Does Whistleblowing Work for Air Pollution Control in China? A Study Based on Three-party Evolutionary Game Model under Incomplete Information
Abstract
1. Introduction
2. Methods
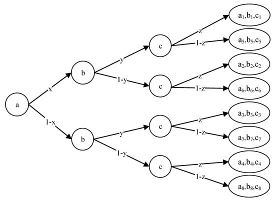
2.1. Game Agent Analysis and Assumptions
2.2. The Payoff Function
3. Equilibrium Analysis
3.1. The Expected Payoff and Replicator Dynamics Equation of the Three Game Agents
3.2. Stability Analysis of the Evolutionary Game
4. Simulations and Discussions
5. Conclusions
Author Contributions
Funding
Conflicts of Interest
References
- Yang, W.X.; Li, L.G. Energy Efficiency, Ownership Structure, and Sustainable Development: Evidence from China. Sustainability 2017, 9, 912. [Google Scholar] [CrossRef]
- Yang, W.; Li, L. Analysis of Total Factor Efficiency of Water Resource and Energy in China: A Study Based on DEA-SBM Model. Sustainability 2017, 9, 1316. [Google Scholar] [CrossRef]
- Zhai, B.; Chen, J.; Yin, W.; Huang, Z. Relevance Analysis on the Variety Characteristics of PM2.5 Concentrations in Beijing, China. Sustainability 2018, 10, 3228. [Google Scholar] [CrossRef]
- Li, L.G.; Yang, W.X. Total Factor Efficiency Study on China’s Industrial Coal Input and Wastewater Control with Dual Target Variables. Sustainability 2018, 10, 2121. [Google Scholar] [CrossRef]
- Huang, W.; Wang, H.; Wei, Y. Endogenous or Exogenous? Examining Trans-Boundary Air Pollution by Using the Air Quality Index (AQI): A Case Study of 30 Provinces and Autonomous Regions in China. Sustainability 2018, 10, 4220. [Google Scholar] [CrossRef]
- Liu, R.; Liu, X.; Pan, B.; Zhu, H.; Yuan, Z.; Lu, Y. Willingness to Pay for Improved Air Quality and Influencing Factors among Manufacturing Workers in Nanchang, China. Sustainability 2018, 10, 1613. [Google Scholar] [CrossRef]
- Wang, F.; Wang, K. Assessing the Effect of Eco-City Practices on Urban Sustainability Using an Extended Ecological Footprint Model: A Case Study in Xi’an, China. Sustainability 2017, 9, 1591. [Google Scholar] [CrossRef]
- Yang, W.; Li, L. Efficiency evaluation of industrial waste gas control in China: A study based on data envelopment analysis (DEA) model. J. Clean. Prod. 2018, 179, 1–11. [Google Scholar] [CrossRef]
- Standing Committee of the Twelfth National people’s Congress of the people’s Republic of China. The Environmental Protection Law of the People’s Republic of China; The Law Press of China: Beijing, China, 2014. [Google Scholar]
- Ministry of Environmental Protection of the People’s Republic of China. The Ministry of Environmental Protection Will Open the “010-12369” Environmental Whistleblowing Hotline on the World Environment Day (5 June). Available online: http://www.mee.gov.cn/gkml/sthjbgw/qt/200910/t20091023_179602.htm (accessed on 17 November 2018).
- Ministry of Environmental Protection of the People’s Republic of China. The “Green Knight” Environmental Snapshot APP for Smartphone Is Officially Released. Available online: http://www.mee.gov.cn/xxgk/hjyw/201406/t20140623_277270.shtml (accessed on 17 November 2018).
- Ministry of Environmental Protection of the People’s Republic of China. The “12369 Environment Whistleblowing Platform” on WeChat Has Been Working Well Since Its Opening in 2015. Available online: http://www.mee.gov.cn/gkml/sthjbgw/qt/201603/t20160322_334063.htm (accessed on 17 November 2018).
- Ministry of Environmental Protection of the People’s Republic of China. Report on the “12369” Environment Whistleblowing in 2016. Available online: http://www.mee.gov.cn/gkml/hbb/bgth/201705/t20170512_414013.htm (accessed on 17 November 2018).
- China Environment News. Strictly Supervising and Promoting the Coordinated Development of China’s Environment and Economy. Available online: http://www.cenews.com.cn/opinion/hjsp/201710/t20171013_854057.html (accessed on 17 November 2018).
- Environmental Emergency and Accident Investigation Center of the Ministry of Environmental Protection. 12369: Promoting Environmental Information Disclosure and Public Participation. World Environ. 2017, 4, 76–77. [Google Scholar]
- Ministry of Environmental Protection of the People’s Republic of China. Report on the “12369” Environment Whistleblowing in 2017. Available online: http://www.mee.gov.cn/gkml/sthjbgw/qt/201801/t20180123_430188.htm (accessed on 17 November 2018).
- Wei, J.; Lu, S. Investigation and penalty on major industrial accidents in China: The influence of environmental pressures. Saf. Sci. 2015, 76, 32–41. [Google Scholar] [CrossRef]
- Zhang, B.; Chen, X.; Guo, H. Does central supervision enhance local environmental enforcement? Quasi-experimental evidence from China. J. Public Econ. 2018, 164, 70–90. [Google Scholar] [CrossRef]
- Chen, H.; Hao, Y.; Li, J.; Song, X. The impact of environmental regulation, shadow economy, and corruption on environmental quality: Theory and empirical evidence from China. J. Clean. Prod. 2018, 195, 200–214. [Google Scholar] [CrossRef]
- Xinhua Net. 300,000 Yuan! A Domestic Reward Record Has Been Created for Environmental Whistleblowing in Jingjiang, Jiangsu Province. Available online: http://www.xinhuanet.com//legal/2017-11/18/c_1121974431.htm (accessed on 17 November 2018).
- Zhang, Y. Rewarding Pollution Whistleblowing Highlights Environmental Protection. Environ. Prot. Circ. Econ. 2017, 37, 1. [Google Scholar]
- Huang, G. A Number of Major Environmental Protection Cases were Uncovered by Reward for Whistleblowing. Pestic. Mark. News 2018, 11, 16–17. [Google Scholar]
- Du, T. “Environmental Guardian” Was Arrested Twice—Suspected of Retaliation for Whistleblowing. Available online: http://www.mzyfz.com/index.php/cms/item-view-id-1199432 (accessed on 17 November 2018).
- The Paper News. The Polluted Enterprises Retaliated the Resident after His Whistleblowing to the Central Environmental Protection Inspectorate. Available online: https://www.thepaper.cn/newsDetail_forward_1512811 (accessed on 17 November 2018).
- Jin, J.; Zhuang, J.; Zhao, Q. Supervision after Certification: An Evolutionary Game Analysis for Chinese Environmental Labeled Enterprises. Sustainability 2018, 10, 1494. [Google Scholar] [CrossRef]
- Zhao, X.; Zhang, Y. The System Dynamics (SD) Analysis of the Government and Power Producers’ Evolutionary Game Strategies Based on Carbon Trading (CT) Mechanism: A Case of China. Sustainability 2018, 10, 1150. [Google Scholar] [CrossRef]
- Gao, L.; Zhao, Z.-Y. System Dynamics Analysis of Evolutionary Game Strategies between the Government and Investors Based on New Energy Power Construction Public-Private-Partnership (PPP) Project. Sustainability 2018, 10, 2533. [Google Scholar] [CrossRef]
- Liu, L.; Feng, C.; Zhang, H.; Zhang, X. Game Analysis and Simulation of the River Basin Sustainable Development Strategy Integrating Water Emission Trading. Sustainability 2015, 7, 4952–4972. [Google Scholar] [CrossRef]
- Zhao, R.; Zhou, X.; Han, J.; Liu, C. For the sustainable performance of the carbon reduction labeling policies under an evolutionary game simulation. Technol. Forecast. Soc. Chang. 2016, 112, 262–274. [Google Scholar] [CrossRef]
- Wu, B.; Liu, P.; Xu, X. An evolutionary analysis of low-carbon strategies based on the government–enterprise game in the complex network context. J. Clean. Prod. 2017, 141, 168–179. [Google Scholar] [CrossRef]
- Li, Q.; Bao, H.; Peng, Y.; Wang, H.; Zhang, X. The Collective Strategies of Major Stakeholders in Land Expropriation: A Tripartite Game Analysis of Central Government, Local Governments, and Land-Lost Farmers. Sustainability 2017, 9, 648. [Google Scholar] [CrossRef]
- Chen, S. An Evolutionary Game Study of an Ecological Industry Chain Based on Multi-Agent Simulation: A Case Study of the Poyang Lake Eco-Economic Zone. Sustainability 2017, 9, 1165. [Google Scholar] [CrossRef]
- Zhang, M.; Li, H. New evolutionary game model of the regional governance of haze pollution in China. Appl. Math. Model. 2018, 63, 577–590. [Google Scholar] [CrossRef]
- Standing Committee of the Twelfth National people’s Congress of the people’s Republic of China. Law of the People’s Republic of China on Air Pollution Prevention and Control (Latest Revision); The Law Press of China: Beijing, China, 2018. [Google Scholar]
- State Council of the People’s Republic of China. Notice of the State Council on Printing and Dispatching the Air Pollution Prevention and Control Action Plan. Available online: http://www.gov.cn/zhengce/content/2013-09/13/content_4561.htm (accessed on 17 November 2018).
- Ministry of Ecology and Environment of the People’s Republic of China. The Responsibility of the Ministry of Ecology and Environment of the People’s Republic of China. Available online: http://www.mee.gov.cn/zjhb/zyzz/ (accessed on 17 November2018).
- Shen, X.; Wang, L.; Wu, C.; Lv, T.; Lu, Z.; Luo, W.; Li, G. Local interests or centralized targets? How China’s local government implements the farmland policy of Requisition–Compensation Balance. Land Use Policy 2017, 67, 716–724. [Google Scholar] [CrossRef]
- Yang, W.; Li, L. Efficiency Evaluation and Policy Analysis of Industrial Wastewater Control in China. Energies 2017, 10, 1201. [Google Scholar] [CrossRef]
- Wang, D.; Chen, C.; Richards, D. A prioritization-based analysis of local open government data portals: A case study of Chinese province-level governments. Gov. Inf. Q. 2018, 35, 644–656. [Google Scholar] [CrossRef]
- Cao, R.; Zhang, A.; Wen, L. Trans-regional compensation mechanism under imbalanced land development: From the local government economic welfare perspective. Habitat Int. 2018, 77, 56–63. [Google Scholar] [CrossRef]
- Zhang, L.; Wu, B. Farmer innovation system and government intervention: An empirical study of straw utilisation technology development and diffusion in China. J. Clean. Prod. 2018, 188, 698–707. [Google Scholar] [CrossRef]
- Zhou, Y.; Zhu, S.; He, C. How do environmental regulations affect industrial dynamics? Evidence from China’s pollution-intensive industries. Habitat Int. 2017, 60, 10–18. [Google Scholar] [CrossRef]
- Cull, R.; Xu, L.C.; Yang, X.; Zhou, L.-A.; Zhu, T. Market facilitation by local government and firm efficiency: Evidence from China. J. Corp. Financ. 2017, 42, 460–480. [Google Scholar] [CrossRef]
- Wu, J.; Xu, M.; Zhang, P. The impacts of governmental performance assessment policy and citizen participation on improving environmental performance across Chinese provinces. J. Clean. Prod. 2018, 184, 227–238. [Google Scholar] [CrossRef]
- Geall, S.; Shen, W. Gongbuzeren Solar energy for poverty alleviation in China: State ambitions, bureaucratic interests, and local realities. Energy Res. Soc. Sci. 2018, 41, 238–248. [Google Scholar] [CrossRef]
- Yang, Y.; Yu, G. The analysis of social resource mobilization on new media: A case study of Chinese environmental protection documentary Under the Dome. Telematics Inform. 2018. [Google Scholar] [CrossRef]
- Shen, L.; Wang, Y. Supervision mechanism for pollution behavior of Chinese enterprises based on haze governance. J. Clean. Prod. 2018, 197, 571–582. [Google Scholar] [CrossRef]
- Guttman, D.; Young, O.; Jing, Y.; Bramble, B.; Bu, M.; Chen, C.; Furst, K.; Hu, T.; Li, Y.; Logan, K.; et al. Environmental governance in China: Interactions between the state and “nonstate actors”. J. Environ. Manag. 2018, 220, 126–135. [Google Scholar] [CrossRef] [PubMed]
- Deng, J. The National Supervision Commission: A New Anti-corruption Model in China. Int. J. Law Crime Justice 2018, 52, 58–73. [Google Scholar] [CrossRef]
- Liu, L.; Wu, T.; Li, S.; de Jong, M.; Sun, Y. The drivers of local environmental policy in China: An analysis of Shenzhen’s environmental performance management system, 2007–2015. J. Clean. Prod. 2017, 165, 656–666. [Google Scholar] [CrossRef]
- Zhang, L.; An, Y. The government capacity on industrial pollution management in Shanxi province: A response impulse analysis. J. Environ. Manag. 2018, 223, 1037–1046. [Google Scholar] [CrossRef]
- Jia, S.; Liu, X.; Yan, G. Effect of APCF policy on the haze pollution in China: A system dynamics approach. Energy Policy 2019, 125, 33–44. [Google Scholar] [CrossRef]
- Wang, L. Research on Environmental Right of Reporting and Its Protection in China. Master’s Thesis, Soochow University, Suzhou, China, 2017. [Google Scholar]
- Zhang, H.; Xiong, L.; Qiu, Y.; Zhou, D. How Have Political Incentives for Local Officials Reduced the Environmental Pollution of Resource-depleted Cities? Energy Procedia 2017, 143, 873–879. [Google Scholar] [CrossRef]
- Yang, J.; Zhang, B. Air pollution and healthcare expenditure: Implication for the benefit of air pollution control in China. Environ. Int. 2018, 120, 443–455. [Google Scholar] [CrossRef]
- Xia, Q.; Jin, M.; Wu, H.; Yang, C. A DEA-based decision framework to determine the subsidy rate of emission reduction for local government. J. Clean. Prod. 2018, 202, 846–852. [Google Scholar] [CrossRef]
- Zhao, X.-G.; Ren, L.Z.; Zhang, Y.Z.; Wan, G. Evolutionary game analysis on the behavior strategies of power producers in renewable portfolio standard. Energy 2018, 162, 505–516. [Google Scholar] [CrossRef]
- Chen, Y.; Ding, S.; Zheng, H.; Zhang, Y.; Yang, S. Exploring diffusion strategies for mHealth promotion using evolutionary game model. Appl. Math. Comput. 2018, 336, 148–161. [Google Scholar] [CrossRef]
- Vigliassi, M.P.; Massignan, J.A.D.; Delbem, A.C.B.; London, J.B.A. Multi-objective evolutionary algorithm in tables for placement of SCADA and PMU considering the concept of Pareto Frontier. Int. J. Electr. Power Energy Syst. 2019, 106, 373–382. [Google Scholar] [CrossRef]
- Rollason, E.; Bracken, L.J.; Hardy, R.J.; Large, A.R.G. Evaluating the success of public participation in integrated catchment management. J. Environ. Manag. 2018, 228, 267–278. [Google Scholar] [CrossRef]
- Brombal, D.; Moriggi, A.; Marcomini, A. Evaluating public participation in Chinese EIA. An integrated Public Participation Index and its application to the case of the New Beijing Airport. Environ. Impact Assess. Rev. 2017, 62, 49–60. [Google Scholar] [CrossRef]
- Pu, Z.; Fu, J. Economic growth, environmental sustainability and China mayors’ promotion. J. Clean. Prod. 2018, 172, 454–465. [Google Scholar] [CrossRef]
- Taylor, C.M.; Gallagher, E.A.; Pollard, S.J.T.; Rocks, S.A.; Smith, H.M.; Leinster, P.; Angus, A.J. Environmental regulation in transition: Policy officials’ views of regulatory instruments and their mapping to environmental risks. Sci. Total Environ. 2019, 646, 811–820. [Google Scholar] [CrossRef]
- Tian, X.-L.; Guo, Q.-G.; Han, C.; Ahmad, N. Different extent of environmental information disclosure across chinese cities: Contributing factors and correlation with local pollution. Glob. Environ. Chang. 2016, 39, 244–257. [Google Scholar] [CrossRef]
- Kasim, M.T. Evaluating the effectiveness of an environmental disclosure policy: An application to New South Wales. Resour. Energy Econ. 2017, 49, 113–131. [Google Scholar] [CrossRef]











| Parameter | Description |
|---|---|
| R1 | The normal income of the central environmental protection department (wage income from government finance, which is the same under strict regulation and loose regulation) |
| C1 | The regulation cost of the central environmental protection department under strict regulation |
| W | The social welfare improvements achieved by the central environmental protection department’s strict regulation |
| L1 | The impact of strict regulations on local economic growth (losses including decline in GDP growth) |
| C11 | The regulation cost of the central environmental protection department under loose regulation (C1 > C11) |
| R2 | The reputation and public opinion gain of local government officials if they put the emphasis on environmental issues |
| C2 | Cost of local government officials if they work on environmental issues (including economic cost and time cost of pollution control) |
| G | The short-term gain of local government officials if they neglect environmental issues (such as short-term growth of local GDP) |
| C22 | The cost to local government officials if they neglect environmental issues (C2 > C22) |
| L2 | The penalty on local government officials if they neglect environmental issues (if discovered by inspections or due to whistleblowing) |
| R3 | The rewards to the whistleblower by the central environmental protection department if it pursues strict regulation |
| C3 | The cost of whistleblowing |
| R33 | The compensation to the whistleblower by the local government if the central environmental protection department pursues strict regulation |
| R333 | The cost to call off whistleblowing paid by the local government (such as “hush money”) if the central environmental protection department does not pursue strict regulation and the local government neglects pollution issues |
| L3 | The loss suffered by the whistleblower due to environmental pollution when the local government officials neglect pollution issues |
| Central Environmental Protection Department: a | Strict Regulation (x) | Loose Regulation (1 − x) | |||
|---|---|---|---|---|---|
| Local Government Officials: b | Put Emphasis on Pollution Control (y) | Neglect Pollution Control (1 − y) | Put Emphasis on Pollution Control (y) | Neglect Pollution Control (1 − y) | |
| Whistle Blower: c | Blow the Whistle: (z) | (a1, b1, c1) | (a2, b2, c2) | (a3, b3, c3) | (a4, b4, c4) |
| Not Blow the Whistle: (1 − z) | (a5, b5, c5) | (a6, b6, c6) | (a7, b7, c7) | (a8, b8, c8) | |
© 2019 by the authors. Licensee MDPI, Basel, Switzerland. This article is an open access article distributed under the terms and conditions of the Creative Commons Attribution (CC BY) license (http://creativecommons.org/licenses/by/4.0/).
Share and Cite
Yang, Y.; Yang, W. Does Whistleblowing Work for Air Pollution Control in China? A Study Based on Three-party Evolutionary Game Model under Incomplete Information. Sustainability 2019, 11, 324. https://doi.org/10.3390/su11020324
Yang Y, Yang W. Does Whistleblowing Work for Air Pollution Control in China? A Study Based on Three-party Evolutionary Game Model under Incomplete Information. Sustainability. 2019; 11(2):324. https://doi.org/10.3390/su11020324
Chicago/Turabian StyleYang, Yunpeng, and Weixin Yang. 2019. "Does Whistleblowing Work for Air Pollution Control in China? A Study Based on Three-party Evolutionary Game Model under Incomplete Information" Sustainability 11, no. 2: 324. https://doi.org/10.3390/su11020324
APA StyleYang, Y., & Yang, W. (2019). Does Whistleblowing Work for Air Pollution Control in China? A Study Based on Three-party Evolutionary Game Model under Incomplete Information. Sustainability, 11(2), 324. https://doi.org/10.3390/su11020324

