Individual Condensation Trails in Aircraft Trajectory Optimization
Abstract
1. Introduction
2. Individual Contrails in Trajectory Optimization
2.1. Atmosphere GFS Weather Data
2.2. Flight Performance
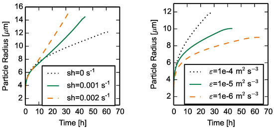
2.3. Contrail Life Cycle
2.4. Contrail Optical Properties
2.5. Atmospheric Radiative Transfer
2.5.1. Terrestrial Radiative Transfer
2.5.2. Solar Radiative Transfer
2.6. Contrail Radiative Forcing
- : number of absorbed photons coming from below;
- : number of photons coming from below, scattered into the lower hemisphere;
- : number of photons coming from above, scattered into the upper hemisphere.
2.7. Weighting of Contrail Costs in Trajectory Optimization
3. Results
3.1. Contrails in Trajectory Optimization
3.2. Verification
3.3. Discussion
- How can the conditions of contrail formation be estimated in a flight performance model?
- What is the radiative impact of the induced contrail per flight time step?
- How can the estimated contrail radiative impact be considered in a multi-criteria trajectory optimization?
4. Conclusions
Author Contributions
Funding
Acknowledgments
Conflicts of Interest
References
- Schumann, U. Formation, properties and climatic effects of contrails. C. R. Phys. 2005, 6, 549–565. [Google Scholar] [CrossRef]
- Schmidt, E. Die Entstehung von Eisnebel aus den Auspuffgasen von Flugmotoren. Schriften der Deutschen Akademie der Luftfahrtforschung 1941, 44, 1–15. [Google Scholar]
- Appleman, H. The formation of exhaust condensation trails by jet aircraft. Bull. Am. Meteorol. Soc. 1953, 34, 14–20. [Google Scholar] [CrossRef]
- World Meteorological Organization. Cloud Atlas. 2018. Available online: https://cloudatlas.wmo.int/aircraft-condensation-trails.html (accessed on 29 October 2019).
- Meerkötter, R.; Schumann, U.; Minnis, P.; Doelling, D.R.; Nakajima, T.; Tsushima, Y. Radiative forcing by contrails. J. Geophys. Res. 1999, 17, 1080–1094. [Google Scholar] [CrossRef]
- Myhre, G.; Shindell, D.; Bréon, F.M.; Collins, W.; Fuglestvedt, J.; Huang, J.; Koch, D.; Lamarque, J.F.; Lee, D.; Mendoza, B.; et al. Anthropogenic and Natural Radiative Forcing. In Climate Change 2013: The Physical Science Basis; Contribution of Working Group I to the Fifth Assessment Report of the Intergovernmental Panel on Climate Change; Cambridge University Press: Cambridge, UK, 2013. [Google Scholar]
- Lee, D.S.; Fahey, D.W.; Forster, P.M.; Newton, P.J.; Witt, R.C.; Lim, L.L.; Owen, B.; Sausen, R. Aviation and global climate change in the 21st century. Atmos. Environ. 2009, 43, 3520–3537. [Google Scholar] [CrossRef]
- Minnis, P.; Schumann, U.; Doelling, D.R.; Gierens, K.M.; Fahey, D.W. Global distribution of contrail radiative forcing. Geophys. Res. Lett. 1999, 26, 1853–1856. [Google Scholar] [CrossRef]
- Sausen, R.; Isaksen, I.; Grewe, V.; Hauglustaine, D.; Lee, D.S.; Myhre, G.; Köhler, M.; Pitari, G.; Schumann, U.; Stordal, F.; et al. Aviation radiative forcing in 2000: An update on IPCC (1999). Meteorol. Z. 2005, 14, 555–561. [Google Scholar] [CrossRef]
- Burkhardt, U.; Kärcher, B. Global radiative forcing from contrail cirrus. Nat. Clim. Chang. 2011, 1, 54–58. [Google Scholar] [CrossRef]
- Rosenow, J. Optical Properties of Condensation Trails. Ph.D. Thesis, Technische Universität Dresden, Dresden, Germany, 2016. [Google Scholar]
- Spichtinger, P.; Gierens, K.; Read, W. The global distribution of ice-supersaturated regions as seen by the Microwave Limb Sounder. Q. J. R. Meteorol. Soc. 2003, 129, 3391–3410. [Google Scholar] [CrossRef]
- Gounou, A.; Hogan, R.J. A sensitivity study of the effect of horizontal photon transport on the radiative forcing of contrails. J. Atmos. Sci. 2007, 64, 1706–1716. [Google Scholar] [CrossRef]
- Forster, L.; Emde, C.; Mayer, B.; Unterstrasser, S. Effects of Three-Dimensional Photon Transport on the Radiative Forcing of Realistic Contrails. Am. Meteorol. Soc. 2011, 2243–2255. [Google Scholar] [CrossRef]
- Shine, K.; Cook, J.; Highwood, E.J.; Joshi, M.M. An alternative to radiative forcing for estimating the relative importance of climate change mechanisms. Geophys. Res. Lett. 2003, 30, 1–4. [Google Scholar] [CrossRef]
- Schumann, U.; Graf, K. Aviation-induced cirrus and radiation changes at diurnal timescales. J. Geophys. Res. 2013, 118, 1–18. [Google Scholar] [CrossRef]
- Markowicz, K.M.; Witek, M.L. Simulations of Contrail Optical Properties and Radiative Forcing for Various Crystal Shapes. J. Appl. Meteorol. Climatol. 2011, 50, 1740–1755. [Google Scholar] [CrossRef]
- Bock, L.; Burkhardt, U. Contrail cirrus radiative forcing for future air traffic. Atmos. Chem. Phys. 2019, 19, 8163–8174. [Google Scholar] [CrossRef]
- Chen, C.C.; Gettelman, A. Simulated 2050 aviation radiative forcing from contrails and aerosols. Atmos. Chem. Phys. 2016, 16, 7317–7333. [Google Scholar] [CrossRef]
- Avila, D.; Sherry, L. Method for calculating Net Radiative Forcing from contrails from airline operations. In Proceedings of the 2017 Integrated Communications Navigation and Surveillance (ICNS) Conference, Herndon, VA, USA, 18–20 April 2017. [Google Scholar] [CrossRef]
- Schumann, U.; Mayer, B.; Graf, K.; Mannstein, H. A Parametric radiative forcing model for contrail cirrus. Am. Meteorol. Soc. 2012, 51, 1391–1405. [Google Scholar] [CrossRef]
- Sridhar, B.; Chen, N.Y. Fuel efficient strategies for reducing contrail formations in United States airspace. In Proceedings of the 29th IEEE/AIAA Digital Avionics Systems Conference (DASC), Salt Lake City, UT, USA, 3–7 October 2010. [Google Scholar]
- Sridhar, B.; Chen, N.Y.; Ng, H.K. Energy Efficient Contrail Mitigation Strategies for Reducing the Environmental Impact of Aviation. In Proceedings of the 10th USA/Europe Air Traffic Management R&D Seminar, Chicago, IL, USA, 10–13 August 2013. [Google Scholar]
- Grewe, V.; Matthes, S.; Dahlmann, K.; Gollnick, V.; Niklaß, M.; Linke, F.; Kindler, K. Climate impact evaluation of future green aircraft technologies. In Proceedings of the Greener Aviation Brussels, Brussel, Belgium, 10–13 October 2016. [Google Scholar]
- Matthes, S.; Grewe, V.; Lee, D.; Linke, F.; Shine, K.; Stromatas, S. ATM4E: A concept for environmentally-optimized aircraft trajectories. In Proceedings of the Greener Aviation Brussels, Brussel, Belgium, 10–13 October 2016. [Google Scholar]
- Rosenow, J.; Förster, S.; Lindner, M.; Fricke, H. Impact of Multi-criteria Optimized Trajectories on European Air Traffic Density, Efficiency and the Environment. In Proceedings of the Twelfth USA/Europe Air Traffic Management Research and Development Seminar (ATM2017), Seattle, WA, USA, 27–30 June 2017. [Google Scholar]
- Rosenow, J.; Schultz, M. Coupling of Turnaround and Trajectory Optimization in an Air Traffic Simulation. In Proceedings of the Winter Simulation Conference Gotenborg, Gothenburg, Sweden, 9–12 December 2018. [Google Scholar]
- Förster, S.; Rosenow, J.; Lindner, M.; Fricke, H. A Toolchain for Optimizing Trajectories under real Weather Conditions and Realistic Flight Performance. In Proceedings of the Greener Aviation Brussels, Brussel, Belgium, 11–13 October 2016. [Google Scholar]
- Rosenow, J.; Fricke, H.; Schultz, M. Air Traffic Simulation with 4D Multi-Criteria Optimized trajectories. In Proceedings of the Winter Simulation Conference Las Vegas, Las Vegas, NV, USA, 3–6 December 2017. [Google Scholar]
- Rosenow, J.; Förster, S.; Lindner, M.; Fricke, H. Multicriteria-Optimized Trajectories Impacting Today’s Air Traffic Density, Efficiency, and Environmental Compatibility. J. Air Transp. 2018, 27, 8–15. [Google Scholar] [CrossRef]
- Rosenow, J.; Fricke, H. Flight performance modeling to optimize trajectories. In Proceedings of the Deutscher Luft- und Raumfahrtkongress Brunswig, Brunswick, Germany, 13–15 September 2016. [Google Scholar]
- Rosenow, J.; Förster, S.; Fricke, H. Continuous Climb Operations with minimum fuel burn. In Proceedings of the Sixth SESAR Innovation days Delft, Delft, The Netherlands, 8–10 November 2016. [Google Scholar]
- Rosenow, J.; Förster, S.; Lindner, M.; Fricke, H. Multi-objective trajectory optimization. Int. Transp. 2016, 68, 40–43. [Google Scholar]
- World Bank Group. State and Trends of Carbon Pricing 2018; World Bank Group: Washington, DC, USA, 2018. [Google Scholar]
- Sussmann, R.; Gierens, K.M. Lidar and numerical studies on the different evolution of vortex pair and secondary wake in young contrails. J. Geophys. Res. 1999, 104, 2131–2142. [Google Scholar] [CrossRef]
- Sussmann, R.; Gierens, K.M. Differences in early contrail evolution of two-engine versus four-engine aircraft: Lidar measurements and numerical simulations. J. Geophys. Res. 2001, 106, 4899–4911. [Google Scholar] [CrossRef]
- Rosenow, J.; Kaiser, M.; Fricke, H. Modeling Contrail life cycles based on highly precise flight profile data of modern aircraft. In Proceedings of the International Conference on Research in Airport Transportation (ICRAT), Berkeley, CA, USA, 22–25 May 2012. [Google Scholar]
- Holzäpfel, F. Probabilistic Two-Phase Wake Vortex Decay and Transport Model. J. Aircr. 2003, 40, 323–331. [Google Scholar] [CrossRef]
- Foken, T. Angewandte Meteorologie; Springer: Berlin/Heidelberg, Germany, 2006. [Google Scholar]
- Sharman, R.D.; Cornman, L.B.; Meymaris, G.; Pearson, J. Description and Derived Climatologies of Automated In Situ Eddy-Dissipation-Rate Reports of Atmospheric Turbulence. J. Appl. Meteorol. Climatol. 2014, 53, 1416–1432. [Google Scholar] [CrossRef]
- Sharman, R.D.; Pearson, J.M. Prediction of Energy Dissipation Rates for Aviation Turbulence. Part I: Forecasting Nonconvective Turbulence. J. Appl. Meteorol. Climatol. 2017, 56, 317–337. [Google Scholar] [CrossRef]
- Etling, D. Theoretische Meteorologie; Springer: Berlin/Heidelberg, Germany, 2008. [Google Scholar]
- Schumann, U.; Konopka, P.; Baumann, R.; Busen, R.; Gerz, T.; Schlager, D.; Schulte, P.; Volkert, H. Estimate of diffusion parameters of aircraft exhaust plumes near the tropopause from nitric oxide and turbulence measurements. J. Geophys. Res. 1995, 100, 14147–14162. [Google Scholar] [CrossRef]
- Döplheuer, A.; Lecht, M. Influence of engine performance on emission characteristic. In Proceedings of the Gas Turbine Engine Combustion, Emissions and Alternative Fuels, Lisbon, Portugal, 12–16 October 1998. [Google Scholar]
- Kraus, H. Die Atmosphäre der Erde; Springer: Berlin/Heidelberg, Germany, 2001. [Google Scholar]
- Roedel, W. Physik unserer Umwelt, die Atmosphäre; Springer: Berlin/Heidelberg, Germany, 2000. [Google Scholar]
- Schumann, U. On conditions for Contrail formation from aircraft exhaust. Meteorol. Z. 1996, 5, 4–23. [Google Scholar] [CrossRef]
- Yang, P.; Liou, K.N.; Wyser, K.; Mitchell, D. Parameterization of the scattering and absorption properties of individual ice crystals. J. Geophys. Res. 2000, 105, 4699–4718. [Google Scholar] [CrossRef]
- Einstein, A. Über einen die Erzeugung und Verwandlung des Lichtes betreffenden heuristischen Gesichtspunkt. Ann. Phys. 1905, 17, 132–148. [Google Scholar] [CrossRef]
- Yang, P.; Wei, H.; Huang, H.L.; Baum, B.A.; Hu, Y.X.; Kattawar, G.W.; Mishchenko, M.I.; Fu, Q. Scattering and absorption property database for nonspherical ice particles in the near- through far-infrared spectral region. Appl. Opt. 2005, 44, 5512–5523. [Google Scholar] [CrossRef]
- Macke, A.; Francis, P.N.; McFarquhar, G.M.; Kinne, S. The Role of Ice Particle Shapes and Size Distributions in the Single Scattering Properties of Cirrus Clouds. Am. Meteorol. Soc. 2010, 55, 2874–2883. [Google Scholar] [CrossRef]
- Mayer, B.; Kylling, A. Technical note: The libRadtran software package for radiative transfer calculations description and examples of use. Atmos. Chem. Phys. 2005, 5, 1855–1877. [Google Scholar] [CrossRef]
- Kylling, A.; Stamnes, K.; Tsay, S.C. A Reliable and Efficient Two-Stream Algorithm for Spherical Radiative Transfer: Documentation of Accuracy in Realistic Layered Media. J. Atmos. Chem. 1995, 21, 115–150. [Google Scholar] [CrossRef]
- Stamnes, K.; Tsay, S.C.; Wiscombe, W.; Jayaweera, K. Numerically stable algorithm for discrete-ordinate-method radiative transfer in multiple scattering and emitting layered media. Appl. Opt. 1988, 27, 2502–2509. [Google Scholar] [CrossRef] [PubMed]
- Mayer, B.; Kylling, A.; Emde, C.; Hamann, U.; Buras, R. libRadtran User’s Guide; Technical Report; Technische Universität München: Munich, Germany, 2011. [Google Scholar]
- Forster, P.; Ramaswamy, V.; Artaxo, P.; Berntsen, T.; Betts, R.; Faheya, D.; Haywood, J.; Lean, J.; Lowe, D.; Myhre, G.; et al. Changes in Atmospheric Constituents and in Radiative Forcing, in: Climate Change 2007: The Physical Science Basis; Contribution of Working Group I to the Fourth Assessment Report of the Intergovernmental Panel on Climate Change; Cambridge University Press: Cambridge, UK, 2007. [Google Scholar]
- Dlugokencky, E.; Tans, P. NOAA Earth System Research Laboratory. 2019. Available online: www.esrl.noaa.gov/gmd/ccgg/trends/ (accessed on 29 October 2019).
- Febvre, G.; Gayet, J.F.; Minikin, A.; Schlager, H.; Shcherbakov, V.; Jourdan, O.; Busen, R.; Fiebig, M.; Kärcher, B.; Schumann, U. On optical and microphysical characteristics of contrails and cirrus. J. Geophys. Res. 2009, 114, D02204. [Google Scholar] [CrossRef]
- Zhongfeng, Z. Wind Shear, Turbulence and Tsunami Warnings; ICAO Meteorological Warnings Study Group (METWSG): Montreal, QC, Canada, 2010. [Google Scholar]













| Study | Age [s] | Contrail Width/Horizontal Standard Deviation [m] | [m] |
|---|---|---|---|
| Forster et al. [14] | 1000 | 960 | |
| 2000 | 1680 | ||
| 3500 | 2880 | ||
| 6500 | 4320 | ||
| 6000 | |||
| 6480 | |||
| present study | |||
© 2019 by the authors. Licensee MDPI, Basel, Switzerland. This article is an open access article distributed under the terms and conditions of the Creative Commons Attribution (CC BY) license (http://creativecommons.org/licenses/by/4.0/).
Share and Cite
Rosenow, J.; Fricke, H. Individual Condensation Trails in Aircraft Trajectory Optimization. Sustainability 2019, 11, 6082. https://doi.org/10.3390/su11216082
Rosenow J, Fricke H. Individual Condensation Trails in Aircraft Trajectory Optimization. Sustainability. 2019; 11(21):6082. https://doi.org/10.3390/su11216082
Chicago/Turabian StyleRosenow, Judith, and Hartmut Fricke. 2019. "Individual Condensation Trails in Aircraft Trajectory Optimization" Sustainability 11, no. 21: 6082. https://doi.org/10.3390/su11216082
APA StyleRosenow, J., & Fricke, H. (2019). Individual Condensation Trails in Aircraft Trajectory Optimization. Sustainability, 11(21), 6082. https://doi.org/10.3390/su11216082
