Does CSR Action Provide Insurance-Like Protection to Tax-Avoiding Firms? Evidence from China
Abstract
1. Introduction
2. Theoretical Background and Hypotheses
2.1. The Reputation Risks of Tax Avoidance
2.2. Risk Management Perspective and the Insurance Mechanism of CSR Engagement
2.3. Greenwashing Strategy
3. Research Methodology
3.1. Model
3.2. Sample and Data Resource
3.3. Dependent Variable
Firm Value
3.4. Independent Variable
Tax Avoidance
3.5. Moderators
3.5.1. CSR Engagement Measure
3.5.2. CSR Communication Strategy: Greenwashing vs. Non-Greenwashing
3.6. Controls
4. Research Methodology
4.1. Descriptive Statistics
4.2. Direct Effect of Tax Avoidance on Firm Value
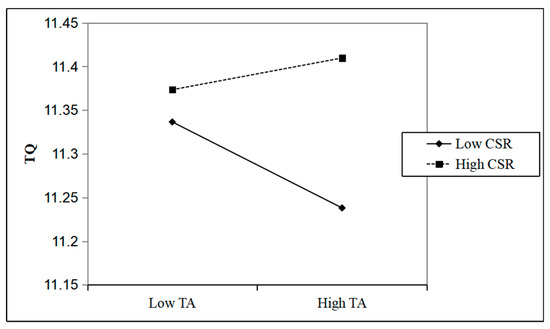
4.3. Interaction Effects between CSR Actions and Tax Avoidance on Firm Value
5. Robustness Tests
5.1. An Alternative Measure of Tax Avoidance
5.2. Subgroup Analysis as an Alternative Method to Test Moderating Effect
5.3. Examine the Hypotheses with the Propensity Score Matching (PSM) Method
6. Discussion
7. Conclusions
Author Contributions
Funding
Conflicts of Interest
References
- Hanlon, M.; Heitzman, S. A Review of Tax Research. J. Account. Econ. 2010, 50, 127–178. [Google Scholar] [CrossRef]
- Hoi, C.; Wu, Q.; Zhang, H. Is Corporate Social Responsibility (CSR) Associated with Tax Avoidance? Evidence from Irresponsible CSR Activities. Account. Rev. 2013, 88, 2025–2059. [Google Scholar] [CrossRef]
- Hanlon, M.; Slemrod, J. What does tax aggressiveness signal? Evidence from stock price reactions to news about tax shelter involvement. J. Public Econ. 2009, 93, 126–141. [Google Scholar] [CrossRef]
- Gallemore, J.; Maydew, E.L.; Thornock, J.R. The Reputational Costs of Tax Avoidance. Contemp. Account. Res. 2014, 31, 1103–1133. [Google Scholar]
- Brooks, C.; Godfrey, C.; Hillenbrand, C.; Money, K. Do investors care about corporate tax? J. Corp. Financ. 2016, 38, 218–248. [Google Scholar] [CrossRef]
- Blaufus, K.; Moehlmann, M.; Schwabe, A.N. Stock price reactions to news about corporate tax avoidance and evasion. J. Econ. Psychol. 2019, 27, 278–292. [Google Scholar] [CrossRef]
- Gulzar, M.A.; Cherian, J.; Sial, M.S.; Badulescu, A.; Thu, P.A.; Badulescu, D.; Khuong, N.V. Does Corporate Social Responsibility Influence Corporate Tax Avoidance of Chinese Listed Companies? Sustainability 2018, 10, 4549. [Google Scholar] [CrossRef]
- Sikka, P. Smoke and mirrors: Corporate social responsibility and tax avoidance. Account. Forum 2010, 34, 153–168. [Google Scholar] [CrossRef]
- Lanis, R.; Richardson, G. Corporate social responsibility and tax aggressiveness: A test of legitimacy theory. Account. Aud. Account. J. 2012, 26, 75–100. [Google Scholar] [CrossRef]
- Davis, A.K.; Guenther, D.A.; Krull, L.K.; Williams, B.M. Do Socially Responsible Firms Pay More Taxes? Accout. Rev. 2016, 91, 47–68. [Google Scholar] [CrossRef]
- Mackey, A.; Mackey, T.B.; Barney, J.B. Corporate social responsibility and firm performance: investor preferences and corporate strategies. Acad. Manag. Rev. 2007, 32, 817–835. [Google Scholar] [CrossRef]
- McWilliams, A.; Siegel, D. Corporate social responsibility and financial performance: correlation or misspecification. Strateg. Manag. J. 2000, 21, 603–609. [Google Scholar] [CrossRef]
- Koh, P.; Qian, C.; Wang, H. Firm litigation risk and the insurance value of corporate social performance. Strateg. Manag. J. 2014, 35, 1464–1482. [Google Scholar] [CrossRef]
- Fombrun, C.J.; Gardberg, N.A.; Barnett, M.L. Opportunity platforms and safety nets: corporate citizenship and reputational risk. Bus. Soc. Rev. 2000, 105, 85–106. [Google Scholar] [CrossRef]
- Godfrey, P.C. The Relationship Between Corporate Philanthropy and Shareholder Wealth: a Risk Management Perspective. Acad. Manag. Rev. 2005, 30, 777–798. [Google Scholar] [CrossRef]
- Godfrey, P.C.; Merrill, C.B.; Hansen, J.M. The Relationship between Corporate Social Responsibility and Shareholder Value: An Empirical Test of the Risk Management Hypothesis. Strateg. Manag. J. 2009, 30, 425–445. [Google Scholar] [CrossRef]
- Boyer, B.; Mitton, T.; Vorkink, K. Expected idiosyncratic skewness. Rev. Financ. Stud. 2009, 23, 169–202. [Google Scholar] [CrossRef]
- Conrad, J.; Dittmar, R.F.; Ghysels, E. Ex ante skewness and expected stock returns. J. Financ. 2013, 68, 85–124. [Google Scholar] [CrossRef]
- Suchman, M.C. Managing legitimacy: Strategic and institutional approaches. Acad. Manag. Rev. 1995, 20, 571–610. [Google Scholar] [CrossRef]
- Delmas, M.A.; Burbano, V.C. The drivers of greenwashing. Calif. Manag. Rev. 2011, 54, 64–87. [Google Scholar] [CrossRef]
- Walker, K.; Wan, F. The Harm of Symbolic Actions and Greenwashing: Corporate Actions and Communications on Environmental Performance and Their Financial Implications. J. Bus. Ethics 2012, 109, 227–239. [Google Scholar] [CrossRef]
- Aldrich, H.E.; Fiol, C.M. Fools rush in? The institutional context of industry creation. Acad. Manag. Rev. 1994, 19, 645–670. [Google Scholar] [CrossRef]
- Bankman, J. The Tax Shelter Problem. Natl. Tax J. 2004, 57, 925–936. [Google Scholar] [CrossRef]
- Slemrod, J. The Economics of Corporate Tax Selfishness. Natl. Tax J. 2004, 57, 877–899. [Google Scholar] [CrossRef]
- Weisbach, D. Ten truths about tax shelters. Tax Law Rev. 2002, 55, 215–253. [Google Scholar] [CrossRef]
- Desai, M.A.; Dharmapala, A.D. Corporate Tax Avoidance and Firm Value. Rev. Econ. Statist. 2009, 91, 537–546. [Google Scholar] [CrossRef]
- Christensen, D.M.; Dhaliwal, D.S.; Boivie, S.; Graffin, S.D. Top management conservatism and corporate risk strategies: Evidence from managers’ personal political orientation and corporate tax avoidance. Strateg. Manag. J. 2015, 36, 1918–1938. [Google Scholar] [CrossRef]
- Fombrun, C.J. Reputation; Harvard Business School Press: Boston, MA, USA, 1996. [Google Scholar]
- Lev, B.; Petrovits, C.; Radhakrishnan, S. Is doing good good for you? How corporate charitable contributions enhance revenue growth. Strateg. Manag. J. 2010, 31, 182–200. [Google Scholar] [CrossRef]
- Greening, D.W.; Turban, D.B. Corporate social performance as a competitive advantage in attracting a quality workforce. Bus. Soc. 2000, 39, 254–280. [Google Scholar] [CrossRef]
- Wang, H.; Qian, C. Corporate philanthropy and corporate financial performance: the roles of stakeholder response and political access. Acad. Manag. J. 2011, 54, 1159–1181. [Google Scholar] [CrossRef]
- Ortiz-de-Mandojana, N.; Bansal, P. The long-term benefits of organizational resilience through sustainable business practices. Strateg. Manag. J. 2016, 37, 1615–1631. [Google Scholar] [CrossRef]
- Kim, Y.; Li, H.; Li, S. Corporate social responsibility and stock price crash risk. J. Bank. Financ. 2014, 43, 1–13. [Google Scholar] [CrossRef]
- Sun, W.; Cui, K. Linking corporate social responsibility to firm default risk. Europ. Manag. J. 2014, 32, 275–287. [Google Scholar] [CrossRef]
- Morrow, D.; Rondinelli, D. Adopting corporate environmental management systems: Motivations and results of ISO 14001 and EMAS certification. Europ. Manag. J. 2002, 20, 159–171. [Google Scholar] [CrossRef]
- Vishwanathan, P.; van Oosterhout, H.J.; Heugens, P.P.; Duran, P.; van Essen, M. Strategic CSR: A concept building meta-Analysis. J. Manage. Stud. 2019, 1, 1–37. [Google Scholar] [CrossRef]
- Harrison, J.S.; Bosse, D.A.; Phillips, R.A. Managing for stakeholders, stakeholder utility functions, and competitive advantage. Strateg. Manag. J. 2010, 31, 58–74. [Google Scholar] [CrossRef]
- Peloza, J. Using corporate social responsibility as insurance for financial performance. Calif. Manag. Rev. 2006, 48, 52–72. [Google Scholar] [CrossRef]
- Klein, J.; Dawar, N. Corporate social responsibility and consumers’ attributions and brand evaluations in a product−harm crisis. Int. J. Res. Mark. 2004, 21, 203–217. [Google Scholar] [CrossRef]
- Williams, R.J.; Barrett, J.D. Corporate philanthropy, criminal activity, and firm reputation: is there a link? J. Bus. Ethics 2000, 26, 341–350. [Google Scholar] [CrossRef]
- Minor, D.B.; Morgan, J. CSR as Reputation Insurance: Primum Non Nocere. Calif. Manag. Rev. 2011, 53, 40–59. [Google Scholar] [CrossRef]
- Hong, H.; Liskovich, I. Crime, punishment and the value of corporate social responsibility. Working Paper 2017. Retrieved from https://ssrn.com/abstract=2492202 (accessed on 20 August 2019).
- Barnett, M.L.; Hartmann, J.; Salomon, R. Have you been served? Extending the relationship between corporate social responsibility and lawsuits. Acad. Manag. Discov. 2017, 4, 109–126. [Google Scholar] [CrossRef]
- Flammer, C. Corporate social responsibility and shareholder reaction: The environmental awareness of investors. Acad. Manag. J. 2013, 56, 758–781. [Google Scholar] [CrossRef]
- Shiu, Y.; Yang, S. Does Engagement in Corporate Social Responsibility Provide Strategic insurance-like Effects? Strateg. Manag. J. 2017, 38, 455–470. [Google Scholar] [CrossRef]
- Zolotoy, L.; O’Sullivan, D.; Chen, Y. Local religious norms, corporate social responsibility, and firm value. J. Bank. Financ. 2019, 100, 218–233. [Google Scholar] [CrossRef]
- Bansal, P.; Clelland, I. Talking trash: Legitimacy, impression management, and unsystematic risk in the context of the natural environment. Acad. Manag. J. 2004, 47, 93–103. [Google Scholar]
- Du, X. How the market values greenwashing? Evidence from China. J. Bus. Ethics 2015, 128, 547–574. [Google Scholar] [CrossRef]
- Seele, P.; Gatti, L. Greenwashing revisited: In search of a typology and accusation−based definition incorporating legitimacy strategies. Bus. Strategy Environ. 2017, 26, 239–252. [Google Scholar] [CrossRef]
- Christmann, P.; Taylor, G. Firm self−regulation through international certifiable standards: Determinants of symbolic versus substantive implementation. J. Int. Bus. Stu. 2006, 37, 863–878. [Google Scholar] [CrossRef]
- Nyilasy, G.; Gangadharbatla, H.; Paladino, A. Perceived greenwashing: The interactive effects of green advertising and corporate environmental performance on consumer reactions. J. Bus. Ethics 2014, 125, 693–707. [Google Scholar] [CrossRef]
- Morgan, G.A. Spss for Introductory Statistics: Use and Interpretation/George a. Morgan … [et al.]; Lawrence Erlbaum: Mahwah, NJ, USA, 2007. [Google Scholar]
- Demsetz, H.; Kenneth, L. The Structure of Corporate Ownership: Causes and Consequences. J. Polit. Econ. 1985, 93, 1155–1177. [Google Scholar] [CrossRef]
- Mehran, H. Executive Compensation Structure, Ownership, and Firm Performance. J. Fin. Econ. 1995, 38, 163–184. [Google Scholar] [CrossRef]
- Morck, R.; Andrei, S.; Robert, V. Management Ownership and Corporate Performance: An Empirical Analysis. J. Fin. Econ. 1988, 20, 293–315. [Google Scholar] [CrossRef]
- King, A.; Lenox, M.J. Exploring the locus of profitable pollution reduction. Manag. Sci. 2002, 48, 289–299. [Google Scholar] [CrossRef]
- Su, W.; Peng, M.W.; Tan, W.; Cheung, Y. The signaling effect of corporate social responsibility in emerging economies. J. Bus. Ethics 2014, 134, 479–491. [Google Scholar] [CrossRef]
- Hillman, A.J.; Keim, G. Shareholder value, stakeholder management, and social issues: What’s the bottom line? Strateg. Manag. J. 2001, 22, 125–139. [Google Scholar] [CrossRef]
- Dyreng, S.D.; Hanlon, M.; Maydew, E.L. The effects of executives on corporate tax avoidance. Account. Rev. 2010, 85, 1163–1189. [Google Scholar] [CrossRef]
- Marquis, C.; Zhang, J.; Zhou, Y. Regulatory uncertainty and corporate responses to environmental protection in China. Calif. Manag. Rev. 2011, 54, 39–63. [Google Scholar] [CrossRef]
- Marquis, C.; Qian, C.L. Corporate Social Responsibility Reporting in China: Symbol or Substance? Organ. Sci. 2014, 25, 127–148. [Google Scholar] [CrossRef]
- Schons, L.; Steinmeier, M. Walk the Talk? How Symbolic and Substantive CSR Actions Affect Firm Performance Depending on Stakeholder Proximity. Corp. Soc. Respon. Environ. Manag. 2016, 23, 358–372. [Google Scholar] [CrossRef]
- Testa, F.; Miroshnychenko, I.; Barontini, R.; Frey, M. Does it pay to be a greenwasher or a brownwasher? Bus. Strateg. Environ. 2018, 27, 1104–1116. [Google Scholar] [CrossRef]
- Baum, C.F. An introduciton to modern econometrics using Stata; Stata Press: College Station, TX, USA, 2006. [Google Scholar]
- Aiken, L.S.; West, S.G. Multiple regression: Testing and interpreting interactions; Sage: Riverside County, CA, USA, 1991. [Google Scholar]
- Heckman, J. Sample selection bias as a specification error. Econometrica 1979, 47, 153–161. [Google Scholar] [CrossRef]
- Rosenbaum, P.; Rubin., D. The central role of the propensity score in observational studies for causal effects. Biometrika 1983, 70, 41–55. [Google Scholar] [CrossRef]
- Dehejia, R.H.; Wahba, S. Propensity score-matching methods for nonexperimental causal studies. Rev. Econ. Stat. 2002, 84, 151–161. [Google Scholar] [CrossRef]
- Becker, S.; Ichino, A. Estimation of average treatment effects based on propensity scores. Stata J. 2002, 2, 358–377. [Google Scholar] [CrossRef]
- Friedman, M. The social responsibility of business is to increase its profits. New York Times Mag. 1970, 13, 122–126. [Google Scholar]
- Waddock, S.A.; Graves, S.B. The Corporate Social Performance−Financial Performance Link. Strateg. Manag. J. 1997, 18, 303–319. [Google Scholar] [CrossRef]
- Desai, M.A.; Alexander, D.; Luigi, Z. Theft and Taxation. J. Fin. Econ. 2007, 84, 591–623. [Google Scholar] [CrossRef]
- Lin, K.Z.; Mills, L.F.; Zhang, F.; Yongbo, L. Do Political Connections Weaken Tax Enforcement Effectiveness? Contemp. Account. Res. 2017, 35, 1941–1972. [Google Scholar] [CrossRef]
- Kim, C.; Zhang, L. Corporate Political Connections and Tax Aggressiveness. Contemp. Account. Res. 2016, 33, 78–114. [Google Scholar] [CrossRef]


| Index | Description and Scoring Method |
|---|---|
| Substantive actions index | Energy and resource efficiency (To what extent does the firm report on its engagement to improve energy and resource efficiency?) (0–10); |
| Emissions and waste reduction (To what extent does the firm report on their effort to recycle resources, treat or reduce emissions and wastes?) (0–10); | |
| Green product development (To what extent does the firm report on environmentally-friendly products or services?) (0–10); | |
| Employee career development (To what extent does the firm report on employee training and self-improvement?) (0–10); | |
| Employee rights (To what extent does the firm report on employee compensation, welfare, occupation health, and safety?) (0–10); | |
| Quality of products and services (Has the firm passed an international quality management system certification?) (0–1); | |
| Philanthropic donation (Does the firm report on the amount of philanthropic donations?) (0–1); | |
| Participation in science and technology development (To what extent does the firm report on participating in universities’ and research institutes’ projects?) (0–10). | |
| Symbolic actions index | CSR vision, strategy and value claims (To what extent does the firm report on its vision, strategy and values?) (0–10); |
| Governance structure and management systems (To what extent does the firm describe its CSR management teams and management activities?) (0–10); | |
| Communication with stakeholders (To what extent does the firm explain how it manages the relationship with stakeholders?) (0–10); | |
| GRI report guidelines (Is the firm’s CSR report published in accordance with the GRI guidelines?) (0–1); | |
| External audit (Has the CSR report been reviewed by an external auditor?) (0–1); | |
| Global compact (Has the firm joined the Global Compact network?) (0–1). |
| Variable | N | Mean | Median | SD | Min | Max |
|---|---|---|---|---|---|---|
| Tobin’s Q (TQ) | 1993 | 1.30 | 0.96 | 1.19 | 0.05 | 6.75 |
| TA | 1993 | 0.05 | 0.04 | 0.14 | −0.52 | 0.62 |
| CSR | 1993 | 32.75 | 30.58 | 10.03 | 12.90 | 67.33 |
| Greenwashing index (GW) | 1993 | −0.01 | 0.01 | 0.56 | −1.89 | 2.03 |
| Return on assets (ROA) | 1993 | 0.03 | 0.02 | 0.17 | −0.69 | 7.45 |
| Asset–liability ratio (LEVER) | 1993 | 0.55 | 0.57 | 0.21 | 0.02 | 1.34 |
| Total assets (SIZE) | 1993 | 280 | 17 | 1700 | 0.22 | 24,100 |
| TOP1 | 1993 | 39.15 | 39.36 | 16.38 | 3.39 | 89.41 |
| LOCAL | 1993 | 0.52 | 0 | 0.49 | 0 | 1 |
| MK | 1993 | 0.76 | 0 | 0.42 | 0 | 1 |
| SOE | 1993 | 0.31 | 0 | 0.46 | 0 | 1 |
| TA | CSR | GW | ROA | LEVER | SIZE | TOP1 | LOCAL | MK | SOE | |
|---|---|---|---|---|---|---|---|---|---|---|
| TA | 1 | |||||||||
| CSR | −0.0254 | 1 | ||||||||
| GW | 0.0265 | −0.4321 *** | 1 | |||||||
| ROA | −0.0537 ** | −0.0117 | 0.0574 *** | 1 | ||||||
| LEVER | 0.0898 *** | 0.2206 *** | −0.1055 ** | −0.1352 *** | 1 | |||||
| SIZE | −0.0114 | 0.4350 *** | −0.2846 *** | −0.0605 *** | 0.4582 *** | 1 | ||||
| TOP1 | −0.0126 | 0.1392 *** | −0.0962 *** | 0.0192 | −0.0251 | 0.1393 *** | 1 | |||
| LOCAL | −0.0670 *** | 0.1711 *** | −0.0932 | 0.0200 | 0.0232 | 0.1191 *** | 0.0542 | 1 | ||
| MK | 0.0320 | 0.0002 | −0.0722 ** | 0.0085 | 0.0176 | 0.0119 | 0.0739 *** | 0.1139 *** | 1 | |
| SOE | 0.0898 *** | 0.2206 *** | 0.1711 * | 0.1667 * | −0.0932 *** | 0.0200 | 0.0232 | 0.0542 | 0.2260 *** | 1 |
| Variables | (1) | (2) | (3) | (4) | (5) | (6) | |
|---|---|---|---|---|---|---|---|
| Independent variables | TA | −0.139 ** (−2.34) | −0.138 ** (−2.33) | −0.132 ** (−2.17) | −0.897 *** (−2.94) | −0.081 (−1.33) | −1.603 *** (−4.88) |
| CSR | −0.017 *** (−5.95) | 0.014 *** (0.341) | −0.009 * (−2.72) | ||||
| GW | 0.058 *** (6.95) | 0.159 *** (2.80) | 0.015 (1.40) | ||||
| Moderating effect | TA × CSR | 0.024 ** (2.53) | 0.049 *** (4.70) | ||||
| TA × GW | −0.509 *** (−3.95) | −0.838 *** (−5.37) | |||||
| Controls | ROA | 0.562 *** (8.92) | 0.566 *** (8.88) | 0.560 *** (8.86) | 0.566 *** (8.88) | 0.579 *** (9.10) | 0.548 *** (8.67) |
| LEVER | −1.790 *** (−10.29) | −1.797 *** (−10.35) | −1.817 *** (−10.64) | −1.797 *** (−10.35) | −1.810 *** (−10.44) | −1.794 *** (−10.32) | |
| SIZE | −0.349 *** (−15.66) | −0.347 *** (−15.53) | −0.328 *** (−15.56) | −0.347 *** (−15.53) | −0.328 *** (−15.59) | −0.354 *** (−15.70) | |
| TOP1 | 0.004 *** (3.23) | 0.004 *** (3.20) | 0.004 *** (3.34) | 0.004 *** (3.20) | 0.004 *** (3.36) | 0.004 *** (3.10) | |
| LOCAL | 0.125 *** (3.17) | 0.124 *** (3.13) | 0.140 *** (3.63) | 0.124 *** (3.13) | 0.141 *** (3.65) | 0.117 *** (2.95) | |
| MK | −0.010 (−0.21) | −0.005 (−0.11) | −0.007 (−0.15) | −0.005 (−0.11) | −0.004 (−0.08) | 0.015 (0.33) | |
| SOE | 0.014 *** (3.42) | 0.013 *** (3.22) | 0.014 *** (3.42) | 0.013 *** (3.01) | 0.014 *** (3.31) | 0.013 *** (3.12) | |
| Fixed effect | Year | Yes | Yes | Yes | Yes | Yes | Yes |
| Industry | Yes | Yes | Yes | Yes | Yes | Yes | |
| Constant | 11.059 *** (23.38) | 11.198 *** (22.40) | 11.438 *** (23.10) | 11.214 *** (22.42) | 11.156 *** (22.34) | 11.261 *** (21.32) | |
| R2 | 0.5123 | 0.5133 | 0.5121 | 0.5128 | 0.5135 | 0.5175 | |
| Adj R2 | 0.5071 | 0.5078 | 0.5069 | 0.5133 | 0.5081 | 0.5116 | |
| F | 155.02 | 137.93 | 154.24 | 146.29 | 136.89 | 114.90 |
| Variables | (1) | (2) | (3) | (4) | (5) | (6) | |
|---|---|---|---|---|---|---|---|
| Independent variable | TAD | −0.128 * (−1.80) | −0.134 (−1.57) | −0.128 (−1.51) | −0.313 (−1.10) | −0.406 ** (−2.31) | −0.490 (−1.60) |
| CSR | 0.021 *** (4.52) | 0.020 *** (4.23) | 0.021 *** (4.29) | ||||
| GW | 0.009 (1.33) | 0.012 * (1.81) | 0.015 ** (2.20) | ||||
| Moderate effect | TAD × CSR | 0.032 ** (2.73) | 0.007 ** (2.38) | ||||
| TAD × GW | −0.074 ** (−2.30) | −0.069 ** (−2.15) | |||||
| Controls | ROA | 0.540 *** (8.52) | 0.559 *** (8.85) | 0.538 *** (8.54) | 0.575 *** (9.06) | 0.545 *** (8.58) | |
| LEVER | −1.745 *** (−10.13) | −1.781 *** (−10.28) | −1.748 *** (−10.13) | −1.762 *** (−10.20) | −1.742 *** (−10.09) | ||
| SIZE | −0.364 *** (−16.01) | −0.329 *** (−15.54) | −0.363 *** (−15.95) | −0.329 *** (−15.59) | −0.356 *** (−15.84) | ||
| TOP1 | 0.003 *** (2.94) | 0.004 *** (3.21) | 0.003 *** (2.93) | 0.004 *** (3.23) | 0.004 *** (2.96) | ||
| LOCAL | 0.112 *** (2.82) | 0.140 *** (3.61) | 0.112 *** (2.79) | 0.141 *** (3.66) | 0.118 *** (2.97) | ||
| MK | −0.001 (−0.01) | −0.012 (−0.26) | 0.001 (0.02) | −0.006 (−0.883) | 0.012 (0.25) | ||
| SOE | 0.014 *** (3.43) | 0.014 *** (3.42) | 0.013 *** (3.22) | 0.014 *** (3.31) | 0.013 *** (3.12) | ||
| Fixed effect | Year | Yes | Yes | Yes | Yes | Yes | |
| Industry | Yes | Yes | Yes | Yes | Yes | ||
| Constant | 11.262 *** (22.10) | 11.228 *** (22.23) | 11.123 *** (22.17) | 11.190 *** (22.24) | 11.197 *** (22.41) | ||
| R2 | 0.5088 | 0.5052 | 0.5089 | 0.5076 | 0.5118 | ||
| Adj R2 | 0.5035 | 0.4999 | 0.5033 | 0.5020 | 0.5157 | ||
| F | 152.14 | 150.53 | 135.59 | 133.91 | 112.34 |
| Variables | Firms with High-Level CSR Engagement | Firms with Low-Level CSR Engagement | Greenwashing Firms | Non-Greenwashing Firms | |
|---|---|---|---|---|---|
| Independent variable | TA | 0.404 ** (1.97) | −0.301 * (−1.87) | −1.664 *** (−4.34) | 0.015 (0.12) |
| Controls | ROA | 4.552 *** (5.28) | 0.278 *** (8.88) | 0.415 ** (2.01) | 2.361 *** (2.91) |
| LEVER | −1.384 *** (−5.25) | −1.418 *** (−4.45) | −1.088 ** (−2.27) | −1.611 *** (−5.87) | |
| SIZE | −0.201 *** (−8.79) | −0.701 *** (−12.55) | −0.664 *** (−8.58) | −0.283 *** (−8.56) | |
| TOP1 | 0.002 (0.95) | 0.006 * (1.71) | 0.011 ** (2.33) | 0.003 (1.43) | |
| LOCAL | 0.026 (0.40) | 0.029 (0.25) | −0.120 (−0.71) | 0.192 *** (2.66) | |
| MK | 0.133 * (1.89) | −0.195 (−1.37) | −0.025 (−0.14) | −0.115 (−1.14) | |
| SOE | 0.012 *** (3.13) | 0.013 *** (3.22) | 0.015 *** (3.17) | 0.011 *** (3.05) | |
| Fixed effect | Year | Yes | Yes | Yes | Yes |
| Industry | Yes | Yes | Yes | Yes | |
| Constant | 11.059 *** (11.80) | 18.137 *** (15.18) | 17.437 *** (10.80) | 9.584 *** (9.27) | |
| R2 | 0.5123 | 0.5910 | 0.5315 | 0.5910 | |
| Adj R2 | 0.5071 | 0.5709 | 0.5056 | 0.5709 | |
| F | 29.41 | 27.47 | 20.48 | 20.75 | |
| N | 428 | 522 | 433 | 481 |
| Variable | Matching Method | Sample | Tax-Avoidance Group | Control Group | ATT | t |
|---|---|---|---|---|---|---|
| TQ | Nearest-Neighbor Matching (NNM) | Pre-matching | 0.133 | 0.384 | −0.251 | −3.92 *** |
| Post-matching | 0.133 | 0.223 | −0.090 | −2.34 ** | ||
| Radius Matching (RM) | Pre-matching | 0.126 | 0.335 | −0.209 | −2.22 ** | |
| Post-matching | 0.126 | 0.207 | −0.081 | −1.67 * | ||
| Kernel Matching (KM) | Pre-matching | 0.147 | 0.393 | −0.246 | −3.38 *** | |
| Post-matching | 0.147 | 0.341 | −0.194 | −2.14 ** |
| Variable | Matching Method | Full Sample | High-CSR | Low-CSR | |||
|---|---|---|---|---|---|---|---|
| ATT | t | ATT | t | ATT | t | ||
| TQ | NNM | −0.090 | −2.34 ** | 0.078 | 2.49 ** | −0.116 | −1.84 * |
| RM | −0.081 | −1.67 * | 0.041 | 1.96 ** | −0.096 | −1.18 | |
| KM | −0.194 | −2.14 ** | 0.036 | 2.01 *** | −0.174 | −1.79 * | |
| Variable | Matching Method | Full Sample | Greenwashing | Non-Greenwashing | |||
|---|---|---|---|---|---|---|---|
| ATT | t | ATT | t | ATT | t | ||
| TQ | NNM | −0.090 | −2.34 ** | −0.147 | −2.21 ** | 0.063 | 1.24 |
| RM | −0.081 | −1.67 * | −0.115 | −1.84 * | 0.087 | 1.32 | |
| KM | −0.194 | −2.14 ** | −0.138 | −2.45 ** | 0.045 | 1.98 * | |
© 2019 by the authors. Licensee MDPI, Basel, Switzerland. This article is an open access article distributed under the terms and conditions of the Creative Commons Attribution (CC BY) license (http://creativecommons.org/licenses/by/4.0/).
Share and Cite
Li, W.; Lu, Y.; Li, W. Does CSR Action Provide Insurance-Like Protection to Tax-Avoiding Firms? Evidence from China. Sustainability 2019, 11, 5297. https://doi.org/10.3390/su11195297
Li W, Lu Y, Li W. Does CSR Action Provide Insurance-Like Protection to Tax-Avoiding Firms? Evidence from China. Sustainability. 2019; 11(19):5297. https://doi.org/10.3390/su11195297
Chicago/Turabian StyleLi, Wei, Yuan Lu, and Weining Li. 2019. "Does CSR Action Provide Insurance-Like Protection to Tax-Avoiding Firms? Evidence from China" Sustainability 11, no. 19: 5297. https://doi.org/10.3390/su11195297
APA StyleLi, W., Lu, Y., & Li, W. (2019). Does CSR Action Provide Insurance-Like Protection to Tax-Avoiding Firms? Evidence from China. Sustainability, 11(19), 5297. https://doi.org/10.3390/su11195297
