Environmental and Health Risks of Heavy Metals in Farmland Soils of Drinking Water Protection Areas and a Contaminated Paddy Field in Taiwan
Abstract
1. Introduction
2. Materials and Methods
2.1. Sample Collection and Pretreatment
2.2. Soil Physicochemical Property and Heavy Metal Concentration Analysis
2.3. Sequential Extraction Procedure
2.4. The Risk and Toxicity Assessment Models of Heavy Metals
2.5. In Vitro Bioaccessibility Method
2.6. Quality Assurance and Quality Control
2.7. Health Risk Assessment Model
3. Results and Discussion
3.1. Soil Physicochemical Characterization
3.2. Total Concentrations of Heavy Metals
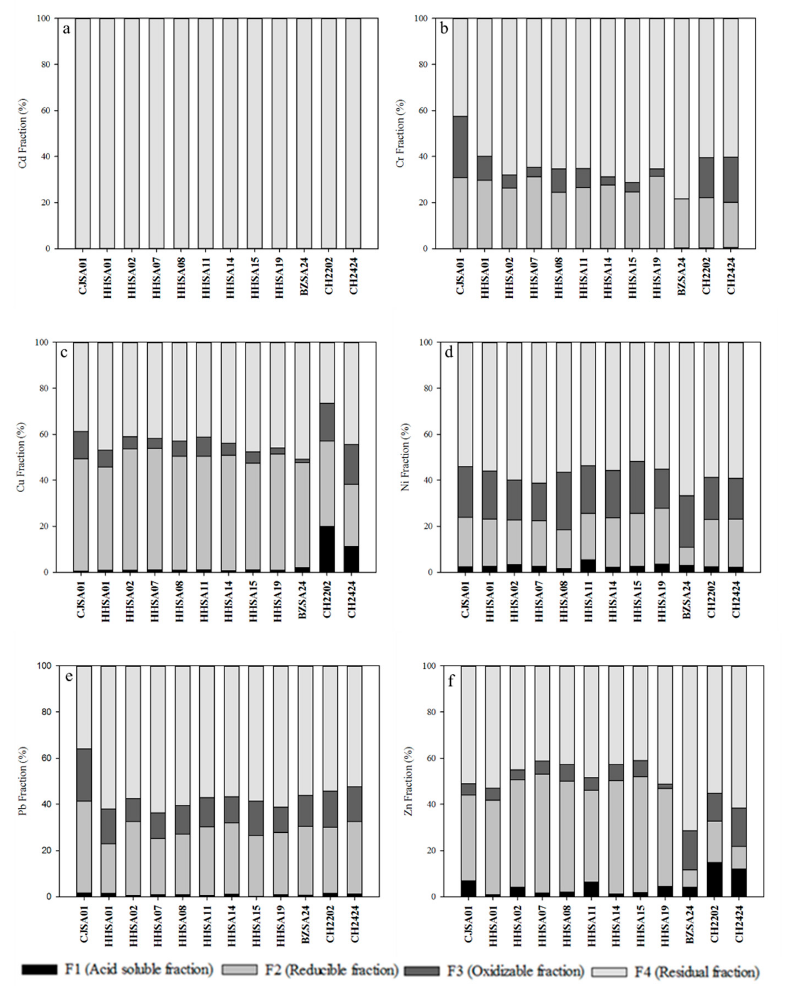
3.3. Sequential Extraction Procedure Results
3.4. Environmental Risk Assessment
3.5. Bioaccessibility Assessment of Cr, Cu, and Zn in Contaminated Soils by PBET and SBET
3.6. Health Risk Assessment
4. Conclusions
Supplementary Materials
Author Contributions
Funding
Acknowledgments
Conflicts of Interest
References
- Bruun, S.; Hansen, T.L.; Christensen, T.H.; Magid, J.; Jensen, L.S. Application of processed organic municipal solid waste on agricultural land—A scenario analysis. Environ. Model. Assess. 2006, 11, 251–265. [Google Scholar] [CrossRef]
- Hargreaves, J.; Adl, M.; Warman, P. A review of the use of composted municipal solid waste in agriculture. Agric. Ecosyst. Environ. 2008, 123, 1–14. [Google Scholar] [CrossRef]
- Weber, J.; Karczewska, A.; Drozd, J.; Licznar, M.; Licznar, S.; Jamroz, E.; Kocowicz, A. Agricultural and ecological aspects of a sandy soil as affected by the application of municipal solid waste composts. Soil Biol. Biochem. 2007, 39, 1294–1302. [Google Scholar] [CrossRef]
- Singh, R.; Agrawal, M. Potential benefits and risks of land application of sewage sludge. Waste Manag. 2008, 28, 347–358. [Google Scholar] [CrossRef] [PubMed]
- Eneji, A.E.; Honna, T.; Yamamoto, S.; Masuda, T.; Endo, T.; Irshad, M. The relationship between total and available heavy metals in composted manure. J. Sustain. Agric. 2003, 23, 125–134. [Google Scholar] [CrossRef]
- Pichtel, J.; Anderson, M. Trace metal bioavailability in municipal solid waste and sewage sludge composts. Bioresour. Technol. 1997, 60, 223–229. [Google Scholar] [CrossRef]
- Pinamonti, F.; Stringari, G.; Gasperi, F.; Zorzi, G. The use of compost: Its effects on heavy metal levels in soil and plants. Resour. Conserv. Recycl. 1997, 21, 129–143. [Google Scholar] [CrossRef]
- Lipoth, S.L.; Schoenau, J.J. Copper, zinc, and cadmium accumulation in two prairie soils and crops as influenced by repeated applications of manure. J. Plant Nutr. Soil Sci. 2007, 170, 378–386. [Google Scholar] [CrossRef]
- Madrid, F.; Lopez, R.; Cabrera, F. Metal accumulation in soil after application of municipal solid waste compost under intensive farming conditions. Agric. Ecosyst. Environ. 2007, 119, 249–256. [Google Scholar] [CrossRef]
- Aubert, J.E.; Husson, B.; Vaquier, A. Use of municipal solid waste incineration fly ash in concrete. Cem. Concr. Res. 2004, 34, 957–963. [Google Scholar] [CrossRef]
- Shim, Y.S.; Rhee, S.W.; Lee, W.K. Comparison of leaching characteristics of heavy metals from bottom and fly ashes in Korea and Japan. Waste Manag. 2005, 25, 473–480. [Google Scholar] [CrossRef]
- Sungur, A.; Soylak, M.; Ozcan, H. Investigation of heavy metal mobility and availability by the BCR sequential extraction procedure: Relationship between soil properties and heavy metals availability. Chem. Spec. Bioavailab. 2015, 26, 219–230. [Google Scholar] [CrossRef]
- Tessier, A.; Campbell, P.G.; Bisson, M. Sequential extraction procedure for the speciation of particulate trace metals. Anal. Chem. 1979, 51, 844–851. [Google Scholar] [CrossRef]
- Filgueiras, A.V.; Lavilla, I.; Bendicho, C. Chemical sequential extraction for metal partitioning in environmental solid samples. J. Environ. Monit. 2002, 4, 823–857. [Google Scholar] [CrossRef]
- Bruder-Hubscher, V.; Lagarde, F.; Leroy, M.; Coughanowr, C.; Enguehard, F. Application of a sequential extraction procedure to study the release of elements from municipal solid waste incineration bottom ash. Anal. Chim. Acta 2002, 451, 285–295. [Google Scholar] [CrossRef]
- Smeda, A.; Zyrnicki, W. Application of sequential extraction and the ICP-AES method for study of the partitioning of metals in fly ashes. Microchem. J. 2002, 72, 9–16. [Google Scholar] [CrossRef]
- Huang, S.J.; Chang, C.Y.; Chang, F.C.; Lee, M.Y.; Wang, C.F. Sequential extraction for evaluating the leaching behavior of selected elements in municipal solid waste incineration fly ash. J. Hazard. Mater. 2007, 149, 180–188. [Google Scholar] [CrossRef]
- Perin, G.; Craboledda, L.; Lucchese, M.; Cirillo, R.; Dotta, L.; Zanette, M.L.; Orio, A.A. Heavy metal speciation in the sediments of northern Adriatic Sea—A new approach for environmental toxicity determination. Heavy Met. Environ. 1985, 2, 454–456. [Google Scholar]
- González, A.; Palma, M.; Ziegler, K.; González, E.; Álvarez, M. Contamination and risk assessment of heavy metals in bottom sediments from Lake Valencia, Venezuela. In Proceedings of the 16th International Conference on Heavy Metals in the Environment, Rome, Italy, 23–27 September 2012; EDP Sciences: Paris, France, 17 June 2013; Volume 1. [Google Scholar] [CrossRef]
- Pan, Y.; Wu, Z.; Zhou, J.; Zhao, J.; Ruan, X.; Liu, J.; Qian, G. Chemical characteristics and risk assessment of typical municipal solid waste incineration (MSWI) fly ash in China. J. Hazard. Mater. 2013, 261, 269–276. [Google Scholar] [CrossRef]
- An, Y.J.; Kim, Y.M.; Kwon, T.I.; Jeong, S.W. Combined effect of copper, cadmium, and lead upon Cucumis sativus growth and bioaccumulation. Sci. Total Environ. 2004, 326, 85–93. [Google Scholar] [CrossRef]
- Davidson, C.M.; Duncan, A.L.; Littlejohn, D.; Ure, A.M.; Garden, L.M. A critical evaluation of the three-stage BCR sequential extraction procedure to assess the potential mobility and toxicity of heavy metals in industrially-contaminated land. Anal. Chim. Acta 1998, 363, 45–55. [Google Scholar] [CrossRef]
- Van der Oost, R.; Beyer, J.; Vermeulen, N.P. Fish bioaccumulation and biomarkers in environmental risk assessment: A review. Environ. Toxicol. Pharmacol. 2003, 13, 57–149. [Google Scholar] [CrossRef]
- Holmstrup, M.; Maraldo, K.; Krogh, P.H. Combined effect of copper and prolonged summer drought on soil microarthropods in the field. Environ. Pollut. 2007, 146, 525–533. [Google Scholar] [CrossRef] [PubMed]
- Qian, H.; Li, J.; Sun, L.; Chen, W.; Sheng, G.D.; Liu, W.; Fu, Z. Combined effect of copper and cadmium on Chlorella vulgaris growth and photosynthesis-related gene transcription. Aquat. Toxicol. 2009, 94, 56–61. [Google Scholar] [CrossRef] [PubMed]
- Straatsma, M.W.; van der Perk, M.; Schipper, A.M.; de Nooij, R.J.W.; Leuven, R.S.E.W.; Huthoff, F.; Middelkoop, H. Uncertainty in hydromorphological and ecological modelling of lowland river floodplains resulting from land cover classification errors. Environ. Modell. Softw. 2013, 42, 17–29. [Google Scholar] [CrossRef]
- Williams, T.; Rawlins, B.; Smith, B.; Breward, M. In-vitro determination of arsenic bioavailability in contaminated soil and mineral beneficiation waste from Ron Phibun, southern Thailand: A basis for improved human risk assessment. Environ. Geochem. Health 1998, 20, 169–177. [Google Scholar] [CrossRef]
- Smith, E.; Naidu, R.; Alston, A. Chemistry of arsenic in soils: I. Sorption of arsenate and arsenite by four Australian soils. J. Environ. Qual. 1999, 28, 1719–1726. [Google Scholar] [CrossRef]
- Sarkar, D.; Datta, R. A modified in-vitro method to 28, 1719–1726.assess bioavailable arsenic in pesticide-applied soils. Environ. Pollut. 2003, 126, 363–366. [Google Scholar] [CrossRef]
- Ruby, M.V.; Davis, A.; Schoof, R.; Eberle, S.; Sellstone, C.M. Estimation of lead and arsenic bioavailability using a physiologically based extraction test. Environ. Sci. Technol. 1996, 30, 422–430. [Google Scholar] [CrossRef]
- Li, Y.; Zhang, M.K. A comparison of physiologically based extraction test (PBET) and single-extraction methods for release of Cu, Zn, and Pb from mildly acidic and alkali soils. Environ. Sci. Pollut. Res. Int. 2013, 20, 3140–3148. [Google Scholar] [CrossRef]
- Wragg, J.; Cave, M. In-Vitro Methods for the Measurement of the Oral Bioaccessibility of Selected Metals and Metalloids in Soils: A Critical Review; Environment Agency: Bristol, UK, 2003.
- Deshommes, E.; Tardif, R.; Edwards, M.; Sauvé, S.; Prévost, M. Experimental determination of the oral bioavailability and bioaccessibility of lead particles. Chem. Cent. J. 2012, 6, 138. [Google Scholar] [CrossRef] [PubMed]
- Drexler, J.; Brattin, W. An in vitro procedure for estimation of lead relative bioavailability: With validation. Hum. Ecol. Risk Assess. 2007, 13, 383–401. [Google Scholar] [CrossRef]
- Li, J.; Wei, Y.; Zhao, L.; Zhang, J.; Shangguan, Y.; Li, F.; Hou, H. Bioaccessibility of antimony and arsenic in highly polluted soils of the mine area and health risk assessment associated with oral ingestion exposure. Ecotoxicol. Environ. Saf. 2014, 110, 308–315. [Google Scholar] [CrossRef] [PubMed]
- Mingot, J.; de Miguel, E.; Chacón, E. Assessment of oral bioaccessibility of arsenic in playground soil in Madrid (Spain): A three-method comparison and implications for risk assessment. Chemosphere 2011, 84, 1386–1391. [Google Scholar] [CrossRef] [PubMed]
- Basta, N.T.; Rodriguez, R.R.; Casteel, S.W. Bioavailability and risk of arsenic exposure by the soil ingestion pathway. In Environmental Chemistry of Arsenic; Frankenberger, W.T., Ed.; Marcel Dekker, Inc.: New York, NY, USA, 2001; pp. 137–160. [Google Scholar]
- Duda-Chodak, A.; Blaszczyk, U. The impact of nickel on human health. J. Elementol. 2008, 13, 685–696. [Google Scholar]
- Mahurpawar, M. Effects of heavy metals on human health. Int. J. Res. Granthaalayah. 2015, 530, 1–7. [Google Scholar]
- Plum, L.M.; Rink, L.; Haase, H. The essential toxin: impact of zinc on human health. Int. J. Environ. Res. Public Health 2010, 7, 1342–1365. [Google Scholar] [CrossRef]
- Singh, J.; Kalamdhad, A.S. Effects of heavy metals on soil, plants, human health and aquatic life. Int. J. Res. Chem. Environ. 2011, 1, 15–21. [Google Scholar]
- Luan, J.; Chai, M.; Li, R. Heavy metal migration and potential environmental risk assessment during the washing process of MSW incineration fly ash and molten slag. Procedia Environ. Sci. 2016, 31, 351–360. [Google Scholar] [CrossRef]
- Stanek, E.J.; Calabrese, E.J.; Barnes, R.M. Soil ingestion estimates for children in Anaconda using trace element concentrations in different particle size fractions. Hum. Ecol. Risk Assess. 1999, 5, 547–558. [Google Scholar] [CrossRef]
- Chien, L.C.; Tsou, M.C.; Hsi, H.C.; Beamer, P.; Bradham, K.; Hseu, Z.Y.; Jien, S.H.; Jiang, C.B.; Dang, W.; Özkaynak, H. Soil ingestion rates for children under 3 years old in Taiwan. J. Expo. Sci. Environ. Epidemiol. 2017, 27, 33–40. [Google Scholar] [CrossRef] [PubMed]
- Mclean, E. Soil pH and lime requirement. In Methods of Soil Analysis, Part 2. Chemical and Microbiological Properties, 2nd ed.; Page, A.L., Ed.; American Society of Agronomy/Soil Science Society of America: Madison, WI, USA, 1982; pp. 199–224. [Google Scholar]
- Taiwan Environmental Protection Administration (Taiwan EPA). The Cation Exchange Capacity in Soils Extracted by Ammonium Acetate (NIEA S201.61C). 2011. Available online: https://www.niea.gov.tw/niea/SOIL/S20161C.htm (accessed on 5 August 2019).
- Nelson, D.W.; Sommers, L.E. Total carbon, organic carbon and organic matter. In Methods of Soil Analysis, Part 2. Chemical and Microbiological Properties; Page, A.L., Ed.; American Society of Agronomy/Soil Science Society of America: Madison, WI, USA, 1982; pp. 539–579. [Google Scholar]
- Gee, G.W.; Bauder, J.W.; Klute, A. Particle size analysis. In Methods of Soil Analysis, Part 1. Physical and Mineralogical Methods, Agronomy Monograph No. 9, 2nd ed.; Klute, A., Ed.; American Society of Agronomy/Soil Science Society of America: Madison, WI, USA, 1986; pp. 383–411. [Google Scholar]
- Taiwan Environmental Protection Administration (Taiwan EPA). The Total Content of Heavy Metal in Soils Analyzed by Microwave-Assisted Aqua Regia Digestion (NIEA S301.60B). 2015. Available online: https://www.niea.gov.tw/niea/pdf/SOIL/S30160B.pdf (accessed on 5 August 2019).
- Sutherland, R.A.; Tack, F.M.G. Fractionation of Cu, Pb and Zn in certified reference soils SRM 2710 and SRM 2711 using the optimized BCR sequential extraction procedure. Adv. Environ. Res. 2003, 8, 37–50. [Google Scholar] [CrossRef]
- Li, S.W.; Li, J.; Li, H.B.; Naidu, R.; Ma, L.Q. Arsenic bioaccessibility in contaminated soils: Coupling in vitro assays with sequential and HNO3 extraction. J. Hazard. Mater. 2015, 295, 145–152. [Google Scholar] [CrossRef] [PubMed]
- U.S. Environmental Protection Agency (U.S. EPA). Standard Operating Procedure for an in Vitro Bioaccessibility Assay for Lead in Soil (EPA 9200.2-86); U.S. Environmental Protection Agency (U.S. EPA): Washington, DC, USA, 2012.
- Taiwan Environmental Protection Administration (Taiwan EPA). Guide to Quality Control of Analysis of Environmental Samples (NIEA-PA104); Taiwan Environmental Protection Administration (Taiwan EPA): Taipei, Taiwan, 2004.
- National Research Council (NRC). Risk Assessment in the Federal Government: Managing the Process; NRC: New Hill, NC, USA, 1983.
- Araya, M.; Olivares, M.; Pizarro, F.; González, M.; Speisky, H.; Uauy, R. Gastrointestinal symptoms and blood indicators of copper load in apparently healthy adults undergoing controlled copper exposure. Am. J. Clin. Nutr. 2003, 77, 646–650. [Google Scholar] [CrossRef]
- Brown, M.A.; Thom, J.V.; Orth, G.L.; Cova, P.; Juarez, J. Food poisoning involving zinc contamination. Arch. Environ. Health 1964, 8, 657–660. [Google Scholar] [CrossRef]
- National Toxicology Program (NTP). NTP technical report on the toxicology and carcinogenesis studies of sodium dichromate dihydrate (CAS No. 7789-12-0) in F344/N rats and B6C3F1 mice (Drinking Water Studies). Natl. Toxicol. Program Tech. Rep. Ser. 2008, 1, 1–192. [Google Scholar]
- Liang, Q.; Chen, H.; Gong, Y.; Fan, M.; Yang, H.; Lal, R.; Kuzyakov, Y. Effects of 15 years of manure and inorganic fertilizers on soil organic carbon fractions in a wheat-maize system in the North China Plain. Nutr. Cycl. Agroecosys. 2012, 92, 21–33. [Google Scholar] [CrossRef]
- Zhang, F.; Li, Y.; Yang, M.; Li, W. Content of heavy metals in animal feeds and manures from farms of different scales in northeast China. Int. J. Environ. Res. Public Health 2012, 9, 2658–2668. [Google Scholar] [CrossRef] [PubMed]
- Lai, H.Y.; Hseu, Z.Y.; Chen, T.C.; Chen, B.C.; Guo, H.Y.; Chen, Z.S. Health risk-based assessment and management of heavy metals-contaminated soil sites in Taiwan. Int. J. Environ. Res. Public Health 2010, 7, 3595–3614. [Google Scholar] [CrossRef] [PubMed]
- Zimmerman, A.J.; Weindorf, D.C. Heavy metal and trace metal analysis in soil by sequential extraction: A review of procedures. Int. J. Anal. Chem. 2010, 2010, 71–76. [Google Scholar] [CrossRef]
- Zhou, Y.; Ning, X.A.; Liao, X.; Lin, M.; Liu, J.; Wang, J. Characterization and environmental risk assessment of heavy metals found in fly ashes from waste filter bags obtained from a Chinese steel plant. Ecotoxicol. Environ. Saf. 2013, 95, 130–136. [Google Scholar] [CrossRef]
- Eary, L.E.; Rai, D. Kinetics of chromium(III) oxidation to chromium(VI) by reaction with manganese dioxide. Environ. Sci. Technol. 1987, 21, 1187–1193. [Google Scholar] [CrossRef]
- Poggio, L.; Vrscaj, B.; Schulin, R.; Hepperle, E.; Ajmone Marsan, F. Metals pollution and human bioaccessibility of topsoils in Grugliasco (Italy). Environ. Pollut. 2009, 157, 680–689. [Google Scholar] [CrossRef] [PubMed]
- Li, Y.; Demisie, W.; Zhang, M.K. The function of digestive enzymes on Cu, Zn, and Pb release from soil in in vitro digestion tests. Environ. Sci. Pollut. Res. Int. 2013, 20, 4993–5002. [Google Scholar] [CrossRef]
- Mendoza, C.J.; Garrido, R.T.; Quilodrán, R.C.; Segovia, C.M.; Parada, A.J. Evaluation of the bioaccessible gastric and intestinal fractions of heavy metals in contaminated soils by means of a simple bioaccessibility extraction test. Chemosphere 2017, 176, 81–88. [Google Scholar] [CrossRef]
- Prado, F.E.; Hilal, M.; Chocobar-Ponce, S.; Pagano, E.; Rosa, M.; Prado, C. Chapter 6-Chromium and the Plant: A Dangerous Affair? A2-Ahmad, Parvaiz; Plant Metal Interaction; Elsevier: Amsterdam, The Netherlands, 2016; pp. 149–177. [Google Scholar]
- Oluyemi, E.A.; Feuyit, G.; Oyekunle, J.A.O.; Ogunfowokan, A.O. Seasonal variations in heavy metal concentrations in soil and some selected crops at a landfill in Nigeria. Afr. J. Environ. Sci. Technol. 2008, 2, 89–96. [Google Scholar]





| Location | Sample No. | Coordinate | Deep (cm) | pH | TOC (%) | CEC (cmolc/kg) | Sand (%) | Silt (%) | Clay (%) | Soil Type a | |
|---|---|---|---|---|---|---|---|---|---|---|---|
| X | Y | ||||||||||
| Cijiawan River (CJ) | CJSA01 | 281,105 | 2,697,748 | 0–15 | 5.4 | 8.9 | 27.8 | 10 | 39 | 51 | C |
| Mulan Bridge of Hehuan River (HH) | HHSA01 | 273,368 | 2,676,695 | 0–15 | 7.0 | 7.5 | 22.9 | 42 | 28 | 30 | CL |
| HHSA02 | 273,146 | 2,676,523 | 0–15 | 7.6 | 5.4 | 19.4 | 52 | 26 | 22 | SCL | |
| HHSA07 | 273,370 | 2,676,126 | 0–15 | 7.3 | 6.8 | 21.9 | 46 | 36 | 18 | L | |
| HHSA08 | 272,992 | 2,675,928 | 0–15 | 7.6 | 8.3 | 18.8 | 48 | 40 | 12 | L | |
| HHSA11 | 273,001 | 2,675,653 | 0–15 | 7.4 | 6.4 | 24.8 | 38 | 34 | 28 | CL | |
| HHSA14 | 273,110 | 2,675,482 | 0–15 | 7.7 | 6.7 | 21.0 | 52 | 30 | 18 | SL | |
| HHSA15 | 272,970 | 2,675,309 | 0–15 | 7.6 | 6.8 | 20.6 | 45 | 34 | 21 | L | |
| HHSA19 | 273,110 | 2,674,943 | 15–30 | 7.2 | 5.9 | 19.3 | 42 | 34 | 24 | L | |
| Bazhang River (BZ) | BZSA24 | 219,179 | 2,596,868 | 15–30 | 4.1 | 6.2 | 25.0 | 54 | 23 | 23 | SCL |
| Changhwa (CH) | CH2202 | 201,917 | 2,666,178 | 0–15 | 6.0 | 2.6 | 21.0 | 32 | 46 | 22 | L |
| CH2424 | 197,911 | 2,665,959 | 0–15 | 6.3 | 2.7 | 20.2 | 43 | 35 | 22 | L | |
| Sample No. | As (mg/kg) | Hg (mg/kg) | Cd (mg/kg) | Cr (mg/kg) | Cu (mg/kg) | Ni (mg/kg) | Pb (mg/kg) | Zn (mg/kg) | Fe (mg/kg) | Mn (mg/kg) |
|---|---|---|---|---|---|---|---|---|---|---|
| CJSA01 | 15.5 | 0.07 | 0.58 | 396 d | 66.1 | 22.8 | 39.0 | 231 | 31,900 | 777 |
| HHSA01 | 11.7 | 0.13 | 0.84 | 71.6 | 149 a | 18.4 | 20.5 | 606 b | 32,500 | 726 |
| HHSA02 | 12.4 | 0.19 | 0.36 | 44.7 | 76.7 | 28.8 | 29.5 | 338 a | 43,700 | 650 |
| HHSA07 | 12.6 | 0.14 | 0.99 | 48.4 | 108 | 30.4 | 25.1 | 521 a | 38,800 | 1220 |
| HHSA08 | 9.85 | 0.11 | 0.69 | 61.8 | 116 | 50.2 | 23.5 | 552 a | 32,700 | 1150 |
| HHSA11 | 11.9 | 0.14 | 0.50 | 65.4 | 119 | 32.6 | 26.3 | 439 a | 41,800 | 747 |
| HHSA14 | 13.2 | 0.11 | 0.47 | 47.7 | 85.1 | 19.3 | 20.3 | 384 a | 33,600 | 841 |
| HHSA15 | 9.57 | 0.11 | 0.60 | 45.4 | 91.0 | 21.0 | 20.4 | 432 a | 32,100 | 688 |
| HHSA19 | 12.3 | 0.13 | 0.44 | 62.7 | 93.4 | 26.2 | 25.1 | 321 a | 37,900 | 841 |
| BZSA24 | 10.8 | 0.09 | ND e | 302 d | 22.7 | 19.5 | 21.3 | 74.0 | 31,400 | 474 |
| CH2202 | 7.57 | 0.10 | 0.53 | 438 d | 576 d | 350 d | 40.5 | 1010 c | 26,697 | 192 |
| CH2424 | 11.0 | 0.08 | 0.49 | 245 c | 309 c | 304 d | 58.5 | 1010 c | 27,244 | 155 |
| Monitoring standard for agricultural soils f | - | 2.0 | 2.5 | - | 120 | - | 300 | 260 | - | - |
| Control standard for agricultural soils g | - | 5.0 | 5.0 | - | 200 | - | 500 | 600 | - | - |
| Monitoring standard for non-agricultural soils h | 30 | 10 | 10 | 175 | 220 | 130 | 1000 | 1000 | - | - |
| Control standard for non-agricultural soils i | 60 | 20 | 20 | 250 | 400 | 200 | 2000 | 2000 | - | - |
| Sample No. | Cd | Cr | Cu | Ni | Pb | Zn | ΣSTI |
|---|---|---|---|---|---|---|---|
| CJSA01 | 0.00 | 8.78 | 7.49 | 1.47 | 1.66 | 2.17 | 21.57 |
| HHSA01 | 0.00 | 0.46 | 4.36 | 1.15 | 0.50 | 5.16 | 11.64 |
| HHSA02 | 0.00 | 0.29 | 4.01 | 1.72 | 0.90 | 3.39 | 10.31 |
| HHSA07 | 0.00 | 0.27 | 4.16 | 1.75 | 0.63 | 5.61 | 12.43 |
| HHSA08 | 0.00 | 0.41 | 4.23 | 2.81 | 0.64 | 5.70 | 13.79 |
| HHSA11 | 0.00 | 0.55 | 5.64 | 2.26 | 0.78 | 4.12 | 13.34 |
| HHSA14 | 0.00 | 0.35 | 3.38 | 1.22 | 0.63 | 3.96 | 9.53 |
| HHSA15 | 0.00 | 0.24 | 3.41 | 1.44 | 0.55 | 4.61 | 10.25 |
| HHSA19 | 0.00 | 0.57 | 3.87 | 1.82 | 0.68 | 2.88 | 9.81 |
| BJSA24 | 0.00 | 4.21 | 1.03 | 0.79 | 0.64 | 0.29 | 6.95 |
| CH2202 | 0.00 | 7.50 | 84.16 | 20.97 | 1.25 | 9.03 | 122.91 |
| CH2424 | 0.00 | 4.03 | 35.15 | 18.16 | 1.91 | 5.76 | 65.01 |
© 2019 by the authors. Licensee MDPI, Basel, Switzerland. This article is an open access article distributed under the terms and conditions of the Creative Commons Attribution (CC BY) license (http://creativecommons.org/licenses/by/4.0/).
Share and Cite
Huang, S.-H.; Wang, Y.-L.; Li, S.-H.; Chien, L.-C.; Chang, T.-C.; Hseu, Z.-Y.; Hsi, H.-C. Environmental and Health Risks of Heavy Metals in Farmland Soils of Drinking Water Protection Areas and a Contaminated Paddy Field in Taiwan. Sustainability 2019, 11, 5166. https://doi.org/10.3390/su11195166
Huang S-H, Wang Y-L, Li S-H, Chien L-C, Chang T-C, Hseu Z-Y, Hsi H-C. Environmental and Health Risks of Heavy Metals in Farmland Soils of Drinking Water Protection Areas and a Contaminated Paddy Field in Taiwan. Sustainability. 2019; 11(19):5166. https://doi.org/10.3390/su11195166
Chicago/Turabian StyleHuang, Shih-Han, Ying-Lin Wang, Sheng-Hsien Li, Ling-Chu Chien, Tien-Chin Chang, Zeng-Yei Hseu, and Hsing-Cheng Hsi. 2019. "Environmental and Health Risks of Heavy Metals in Farmland Soils of Drinking Water Protection Areas and a Contaminated Paddy Field in Taiwan" Sustainability 11, no. 19: 5166. https://doi.org/10.3390/su11195166
APA StyleHuang, S.-H., Wang, Y.-L., Li, S.-H., Chien, L.-C., Chang, T.-C., Hseu, Z.-Y., & Hsi, H.-C. (2019). Environmental and Health Risks of Heavy Metals in Farmland Soils of Drinking Water Protection Areas and a Contaminated Paddy Field in Taiwan. Sustainability, 11(19), 5166. https://doi.org/10.3390/su11195166

