Selenium Distribution and Translocation in Rice (Oryza sativa L.) under Different Naturally Seleniferous Soils
Abstract
1. Introduction
2. Material and Methods
2.1. Experimental Site and Growth Conditions
2.2. Grain Yield and Yield Components
2.3. Total Se Analysis
2.4. Statistical Analysis
3. Results
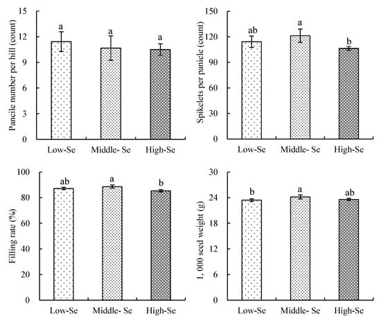
3.1. Grain Yield and Its Components
3.2. Se Concentration and Coefficient of Accumulation in Rice Plants
3.3. Relationship between Se Concentration in Soil and the Rice Plants
3.4. Se concentration in Different Fractions of Rice Grain
4. Discussion
5. Conclusions
Author Contributions
Funding
Conflicts of Interest
References
- Terry, N.; Zayed, A.M.; de Souza, M.P.; Tarun, A.S. Selenium in higher plants. Annu. Rev. Plant Physiol. 2000, 51, 401–432. [Google Scholar] [CrossRef]
- Zhu, Y.G.; Pilon-Smits, E.A.H.; Zhao, F.J.; Williams, P.N.; Meharg, A.A. Selenium in higher plants: Understanding mechanisms for biofortification and phytoremediation. Trends Plant Sci. 2009, 14, 436–442. [Google Scholar] [CrossRef] [PubMed]
- Sun, G.X.; Liu, X.; Williams, P.N.; Zhu, Y.G. Distribution and translocation of selenium from soil to grain and its speciation in paddy rice (Oryza sativa L.). Environ. Sci. Technol. 2010, 44, 6706–6711. [Google Scholar] [CrossRef] [PubMed]
- Li, H.F.; McGrath, S.P.; Zhao, F.J. Selenium uptake, translocation and speciation in wheat supplied with selenate or selenite. New Phytol. 2008, 178, 92–102. [Google Scholar] [CrossRef] [PubMed]
- Li, S.; Xiao, T.; Zheng, B. Medical geology of arsenic, selenium and thallium in China. Sci. Total Environ. 2013, 421–422, 31–40. [Google Scholar] [CrossRef] [PubMed]
- Combs, G.F., Jr. Selenium in global food systems. Br. J. Nutr. 2001, 85, 517–547. [Google Scholar] [CrossRef] [PubMed]
- Abdulah, R.; Miyazaki, K.; Nakazawa, M.; Koyama, H. Low contribution of rice and vegetables to the daily intake of selenium in Japan. Int. J. Food Sci. Nutr. 2005, 56, 463–471. [Google Scholar] [CrossRef]
- Chen, L.; Yang, F.; Xu, J.; Hu, Y.; Hu, Q.; Zhang, Y.; Pan, G. Determination of selenium concentration of rice in china and effect of fertilization of selenite and selenate on selenium content of rice. J. Agric. Food Chem. 2002, 50, 5128–5130. [Google Scholar] [CrossRef]
- Navarro-Alarcon, M.; Cabrera-Vique, C. Selenium in food and the human body: A review. Sci. Total Environ. 2008, 400, 115–141. [Google Scholar] [CrossRef]
- Liu, k.; Gu, Z. Selenium accumulation in different brown rice cultivars and its distribution in fractions. J. Agric. Food Chem. 2009, 57, 695–700. [Google Scholar] [CrossRef]
- Williams, P.N.; Lombi, E.; Sun, G.X.; Scheckel, K.; Zhu, Y.G.; Feng, X.B.; Zhu, J.M.; Carey, A.M.; Adomako, E.; Lawgali, Y.; et al. Selenium characterization in the global rice supply chain. Environ. Sci. Technol. 2009, 43, 6024–6030. [Google Scholar] [CrossRef] [PubMed]
- Hu, Q.; Chen, L.; Xu, J.; Zhang, Y.; Pan, G. Determination of selenium concentration in rice and the effect of foliar application of Se-enriched fertiliser or sodium selenite on the selenium content of rice. J. Sci. Food Agric. 2002, 82, 869–872. [Google Scholar] [CrossRef]
- Fang, Y.; Wang, L.; Xin, Z.; Zhao, L.; An, X.; Hu, Q. Effect of foliar application of zinc, selenium, and iron fertilizers on nutrients concentration and yield of rice grain in China. J. Agric. Food Chem. 2008, 56, 2079–2084. [Google Scholar] [CrossRef] [PubMed]
- Zhang, L.H.; Shi, W.M.; Wang, X.C. Difference in selenium accumulation in shoots of two rice cultivars. Pedosphere 2006, 16, 646–653. [Google Scholar] [CrossRef]
- Zhang, L.H.; Shi, W.M.; Wang, X.C. Difference in selenite absorption between high- and low-selenium rice cultivars and its mechanism. Plant Soil 2006, 282, 183–193. [Google Scholar] [CrossRef]
- Huang, Y.; Wang, Q.; Gao, J.; Lin, Z.; Bañuelos, G.S.; Yuan, L.; Yin, X. Daily dietary selenium intake in a high selenium area of Enshi, China. Nutrients 2013, 5, 700–710. [Google Scholar] [CrossRef] [PubMed]
- Xing, K.; Zhou, S.; Wu, X.; Zhu, Y.; Kong, J.; Shao, T.; Tao, X. Concentrations and characteristics of selenium in soil samples from Dashan Region, a selenium-enriched area in China. Soil Sci. Plant Nutr. 2015, 61, 889–897. [Google Scholar] [CrossRef]
- Lyons, G.; Stangoulis, J.; Graham, R. High-selenium wheat: Biofortification for better health. Nutr. Res. Rev. 2003, 16, 45–60. [Google Scholar] [CrossRef]
- Jiang, C.Q.; Shen, J.; Xu, J.N.; Shao, F.W.; Li, T.; Zu, C.L. Effects of Se-enriched soils on the plant growth, selenium uptake and transport in flue-cured tobacco. Acta Bot. Boreal.-Occident. Sin. 2014, 34, 2303–2308. [Google Scholar]
- Jiang, C.Q.; Zu, C.L.; Shen, J.; Shao, F.W.; Li, T. Effects of selenium on the growth and photosynthetic characteristics of flue-cured tobacco (Nicotiana tabacum L.). Acta Soc. Bot. Pol. 2015, 84, 71–77. [Google Scholar] [CrossRef]
- Kim, E.H.; Kim, Y.S.; Park, S.H.; Koo, Y.J.; Choi, Y.D.; Chung, Y.Y.; Lee, I.J.; Kim, J.K. Methyl jasmonate reduces grain yield by mediating stress signals to alter spikelet development in rice. Plant Physiol. 2009, 149, 1751–1760. [Google Scholar] [CrossRef] [PubMed]
- Lu, L.; Tian, S.; Liao, H.; Zhang, J.; Yang, X.; Labavitch, J.M.; Chen, W. Analysis of metal element distributions in rice (Oryza sativa L.) seeds and relocation during germination based on X-ray fluorescence imaging of Zn, Fe, K, Ca, and Mn. PLoS ONE 2013, 8, e57360. [Google Scholar] [CrossRef] [PubMed]
- Gao, J.; Liu, Y.; Huang, Y.; Lin, Z.Q.; Bañuelos, G.S.; Lam, M.H.W.; Yin, X. Daily selenium intake in a moderate selenium deficiency area of Suzhou, China. Food Chem. 2011, 126, 1088–1093. [Google Scholar] [CrossRef]
- Zhou, X.B.; Shi, W.M.; Zhang, L.H. Iron plaque outside roots affects selenite uptake by rice seedlings (Oryza sativa L.) grown in solution culture. Plant Soil 2007, 290, 17–28. [Google Scholar] [CrossRef]
- Fang, Y.; Zhang, Y.F.; Catron, B.; Chan, Q.L.; Hu, Q.H.; Caruso, J.A. Identification of selenium compounds using HPLC-ICPMS and nano-ESI-MS in selenium-enriched rice via foliar application. J. Anal. At. Spectrom. 2009, 24, 1657–1664. [Google Scholar] [CrossRef]
- Feng, Y.M.; Xing, Y.X.; Liu, H.Q.; Zhang, Y. Determination of trace selenium in biological samples by inductively coupled plasma-mass spectrometry with microwave digestion. Rock Miner. Anal. 2014, 33, 34–39. [Google Scholar]
- Liu, H.; Zhang, J.; Christie, P.; Zhang, F. Influence of iron plaque on uptake and accumulation of Cd by rice (Oryza sativa L.) seedlings grown in soil. Sci. Total Environ. 2008, 394, 361–368. [Google Scholar] [CrossRef]
- Kápolna, E.; Hillestrøm, P.R.; Laursen, K.H.; Husted, S.; Larsen, E.H. Effect of foliar application of selenium on its uptake and speciation in carrot. Food Chem. 2009, 115, 1357–1363. [Google Scholar] [CrossRef]
- Hasanuzzaman, M.; Hossain, M.A.; Fujita, M. Selenium in higher plants: Physiological role, antioxidant metabolism and abiotic stress tolerance. J. Plant Sci. 2010, 5, 354–375. [Google Scholar]
- Ślusarczyk, J.; Kuraś, M.; Malinowska, E.; Skalicka-Woóniakd, K.; Głowniakd, K. Ultrastructural changes in themycelium of Hericium erinaceum (Bull.; Fr.) Pers. under selenium-induced oxidative stress. J. Sci. Food Agric. 2014, 94, 2718–2725. [Google Scholar] [CrossRef]
- Jeng, T.L.; Tseng, T.H.; Wang, C.S.; Chen, C.L.; Sung, J.M. Yield and grain uniformity in contrasting rice genotypes suitable for different growth environments. Field Crop Res. 2006, 99, 59–66. [Google Scholar] [CrossRef]
- Hu, Y.; Huang, Y.; Huang, Y.; Liu, Y.; Liang, J. Effect of selenium on the uptake and translocation of manganese, iron, phosphorus and selenium in rice (Oryza sativa L.). Environ. Sci. 2013, 34, 4119–4125. [Google Scholar]
- Peng, W.F.; Lv, W.S.; Huang, S.; Zeng, Y.J.; Pan, X.H.; Shi, Q.H. Effects of soil Fertility on rice yield and nitrogen use efficiency in a red paddy soil. Sci. Agric. Sin. 2018, 51, 3614–3624. [Google Scholar]
- Wang, W.N.; Wei, J.L.; He, Y.Q.; Li, X.K.; Li, H. Effects of N, P, K fertilizer application on grain yield, quality, nutrient uptake and utilization of rice. Chin. J. Rice Sci. 2011, 25, 645–653. [Google Scholar]
- Si, L.; Xie, Y.; Ma, Q.; Wu, L. The Short-term effects of rice straw biochar, nitrogen and phosphorus fertilizer on rice yield and soil properties in a cold waterlogged paddy field. Sustainability 2018, 10, 537. [Google Scholar] [CrossRef]
- Zayed, A.; Lytle, C.M.; Terry, N. Accumulation and volatilization of different chemical species of selenium by plants. Planta 1998, 206, 284–292. [Google Scholar] [CrossRef]
- Cao, Z.H.; Wang, X.C.; Yao, D.H.; Zhang, X.L.; Wong, M.H. Selenium geochemistry of paddy soils in Yangtze River Delta. Environ. Int. 2001, 26, 335–339. [Google Scholar] [CrossRef]
- Carey, A.; Scheckel, K.G.; Lombi, E.; Newville, M.; Choi, Y.; Norton, G.J.; Price, A.H.; Meharg, A.A. Grain accumulation of selenium species in rice (Oryza sativa L.). Environ. Sci. Technol. 2012, 46, 5557–5564. [Google Scholar] [CrossRef] [PubMed]
- Kim, J.S.; Godber, J.S.; Prinaywiwatkul, W. Restructured beef roasts containing rice bran oil and fiber influences cholesterol oxidation and nutritional profile. J. Muscle Foods 2000, 11, 111–127. [Google Scholar] [CrossRef]
- Kim, M.K.; Yu, K.W.; Kang, D.H.; Koh, J.H.; Hong, B.S.; Suh, H.J. Anti-stress and anti-fatigue effects of fermented rice bran. Biosci. Biotechnol. Biochem. 2001, 65, 2294–2296. [Google Scholar] [CrossRef]






| Experiments | Treatments | pH 2.5:1 | Organic Matter (g kg−1) | Available N (mg kg−1) | Available P (mg kg−1) | Available K (mg kg−1) |
|---|---|---|---|---|---|---|
| Exp. 1 | Low-Se | 4.8 | 19.4 | 117.1 | 44.3 | 249.0 |
| Middle-Se | 4.9 | 22.6 | 120.4 | 81.2 | 285.5 | |
| High-Se | 4.7 | 33.3 | 153.9 | 51.1 | 301.7 | |
| Exp. 2 | Spraying water | 4.9 | 22.2 | 130.9 | 50.4 | 251.2 |
| Spraying Se |
| Treatment | Se Concentration (mg kg−1) | Coefficient of Accumulation | |||
|---|---|---|---|---|---|
| Root | Straw | Grain | Straw | Grain | |
| Low-Se | 1.16 c | 0.30 c | 0.16 c | 0.59 a | 0.32 a |
| Middle-Se | 1.68 b | 0.38 b | 0.21 b | 0.38 b | 0.21 b |
| High-Se | 2.72 a | 0.56 a | 0.33 a | 0.37 b | 0.22 b |
© 2019 by the authors. Licensee MDPI, Basel, Switzerland. This article is an open access article distributed under the terms and conditions of the Creative Commons Attribution (CC BY) license (http://creativecommons.org/licenses/by/4.0/).
Share and Cite
Shen, J.; Jiang, C.; Yan, Y.; Zu, C. Selenium Distribution and Translocation in Rice (Oryza sativa L.) under Different Naturally Seleniferous Soils. Sustainability 2019, 11, 520. https://doi.org/10.3390/su11020520
Shen J, Jiang C, Yan Y, Zu C. Selenium Distribution and Translocation in Rice (Oryza sativa L.) under Different Naturally Seleniferous Soils. Sustainability. 2019; 11(2):520. https://doi.org/10.3390/su11020520
Chicago/Turabian StyleShen, Jia, Chaoqiang Jiang, Yifeng Yan, and Chaolong Zu. 2019. "Selenium Distribution and Translocation in Rice (Oryza sativa L.) under Different Naturally Seleniferous Soils" Sustainability 11, no. 2: 520. https://doi.org/10.3390/su11020520
APA StyleShen, J., Jiang, C., Yan, Y., & Zu, C. (2019). Selenium Distribution and Translocation in Rice (Oryza sativa L.) under Different Naturally Seleniferous Soils. Sustainability, 11(2), 520. https://doi.org/10.3390/su11020520
