed
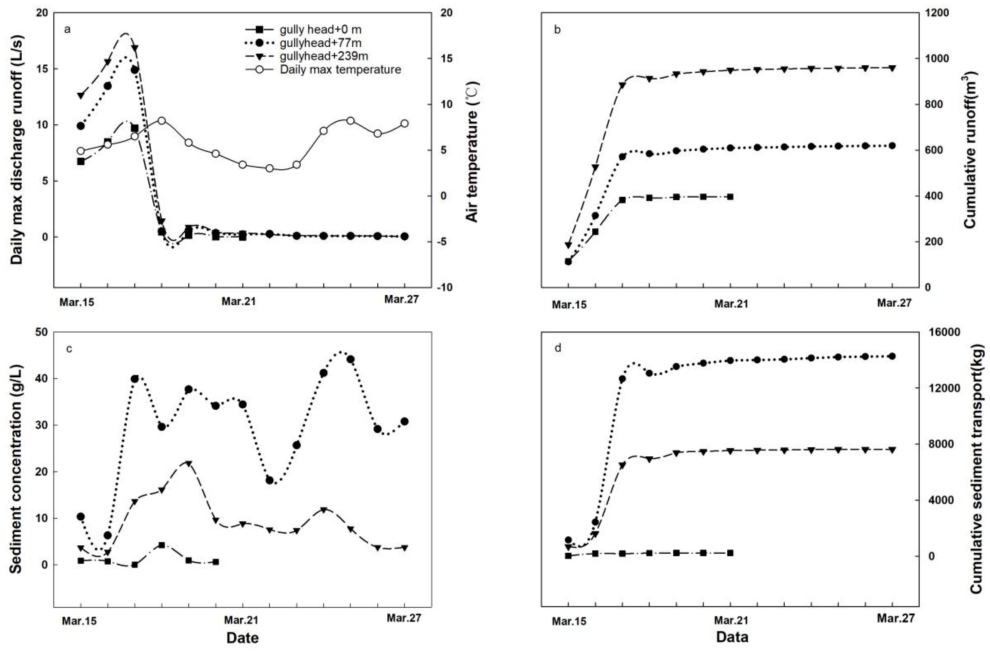
3.2. Snowmelt Runoff to Gully
3.3. Snow Melting Sediment Transportation of Gully
4. Discussion
4.1. Snow Redistribution
4.2. Runoff and Sediment Transportation Processes under the Snowmelt
4.3. Gully Development Induced by Snowmelt
5. Conclusions
Author Contributions
Funding
Acknowledgments
Conflicts of Interest
References
- Dotterweich, M.; Rodzik, J.; Zgłobicki, W.; Schmitt, A.; Schmidtchen, G.; Bork, H.R. High resolution gully erosion and sedimentation processes, and land use changes since the Bronze Age and future trajectories in the Kazimierz Dolny area (Nałęczów Plateau, SE-Poland). Catena 2012, 95, 50–62. [Google Scholar] [CrossRef]
- Pimentel, D.; Burgess, M. Soil erosion threatens food production. Agriculture 2013, 3, 443–463. [Google Scholar] [CrossRef]
- Krause, A.K.; Franks, S.W.; Kalma, J.D.; Loughran, R.J.; Rowan, J.S. Multi-parameter fingerprinting of sediment deposition in a small gullied catchment in SE Australia. Catena 2003, 53, 327–348. [Google Scholar] [CrossRef]
- Poesen, J. Challenges in gully erosion research. Landf. Anal. 2011, 17, 5–9. [Google Scholar]
- Castillo, C.; Gómez, J.A. A century of gully erosion research: Urgency, complexity and study approaches. Earth Sci. Rev. 2016, 160, 300–319. [Google Scholar] [CrossRef]
- Parkner, T.; Page Mike, J.; Marutani, T.; Trustrum, N.A. Development and controlling factors of gullies and gully complexes, East Coast, New Zealand. Earth Surf. Process. Landf. 2006, 31, 187–199. [Google Scholar] [CrossRef]
- Valentin, C.; Poesen, J.; Li, Y. Gully erosion: Impacts, factors and control. Catena 2005, 63, 132–153. [Google Scholar] [CrossRef]
- Le Roux, J.J.; Sumner, P.D. Factors controlling gully development: Comparing continuous and discontinuous gullies. Land Degrad. Dev. 2002, 23, 440–449. [Google Scholar] [CrossRef]
- Chaplot, V.; Brown, J.; Dlamini, P.; Eustice, T.; Janeau, J.L.; Jewitt, G.; Lorentz, S.; Martin, L.; Nontokozo-Mchunu, C.; Oakes, E.; et al. Rainfall simulation to identify the storm-scale mechanisms of gully bank retreat. Agric. Water Manag. 2011, 98, 1704–1710. [Google Scholar] [CrossRef]
- Golosov, V.; Koiter, A.; Ivanov, M.; Maltsev, K.; Gusarov, A.; Sharifullin, A.; Radchenko, I. Assessment of soil erosion rate trends in two agricultural regions of European Russia for the last 60years. J. Soils Sediment 2018, 18, 3388–3403. [Google Scholar] [CrossRef]
- Sonneveld, M.P.W.; Everson, T.M.; Veldkamp, A. Multi-scale analysis of soil erosion dynamics in Kwazulu-Natal, South Africa. Land Degrad. Dev. 2005, 16, 287–301. [Google Scholar] [CrossRef]
- Demidov, V.; Ostroumov, V.Y.; Nikitishena, I.; Lichko, V. Seasonal freezing and soil erosion during snowmelt. Eurasian Soil Sci. 1995, 27, 78–87. [Google Scholar]
- Ollesch, G.; Kistner, I.; Meissner, R.; Lindenschmidt, K.E. Modelling of snowmelt erosion and sediment yield in a small low-mountain catchment in Germany. Catena 2006, 68, 161–176. [Google Scholar] [CrossRef]
- Vliet, L.J.P.V.; Hall, J.W. Effects of two crop rotations on seasonal runoff and soil loss in the Peace River region. Can. J. Soil Sci. 1991, 71, 533–543. [Google Scholar] [CrossRef]
- Wischmeier, W.H.; Smith, D.D. Predicting Rainfall Erosion Losses: A Guide to Conservation Planning; Agriculture Handbook No. 537; US Department of Agriculture: Washington, DC, USA, 1978.
- Lewkowicz, A.G.; Kokelj, S.V. Slope sediment yield in arid lowland continuous permafrost environments, Canadian Arctic Archipelago. Catena 2002, 46, 261–283. [Google Scholar] [CrossRef]
- Liu, X.; Lee, B.C.; Kravchenko, Y.S.; Duran, A.; Huffman, T.; Morras, H.; Studdert, G.; Zhang, X.; Cruse, R.M.; Yuan, X. Overview of Mollisols in the world: Distribution, land use and management. Can. J. Soil Sci. 2012, 92, 383–402. [Google Scholar] [CrossRef]
- Zhang, Y.G.; Wu, Y.Q.; Wang, Y.Z.; Liu, B.Y. Seasonal discrepancy of ephemeral gully erosion in Northeast China with black soils. Geogr. Res. 2008, 27, 145–154. [Google Scholar]
- Zhang, S.; Xiao, Y.; Zhang, H.; Song, G.; Wang, Q. Influence of three typical forest types on processes of snowfall, snow cover and snow melting in Fenglin National Nature Reserve. J. Soil Water Conserv. 2015, 29, 37–41. [Google Scholar]
- Jiao, J.; Xie, Y.; Lin, Y.; Zhao, D.F. Study on snowmelt runoff and sediment yields in Northeast China. Geogr. Res. 2009, 28, 333–344. [Google Scholar]
- Hu, G.; Wu, Y.; Liu, B.; Yu, Z.; You, Z.; Zhang, Y. Short-term gully retreat rates over rolling hill areas in black soil of Northeast China. Catena 2007, 71, 321–329. [Google Scholar] [CrossRef]
- Li, H. Gully Erosion Evolvement and Effect in Typical Black Soil Region; Northeast Institute of Geography and Agroecology: Changchun, China, 2016; pp. 5–9. [Google Scholar]
- Wang, P.; Li, H.; Chen, Q.; Chen, S.; Xun, J.Z.; Song, C.Y.; Zhang, X.Y. Different scale observation sites of snow melt runoff in typical black soil area. Bull. Soil Water Conserv. 2014, 34, 244–253. [Google Scholar]
- Zhang, X.Y.; Wang, Q.C.; Sui, Y.Y.; Yu, T.T. Spatial-Temporal variation of soil moisture and its spatial correlations with soybean yield in black soil sloping farmland. Soils 2006, 38, 410–416. [Google Scholar]
- Liu, X.B.; Zhang, X.Y.; Wang, Y.X.; Sui, Y.Y.; Zhang, S.L.; Herbert, S.J.; Ding, G. Soil degradation: A problem threatening the sustainable development of agriculture in Northeast China. Plant Soil Environ. 2010, 56, 87–97. [Google Scholar] [CrossRef]
- Komissarov, M.A.; Gabbasova, I.M. Snowmelt-Induced Soil Erosion on Gentle Slopes in the Southern Cis-Ural Region. Eurasian Soil Sci. 2014, 47, 598–607. [Google Scholar] [CrossRef]
- Rodzik, J.; Furtak, T.; Zglobicki, W. The impact of snowmelt and heavy rainfall runoff on erosion rates in a gully system, Lublin Upland, Poland. Earth Surf. Process. Landf. 2009, 34, 1938–1950. [Google Scholar] [CrossRef]
- Water Conservancy Industry Standard of the People’s Republic of China. Technical Code of Practice on Water and Soil Conservation Monitoring SL277-2002; Ministry of Water Resources of the People’s Republic of China: Beijing, China, 2002.
- Hua, W.; Fan, H.; Xu, X. Observation on the spring snowmelt erosion og sloping farmland in Northeast China. J. Soil Water Conserv. 2017, 31, 92–110. [Google Scholar]
- Eltner, A.; Mulsow, C.; Maas, H.G. Quantitative measurement of soil erosion from TLS and UAV data. In Proceedings of the International Archives of the Photogrammetry, Remote Sensing and Spatial Information Sciences, Rostock, Germany, 4–6 September 2013; Volume XL-1/W2. [Google Scholar]
- Bremer, M.; Sass, O. Combining airborne and terrestrial laser scanning for quantifying erosion and deposition by a debris flow event. Geomorphology 2012, 138, 49–60. [Google Scholar] [CrossRef]
- Bazzoffi, P. Measurement of rill erosion through a new UAV-GIS methodology. Ital. J. Agron. 2015, 10. [Google Scholar] [CrossRef]
- Peter, K.D.; d’Oleire-Oltmanns, S.; Ries, J.B.; Marzolff, I.; Ait Hssaine, A. Soil erosion in gully catchments affected by land-levelling measures in the Souss Basin, Morocco, analysed by rainfall simulation and UAV remote sensing data. Catena 2014, 113, 24–40. [Google Scholar] [CrossRef]
- Neugirg, F.; Stark, M.; Kaiser, A.; Vlacilova, M.; Della Seta, M.; Vergari, F.; Schmidt, J.; Becht, M.; Haas, F. Erosion processes in calanchi in the Upper Orcia Valley, Southern Tuscany, Italy based on multitemporal high-resolution terrestrial LiDAR and UAV surveys. Geomorphology 2016, 269, 8–22. [Google Scholar] [CrossRef]
- D’Oleire-Oltmanns, S.; Marzolff, I.; Peter, K.D.; Ries, J.B.; Hssaïne, A.A. Monitoring soil erosion in the Souss basin, Morocco, with a multiscale object-based remote sensing approach using UAV and satellite data. In Proceedings of the 1st World Sustainability Forum, 1–30 November 2011; Available online: https://sciforum.net/paper/view/66c1c97e470ec89d5279ad7834155d28 (accessed on 25 January 2019). [CrossRef]
- Pineux, N.; Lisein, J.; Swerts, G.; Bielders, C.L.; Lejeune, P.; Colinet, G.; Degré, A. Can DEM time series produced by UAV be used to quantify diffuse erosion in an agricultural watershed? Geomorphology 2016, 280, 122–136. [Google Scholar] [CrossRef]
- Yang, Q. Study on Spatio-Temporal Distribution of Snow Cover in Northeast China and Its Simulation on Snowmelt Runoff. Ph.D. Thesis, Jilin University, Changchun, China, 2015. [Google Scholar]
- Kothyari, U.C. Soil erosion and sediment yield modeling. Ish J. Hydraul. Eng. 2008, 14, 84–103. [Google Scholar] [CrossRef]
- Zhang, T.J.; Barry, R.G.; Haeberli, W. Numerical simulations of the influence of the seasonal snow cover on the occurrence of permafrost at high latitudes. Nor. Geogr. Tidsskr. Nor. J. Geogr. 2001, 55, 261–266. [Google Scholar] [CrossRef]
- Wang, E.H.; Zhao, Y.S.; Chen, X.W. Responses of soil structure to seasonal freezing-thawing in a typical black soil cultivated region. Chin. J. Appl. Ecol. 2010, 21, 1744–1750. [Google Scholar]
- Carey, S.K.; Woo, M.K. Slope runoff processes and flow generation in a subarctic, subalpire catchment. J. Hydrol. 2011, 253, 110–129. [Google Scholar] [CrossRef]
- Tarasova, L.; Basso, S.; Zink, M.; Merz, R. Exploring Controls on Rainfall-Runoff Events: 1. Time Series-Based Event Separation and Temporal Dynamics of Event Runoff Response in Germany. Water Resour. Res. 2018, 54, 7711–7732. [Google Scholar] [CrossRef]
- Renard, K.G.; Foster, G.A.; Weesies, G.A.; McCool, D.K.; Yoder, D.C. Predicting Soil Erosion by Water: A Guide to Conservation Planning with the Revised Universal Soil Loss Equation (RUSLE); Agricultural Handbook 703; US Department of Agriculture: Washington, DC, USA, 1997.
- Poesen, J.; Nachtergaelea, J.; Verstraetena, G.; Valentinb, C. Gully erosion and environmental change: Importance and research needs. Catena 2003, 50, 91–133. [Google Scholar] [CrossRef]
- Zhang, B.J.; Xiong, D.H.; Zhang, G.H. Impacts of headcut height on flow energy, sediment yield and surface landform during bank gully erosion processes in the Yuanmou Dry-hot Valley region, southwest China. Earth Surf. Process. Landf. 2018, 43, 2271–2282. [Google Scholar] [CrossRef]
- Øygarden, L. Rill and gully development during an extreme winter runoff event in Norway. Catena 2003, 50, 217–242. [Google Scholar] [CrossRef]
- Chow, T.L.; Rees, H.W.; Monteith, J. Seasonal distribution of runoff and soil loss under four tillage treatments in the upper St. John River valley New Brunswick, Canada. Can. J. Soil Sci. 2000, 80, 649–660. [Google Scholar] [CrossRef]
- Sharratt, B.; Lindstrom, M.; Benoit, G.; Young, R.; Wilts, A. Runoff and soil erosion during spring thaw in the northern US Corn Belt. J. Soil Water Conserv. 2000, 55, 487–494. [Google Scholar]
- Fan, H.; Wu, M.; Zhou, L.; Jia, Y. Study on sloping land snowmelt erosion affected by thaw depth of near-surface Meadow Soil. J. Soil Water Conserv. 2010, 24, 28–31. [Google Scholar]
- Starkloff, T.; Hessel, R.; Stolte, J.; Ritsema, C. Catchment Hydrology during Winter and Spring and the Link to Soil Erosion: A Case Study in Norway. Hydrology 2017, 4, 15. [Google Scholar] [CrossRef]
- Bowie, A.J. Investigations of vegetation for stabilizing eroding streambanks. Trans. ASAE 1982, 25, 1601–1606. [Google Scholar] [CrossRef]





| Area (ha) | Average Slope Steepness (°) | Land Use | |
|---|---|---|---|
| Zone A | 3.27 | 3.0 | Cultivated |
| Zone B1 | 0.59 | 2.5 | Cultivated |
| Zone B2 | 0.69 | 2.2 | Cultivated |
| Zone C1 | 0.41 | 4.6 | Reforest |
| Zone C2 | 0.44 | 4.0 | Reforest |
| Total | 5.70 |
| Soil Layers (cm) | SOM (g/kg) | Soil Shear Strength (kPa) | Water Stable Aggregate | Soil Texture | |
|---|---|---|---|---|---|
| MWD (mm) | GMD (mm) | ||||
| 0–10 | 39.4 | 4.8 | 2.89 | 1.23 | Loamy clay |
| 10–20 | 25.8 | 23.7 | 3.99 | 1.51 | Clay loam |
| 20–30 | 21.6 | 14.1 | 1.11 | 0.79 | Silty clay |
| 50–60 | 13.8 | 5.8 | 1.89 | 0.99 | Sandy clay |
| 150–160 | 12.4 | 5.4 | 0.66 | 0.70 | Loamy clay |
| 250–260 | 3.5 | 3.5 | 0.53 | 0.58 | Loamy clay |
| 350–360 | 4.6 | 3.2 | 0.70 | 0.68 | Clay |
| 450–460 | 4.7 | 3.6 | 0.43 | 0.60 | Clay |
| Gully Head + 0 m | Gully Head + 77 m | Gully Head + 239 m | ||||
|---|---|---|---|---|---|---|
| Runoff (m3) | Sediment (kg) | Runoff (m3) | Sediment (kg) | Runoff (m3) | Sediment (kg) | |
| 15 March | 115.0 | 24.6 | 111.8 | 1152.9 | 187.3 | 689.4 |
| 16 March | 128.7 | 158.9 | 202.4 | 1274.9 | 339.7 | 927.4 |
| 17 March | 138.4 | 0.0 | 256.6 | 10,235.6 | 358.9 | 4902.3 |
| 18 March | 9.8 | 36.0 | 13.1 | 389.2 | 27.3 | 440.9 |
| 19 March | 3.6 | 1.2 | 12.7 | 477.7 | 19.7 | 430.8 |
| 20 March | 0.7 | 0.4 | 7.2 | 245.5 | 9.7 | 93.4 |
| 21 March | 0.3 | 0.0 | 5.4 | 185.5 | 6.7 | 58.8 |
| 22 March | - | - | 2.3 | 41.7 | 3.3 | 24.7 |
| 23 March | - | - | 1.9 | 49.1 | 2.2 | 16.6 |
| 24 March | - | - | 2.1 | 88.6 | 2.2 | 26.2 |
| 25 March | - | - | 1.6 | 71.3 | 1.4 | 10.5 |
| 26 March | - | - | 1.2 | 33.8 | 1.3 | 4.9 |
| 27 March | - | - | 0.7 | 22.5 | 0.6 | 2.1 |
| Total | 396.5 | 221.1 | 619.1 | 14,268.2 | 960.3 | 7627.9 |
| Indicator | Sediment Concentration | Air Temperature | Date |
|---|---|---|---|
| Discharge runoff | 0.47 * | 0.71 ** | 15 to 17 March |
| 0.32 * | 0.74 ** | 18 to 22 March | |
| 0.24 | −0.22 | 23 to 27 March | |
| Sediment concentration | 1 | 0.63 ** | 15 to 17 March |
| 1 | 0.36 * | 18 to 22 March | |
| 1 | 0.18 | 23 to 27 March |
© 2019 by the authors. Licensee MDPI, Basel, Switzerland. This article is an open access article distributed under the terms and conditions of the Creative Commons Attribution (CC BY) license (http://creativecommons.org/licenses/by/4.0/).
Share and Cite
Xu, J.; Li, H.; Liu, X.; Hu, W.; Yang, Q.; Hao, Y.; Zhen, H.; Zhang, X. Gully Erosion Induced by Snowmelt in Northeast China: A Case Study. Sustainability 2019, 11, 2088. https://doi.org/10.3390/su11072088
Xu J, Li H, Liu X, Hu W, Yang Q, Hao Y, Zhen H, Zhang X. Gully Erosion Induced by Snowmelt in Northeast China: A Case Study. Sustainability. 2019; 11(7):2088. https://doi.org/10.3390/su11072088
Chicago/Turabian StyleXu, Jinzhong, Hao Li, XiaoBing Liu, Wei Hu, Qingnan Yang, Yanfang Hao, Huaicai Zhen, and Xingyi Zhang. 2019. "Gully Erosion Induced by Snowmelt in Northeast China: A Case Study" Sustainability 11, no. 7: 2088. https://doi.org/10.3390/su11072088
APA StyleXu, J., Li, H., Liu, X., Hu, W., Yang, Q., Hao, Y., Zhen, H., & Zhang, X. (2019). Gully Erosion Induced by Snowmelt in Northeast China: A Case Study. Sustainability, 11(7), 2088. https://doi.org/10.3390/su11072088

