Partnership-Based Supply Chain Collaboration: Impact on Commitment, Innovation, and Firm Performance
Abstract
1. Introduction
2. Theoretical Background and Hypotheses
2.1. Social Capital and Resource Dependence Theories
2.2. Contract- and Investment-Oriented Partnership and Commitment
2.3. Commitment and Innovation, Operational, and Financial Performance
2.4. Innovation and Operational and Financial Performance
3. Research Methodology
3.1. Sampling and Data Collection
3.2. Measurement Items
3.3. Validation and Reliability
4. Data Analysis and Results
4.1. Hypothesis Test Results
4.2. Structure-Dependent Results
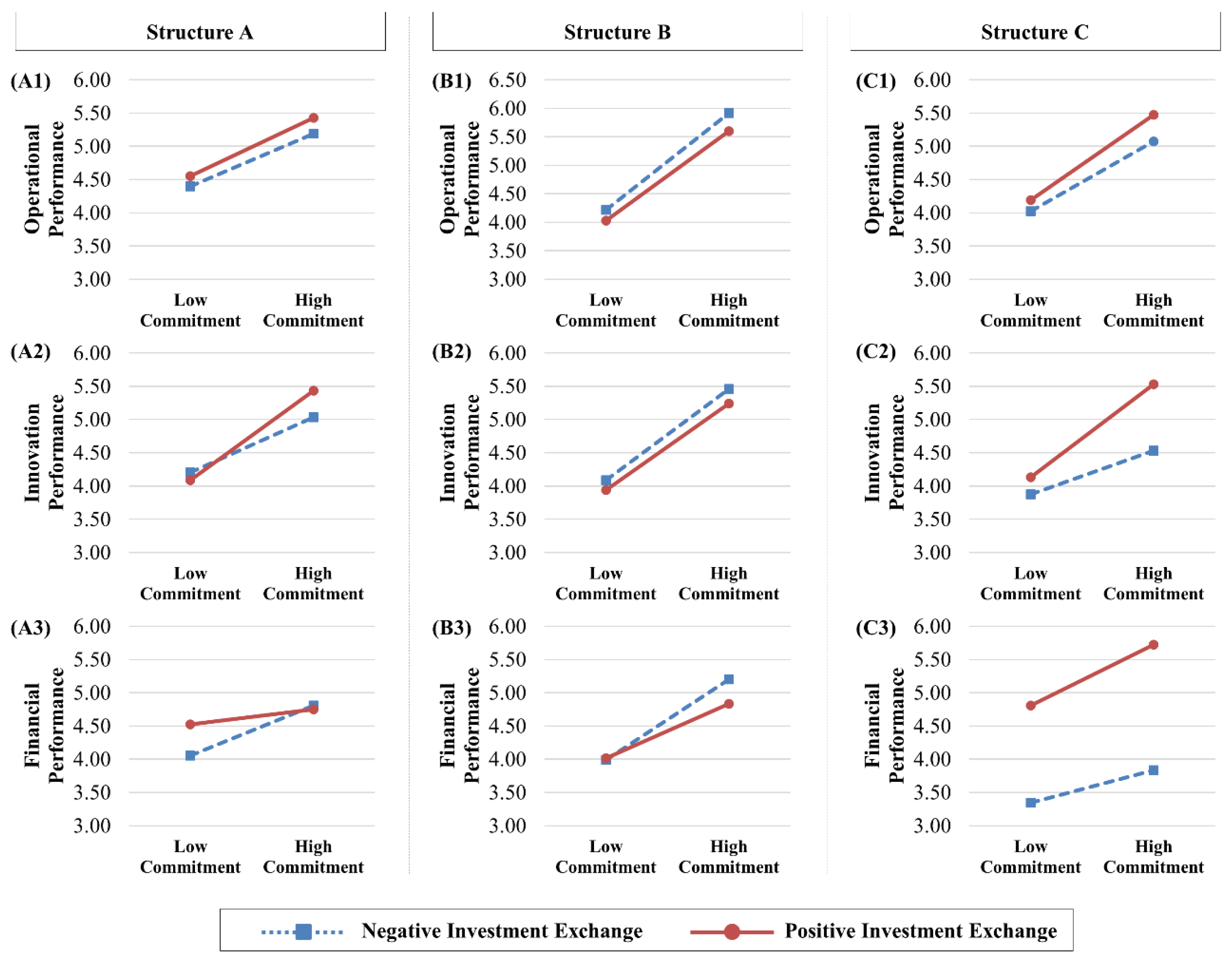
4.3. Post Hoc Analysis
5. Discussion
Author Contributions
Acknowledgments
Conflicts of Interest
References
- Swierczek, A. The impact of supply chain integration on the “snowball effect” in the transmission of disruptions: An empirical evaluation of the model. Int. J. Prod. Econ. 2014, 157, 89–104. [Google Scholar] [CrossRef]
- Wichmann, B.K.; Kaufmann, L. Social network analysis in supply chain management research. Int. J. Phys. Distrib. Logist. Manag. 2016, 46, 740–762. [Google Scholar] [CrossRef]
- Cao, M.; Zhang, Q. Supply chain collaboration: impact on collaborative advantage and firm performance. J. Oper. Manag. 2011, 29, 163–180. [Google Scholar] [CrossRef]
- Um, K.-H.; Kim, S.-M. The effects of supply chain collaboration on performance and transaction cost advantage: The moderation and nonlinear effects of governance mechanisms. Int. J. Prod. Econ. 2018, 1–15. [Google Scholar] [CrossRef]
- Barnes, J.; Liao, Y. The effect of individual, network, and collaborative competencies on the supply chain management system. Int. J. Prod. Econ. 2012, 140, 888–899. [Google Scholar] [CrossRef]
- Ghadimi, P.; Ghassemi Toosi, F.; Heavey, C. A multi-agent systems approach for sustainable supplier selection and order allocation in a partnership supply chain. Eur. J. Oper. Res. 2018, 269, 286–301. [Google Scholar] [CrossRef]
- Hariga, M.; As’ad, R.; Khan, Z. Manufacturing-remanufacturing policies for a centralized two stage supply chain under consignment stock partnership. Int. J. Prod. Econ. 2017, 183, 362–374. [Google Scholar] [CrossRef]
- Sheu, C.; Yen, H.J.R.; Chae, B. Determinants of supplier-retailer collaboration: Evidence from an international study. Int. J. Oper. Prod. Manag. 2006, 26, 24–49. [Google Scholar] [CrossRef]
- Zhang, Q.; Cao, M. Exploring antecedents of supply chain collaboration: Effects of culture and interorganizational system appropriation. Int. J. Prod. Econ. 2018, 195, 146–157. [Google Scholar] [CrossRef]
- Savic, M.; Djordjevic, P.; Milosevic, I.; Mihajlovic, I.; Zivkovic, Z. Assessment of the ISO 9001 functioning on an example of relations with suppliers development: empirical study for transitional economy conditions. Total Qual. Manag. Bus. Excell. 2017, 28, 1285–1306. [Google Scholar] [CrossRef]
- Peng, B.; Tu, Y.; Wei, G. Governance of electronic waste recycling based on social capital embeddedness theory. J. Clean. Prod. 2018, 187, 29–36. [Google Scholar] [CrossRef]
- Villena, V.H.; Revilla, E.; Choi, T.Y. The dark side of buyer-supplier relationships: a social capital perspective. J. Oper. Manag. 2011, 29, 561–576. [Google Scholar] [CrossRef]
- Gil-Saura, I.; Frasquet-Deltoro, M.; Cervera-Taulet, A. The value of B2B relationships. Ind. Manag. Data Syst. 2009, 109, 593–609. [Google Scholar] [CrossRef]
- Vanpoucke, E.; Vereecke, A. The predictive value of behavioural characteristics on the success of strategic alliances. Int. J. Prod. Res. 2010, 48, 6715–6738. [Google Scholar] [CrossRef]
- Boons, F.; Lüdeke-Freund, F. Business models for sustainable innovation: State-of-the-art and steps towards a research agenda. J. Clean. Prod. 2013, 45, 9–19. [Google Scholar] [CrossRef]
- Doganova, L.; Eyquem-Renault, M. What do business models do?. Innovation devices in technology entrepreneurship. Res. Policy 2009, 38, 1559–1570. [Google Scholar] [CrossRef]
- Lin, R.J.; Tan, K.H.; Geng, Y. Market demand, green product innovation, and firm performance: Evidence from Vietnam motorcycle industry. J. Clean. Prod. 2013, 40, 101–107. [Google Scholar] [CrossRef]
- Kushwaha, G.S.; Sharma, N.K. Green initiatives: A step towards sustainable development and firm’s performance in the automobile industry. J. Clean. Prod. 2016, 121, 116–129. [Google Scholar] [CrossRef]
- Son, B.G.; Kocabasoglu-Hillmer, C.; Roden, S. A dyadic perspective on retailer-supplier relationships through the lens of social capital. Int. J. Prod. Econ. 2016, 178, 120–131. [Google Scholar] [CrossRef]
- Nahapiet, J.; Ghoshal, S. Social Capital, Intellectual Capital, and the Organizational Advantage. Acad. Manag. Rev. 1998, 23, 242. [Google Scholar] [CrossRef]
- Krause, D.R.; Handfield, R.B.; Tyler, B.B. The relationships between supplier development, commitment, social capital accumulation and performance improvement. J. Oper. Manag. 2007, 25, 528–545. [Google Scholar] [CrossRef]
- Friday, D.; Ryan, S.; Sridharan, R.; Collins, D. Collaborative risk management: a systematic literature review. Int. J. Phys. Distrib. Logist. Manag. 2018. [Google Scholar] [CrossRef]
- Esfahbodi, A.; Zhang, Y.; Watson, G. Sustainable supply chain management in emerging economies: Trade-offs between environmental and cost performance. Int. J. Prod. Econ. 2016, 181, 350–366. [Google Scholar] [CrossRef]
- Hillman, A.J.; Withers, M.C.; Collins, B.J. Resource dependence theory: A review. J. Manag. 2009, 35, 1404–1427. [Google Scholar] [CrossRef]
- Dyer, J.H.; Nobeoka, K. Creating and managing a high-performance knowledge-sharing network: the Toyota case. Strateg. Manag. J. 2000, 21, 345–367. [Google Scholar] [CrossRef]
- Dyer, J.H.; Singh, H. The relational view: Cooperative strategy and sources of interorganizational competitive advantage. Acad. Manag. Rev. 1998, 23, 660–679. [Google Scholar] [CrossRef]
- Chavez, R.; Yu, W.; Jacobs, M.; Fynes, B.; Wiengarten, F.; Lecuna, A. Internal lean practices and performance: The role of technological turbulence. Int. J. Prod. Econ. 2015, 160, 157–171. [Google Scholar] [CrossRef]
- Pomponi, F.; Fratocchi, L.; Tafuri, S.R.; Rossi Tafuri, S. Trust development and horizontal collaboration in logistics: A theory based evolutionary framework. Supply Chain Manag. An Int. J. 2015, 20, 83–97. [Google Scholar] [CrossRef]
- Chen, F.W.; Fu, L.W.; Wang, K.; Tsai, S.B.; Su, C.H. The influence of entrepreneurship and social networks on economic growth-From a sustainable innovation perspective. Sustainability 2018, 10, 2510. [Google Scholar] [CrossRef]
- Ryall, M.D.; Sampson, R.C. Formal Contracts in the Presence of Relational Enforcement Mechanisms: Evidence from Technology Development Projects. Manage. Sci. 2009, 55, 906–925. [Google Scholar] [CrossRef]
- Zhou, K.Z.; Poppo, L. Exchange hazards, relational reliability, and contracts in China: The contingent role of legal enforceability. J. Int. Bus. Stud. 2010, 41, 861–881. [Google Scholar] [CrossRef]
- Woolthuis, R.K.; Hillebrand, B.; Nooteboom, B. Trust, contract and relationship development. Organ. Stud. 2005, 26, 813–840. [Google Scholar] [CrossRef]
- Ojala, M.; Hallikas, J. Investment decision-making in supplier networks: Management of risk. Int. J. Prod. Econ. 2006, 104, 201–213. [Google Scholar] [CrossRef]
- Bensaou, M. Portfolios of buyer-supplier relationships. MIT Sloan Manag. Rev. 1999, 40, 35–36. [Google Scholar]
- Zahra, S.A.; Das, S.R. Innovation strategy and financial performance in manufacturing companies: An empirical study. Prod. Oper. Manag. 2009, 2, 15–37. [Google Scholar] [CrossRef]
- Lettice, F.; Wyatt, C.; Evans, S. Buyer-supplier partnerships during product design and development in the global automotive sector: Who invests, in what and when? Int. J. Prod. Econ. 2010, 127, 309–319. [Google Scholar] [CrossRef]
- Cao, Z.; Lumineau, F. Revisiting the interplay between contractual and relational governance: A qualitative and meta-analytic investigation. J. Oper. Manag. 2014, 33–34, 15–42. [Google Scholar] [CrossRef]
- Roehrich, J.; Lewis, M. Procuring complex performance: Implications for exchange governance complexity. Int. J. Oper. Prod. Manag. 2014, 34, 221–241. [Google Scholar] [CrossRef]
- Morgan, R.M.; Hunt, S.D. The Commitment-Trust Theory of Relationship Marketing. J. Mark. 1994, 58, 20. [Google Scholar] [CrossRef]
- Yam, R.C.M.; Chan, C. Knowledge sharing, commitment and opportunism in new product development. Int. J. Oper. Prod. Manag. 2015, 35, 1056–1074. [Google Scholar] [CrossRef]
- Teece, D.J.; Pisano, G.; Shuen, A. Dynamic capabilities and strategic management. Strateg. Manag. J. 1997, 18, 509–533. [Google Scholar] [CrossRef]
- Hausman, A. Innovativeness among small businesses: Theory and propositions for future research. Ind. Mark. Manag. 2005, 34, 773–782. [Google Scholar] [CrossRef]
- Hurley, R.F.; Hult, G.T.M. Innovation, market orientation, and organizational learning: An integration and empirical examination. J. Mark. 1998, 62, 42–54. [Google Scholar] [CrossRef]
- Panayides, P.M.; Lun, Y.H.V. The impact of trust on innovativeness and supply chain performance. Int. J. Prod. Econ. 2009, 122, 35–46. [Google Scholar] [CrossRef]
- Kleinschmidt, E.J.; De Brentani, U.; Salomo, S. Performance of global new product development programs: A resource-based view. J. Prod. Innov. Manag. 2007, 24, 419–441. [Google Scholar] [CrossRef]
- Frambach, R.T.; Schillewaert, N. Organizational innovation adoption: A multi-level framework of determinants and opportunities for future research. J. Bus. Res. 2002, 55, 163–176. [Google Scholar] [CrossRef]
- Tsanos, C.S.; Zografos, K.G. The effects of behavioural supply chain relationship antecedents on integration and performance. Supply Chain Manag. Int. J. 2016, 21, 678–693. [Google Scholar] [CrossRef]
- Narayandas, D.; Rangan, K.V. Building and Sustaining Buyer-Seller Relationships in Mature Industrial Markets. J. Mark. 2004, 68, 63–77. [Google Scholar] [CrossRef]
- Wu, I.L.; Chuang, C.H.; Hsu, C.H. Information sharing and collaborative behaviors in enabling supply chain performance: A social exchange perspective. Int. J. Prod. Econ. 2014, 148, 122–132. [Google Scholar] [CrossRef]
- Luzzini, D.; Brandon-Jones, E.; Brandon-Jones, A.; Spina, G. From sustainability commitment to performance: The role of intra- and inter-firm collaborative capabilities in the upstream supply chain. Int. J. Prod. Econ. 2015, 165, 51–63. [Google Scholar] [CrossRef]
- Gimenez, C.; van der Vaart, T.; van Donk, D.P. Supply Chain Integration and Performance: The Moderating Effect of Supply Complexity. Int. J. Oper. Prod. Manag. 2012, 32, 583–610. [Google Scholar] [CrossRef]
- Yang, J.; Wang, J.; Wong, C.W.Y.; Lai, K.H. Relational stability and alliance performance in supply chain. Omega 2008, 36, 600–608. [Google Scholar] [CrossRef]
- Murmura, F.; Bravi, L.; Palazzi, F. Evaluating companies’ commitment to corporate social responsibility: Perceptions of the SA 8000 standard. J. Clean. Prod. 2017, 164, 1406–1418. [Google Scholar] [CrossRef]
- Sher, P.J.; Yang, P.Y. The effects of innovative capabilities and R&D clustering on firm performance: The evidence of Taiwan’s semiconductor industry. Technovation 2005, 25, 33–43. [Google Scholar] [CrossRef]
- Barney, J.B. Firm Resources and Sustained Competitive Advantage. J. Manag. 1991, 17, 99–120. [Google Scholar] [CrossRef]
- Calantone, R.; Dröge, C.; Vickery, S. Investigating the manufacturing–marketing interface in new product development: does context affect the strength of relationships? J. Oper. Manag. 2002, 20, 273–287. [Google Scholar] [CrossRef]
- Chen, Z.; Huang, S.; Liu, C.; Min, M.; Zhou, L. Fit between organizational culture and innovation strategy: Implications for innovation performance. Sustainability 2018, 10, 3378. [Google Scholar] [CrossRef]
- Damanpour, F. Organizational Innovation: A Meta-Analysis of Effects of Determinants and Moderators. Acad. Manag. J. 1991, 34, 555–590. [Google Scholar]
- Shao, B.B.M.; Lin, W.T. Assessing output performance of information technology service industries: Productivity, innovation and catch-up. Int. J. Prod. Econ. 2016, 172, 43–53. [Google Scholar] [CrossRef]
- Hult, G.T.M.; Ketchen, D.J. Does market orientation matter?: A test of the relationship between positional advantage and performance. Strateg. Manag. J. 2001, 22, 899–906. [Google Scholar] [CrossRef]
- Kwon, I.G.; Suh, T. Trust, commitment and relationships in supply chain management: A path analysis. Supply Chain Manag. Int. J. 2005, 10, 26–33. [Google Scholar] [CrossRef]
- Kumar, N.; Scheer, L.K.; Steenkamp, J.-B.E.M. The Effects of Perceived Interdependence on Dealer Attitudes. J. Mark. Res. 1995, 32, 348. [Google Scholar] [CrossRef]
- Kim, D.Y. Understanding supplier structural embeddedness: A social network perspective. J. Oper. Manag. 2014, 32, 219–231. [Google Scholar] [CrossRef]
- Tomlinson, P.R.; Fai, F.M. The nature of SME co-operation and innovation: A multi-scalar and multi-dimensional analysis. Int. J. Prod. Econ. 2013, 141, 316–326. [Google Scholar] [CrossRef]
- Hair, J.F.; Black, W.C.; Babin, B.J.; Anderson, R.E.; Tatham, R.L. Multivariate Data Analysis; Prentice-Hall: Upper Saddle River, NJ, USA, 2006. [Google Scholar]
- Brusset, X. Does supply chain visibility enhance agility? Int. J. Prod. Econ. 2016, 171, 46–59. [Google Scholar] [CrossRef]
- Bagozzi, R.P.; Yi, Y. On the Evaluation of Structural Equation Models. J. Acad. Mark. Sci. 1988, 16, 74–94. [Google Scholar] [CrossRef]
- Fornell, C.; Larcker, D.F. Evaluating structural equation models with unobservable variables and measurement error. J. Mark. Res. 1981, 18, 39–50. [Google Scholar] [CrossRef]
- Yan, T.; Nair, A. Structuring Supplier Involvement in New Product Development: A China–U. S. Study. Decis. Sci. 2016, 47, 589–627. [Google Scholar] [CrossRef]
- Oh, S.; Yang, H.; Kim, S.W. Managerial capabilities of information technology and firm performance: Role of e-procurement system type. Int. J. Prod. Res. 2014, 52, 4488–4506. [Google Scholar] [CrossRef]
- Benton, W.C.; Maloni, M. The influence of power driven buyer/seller relationships on supply chain satisfaction. J. Oper. Manag. 2005, 23, 1–22. [Google Scholar] [CrossRef]
- Gundlach, G.T.; Achrol, R.S.; Mentzer, J.T. The Structure of Commitment in Exchange. J. Mark. 1995, 59, 78–92. [Google Scholar] [CrossRef]
- Srinivasan, R.; Brush, T.H. Supplier Performance in Vertical Alliances: The Effects of Self-Enforcing Agreements and Enforceable Contracts. Organ. Sci. 2006, 17, 436–452. [Google Scholar] [CrossRef]
- Kaynak, H.; Hartley, J.L. Using replication research for just-in-time purchasing construct development. J. Oper. Manag. 2006, 24, 868–892. [Google Scholar] [CrossRef]



| Category | Distribution | Sample Size | Percentage (%) |
|---|---|---|---|
| Partnership structure type | A: Parallel-aligned firm | 153 | 0.36 |
| B: Buyer firm | 188 | 0.44 | |
| C: Supplier firm | 82 | 0.19 | |
| Industry | Manufacturing | 167 | 0.44 |
| Construction | 52 | 0.14 | |
| Professional, scientific, and technical services | 30 | 0.08 | |
| Wholesale trade | 22 | 0.06 | |
| Finance and insurance | 18 | 0.05 | |
| Educational services | 18 | 0.05 | |
| Healthcare and social assistance | 16 | 0.04 | |
| Information | 14 | 0.04 | |
| Retail trade | 12 | 0.03 | |
| Transportation and warehousing | 12 | 0.03 | |
| Management of companies and enterprises | 12 | 0.03 | |
| Public administration | 9 | 0.02 | |
| Others | 41 | 0.10 | |
| Working experience years | Less than 10 years | 155 | 0.37 |
| From 10 to 15 years | 141 | 0.33 | |
| From 15 to 20 years | 68 | 0.16 | |
| From 20 to 30 years | 51 | 0.12 | |
| More than 30 years | 8 | 0.02 | |
| Partnership management years | Less than 5 years | 124 | 0.29 |
| From 5 to 10 years | 185 | 0.44 | |
| From 10 to 15 years | 80 | 0.19 | |
| From 15 to 20 years | 23 | 0.05 | |
| More than 20 years | 11 | 0.03 |
| Latent Variables | Measurement Variables | Loadings | CR | AVE | |
|---|---|---|---|---|---|
| Investment-oriented partnership | IPART1 | This partner firm makes significant investments in resources dedicated to their relationship with us. | 0.746 | 0.847 | 0.525 |
| IPART2 | We make significant investments in resources dedicated to our relationship with this partner firm. | 0.777 | - | - | |
| IPART3 | Training our people involves substantial commitments of time and money for this partner firm. | 0.730 | - | - | |
| IPART4 | This partner firm invests substantial commitments of time and money to train and operate workshops for our people | 0.698 | - | - | |
| IPART5 | We make significant investments in resources dedicated to our relationship with this partner firm. | 0.668 | - | - | |
| Contract-oriented partnership | CPART1 | We have a specific, well-defined agreement with this partner firm | 0.815 | 0.908 | 0.664 |
| CPART2 | We have customized agreements that detail the obligations of both parties | 0.853 | - | - | |
| CPART3 | We have detailed contractual agreements specifically designed with this partner firm | 0.814 | - | - | |
| CPART4 | Most aspects of our relationship are specified in the contract | 0.835 | - | - | |
| CPART5 | Our contract precisely defines what will happen in case of unexpected events | 0.753 | - | - | |
| Commitment | COMM1 | We are willing to put more effort and investment in building our business with the partner. | 0.699 | 0.840 | 0.638 |
| COMM2 | We want to remain a member of the partner’s network because we genuinely enjoy our relationship with it. | 0.871 | - | - | |
| COMM3 | We expect our relationship with the partner to continue for a long time. | 0.816 | - | - | |
| Innovation performance | IPERF1 | Number of new services (contents, items) introduced | 0.786 | 0.915 | 0.682 |
| IPERF2 | Number of changes/improvements to existing services (contents, items) | 0.798 | - | - | |
| IPERF3 | Number of new equipment/technologies introduced in the service (contents, items) process | 0.835 | - | - | |
| IPERF4 | New input ideas or materials introduced in the service (contents, items) process | 0.838 | - | - | |
| IPERF5 | Number of organizational changes/ improvements made in the service (contents, items) processes | 0.869 | - | - | |
| Operational performance | OPERF1 | Conformance to specification | 0.782 | 0.928 | 0.649 |
| OPERF2 | Service quality performance | 0.833 | - | - | |
| OPERF3 | On-time delivery | 0.819 | - | - | |
| OPERF4 | Speed of delivery | 0.744 | - | - | |
| OPERF5 | Volume or capacity flexibility | 0.848 | - | - | |
| OPERF6 | Degree of service, product, contents variety | 0.780 | - | - | |
| OPERF7 | Overall operations cost | 0.827 | - | - | |
| Financial performance | FPERF1 | Growth in sales | 0.881 | 0.957 | 0.789 |
| FPERF2 | Growth in return on sales | 0.905 | - | - | |
| FPERF3 | Growth in profit | 0.912 | - | - | |
| FPERF4 | Growth in market share | 0.839 | - | - | |
| FPERF5 | Return on sales | 0.918 | - | - | |
| FPERF6 | Return on investment | 0.873 | - | - | |
| Constructs | IPART | CPART | COMM | IPERF | OPERF | FPERF |
|---|---|---|---|---|---|---|
| Innovation-oriented partnership (IPART) | 0.725 * | |||||
| Contract-oriented partnership (CPART) | 0.500 | 0.815 * | ||||
| Partnership commitment (COMM) | 0.521 | 0.530 | 0.799 * | |||
| Innovation performance (IPERF) | 0.482 | 0.569 | 0.621 | 0.826 * | ||
| Operational performance (OPERF) | 0.524 | 0.582 | 0.714 | 0.849 | 0.805 * | |
| Financial performance (FPERF) | 0.317 | 0.384 | 0.412 | 0.736 | 0.662 | 0.888 * |
| Hypotheses | Structure A | Structure B | Structure C | |||
|---|---|---|---|---|---|---|
| H1a | Investment-Oriented Partnership | → | Partnership Commitment | 0.379 † | 0.358 † | 0.250 ‡ |
| H1b | Contract-Oriented Partnership | → | Partnership Commitment | 0.342 † | 0.407 † | 0.274 † |
| H2a | Partnership Commitment | → | Operational Performance | 0.206 † | 0.463 † | 0.306 † |
| H2b | Partnership Commitment | → | Innovation Performance | 0.436 † | 0.834 † | 0.617 † |
| H2c | Partnership Commitment | → | Financial Performance | 0.057 ‡ | −0.023 ‡ | −0.488 † |
| H3a | Innovation Performance | → | Operational Performance | 0.670 † | 0.522 † | 0.751 † |
| H3b | Innovation Performance | → | Financial Performance | 0.983 † | 1.006 † | 1.186 † |
| Dependent Variables | Innovation Performance | Operational Performance | Financial Performance | |||||||||
|---|---|---|---|---|---|---|---|---|---|---|---|---|
| Model 1 | Model 2 | Model 3 | Model 4 | Model 1 | Model 2 | Model 3 | Model 4 | Model 1 | Model 2 | Model 3 | Model 4 | |
| Control variables | - | - | - | - | - | - | - | - | - | - | - | - |
| Partnership structure | −0.085 * | −0.066 | −0.059 | −0.047 | −0.048 | −0.027 | −0.021 | −0.013 | −0.085 * | −0.072 | −0.066 | −0.055 |
| Partnership year | 0.094 * | 0.048 | 0.036 | 0.037 | 0.080 | 0.027 | 0.017 | 0.018 | −0.057 | −0.089 * | −0.099 ** | −0.098 ** |
| Recontract likelihood | 0.122 ** | 0.023 | 0.025 | 0.016 | 0.225 *** | 0.112 *** | 0.113 | 0.107 *** | 0.081 * | 0.011 | 0.012 | 0.004 |
| Firm size | −0.142 *** | −0.131 *** | −0.120 *** | −0.116 *** | −0.107 ** | −0.095 ** | −0.085 | −0.082 ** | −0.154 *** | −0.147 *** | −0.138 *** | −0.135 *** |
| Main effect | - | - | - | - | - | - | - | - | - | - | - | - |
| Commitment (COMM) | - | 0.487 *** | 0.389 *** | 0.067 | - | 0.561 *** | 0.478 *** | 0.262 *** | - | 0.348 *** | 0.275 *** | −0.026 |
| Moderator | - | - | - | - | - | - | - | - | - | - | - | - |
| Investment-oriented partnership (IPART) | - | - | 0.224 *** | −0.248 * | - | - | 0.189 *** | −0.126 | - | - | 0.168 *** | −0.272 * |
| Interaction terms | - | - | - | - | - | - | - | - | - | - | - | - |
| COMM × IPART | - | - | - | 0.697 *** | - | - | - | 0.466 ** | - | - | - | 0.650 *** |
| R2 | 0.060 | 0.284 | 0.323 | 0.344 | 0.082 | 0.378 | 0.406 | 0.415 | 0.040 | 0.154 | 0.176 | 0.194 |
| Change in R2 | - | 0.223 | 0.040 | 0.021 | - | 0.296 | 0.028 | 0.009 | - | 0.114 | 0.022 | 0.018 |
| Change in F-value | 6.729 *** | 33.008 *** | 33.140 *** | 31.087 *** | 9.326 *** | 50.616 *** | 47.424 *** | 42.124 *** | 4.348 *** | 15.182 *** | 14.859 *** | 14.305 *** |
| Dependent Variables | Innovation Performance | Operational Performance | Financial Performance | |||
|---|---|---|---|---|---|---|
| INVX (−) | INVX (+) | INVX (−) | INVX (+) | INVX (−) | INVX (+) | |
| Control variables | - | - | - | - | - | - |
| Partnership structure | −0.009 | 0.000 | 0.035 | 0.056 | −0.140 | 0.088 |
| Partnership year | 0.043 | −0.031 | 0.012 | 0.076 | −0.146 | −0.007 |
| Recontract likelihood | 0.077 | −0.054 | 0.186 ** | −0.003 | 0.113 | 0.044 |
| Firm size | −0.116 | −0.090 | −0.124 | −0.286 *** | −0.195 * | −0.182 |
| Main effect | - | - | - | - | - | - |
| Commitment (COMM) | 0.160 | −0.073 | 0.273 | 0.068 | −0.019 | −0.375 |
| Moderator | - | - | - | - | - | - |
| Investment-oriented partnership (IPART) | −0.313 | −0.252 | −0.252 | −0.156 | −0.193 | −0.375 |
| Interaction terms | - | - | - | - | - | - |
| IPART × COMM | 0.596 | 0.988 ** | 0.512 | 0.715 * | 0.605 | 0.919 |
© 2019 by the authors. Licensee MDPI, Basel, Switzerland. This article is an open access article distributed under the terms and conditions of the Creative Commons Attribution (CC BY) license (http://creativecommons.org/licenses/by/4.0/).
Share and Cite
Shin, N.; Park, S.H.; Park, S. Partnership-Based Supply Chain Collaboration: Impact on Commitment, Innovation, and Firm Performance. Sustainability 2019, 11, 449. https://doi.org/10.3390/su11020449
Shin N, Park SH, Park S. Partnership-Based Supply Chain Collaboration: Impact on Commitment, Innovation, and Firm Performance. Sustainability. 2019; 11(2):449. https://doi.org/10.3390/su11020449
Chicago/Turabian StyleShin, Nina, Sun Hyun Park, and Sangwook Park. 2019. "Partnership-Based Supply Chain Collaboration: Impact on Commitment, Innovation, and Firm Performance" Sustainability 11, no. 2: 449. https://doi.org/10.3390/su11020449
APA StyleShin, N., Park, S. H., & Park, S. (2019). Partnership-Based Supply Chain Collaboration: Impact on Commitment, Innovation, and Firm Performance. Sustainability, 11(2), 449. https://doi.org/10.3390/su11020449

