LES Study of Wake Meandering in Different Atmospheric Stabilities and Its Effects on Wind Turbine Aerodynamics
Abstract
1. Introduction
2. Materials and Methods
2.1. Numerical Methods
2.1.1. Governing Equations
2.1.2. Actuator Line Model
2.2. Simulation Setup
2.2.1. Precursor Simulation
2.2.2. Successor Simulation
3. Results
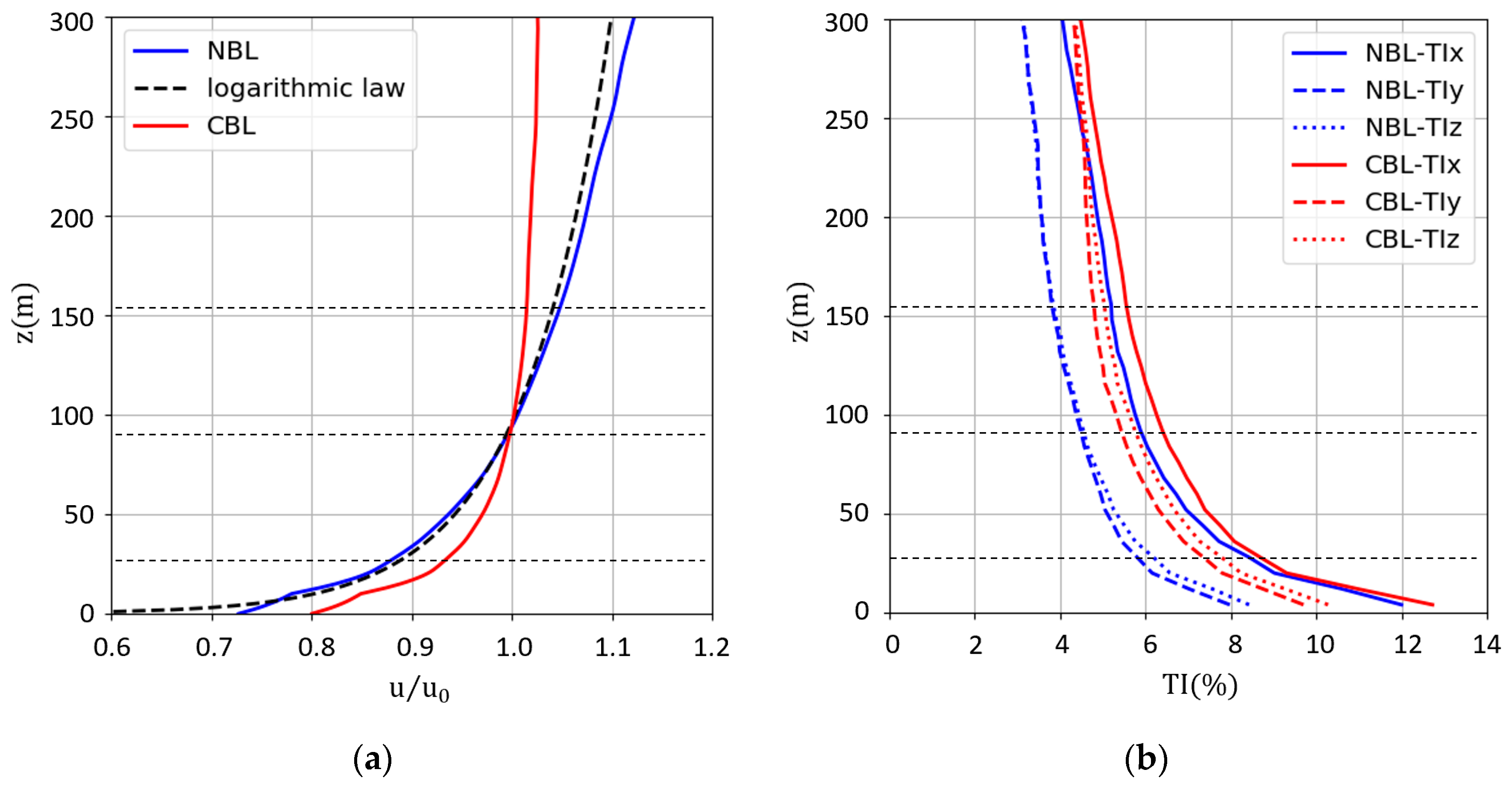
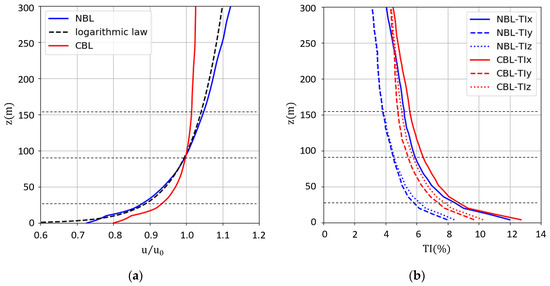
3.1. Verification of the Atmospheric Boundary Layer Flow
3.2. Wake Characteristics of a Single Wind Turbine
3.2.1. Time-Average Wake Field
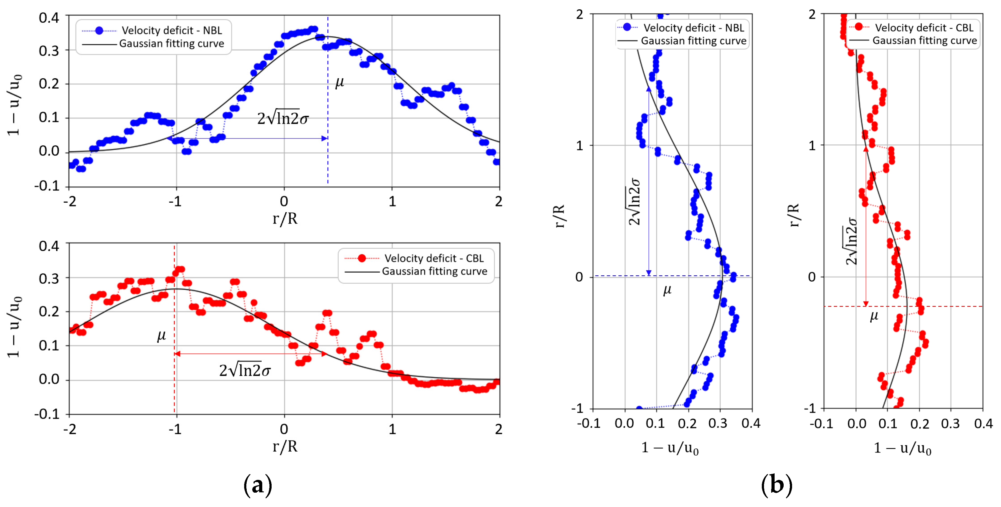
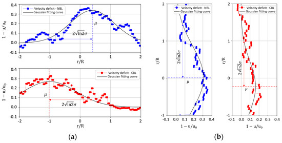
3.2.2. Wake Meandering
- Parameter of the best fit gaussian curve to the velocity deficit profiles in the horizontal and vertical planes through the rotor hub;
- The gravity center of the velocity deficit field;
- The point of maximum velocity deficit.
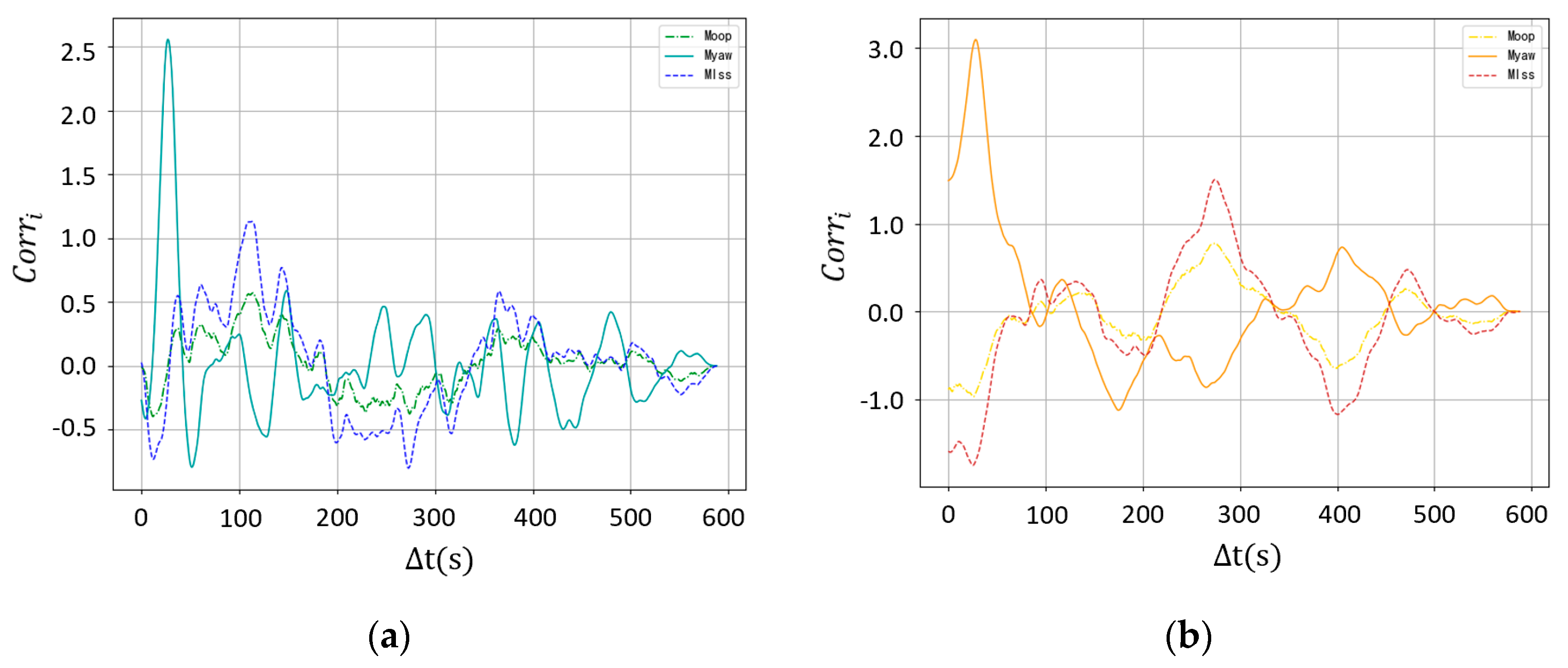
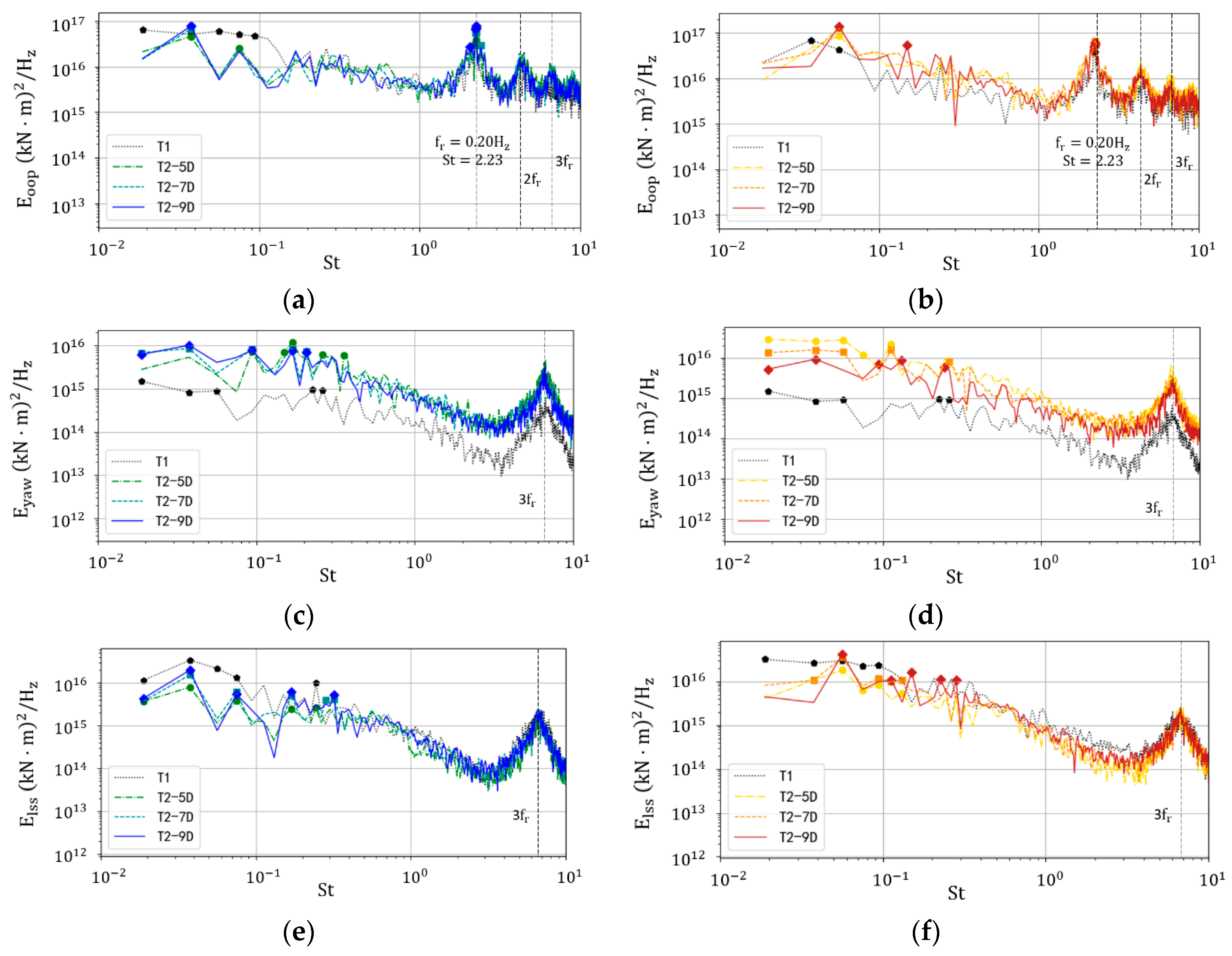
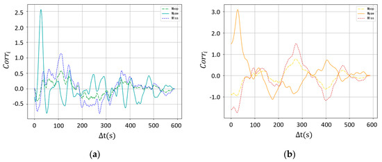
3.3. Influence of Wake Meandering on the Aerodynamic Loads
- Blade-root out-of-plane bending moment : the bending moment in tangential direction at blade root;
- Yaw moment : the moment in vertical direction of the yaw bearing at top of the wind turbine tower;
- Low speed shaft torque : the torque experienced by the low speed shaft of wind turbine, proportional to the mechanical power.
4. Discussion
5. Conclusions
Author Contributions
Funding
Acknowledgments
Conflicts of Interest
References
- GWEC. GLOBAL WIND REPORT 2018; Global Wind Energy Council (GWEC): Brussels, Belgium, April 2019. [Google Scholar]
- Vermeer, L.J.; Sørensen, J.N.; Crespo, A. Wind turbine wake aerodynamics. Prog. Aerosp. Sci. 2003, 39, 467–510. [Google Scholar] [CrossRef]
- Sanderse, B. Aerodynamics of Wind Turbine Wakes; Technical Report, ECN-E–09-016; Energy Research Center of the Netherlands (ECN): Petten, The Netherlands, 2009; Volume 5, p. 153. [Google Scholar]
- Katic, I.; Højstrup, J.; Jensen, N.O. A simple model for cluster efficiency. In European Wind Energy Association Conference and Exhibition; A. Raguzzi: Rome, Italy, 1987. [Google Scholar]
- Frandsen, S.; Barthelmie, R.; Pryor, S.; Rathmann, O.; Larsen, S.; Højstrup, J.; Thøgersen, M. Analytical modelling of wind speed deficit in large offshore wind farms. Wind Energy Int. J. Prog. Appl. Wind Power Convers. Technol. 2006, 9, 39–53. [Google Scholar] [CrossRef]
- Bastankhah, M.; Porté-Agel, F. A new analytical model for wind-turbine wakes. Renew. Energy 2014, 70, 116–123. [Google Scholar] [CrossRef]
- Landel, J.R.; Caulfield, C.P.; Woods, A.W. Meandering due to large eddies and the statistically self-similar dynamics of quasi-two-dimensional jets. J. Fluid Mech. 2012, 692, 347–368. [Google Scholar] [CrossRef]
- Chen, D.; Jirka, G.H. LIF study of plane jet bounded in shallow water layer. J. Hydraul. Eng. 1999, 125, 817–826. [Google Scholar] [CrossRef]
- Lee, S.K.; Erm, L.P.; Jones, M.B. Dye Visualisation of Wake Flow around a Model Submarine at Yaw. In Proceedings of the 20th Australasian Fluid Mechanics Conference, Perth, Australia, 5–8 December 2016. [Google Scholar]
- Naumov, I.V.; Mikkelsen, R.F.; Okulov, V.L.; Sørensen, J.N. PIV and LDA measurements of the wake behind a wind turbine model. J. Phys. Conf. Ser. 2014, 524, 012168. [Google Scholar] [CrossRef]
- Chamorro, L.P.; Hill, C.; Morton, S.; Ellis, C.; Arndt, R.E.A.; Sotiropoulos, F. On the interaction between a turbulent open channel flow and an axial-flow turbine. J. Fluid Mech. 2013, 716, 658–670. [Google Scholar] [CrossRef]
- Ashton, R.; Viola, F.; Gallaire, F.; Iungo, G.V. Effects of incoming wind condition and wind turbine aerodynamics on the hub vortex instability. J. Phys. Conf. Ser. 2015, 625, 012033. [Google Scholar] [CrossRef]
- Taylor, G.J.; Milborrow, D.J.; McIntosh, D.N.; Swift-Hook, D.T. Wake measurements on the Nibe windmills. In Proceedings of the Seventh BWEA Wind Energy Conference, Oxford, UK, 27–29 March 1985; pp. 67–73. [Google Scholar]
- Okulov, V.L.; Sørensen, J.N. Stability of helical tip vortices in a rotor far wake. J. Fluid Mech. 2007, 576, 1–25. [Google Scholar] [CrossRef]
- Medici, D.; Alfredsson, P.H. Measurements on a wind turbine wake: 3D effects and bluff body vortex shedding. Wind Energy Int. J. Prog. Appl. Wind Power Convers. Technol. 2006, 9, 219–236. [Google Scholar] [CrossRef]
- Sarmast, S.; Dadfar, R.; Mikkelsen, R.F.; Schlatter, P.; Ivanell, S.; Sørensen, J.N.; Henningson, D.S. Mutual inductance instability of the tip vortices behind a wind turbine. J. Fluid Mech. 2014, 755, 705–731. [Google Scholar] [CrossRef]
- Kang, S.; Yang, X.; Sotiropoulos, F. On the onset of wake meandering for an axial flow turbine in a turbulent open channel flow. J. Fluid Mech. 2014, 744, 376–403. [Google Scholar] [CrossRef]
- Foti, D.; Yang, X.; Guala, M.; Sotiropoulos, F. Wake meandering statistics of a model wind turbine: Insights gained by large eddy simulations. Phys. Rev. Fluids 2016, 1, 044407. [Google Scholar] [CrossRef]
- Foti, D.; Yang, X.; Campagnolo, F.; Maniaci, D.; Sotiropoulos, F. Wake meandering of a model wind turbine operating in two different regimes. Phys. Rev. Fluids 2018, 3, 054607. [Google Scholar] [CrossRef]
- Okulov, V.L.; Naumov, I.V.; Mikkelsen, R.F.; Kabardin, I.K.; Sørensen, J.N. A regular Strouhal number for large-scale instability in the far wake of a rotor. J. Fluid Mech. 2014, 747, 369–380. [Google Scholar] [CrossRef]
- Aubrun, S.; Loyer, S.; España, G.; Hayden, P.; Hancock, P. Experimental Study on the wind turbine wake meandering with the help of a non-rotation simplified model and of a rotating model. In Proceedings of the 49th AIAA Aerospace Sciences Meeting including the New Horizons Forum and Aerospace Exposition, Orlando, FL, USA, 4–7 January 2011; p. 460. [Google Scholar]
- España, G.; Aubrun, S.; Loyer, S.; Devinant, P. Temporal and spatial study of the meandering phenomenon. In Proceedings of the EuroMech, Madrid, Spain, 20–22 October 2009; Volume 508. [Google Scholar]
- España, G.; Aubrun, S.; Loyer, S.; Devinant, P. Spatial study of the wake meandering using modelled wind turbines in a wind tunnel. Wind Energy 2011, 14, 923–937. [Google Scholar] [CrossRef]
- España, G.; Aubrun, S.; Loyer, S.; Devinant, P. Wind tunnel study of the wake meandering downstream of a modelled wind turbine as an effect of large scale turbulent eddies. J. Wind Eng. Ind. Aerodyn. 2012, 101, 24–33. [Google Scholar] [CrossRef]
- Bingöl, F.; Mann, J.; Larsen, G.C. Light detection and ranging measurements of wake dynamics part I: One-dimensional scanning. Wind Energy Int. J. Prog. Appl. Wind Power Convers. Technol. 2010, 13, 51–61. [Google Scholar] [CrossRef]
- Trujillo, J.J.; Bingöl, F.; Larsen, G.C.; Mann, J.; Kühn, M. Light detection and ranging measurements of wake dynamics. Part II: Two-dimensional scanning. Wind Energy 2011, 14, 61–75. [Google Scholar] [CrossRef]
- Larsen, G.C.; Madsen, H.A.; Thomsen, K.; Larsen, T.J. Wake meandering: A pragmatic approach. Wind Energy Int. J. Prog. Appl. Wind Power Convers. Technol. 2008, 11, 377–395. [Google Scholar] [CrossRef]
- Madsen, H.A.; Larsen, G.C.; Larsen, T.J.; Troldborg, N.; Mikkelsen, R. Calibration and validation of the dynamic wake meandering model for implementation in an aeroelastic code. J. Sol. Energy Eng. 2010, 132, 041014. [Google Scholar] [CrossRef]
- Keck, R.E.; Veldkamp, D.; Madsen, H.A.; Larsen, G. Implementation of a mixing length turbulence formulation into the dynamic wake meandering model. J. Sol. Energy Eng. 2012, 134, 021012. [Google Scholar] [CrossRef]
- Trujillo, J.J.; Kühn, M. Adaptation of a lagrangian dispersion model for wind turbine wake meandering simulation. In Proceedings of the European Wind Energy Conference (EWEC), Marseille, France, 16–19 March 2009. [Google Scholar]
- Thøgersen, E.; Tranberg, B.; Herp, J.; Greiner, M. Statistical meandering wake model and its application to yaw-angle optimisation of wind farms. J. Phys. Conf. Ser. 2017, 854, 012017. [Google Scholar] [CrossRef]
- Muller, Y.A.; Aubrun, S.; Masson, C. Determination of real-time predictors of the wind turbine wake meandering. Exp. Fluids 2015, 56, 53. [Google Scholar] [CrossRef]
- Magnusson, M.; Smedman, A.S. Influence of atmospheric stability on wind turbine wakes. Wind Eng. 1994, 18, 139–152. [Google Scholar]
- Kabir, I.F.S.A.; Ng, E.Y.K. Effect of different atmospheric boundary layers on the wake characteristics of NREL phase VI wind turbine. Renew. Energy 2019, 130, 1185–1197. [Google Scholar] [CrossRef]
- Emeis, S. Wind Energy Meteorology: Atmospheric Physics for Wind Power Generation; Springer: Berlin/Heidelberg, Germany, 2018. [Google Scholar]
- Hansen, K.S.; Barthelmie, R.J.; Jensen, L.E.; Sommer, A. The impact of turbulence intensity and atmospheric stability on power deficits due to wind turbine wakes at Horns Rev wind farm. Wind Energy 2012, 15, 183–196. [Google Scholar] [CrossRef]
- Coudou, N.; Buckingham, S.; Bricteux, L.; van Beeck, J. Experimental Study on the Wake Meandering Within a Scale Model Wind Farm Subject to a Wind-Tunnel Flow Simulating an Atmospheric Boundary Layer. Bound. Layer Meteorol. 2018, 167, 77–98. [Google Scholar] [CrossRef]
- Foti, D.; Yang, X.; Sotiropoulos, F. Similarity of wake meandering for different wind turbine designs for different scales. J. Fluid Mech. 2018, 842, 5–25. [Google Scholar] [CrossRef]
- Mao, X.; Sørensen, J.N. Far-wake meandering induced by atmospheric eddies in flow past a wind turbine. J. Fluid Mech. 2018, 846, 190–209. [Google Scholar] [CrossRef]
- Gupta, V.; Wan, M. Low-order modelling of wake meandering behind turbines. J. Fluid Mech. 2019, 877, 534–560. [Google Scholar] [CrossRef]
- Heisel, M.; Hong, J.; Guala, M. The spectral signature of wind turbine wake meandering: A wind tunnel and field-scale study. Wind Energy 2018, 21, 715–731. [Google Scholar] [CrossRef]
- Abkar, M.; Porté-Agel, F. Influence of atmospheric stability on wind-turbine wakes: A large-eddy simulation study. Phys. Fluids 2015, 27, 035104. [Google Scholar] [CrossRef]
- Subramanian, B.; Chokani, N.; Abhari, R.S. Impact of atmospheric stability on wind turbine wake evolution. J. Wind Eng. Ind. Aerodyn. 2018, 176, 174–182. [Google Scholar] [CrossRef]
- Garcia, E.T.; Aubrun, S.; Coupiac, O.; Girard, N.; Boquet, M. Statistical characteristics of interacting wind turbine wakes from a 7-month LiDAR measurement campaign. Renew. Energy 2019, 130, 1–11. [Google Scholar] [CrossRef]
- Kanev, S.K.; Savenije, F.J.; Soleimanzadeh, M.; Wiggelinkhuizen, E. Wind farm modeling and control: An inventory. Wind Energy 2018, 2017, 2016. [Google Scholar]
- Boersma, S.; Doekemeijer, B.; Vali, M.; Meyers, J.; Wingerden, J.W.V. A control-oriented dynamic wind farm model: WFSim. Wind Energy Sci. 2018, 3, 75–95. [Google Scholar] [CrossRef]
- Rodi, W. Comparison of LES and RANS calculations of the flow around bluff bodies. J. Wind Eng. Ind. Aerodyn. 1997, 69, 55–75. [Google Scholar] [CrossRef]
- Salim, S.M.; Buccolieri, R.; Chan, A.; Di Sabatino, S. Numerical simulation of atmospheric pollutant dispersion in an urban street canyon: Comparison between RANS and LES. J. Wind Eng. Ind. Aerodyn. 2011, 99, 103–113. [Google Scholar] [CrossRef]
- Jimenez, A.; Crespo, A.; Migoya, E.; García, J. Advances in large-eddy simulation of a wind turbine wake. J. Phys. Conf. Ser. 2007, 75, 012041. [Google Scholar] [CrossRef]
- Smagorinsky, J. General circulation experiments with the primitive equations: I. The basic experiment. Mon. Weather Rev. 1963, 91, 99–164. [Google Scholar] [CrossRef]
- Germano, M.; Piomelli, U.; Moin, P.; Cabot, W.H. A dynamic subgrid-scale eddy viscosity model. Phys. Fluids Fluid Dyn. 1991, 3, 1760–1765. [Google Scholar] [CrossRef]
- Meneveau, C.; Lund, T.S.; Cabot, W.H. A Lagrangian dynamic subgrid-scale model of turbulence. J. Fluid Mech. 1996, 319, 353–385. [Google Scholar] [CrossRef]
- Sarlak, H.; Meneveau, C.; Sørensen, J.N. Role of subgrid-scale modeling in large eddy simulation of wind turbine wake interactions. Renew. Energy 2015, 77, 386–399. [Google Scholar] [CrossRef]
- Martínez-Tossas, L.A.; Churchfield, M.J.; Meneveau, C. Large eddy simulation of wind turbine wakes: Detailed comparisons of two codes focusing on effects of numerics and subgrid modeling. J. Phys. Conf. Ser. 2015, 625, 012024. [Google Scholar] [CrossRef]
- Abkar, M. Impact of subgrid-scale modeling in actuator-line based large-eddy simulation of vertical-Axis wind turbine wakes. Atmosphere 2018, 9, 257. [Google Scholar] [CrossRef]
- Churchfield, M.; Lee, S.; Moriarty, P.; Martinez, L.; Leonardi, S.; Vijayakumar, G.; Brasseur, J. A Large-Eddy Simulations of Wind-Plant Aerodynamics. In Proceedings of the 50th Aiaa Aerospace Sciences Meeting Including the New Horizons Forum & Aerospace Exposition, Nashville, TN, USA, 9–12 January 2012. [Google Scholar]
- Bossuyt, J.; Meneveau, C.; Meyers, J. Large Eddy Simulation of a wind tunnel wind farm experiment with one hundred static turbine models. J. Phys. Conf. Ser. 2018, 1037, 062006. [Google Scholar] [CrossRef]
- Basu, S.; Porté-Agel, F. Large-eddy simulation of stably stratified atmospheric boundary layer turbulence: A scale-dependent dynamic modeling approach. J. Atmos. Sci. 2006, 63, 2074–2091. [Google Scholar] [CrossRef]
- Rhie, C.M.; Chow, W.L. Numerical study of the turbulent flow past an airfoil with trailing edge separation. AIAA J. 1983, 21, 1525–1532. [Google Scholar] [CrossRef]
- Issa, R.I. Solution of the implicitly discretised fluid flow equations by operator-splitting. J. Comput. Phys. 1986, 62, 40–65. [Google Scholar] [CrossRef]
- Sørensen, J.N.; Shen, W.Z. Numerical modeling of wind turbine wakes. J. Fluids Eng. 2002, 124, 393–399. [Google Scholar] [CrossRef]
- Troldborg, N.; Sørensen, J.N.; Mikkelsen, R.F. Actuator Line Modeling of Wind Turbine Wakes. Ph.D. Thesis, Technical University of Denmark, Lyngby, Danmark, 2009. [Google Scholar]
- Moeng, C.H. A large-eddy-simulation model for the study of planetary boundary-layer turbulence. J. Atmos. Sci. 1984, 41, 2052–2062. [Google Scholar] [CrossRef]
- Jonkman, J.; Butterfield, S.; Musial, W.; Scott, G. Definition of a 5-MW Reference Wind Turbine for Offshore System Development; No. NREL/TP-500-38060; National Renewable Energy Lab. (NREL): Golden, CO, USA, 2009. [Google Scholar]
- Ott, S.; Nielsen, M. Developments of the Offshore Wind Turbine Wake Model Fuga; DTU Wind Energy: Roskilde, Denmark, 2014. [Google Scholar]
- Held, D.P.; Mann, J. Detection of wakes in the inflow of turbines using nacelle lidars. Wind Energy Sci. 2019, 4, 407–420. [Google Scholar] [CrossRef]
- Guillemin, F.; Di Domenico, D.; Nguyen, N.; Sabiron, G.; Boquet, M.; Girard, N.; Coupiac, O. Nacelle LiDAR online wind field reconstruction applied to feedforward pitch control. J. Phys. Conf. Ser. 2016, 753, 052019. [Google Scholar] [CrossRef]
- Held, D.P.; Mann, J. Lidar estimation of rotor-effective wind speed-An experimental comparison. Wind Energy Sci. 2019, 4, 421–438. [Google Scholar] [CrossRef]



















| Item | Value | Unit |
|---|---|---|
| Rating | 5.0 | MW |
| Rotor orientation | Upwind | - |
| Blade number | 3 | - |
| Rotor diameter | 126 | m |
| Hub height | 90 | m |
| Rated wind speed | 11.4 | m/s |
| Rated rotation speed | 12.1 | rpm |
| Case | ABL Stability | Number of Turbines | |
|---|---|---|---|
| 1 | Neutral | 1 | - |
| 2 | Neutral | 2 | 5D |
| 3 | Neutral | 2 | 7D |
| 4 | Neutral | 2 | 9D |
| 5 | Unstable | 1 | - |
| 6 | Unstable | 2 | 5D |
| 7 | Unstable | 2 | 7D |
| 8 | Unstable | 2 | 9D |
© 2019 by the authors. Licensee MDPI, Basel, Switzerland. This article is an open access article distributed under the terms and conditions of the Creative Commons Attribution (CC BY) license (http://creativecommons.org/licenses/by/4.0/).
Share and Cite
Ning, X.; Wan, D. LES Study of Wake Meandering in Different Atmospheric Stabilities and Its Effects on Wind Turbine Aerodynamics. Sustainability 2019, 11, 6939. https://doi.org/10.3390/su11246939
Ning X, Wan D. LES Study of Wake Meandering in Different Atmospheric Stabilities and Its Effects on Wind Turbine Aerodynamics. Sustainability. 2019; 11(24):6939. https://doi.org/10.3390/su11246939
Chicago/Turabian StyleNing, Xu, and Decheng Wan. 2019. "LES Study of Wake Meandering in Different Atmospheric Stabilities and Its Effects on Wind Turbine Aerodynamics" Sustainability 11, no. 24: 6939. https://doi.org/10.3390/su11246939
APA StyleNing, X., & Wan, D. (2019). LES Study of Wake Meandering in Different Atmospheric Stabilities and Its Effects on Wind Turbine Aerodynamics. Sustainability, 11(24), 6939. https://doi.org/10.3390/su11246939
