Does the Difference in Urban Public Facility Allocation Cause Spatial Inequality in Housing Prices? Evidence from Chongqing, China
Abstract
1. Introduction
- Does the difference in urban public facility allocation lead to spatial inequality in housing prices?
- How does the allocation of urban public facilities at different supply levels affect spatial inequality in housing prices? If the supply of facilities increases, will it balance housing prices or aggravate price variation?
2. Literature Review
2.1. Equity of Urban Public Facilities Allocation
2.2. Capitalisation Effect of Urban Public Facilities on Housing Prices
3. Theoretical Framework
4. Methodology
4.1. Hedonic Price Model
4.2. LASSO Model
4.3. Variable Selection and Quantification
5. Case Study
5.1. Study Area and Data Source
5.2. Principles of PublicFfacilities Allocation in the Chongqing Metropolitan Area
5.3. Variable Descriptive Statistics
6. Results
6.1. OLS Model Results
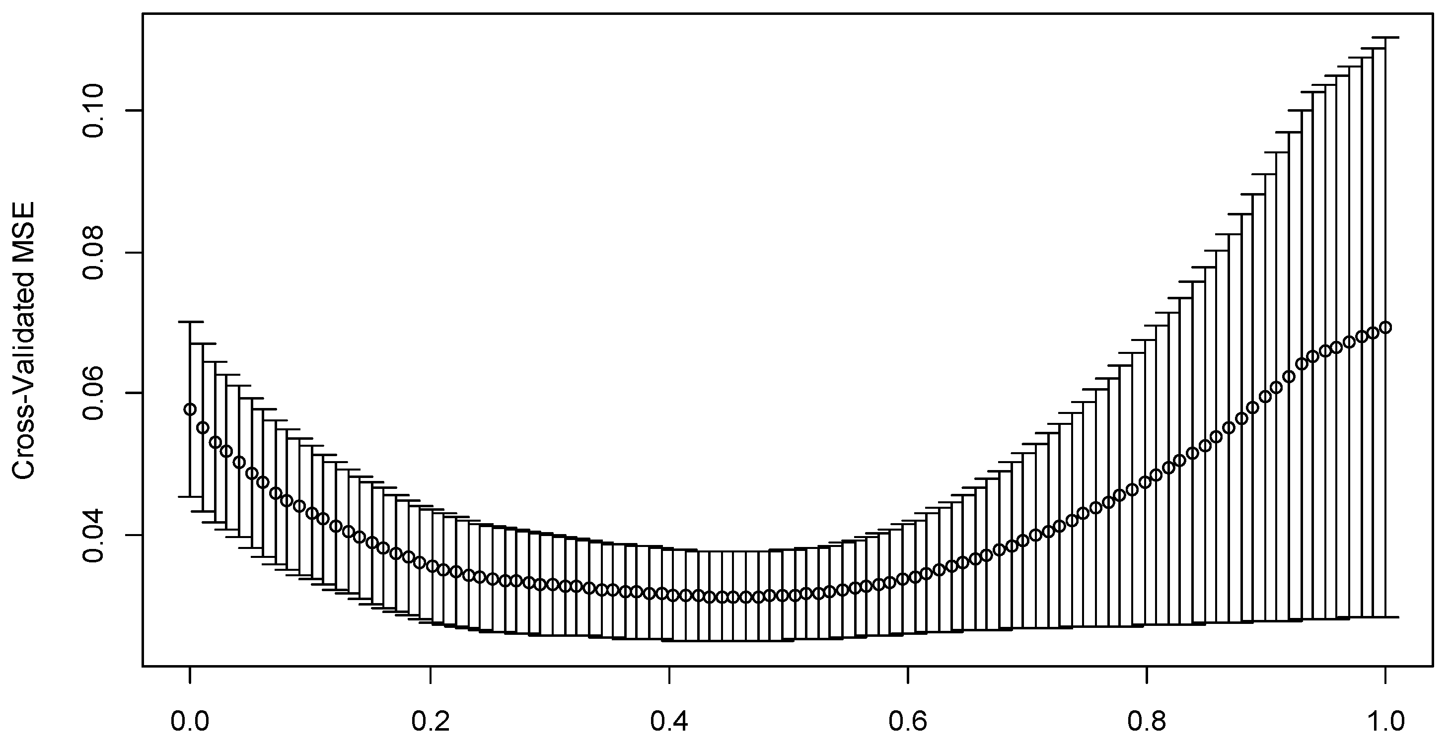
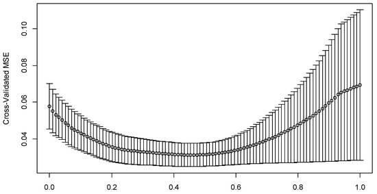
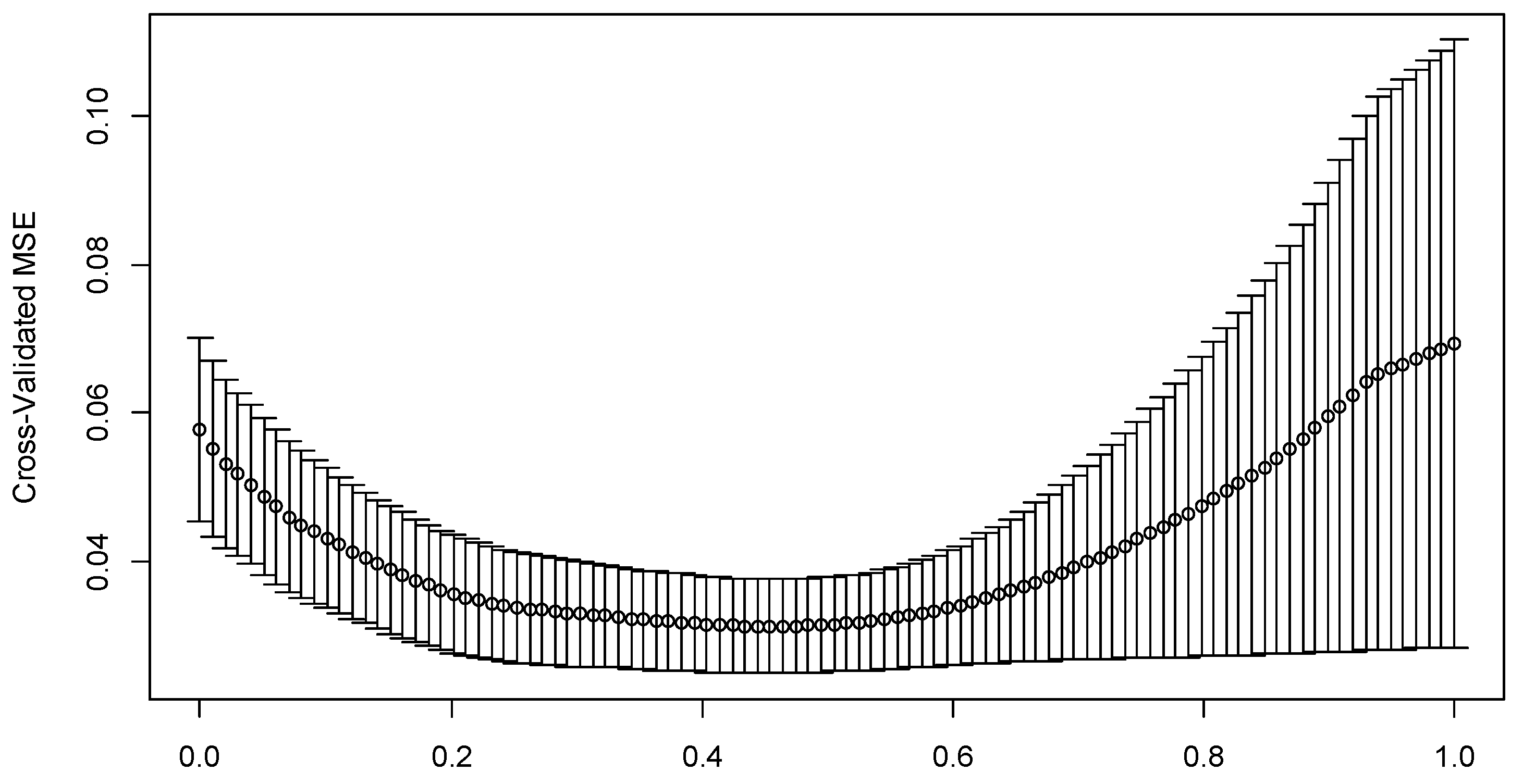
6.2. LASSO Model Results
7. Discussion
7.1. Impact of Urban Public Facility Allocation on the Spatial Inequality in Housing Prices
7.2. Intellectual Contributions
- For urban public facilities in case III that are laid out according to small administrative units, their capitalisation effects are not considerable. This finding is consistent with Wen et al. [38] who found that the capitalisation effect of basic education facility in Hangzhou was not always considerable.
- For facilities in case II that are laid out according to large administrative units, their capitalisation effects are considerable. Similarly, cultural facilities [43,57] and sports facilities [43] as well as shopping malls [60] were found that they have notable value-added effects on surrounding houses.
- The capitalisation effects of scarce and high-quality public resources in case I are considerable. Similarly, Wen et al. [38] found that the capitalisation effects of high-quality primary schools and high-quality universities are remarkable. Peng and Chiang, Wang et al. and Wen and Tao [3,11,56] found that as high-quality medical resources, the higher the spatial accessibility of grade-A tertiary hospitals are, the more evident the value-added effect on houses are. Wang et al. and Wen et al. [3,12] discovered that since the layout of metro stations is spatially unbalanced, the closer houses are to the metro station, the higher housing prices will be. Municipal parks and river-views [26,46] as high-quality and scarce landscape endowments, make an obvious value-added effect on houses in the vicinity. Lan et al. [57] also deemed that basic education is a basic necessity, and culture, sports and finance are a higher-level of needs. The current study responds to the conclusions of previous researches, which partially explain the correctness of the current study.
- The current study systematically analyses the impact of urban public facility allocation on their capitalisation effect, which is equivalent to summarising the conclusions of previous literature.
- The theoretical framework proposed in the current study can help form a systematic and thorough understanding of the impact of differences in urban public facility allocation on spatial inequality in housing prices: (I) For scarce and high-quality public resources that might always be in the disequilibrium state, their presence will aggravate spatial inequality in housing prices. (II) For facilities that can only achieve the quantitative equilibrium, their supply densities have a positive impact on the variation of housing prices. (III) For facilities that reach spatial equilibrium, their supply densities have a negative impact on the spatial inequality in housing prices. Thus, the current study enriches the knowledge framework and is comprehensive and universal.
8. Conclusions
- The current study finds that the supply level and supply quantity of public facilities determine whether there iss a significant difference in the accessibility or availability of facilities amongst neighbourhoods, and subsequently determines whether the capitalisation effect of such facilities is considerable, and ultimately affects the spatial inequality in housing prices. Additionally, the current study argues that the capitalisation effect of urban public facilities on housing will be considerable when the accessibility or availability of facilities has a serious stake in the location or property rights of houses. In addition, the spatial inequality in housing prices caused by the difference in accessibility or availability of public facilities is affected not only by the market, but also by the government’s planning of public facilities in China, such as the division of primary school districts.
- The case study shows that the differences in urban public facility allocation caused by an unequal supply of facilities and an unbalanced distribution of scarce and high-quality public resources have a notable impact on the spatial inequality in housing prices. The current study considers that there are three available states of urban public facility allocation, namely, disequilibrium, quantitative equilibrium and spatial equilibrium: (I) The scarce and high-quality public resources that fall under people’s higher-level needs may always be in the disequilibrium state, their availability or accessibility is bound by property rights or related to the location of housing. The capitalisation effect of such resources is substantial, and their presence will aggravate spatial inequality in housing prices, such as key primary schools, key universities, grade-A tertiary hospitals, metro stations, municipal parks and river-views. (II) Facilities laid out on the basis of large administrative units (e.g., cities and districts) supplied in small amounts but with a large service population and wide service scope, fall under people’s higher-level needs. The availability of these facilities, such as shopping malls, banks, large- and medium-sized cultural facilities and sports facilities depend on the location of housing. The supply of such facilities can only reach the quantitative equilibrium (only a balance between supply and people’s demand can be achieved, but the balance of spatial distribution cannot be achieved) makes their capitalisation effect considerable, and their supply densities have a positive impact on the spatial inequality in housing prices. (III) Facilities, such as kindergartens, primary schools, secondary schools, supermarkets and terminal markets that are laid out according to small administrative units (e.g., sub-districts and communities) with a small service radius and a small service population, fall under people’s basic needs. The supply of such facilities that reach the spatial equilibrium makes their capitalisation negligible, and their supply densities have a negative impact on the spatial inequality in housing prices. Therefore, it is reasonable to argue that the impact of urban public facilities at different supply levels on the housing market is diversified.
- Additionally, the current study finds that the impact of public facility allocation on housing price inequality has nothing to do with who the main supplier of the facility is.
- Because of the limited availability of data, the current study omits differences amongst neighbourhoods and the independent variables selected do not cover all types of urban public facilities. In addition, the research units selected in this study are divided according to the administrative boundaries commonly used in China’s statistics. However, the actual use of public facilities may not be strictly in accordance with the administrative boundaries, so the current results may deviate from the actual situation, and big data accessible on the Internet is expected to be used for further exploration.
- The LASSO model is sensitive to noise, thereby causing inevitable weaknesses.
- Given that China’s seventh census in 2020 has yet to commence, the current study uses the sixth census data and administrative boundary vector data in 2010. Thus, deviations from the current social situation may exist.
- The research unit chosen in the current study may be limited and further exploration is needed by using different research units, but it is sufficient to prove that the theoretical framework proposed in this study can reflect the real trend and has a certain value. The next step is to refine and improve these shortcomings.
9. Note
- District: “qu” in Mandarin Chinese. It is an administrative jurisdiction unit within Chinese cities.
- Sub-district: “jiedao” in Mandarin Chinese. It is an administrative jurisdiction unit within Chinese cities.
- Community: “shequ” in Mandarin Chinese. It refers to the social community composed of people living in a certain geographical area, which is the most basic unit of social organisms.
- Neighbourhood: “xiaoqu” in Mandarin Chinese. It refers to a large number of houses with a relatively independent living environment in a certain area of the city. It is equipped with a set of living service facilities, which are generally constructed by one developer and has similarities in attributes such as quality and age. Thus, the variation of housing prices within the neighbourhood is circumvented to an extent.
Author Contributions
Funding
Conflicts of Interest
References
- Knox, P.; Pinch, S. Urban Social Geography: An Introduction, 6th ed.; Routledge: London, UK, 2009. [Google Scholar]
- Lineberry, R.L. Equality and Urban Policy: The Distribution of Municipal Public Services; Beverly Hills: London, UK, 1977. [Google Scholar]
- Wang, Y.; Feng, S.; Deng, Z.; Cheng, S.; Feng, S. Transit premium and rent segmentation: A spatial quantile hedonic analysis of Shanghai Metro. Transp. Policy 2016, 51, 61–69. [Google Scholar] [CrossRef]
- Sheppard, S. Hedonic analysis of housing markets. In Handbook of Regional and Urban Economics; Elsevier: Amsterdam, The Netherlands, 1999; Volume 3, pp. 1595–1635. [Google Scholar]
- Demsetz, H. Toward a Theory of Property Rights. In Classic Papers in Natural Resource Economics; Palgrave Macmillan: London, UK, 1974. [Google Scholar]
- Almohamad, H.; Knaack, A.L.; Habib, B.M. Assessing Spatial Equity and Accessibility of Public Green Spaces in Aleppo City, Syria. Forests 2018, 9, 706. [Google Scholar] [CrossRef]
- Lindsey, G.; Maraj, M.; Kuan, S. Access, Equity, and Urban Greenways: An Exploratory Investigation. Prof. Geogr. 2001, 53, 332–346. [Google Scholar] [CrossRef]
- Wolch, J.; Wilson, J.P.; Fehrenbach, J. Parks and Park Funding in Los Angeles: An Equity-Mapping Analysis. Urban Geogr. 2005, 26, 4–35. [Google Scholar] [CrossRef]
- Downey, L.; Dubois, S.; Hawkins, B.; Walker, M. Environmental Inequality in Metropolitan America. Sociol. Spectr. 2006, 26, 21–41. [Google Scholar] [CrossRef]
- Yoon, D.; Kang, J.; Park, J. Exploring Environmental Inequity in South Korea: An Analysis of the Distribution of Toxic Release Inventory (TRI) Facilities and Toxic Releases. Sustainability 2017, 9, 1886. [Google Scholar] [CrossRef]
- Wen, H.; Tao, Y. Polycentric urban structure and housing price in the transitional China: Evidence from Hangzhou. Habitat Int. 2015, 46, 138–146. [Google Scholar] [CrossRef]
- Wen, H.; Gui, Z.; Tian, C.; Xiao, Y.; Fang, L. Subway Opening, Traffic Accessibility, and Housing Prices: A Quantile Hedonic Analysis in Hangzhou, China. Sustainability 2018, 10, 2254. [Google Scholar] [CrossRef]
- Dajani, J.S. Cost Studies of Urban Public Services. Land Econ. 1973, 49, 479. [Google Scholar] [CrossRef]
- Cooper, L. Location-Allocation Problems. Oper. Res. 1963, 11, 331–343. [Google Scholar] [CrossRef]
- Teitz, M.B. Toward a theory of urban public facility location. Pap. Reg. Sci. 1968, 21, 35–51. [Google Scholar] [CrossRef]
- Jones, B.D.; Kaufman, C. The Distribution of Urban Public Services: A Preliminary Model. Adm. Soc. 1974, 6, 337–360. [Google Scholar] [CrossRef]
- Burdziej, J. Using hexagonal grids and network analysis for spatial accessibility assessment in urban environments—A case study of public amenities in Toruń. Misc. Geogr. 2019, 23, 99–110. [Google Scholar] [CrossRef]
- Zhao, Y.; Zhang, G.; Lin, T.; Liu, X.; Liu, J.; Lin, M.; Ye, H.; Kong, L. Towards Sustainable Urban Communities: A Composite Spatial Accessibility Assessment for Residential Suitability Based on Network Big Data. Sustainability 2018, 10, 4767. [Google Scholar] [CrossRef]
- Apparicio, P.; Seguin, A.-M. Measuring the Accessibility of Services and Facilities for Residents of Public Housing in Montreal. Urban Stud. 2006, 43, 187–211. [Google Scholar] [CrossRef]
- Taleai, M.; Sliuzas, R.; Flacke, J. An integrated framework to evaluate the equity of urban public facilities using spatial multi-criteria analysis. Cities 2014, 40, 56–69. [Google Scholar] [CrossRef]
- Dadashpoor, H.; Rostami, F. Measuring spatial proportionality between service availability, accessibility and mobility: Empirical evidence using spatial equity approach in Iran. J. Transp. Geogr. 2017, 65, 44–55. [Google Scholar] [CrossRef]
- DeRuyter, G. Evaluating spatial inequality in pre-schools in Ghent, Belgium by accessibility and service area analysis with GIS. In Proceedings of the 13th International Multidisciplinary Scientific GeoConference-SGEM, Albena, Bulgary, 16–22 June 2013. [Google Scholar]
- Lu, C.; Zhang, Z.; Lan, X. Impact of China’s referral reform on the equity and spatial accessibility of healthcare resources: A case study of Beijing. Soc. Sci. Med. 2019, 235, 112386. [Google Scholar] [CrossRef]
- Zheng, Z.; Xia, H.; Ambinakudige, S.; Qin, Y.; Li, Y.; Xie, Z.; Zhang, L.; Gu, H. Spatial Accessibility to Hospitals Based on Web Mapping API: An Empirical Study in Kaifeng, China. Sustainability 2019, 11, 1160. [Google Scholar] [CrossRef]
- Hu, S.; Song, W.; Li, C.; Lu, J. The Spatial Equity of Nursing Homes in Changchun: A Multi-Trip Modes Analysis. ISPRS Int. J. Geo-Inf. 2019, 8, 223. [Google Scholar] [CrossRef]
- Kong, F.; Yin, H.; Nakagoshi, N. Using GIS and landscape metrics in the hedonic price modeling of the amenity value of urban green space: A case study in Jinan City, China. Landsc. Urban Plan. 2007, 79, 240–252. [Google Scholar] [CrossRef]
- Chen, T.; Hui, E.C.-M.; Lang, W.; Tao, L. People, recreational facility and physical activity: New-type urbanization planning for the healthy communities in China. Habitat Int. 2016, 58, 12–22. [Google Scholar] [CrossRef]
- Scott, D.; Jackson, E.L. Factors that limit and strategies that might encourage people’s use of public parks. J. Park Recreat. Adm. 1996, 14, 1–17. [Google Scholar]
- Stanley, B.W.; Dennehy, T.J.; Smith, M.E.; Stark, B.L.; York, A.M.; Cowgill, G.L.; Novic, J.; Ek, J. Service Access in Premodern Cities: An Exploratory Comparison of Spatial Equity. J. Urban Hist. 2016, 42, 121–144. [Google Scholar] [CrossRef]
- Gao, J.B.; Zhou, C.S.; Jiang, H.Y.; Chang-Dong, Y.E. The Research on the Spatial Differentiation of the Urban Public Service Facilites Distribution in Guangzhou. Hum. Geogr. 2010, 25, 78–83. (In Chinese) [Google Scholar]
- Hart, J.T. The inverse care law. Lancet 1971, 297, 405–412. [Google Scholar] [CrossRef]
- Rahman, M.; Dhaka, B.; Neema, M.N. A GIS Based Integrated Approach to Measure the Spatial Equity of Community Facilities of Bangladesh. Aims Geosci. 2015, 1, 21–40. [Google Scholar] [CrossRef]
- Bondarabady, H.A.; Khavarian-Garmsir, A.R. An analyses of the role of socio-economic classes in the spatial organization (a case study of Yazd, Iran). J. Archaeol. Sci. Rep. 2019, 25, 486–497. [Google Scholar] [CrossRef]
- Heynen, N.; Perkins, H.A.; Roy, P. The Political Ecology of Uneven Urban Green Space. Urban Aff. Rev. 2006, 42, 3–25. [Google Scholar] [CrossRef]
- Comber, A.; Brunsdon, C.; Green, E. Using a GIS-based network analysis to determine urban greenspace accessibility for different ethnic and religious groups. Landsc. Urban Plan. 2008, 86, 103–114. [Google Scholar] [CrossRef]
- Pearce, J.; Witten, K.; Hiscock, R.; Blakely, T. Are socially disadvantaged neighbourhoods deprived of health-related community resources? Int. J. Epidemiol. 2007, 36, 348–355. [Google Scholar] [CrossRef] [PubMed]
- Tahmasbi, B.; Mansourianfar, M.H.; Haghshenas, H.; Kim, I. Multimodal accessibility-based equity assessment of urban public facilities distribution. Sustain. Cities Soc. 2019, 49, 101633. [Google Scholar] [CrossRef]
- Wen, H.; Xiao, Y.; Hui, E.C.; Zhang, L. Education quality, accessibility, and housing price: Does spatial heterogeneity exist in education capitalization? Habitat Int. 2018, 78, 68–82. [Google Scholar] [CrossRef]
- Munoz-Raskin, R. Walking accessibility to bus rapid transit: Does it affect property values? The case of Bogotá, Colombia. Transp. Policy 2010, 17, 72–84. [Google Scholar] [CrossRef]
- Cervero, R.; Kang, C.D. Bus rapid transit impacts on land uses and land values in Seoul, Korea. Transp. Policy 2011, 18, 102–116. [Google Scholar] [CrossRef]
- Mulley, C.; Tsai, C.-H.P. When and how much does new transport infrastructure add to property values? Evidence from the bus rapid transit system in Sydney, Australia. Transp. Policy 2016, 51, 15–23. [Google Scholar] [CrossRef]
- Wang, Y.; Potoglou, D.; Orford, S.; Gong, Y. Bus stop, property price and land value tax: A multilevel hedonic analysis with quantile calibration. Land Use Policy 2015, 42, 381–391. [Google Scholar] [CrossRef]
- Yang, L.; Wang, B.; Zhou, J.; Wang, X. Walking accessibility and property prices. Transp. Res. Part D Transp. Environ. 2018, 62, 551–562. [Google Scholar] [CrossRef]
- Tapsuwan, S.; Ingram, G.; Burton, M.; Brennan, D. Capitalized amenity value of urban wetlands: A hedonic property price approach to urban wetlands in Perth, Western Australia. Aust. J. Agric. Resour. Econ. 2010, 53, 527–545. [Google Scholar] [CrossRef]
- Yoon, H. When and where do we see the proximity effect of a new park? A case study of the Dream Forest in Seoul, Korea. J. Environ. Plan. Manag. 2018, 61, 1113–1136. [Google Scholar] [CrossRef]
- Wen, H.; Xiao, Y.; Zhang, L. Spatial effect of river landscape on housing price: An empirical study on the Grand Canal in Hangzhou, China. Habitat Int. 2017, 63, 34–44. [Google Scholar] [CrossRef]
- Mankiw, N.G. Principles of Economics, 6th ed.; South-Western Cengage Learning: Boston, MA, USA, 2012. [Google Scholar]
- Oates, W.E. The Effects of Property Taxes and Local Public Spending on Property Values: An Empirical Study of Tax Capitalization and the Tiebout Hypothesis. J. Political Econ. 1969, 77, 957–971. [Google Scholar] [CrossRef]
- Tibshirani, R. Regression Shrinkage and Selection via the Lasso. J. R. Stat. Soc. Ser. B (Methodol.) 1996, 58, 267–288. [Google Scholar] [CrossRef]
- Oladunni, T.; Sharma, S.; Tiwang, R. A Spatio-Temporal Hedonic House Regression Model. In Proceedings of the 16th IEEE International Conference on Machine Learning and Applications (ICMLA), Cancun, Mexico, 18–21 December 2017; pp. 607–612. [Google Scholar]
- Huang, Y.-Q.; Liang, C.-H.; He, L.; Tian, J.; Liang, C.-S.; Chen, X.; Ma, Z.-L.; Liu, Z.-Y. Development and Validation of a Radiomics Nomogram for Preoperative Prediction of Lymph Node Metastasis in Colorectal Cancer. J. Clin. Oncol. 2016, 34, 2157–2164. [Google Scholar] [CrossRef]
- Wu, S.; Zheng, J.; Li, Y.; Yu, H.; Shi, S.; Xie, W.; Liu, H.; Su, Y.; Huang, J.; Lin, T. A Radiomics Nomogram for the Preoperative Prediction of Lymph Node Metastasis in Bladder Cancer. Clin. Cancer Res. 2017, 23, 6904–6911. [Google Scholar] [CrossRef]
- Efron, B.; Hastie, T.; Johnstone, I.; Tibshirani, R. Least Angle Regression. Ann. Stat. 2004, 32, 407–451. [Google Scholar]
- Fack, G.; Grenet, J. When do better schools raise housing prices? Evidence from Paris public and private schools. J. Public Econ. 2010, 94, 59–77. [Google Scholar] [CrossRef]
- Machin, S. Houses and schools: Valuation of school quality through the housing market. Labour Econ. 2011, 18, 723–729. [Google Scholar] [CrossRef]
- Peng, T.-C.; Chiang, Y.-H. The non-linearity of hospitals’ proximity on property prices: Experiences from Taipei, Taiwan. J. Prop. Res. 2015, 32, 341–361. [Google Scholar] [CrossRef]
- Lan, F.; Wu, Q.; Zhou, T.; Da, H. Spatial Effects of Public Service Facilities Accessibility on Housing Prices: A Case Study of Xi’an, China. Sustainability 2018, 10, 4503. [Google Scholar] [CrossRef]
- Tu, C.C. How Does a New Sports Stadium Affect Housing Values? The Case of FedEx Field. Land Econ. 2005, 81, 379–395. [Google Scholar] [CrossRef]
- Xia, F.; Humphreys, B.R. The impact of professional sports facilities on housing values: Evidence from census block group data. City Culture & Society 2012, 3, 189–200. [Google Scholar]
- Zhang, L.; Zhou, J.; Hui, E.C.M.; Wen, H. The effects of a shopping mall on housing prices: A case study in Hangzhou. Int. J. Strateg. Prop. Manag. 2019, 23, 65–80. [Google Scholar] [CrossRef]
- Zhou, C.S.; Gao, J.B. Provision Pattern of Urban Public Service Facilities and its Formation Mechanism During Transitional China. Sci. Geogr. Sin. 2011, 31, 272–279. (In Chinese) [Google Scholar]
- Yu, J. China’s Public Service System: Developments of Social Policy, Institution and Mechanism. Acad. Mon. 2011, 43, 5–17. (In Chinese) [Google Scholar]
- Chongqing Planning and Design Institute DB 50/T 543–2014 Chongqing Urban and Rural Public Service Facilities Planning Standards; China Architecture & Building Press: Beijing, China, 2014. (In Chinese)
- Liu, X.; Macedo, J.; Zhou, T.; Shen, L.; Liao, Y.; Zhou, Y. Evaluation of the utility efficiency of subway stations based on spatial information from public social media. Habitat Int. 2018, 79, 10–17. [Google Scholar] [CrossRef]
- Michalos, A.C.; Zumbo, B.D. Public Services and the Quality of Life. Soc. Indic. Res. 1999, 48, 125–157. [Google Scholar] [CrossRef]




| Classification | Variable | Symbol | Variable Definition and Quantisation | Supporting Reference |
|---|---|---|---|---|
| Educational facilities | Kindergarten supply density | Ratio of the number of kindergartens to the number of kindergarten students within the sub-district | [38,54,55] | |
| Primary school supply density | Ratio of the number of primary schools to the number of pupils within the sub-district | |||
| Secondary school supply density | Ratio of the number of secondary schools to the number of secondary school students within the sub-district | |||
| Presence of high-quality primary schools | If a key primary school is found within the sub-district, then set the variable to 1; otherwise, 0. | |||
| Presence of high-quality secondary schools | If a key secondary school is found within the sub-district, then set the variable to 1; otherwise, 0. | |||
| Presence of high-quality universities | If a key university is found within the sub-district, then set the variable to 1; otherwise, 0. | |||
| Medical facilities | Clinic supply density | Ratio of the number of clinics to the total number of people within the sub-district | [3,11,56] | |
| General hospital supply density | Ratio of the number of general hospitals to the total number of people within the sub-district | |||
| Presence of Grade-A tertiary hospitals | If a grade-A tertiary hospital is found within the sub-district, then set the variable to 1; otherwise, 0. | |||
| Cultural facilities | Cultural facility supply density | Ratio of the number of large- and medium-sized cultural facilities (museums, exhibition halls, science and technology museums, art galleries, libraries, cultural palaces) to the total number of people within the sub-district | [43,57] | |
| Sports facilities | Sports venue supply density | Ratio of the number of large- and medium-sized sports venues (basketball courts, tennis halls, swimming pools, football fields, comprehensive sports venues, large national fitness centres) to the total number of people within the sub-district | [43,58,59] | |
| Commercial facilities | Shopping mall supply density | Ratio of the number of shopping malls to the total number of people within the sub-district | [43,57,60] | |
| Supermarket and terminal market supply density | Ratio of the number of supermarkets and terminal markets to the total number of people within the sub-district | |||
| Bank supply density | Ratio of the number of banks to the total number of people within the sub-district | |||
| Transportation facilities | Bus stop supply density | Ratio of the number of bus stops to the total number of people within the sub-district | [3,12,39,40,41,42] | |
| Presence of metro stations | If a metro station is found within the sub-district, then set the variable to 1; otherwise, 0. | |||
| Landscape resources | Presence of municipal parks | If a municipal park is found within the sub-district, then set the variable to 1; otherwise, 0. | [26,44,45,46] | |
| Presence of river-views | If a river passes through the sub-district, then set the variable to 1; otherwise, 0. | |||
| Dependent variable | Spatial inequality in housing prices | Coefficient of the average housing price variation amongst neighbourhoods within the sub-district |
| Allocation Level of Urban Public Facilities | Planning Service Population/1000 People | Administrative Level | General Service Radius/m |
|---|---|---|---|
| District | ≥150 | District | - |
| Residential area | 40–80 | Sub-district | 800–1200 |
| Residential community | 8–20 | Community | 300–400 |
| Residential group | 1–3 | Neighbourhood | - |
| Classification | Variable | Min | Max | Average | Median | Std. Dev |
|---|---|---|---|---|---|---|
| Educational facilities | 0.000 | 80.749 | 11.483 | 9.564 | 10.960 | |
| 0.000 | 5.802 | 1.614 | 1.371 | 1.175 | ||
| 0.000 | 3.767 | 0.977 | 0.871 | 0.746 | ||
| 0 | 1 | 0.120 | 0.000 | 0.327 | ||
| 0 | 1 | 0.240 | 0.000 | 0.430 | ||
| 0 | 1 | 0.133 | 0.000 | 0.342 | ||
| Medical facilities | 0.000 | 1.243 | 0.431 | 0.390 | 0.244 | |
| 0.000 | 0.327 | 0.062 | 0.047 | 0.055 | ||
| 0 | 1 | 0.187 | 0.000 | 0.392 | ||
| Cultural facilities | 0.000 | 7.752 | 0.241 | 0.102 | 0.888 | |
| Sports facilities | 0.000 | 0.297 | 0.045 | 0.032 | 0.057 | |
| Commercial facilities | 0.000 | 0.805 | 0.089 | 0.051 | 0.124 | |
| 0.057 | 3.876 | 0.510 | 0.355 | 0.614 | ||
| 0.000 | 1.176 | 0.307 | 0.251 | 0.244 | ||
| Transportation facilities | 0.726 | 71.705 | 4.938 | 3.324 | 8.268 | |
| 0 | 1 | 0.627 | 1.000 | 0.487 | ||
| Landscape resources | 0 | 1 | 0.240 | 0.000 | 0.430 | |
| 0 | 1 | 0.587 | 1.000 | 0.496 | ||
| Dependent variable | 0.091 | 0.284 | 0.195 | 0.195 | 0.043 |
| OLS Model | LASSO Model | |||||||
|---|---|---|---|---|---|---|---|---|
| Classification | Variable | Estimate | Std. Error | T | Pr (>|t|) | VIF | Estimate | |
| (Intercept) | −1.836 | *** | 0.062 | −29.837 | 0.000 | - | - | |
| Educational facilities | −0.002 | 0.005 | −0.447 | 0.656 | 8.430 | −0.001 | ||
| −0.007 | 0.027 | −0.276 | 0.783 | 2.850 | −0.013 | |||
| −0.053 | 0.035 | −1.525 | 0.133 | 1.914 | −0.031 | |||
| 0.334 | *** | 0.074 | 4.517 | 0.000 | 1.649 | 0.308 | ||
| −0.046 | 0.052 | −0.895 | 0.375 | 1.380 | - | |||
| 0.088 | 0.058 | 1.502 | 0.139 | 1.125 | 0.066 | |||
| Medical facilities | 0.026 | 0.141 | 0.186 | 0.853 | 3.348 | - | ||
| 0.034 | 0.621 | 0.054 | 0.957 | 3.291 | - | |||
| 0.142 | * | 0.055 | 2.599 | 0.012 | 1.288 | 0.143 | ||
| Cultural facilities | 0.228 | . | 0.115 | 1.979 | 0.053 | 29.344 | 0.018 | |
| Sports facilities | −0.034 | 0.521 | −0.066 | 0.948 | 2.517 | 0.055 | ||
| Commercial facilities | 1.714 | *** | 0.481 | 3.561 | 0.001 | 9.973 | 0.759 | |
| −0.381 | ** | 0.122 | −3.123 | 0.003 | 15.779 | −0.085 | ||
| 0.245 | . | 0.138 | 1.774 | 0.082 | 3.207 | 0.135 | ||
| Transportation facilities | −0.006 | 0.013 | −0.465 | 0.644 | 31.452 | - | ||
| 0.035 | 0.046 | 0.753 | 0.455 | 1.420 | 0.052 | |||
| Landscape resources | 0.121 | * | 0.054 | 2.244 | 0.029 | 1.504 | 0.122 | |
| 0.130 | ** | 0.048 | 2.725 | 0.009 | 1.570 | 0.086 | ||
| Facility Type | Basic Education Facilities, Supermarkets and Terminal Markets | Large- and Medium-Sized Commercial Facilities, Cultural and Sports Facilities | High Quality and Scarce Public Resources | |
|---|---|---|---|---|
| Facility Characteristic | ||||
| Case in Section 3 | Case III (spatial equilibrium) | Case II (quantitative equilibrium) | Case I (disequilibrium) | |
| Supply equilibrium quantity | (at point B) | (approach point B) | - | |
| Quantity/per capita possession | Large | Small | Small | |
| Layout principle | Layout unit | According to small administrative units (e.g., sub-districts and communities) | According to large administrative units (e.g., cities and sub-districts) | - |
| Service population | Small | Large | - | |
| Service area | Small service radius | Wide service range | - | |
| Degree of needs | Basic needs | Higher-level needs | Higher-level needs | |
| Availability and accessibility of facilities | Easier access | Bound by location of houses | Bound by location or property rights of houses | |
| Capitalisation effect | Negligible | Considerable | Considerable | |
| Effect on spatial inequality in housing prices | Negative | Positive | Positive | |
© 2019 by the authors. Licensee MDPI, Basel, Switzerland. This article is an open access article distributed under the terms and conditions of the Creative Commons Attribution (CC BY) license (http://creativecommons.org/licenses/by/4.0/).
Share and Cite
Zhang, L.; Zhou, T.; Mao, C. Does the Difference in Urban Public Facility Allocation Cause Spatial Inequality in Housing Prices? Evidence from Chongqing, China. Sustainability 2019, 11, 6096. https://doi.org/10.3390/su11216096
Zhang L, Zhou T, Mao C. Does the Difference in Urban Public Facility Allocation Cause Spatial Inequality in Housing Prices? Evidence from Chongqing, China. Sustainability. 2019; 11(21):6096. https://doi.org/10.3390/su11216096
Chicago/Turabian StyleZhang, Linlin, Tao Zhou, and Chao Mao. 2019. "Does the Difference in Urban Public Facility Allocation Cause Spatial Inequality in Housing Prices? Evidence from Chongqing, China" Sustainability 11, no. 21: 6096. https://doi.org/10.3390/su11216096
APA StyleZhang, L., Zhou, T., & Mao, C. (2019). Does the Difference in Urban Public Facility Allocation Cause Spatial Inequality in Housing Prices? Evidence from Chongqing, China. Sustainability, 11(21), 6096. https://doi.org/10.3390/su11216096
