Scissors Difference of Socioeconomics, Travel and Space Consumption Behavior of Rural and Urban Households and Its Impact on Modeling Accuracy and Data Requirements
Abstract
1. Introduction
2. Methodology
2.1. Study Area
2.2. Data
2.3. Estimation Techniques
3. Accuracy and Data Requirement Assessment
3.1. Scenario 1: ILUTM-1
3.2. Scenario 2: ILUTM-2
3.3. Scenario 3: ILUTM-3
3.4. Scenario 4: ILUTM-4
3.5. Scenario 5: ILUTM-5
3.6. Scenario 6: ILUTM-6
- nn = number of group n from 1 to n
- SSE = the sum of squares error
- ng = total number of groups used to classify households
- ns = total number of groups used to categorize household socioeconomics data
- nt = total number of groups used to categorize household travel data
4. Study Results
4.1. Kolmogorov–Smirnov and Mann–Whitney U Tests
4.2. The Results for Kruskal–Wallis H Test
4.3. The Results for Modeling Accuracy and Data Requirements
5. Discussion
6. Conclusions and Recommendations
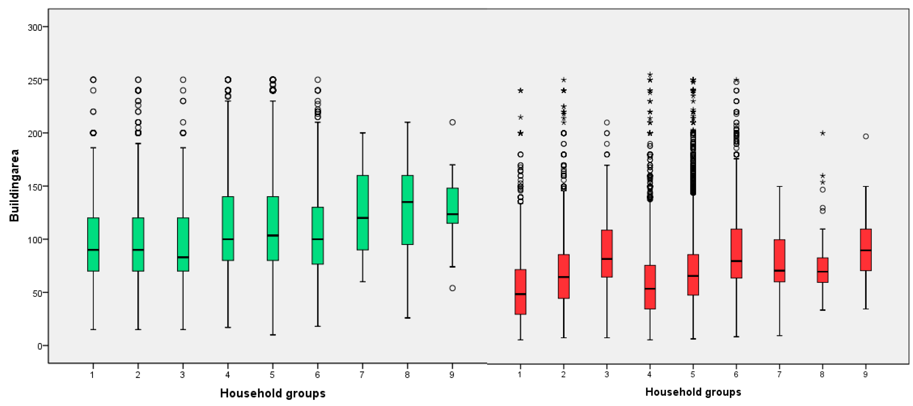
- Urban household subgroups classified based on either household income or size show statistically significant differences in the building area they consume, the highest household mobility and their travel distance.
- Rural household subgroups classified based on either household income or size show statistically significant differences in the building area they consume and in the highest household mobility. However, no significant differences in travel distances between the rural household subgroups were observed.
- In urban areas, household income appears to be the most important factor that determines the quantity of space consumed, when excluding the effect of “rigid demand” related to the household size. Conversely, in the rural areas, due to the low price of residential space/land, household size dominates the decision related to space consumption.
- The rural household subgroups (classified by both household income and household size) show almost exactly the opposite results to their urban counterparts. The results of this study seem to suggest that the households in the rural areas have a very similar lifestyle (including their travel distance), regardless of their size and income, when compared to urban households in general.
- The study results clearly show that, as the number of household categories considered within ILUTMs increase, the model is able to more accurately represent household behavior (with a smaller MSE), but at a cost of a higher demand for data. According to the results of the PECAS models tested, there are significant differences in family size, family income, space consumption and mobility choice when family types are divided into two categories (urban and rural), but there is no difference in travel behavior between them. However, when family income and family size are used as classification indicators and households are classified into 18 categories (9 types of urban households and 9 types of rural households), the travel distance as well as other attributes were found to be significantly different between urban household and rural subgroups.
Author Contributions
Funding
Conflicts of Interest
References
- Seton, F. Scissor crises, value-prices, and the movement of value-prices under technical change. Struct Chang. Econ. Dyn. 2000, 11, 13–24. [Google Scholar] [CrossRef]
- Zhao, L.M.; Li, L.; Wu, Y.J. Research on the coupling coordination of a sea-Land system based on an integrated approach and new evaluation index system: A case study in Hainan Province, China. Sustainability 2017, 9, 859. [Google Scholar] [CrossRef]
- Yue, D.; Xu, X.; Li, Z.; Hui, C.; Li, W.; Yang, H.; Ge, J. Spatiotemporal analysis of ecological footprint and biological capacity of Gansu, China 1991–2015: Down from the environmental cliff. Ecol. Econ. 2006, 58, 393–406. [Google Scholar] [CrossRef]
- Jiang, H.B.; Wu, Y.F. Scissors difference problem under the market economy. Shanghai Stat. 2003, 7, 39–41. (In Chinese) [Google Scholar]
- Wang, S.; Tan, S.; Yang, S.; Lin, Q.; Zhang, L. Urban-biased land development policy and the urban-rural income gap: Evidence from Hubei Province, China. Land Use Policy 2019, 87, 104066. [Google Scholar] [CrossRef]
- Jones, G.A.; Corbridge, S. The continuing debate about urban bias: The thesis, its critics, its influence, and implications for poverty reduction strategies. Prog. Dev. Stud. 2010, 1, 1–18. [Google Scholar] [CrossRef]
- Lipton, M. Urban bias: Of consequences, classes and causality. J. Dev. Stud. 1993, 29, 29. [Google Scholar] [CrossRef]
- Kuznets, S. Economic growth and income inequality. Am. Econ. Rev. 1955, 5, 1–28. [Google Scholar]
- Khor, N.; Pencavel, J. Income inequality, income mobility, and social welfare for urban and rural households of China and the United States. Res. Labor Econ. 2010, 30, 61–106. [Google Scholar]
- Cao, Y.; Chen, X.; Ma, Y. Urbanization, urban-rural income gap and economic growth-based on Chinese provincial panel data empirical analysis. Stat. Res. 2010, 3, 29–36. [Google Scholar]
- Fang, C. Rural urban income gap and critical point of institutional change. Soc. Sci. China 2003, 5, 16–25. [Google Scholar]
- Eastwood, R.; Lipton, M. Rural and urban income inequality and poverty: Does convergence between sectors offset divergence within them? Inequal. Growth Poverty Era Lib. Glob. 2004, 1, 112–143. [Google Scholar]
- Oyekale, A.S.; Adeoti, A.I.; Oyekale, T.O. Measurement and Sources of Income Inequality among Rural and Urban Households in Nigeria. Available online: https://papers.ssrn.com/sol3/papers.cfm?abstract_id=985929 (accessed on 16 July 2019).
- Chen, B.K.; Lin, J.Y. Development strategy, urbanization and the urban-rural income gap in China. Soc. Sci. China 2014, 35, 5–20. [Google Scholar]
- Jin, H.; He, Y.X.; Zhao, C.H. Social security expenditure, demographic structural changes, and urban-rural income gap in China: Evidence from the provincial data. Rev. Cercet. Interv. Soc. 2018, 62, 254–277. [Google Scholar]
- Su, C.W.; Liu, T.Y.; Chang, H.L. Is urbanization narrowing the urban-rural income gap? A cross-regional study of China. Habitat Int. 2015, 48, 79–86. [Google Scholar] [CrossRef]
- Harun, M.; Mat, S.H.C.; Jalil, A.Z.A. Public expenditure expansion and inter-ethnic and rural-urban income disparity. Procedia Econ. Financ. 2012, 1, 296–303. [Google Scholar] [CrossRef]
- Chotia, V.; Rao, N.V.M. Investigating the interlinkages between infrastructure development, poverty and rural-urban income inequality: Evidence from Brics Nations. Stud. Econ. Financ. 2017, 34, 466–484. [Google Scholar] [CrossRef]
- Tiwari, A.K.; Shahbaz, M.; Islam, F. Does financial development increase rural-urban income inequality? Int. J. Soc. Econ. 2013, 40, 151–168. [Google Scholar] [CrossRef]
- Sehrawat, M.; Giri, A.K. Panel data analysis of financial development, economic growth and rural-urban income inequality: Evidence from SAARC Countries. Int. J. Soc. Econ. 2016, 43, 998–1015. [Google Scholar] [CrossRef]
- Jain, M.; Korzhenevych, A.; Hecht, R. Determinants of commuting patterns in a rural-urban megaregion of India. Transp. Policy 2018, 68, 98–106. [Google Scholar] [CrossRef]
- Zhong, M.; Shan, R.; Du, D.; Lu, C.Y. A comparative analysis between traditional four-step and activity-based travel demand modeling: A case study of Tampa, Florida. J. Transp. Plan. Technol. 2015, 38, 517–533. [Google Scholar] [CrossRef]
- Korzhenevych, A.; Jain, M. Area- and gender-based commuting differentials in India’s largest urban-rural region. Transp. Res. Part D Transp. Environ. 2018, 63, 733–746. [Google Scholar] [CrossRef]
- Pucher, J.; Renne, J.L. Rural mobility and mode choice: Evidence from the 2001 National Household Travel Survey. Transportation 2005, 32, 165–186. [Google Scholar] [CrossRef]
- Hutchinson, J.; White, P.C.L.; Graham, H. Differences in the social patterning of active travel between urban and rural populations: Findings from a large UK household survey. Int. J. Public Health 2014, 59, 993–998. [Google Scholar] [CrossRef] [PubMed]
- Liddle, B. The systemic, long-run relation among gasoline demand, gasoline price, income, and vehicle ownership in OECD countries: Evidence from panel cointegration and causality modeling. Transp. Res. Part D Transp. Environ. 2012, 17, 327–331. [Google Scholar] [CrossRef]
- Dargay, J.; Gately, D. Income’s effect on car and vehicle ownership, worldwide: 1960–2015. Transp. Res. A Polivy Pract. 1999, 33, 101–138. [Google Scholar] [CrossRef]
- Paulley, N.; Balcomebe, R.; Mackett, R. The demand for public transport: The effects of fares, quality of service, income and car ownership. Transp. Policy 2006, 13, 295–306. [Google Scholar] [CrossRef]
- Choudhary, R.; Student, M.T.; Vasudevan, V. Study of vehicle ownership for urban and rural households in India. J. Transp. Geogr. 2017, 58, 52–58. [Google Scholar] [CrossRef]
- Ulfarsson, G.F.; Steinbrenner, A.; Valsson, T. Urban household travel behavior in a time of economic crisis: Changes in trip making and transit importance. J. Transp. Geogr. 2015, 49, 68–75. [Google Scholar] [CrossRef]
- Kottegoda, N.T.; Rosso, R. Applied Statistics for Civil and Environmental Engineers; Blackwell Publishing: Hoboken, NJ, USA, 2008; pp. 260–312. [Google Scholar]
- Zhao, P.J.; Lu, B.; de Roo, G. Urban expansion and transportation: The impact of urban form on commuting patterns on the city fringe of Beijing. Environ. Plan. A 2010, 42, 2467–2486. [Google Scholar] [CrossRef]
- Olsson, J. Changing Rural–urban Accessibility Linkages: Long Distance Mobility Behavior over Two Decades in the Philippines. In Proceedings of the 12th World Conference on Transport Research (WCTR), Lisbon, Portugal, 11–15 July 2010. [Google Scholar]
- Andersson, M.; Lavesson, N.; Niedomysl, T. Rural to urban long-distance commuting in Sweden: Trends, characteristics and pathways. J. Rural. Stud. 2018, 59, 67–77. [Google Scholar] [CrossRef]
- Zhao, P.J.; Lu, B.; de Roo, G. The impact of urban growth on commuting patterns in a restructuring city: Evidence from Beijing. Pap. Reg. Sci. 2011, 90, 735–754. [Google Scholar] [CrossRef]
- Hu, L.Q.; Sun, T.S.; Wang, L.L. Evolving urban spatial structure and commuting patterns: A case study of Beijing, China. Transp. Res. Part D Transp. Environ. 2018, 59, 11–22. [Google Scholar] [CrossRef]
- Eastwood, R.; Lipton, M. Pro-poor growth and pro-growth poverty reduction: Meaning, evidence, and policy implications. Asian Dev. Rev. 2000, 18, 22–58. [Google Scholar]
- Connell, J. A new inequality? Privatisation, urban bias, migration and medical tourism. Asia Pac. Viewp. 2011, 52, 260–271. [Google Scholar] [CrossRef]
- Nechyba, T.J.; Walsh, R.P. Urban sprawl. J. Econ. Perspect. 2004, 18, 177–200. [Google Scholar] [CrossRef]
- Brueckner, J.K. Urban sprawl: Diagnosis and remedies. Int. Reg. Sci. Rev. 2000, 23, 160–171. [Google Scholar] [CrossRef]
- Brueckner, J.K. Urban sprawl: Lessons from urban economics. In Brookings-Wharton Papers on Urban Affairs; Brookings Institution Press: Washington, DC, USA, 2001; pp. 65–89. [Google Scholar]
- He, W.; Tang, B.L. Development mode of mid-small cities in northern Jiangsu Based on the growth pole theory. Asian Agric. Res 2012, 4, 63–76. [Google Scholar]






| U or R | HS | HI | BA | HHM1 | TD | |
|---|---|---|---|---|---|---|
| Min. | U | 0 | 0 | 6 | 0 | 0.01 |
| R | 1 | 0 | 10 | 0 | 4.6 | |
| Max. | U | 11 | 18 | 255 | 6 | 90.2 |
| R | 10 | 18 | 250 | 6 | 87 | |
| Range | U | 11 | 18 | 249 | 6 | 90.2 |
| R | 9 | 18 | 240 | 6 | 82.1 | |
| Mean | U | 2.9 | 5.1 | 71.8 | 1.2 | 27.7 |
| R | 3.2 | 4.2 | 108.8 | 1.8 | 25.9 | |
| SDV | U | 0.84 | 3.8 | 36.8 | 1.4 | 18.7 |
| R | 1.1 | 3.5 | 44.7 | 1.5 | 18.1 | |
| COV (%) | U | 28.9 | 74.5 | 51.3 | 116.7 | 67.5 |
| R | 34.4 | 83.3 | 41.1 | 83.3 | 69.9 |
| HS | HI | BA | HHM | TD | |
|---|---|---|---|---|---|
| Mann–Whitney U | 84319684.0 | 87886455.0 | 50819744.0 | 77175930.5 | 775402.0 |
| Z | −27.5 | −19.5 | −67.8 | −35.0 | −1.4 |
| Sig. | 0.000 | 0.000 | 0.000 | 0.000 | 0.157 |
| URBAN | RURAL | |||||
|---|---|---|---|---|---|---|
| BA | HHM | TD | BA | HHM | TD | |
| HI (Sig.) | 2210.5 (0.000) | 506.3 (0.000) | 17.4 (0.000) | 25.9 (0.000) | 13.5 (0.001) | 0.9 (0.616) |
| HS (Sig.) | 127.0 (0.000) | 380.5 (0.000) | 28.1 (0.000) | 152.1 (0.000) | 215.4 (0.000) | 2.1 (0.142) |
![]() |
© 2019 by the authors. Licensee MDPI, Basel, Switzerland. This article is an open access article distributed under the terms and conditions of the Creative Commons Attribution (CC BY) license (http://creativecommons.org/licenses/by/4.0/).
Share and Cite
Zhong, M.; Tang, Q.; Ma, X.; Hunt, J.D. Scissors Difference of Socioeconomics, Travel and Space Consumption Behavior of Rural and Urban Households and Its Impact on Modeling Accuracy and Data Requirements. Sustainability 2019, 11, 5534. https://doi.org/10.3390/su11195534
Zhong M, Tang Q, Ma X, Hunt JD. Scissors Difference of Socioeconomics, Travel and Space Consumption Behavior of Rural and Urban Households and Its Impact on Modeling Accuracy and Data Requirements. Sustainability. 2019; 11(19):5534. https://doi.org/10.3390/su11195534
Chicago/Turabian StyleZhong, Ming, Qi Tang, Xiaofeng Ma, and John Douglas Hunt. 2019. "Scissors Difference of Socioeconomics, Travel and Space Consumption Behavior of Rural and Urban Households and Its Impact on Modeling Accuracy and Data Requirements" Sustainability 11, no. 19: 5534. https://doi.org/10.3390/su11195534
APA StyleZhong, M., Tang, Q., Ma, X., & Hunt, J. D. (2019). Scissors Difference of Socioeconomics, Travel and Space Consumption Behavior of Rural and Urban Households and Its Impact on Modeling Accuracy and Data Requirements. Sustainability, 11(19), 5534. https://doi.org/10.3390/su11195534


