Extracting Spatial Patterns of Intercity Tourist Movements from Online Travel Blogs
Abstract
1. Introduction
2. Data
3. Methods
3.1. Statistical Analysis
3.2. Complex Network Analysis
3.3. Spatial Interaction Model
4. Results
4.1. Statistical Features
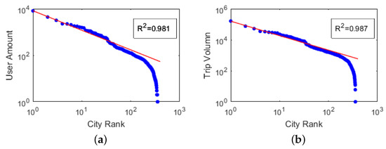
4.1.1. Tourist Distributions
4.1.2. Flow Distributions
4.2. Interaction Network Features
4.2.1. Centrality
4.2.2. Small-World Property
4.2.3. Degree Distribution
4.2.4. Disassortativity
4.2.5. Community
4.3. Interaction Features
4.3.1. Similarity of Travel Flows
4.3.2. Distance Decay Effect
4.3.3. Gravity Law
5. Conclusions
Author Contributions
Funding
Conflicts of Interest
References
- Cohen, S.A.; Higham, J.E.; Peeters, P.; Gössling, S. Why tourism mobility behaviours must change. In Understanding and Governing Sustainable Tourism Mobility; Abingdon: ROUTLEDGE in Association with GSE Research; Routledge: Abingdon, UK, 2014; Volume 1, pp. 1–11. [Google Scholar]
- Scuttari, A.; Lucia, M.D.; Martini, U. Integrated planning for sustainable tourism and mobility. A tourism traffic analysis in Italy’s south tyrol region. J. Sustain. Tour. 2013, 21, 614–637. [Google Scholar]
- Wheeller, B. Sustainable mass tourism: More smudge than nudge the canard continues. Tour. Recreat. Res. 2007, 32, 73–75. [Google Scholar]
- Larsen, G.R.; Guiver, J.W. Understanding tourists’ perceptions of distance: A key to reducing the environmental impacts of tourism mobility. J. Sustain. Tour. 2013, 21, 968–998. [Google Scholar]
- Mercer, D. The geography of leisure—A contemporary growth-point. Geography 1970, 55, 261–273. [Google Scholar]
- Rajotte, F. The different travel patterns and spatial framework of recreation and tourism. Tour. Factor Nalt. Reg. Dev. 1975, 43–52. [Google Scholar]
- Liu, Y.; Zhang, Y.; Nie, L. Patterns of self-drive tourists: The case of Nanning city, China. Tour. Manag. 2012, 33, 225–227. [Google Scholar]
- Cohen, E. A phenomenology of tourist experiences. Sociology 1979, 13, 179–201. [Google Scholar]
- Lew, A.; McKercher, B. Modeling tourist movements: A local destination analysis. Ann. Tour. Res. 2006, 33, 403–423. [Google Scholar]
- Lau, G.; McKercher, B. Understanding tourist movement patterns in a destination: A gis approach. Tour. Hosp. Res. 2006, 7, 39–49. [Google Scholar]
- Mckercher, B.; Lau, G. Movement patterns of tourists within a destination. Tour. Geogr. 2008, 10, 355–374. [Google Scholar]
- Aletta, F.; Brambilla, G.; Maffei, L.; Masullo, M. Urban soundscapes: Characterization of a pedestrian tourist route in Sorrento (Italy). Urban Sci. 2016, 1, 4. [Google Scholar]
- Votsi, N.-E.P.; Mazaris, A.D.; Kallimanis, A.S.; Pantis, J.D. Natural quiet: An additional feature reflecting green tourism development in conservation areas of Greece. Tour. Manag. Perspect. 2014, 11, 10–17. [Google Scholar]
- Yang, Y.; Fik, T.; Zhang, J. Modeling sequential tourist flows: Where is the next destination? Ann. Tour. Res. 2013, 43, 297–320. [Google Scholar]
- Benkhard, B. Determination of tourist flow patterns in a low mountain study area. Tour. Manag. Stud. 2018, 14, 19–31. [Google Scholar]
- Edwards, D.; Griffin, T. Understanding tourists’ spatial behaviour: Gps tracking as an aid to sustainable destination management. J. Sustain. Tour. 2013, 21, 580–595. [Google Scholar] [CrossRef]
- De Cantis, S.; Ferrante, M.; Kahani, A.; Shoval, N. Cruise passengers’ behavior at the destination: Investigation using gps technology. Tour. Manag. 2016, 52, 133–150. [Google Scholar]
- East, D.; Osborne, P.; Kemp, S.; Woodfine, T. Combining gps & survey data improves understanding of visitor behaviour. Tour. Manag. 2017, 61, 307–320. [Google Scholar]
- Nilbe, K.; Ahas, R.; Silm, S. Evaluating the travel distances of events visitors and regular visitors using mobile positioning data: The case of estonia. J. Urban Technol. 2014, 21, 91–107. [Google Scholar]
- Zhang, R.; Ye, X.; Wang, K.; Li, D.; Zhu, J. Development of commute mode choice model by integrating actively and passively collected travel data. Sustainability 2019, 11, 2730. [Google Scholar]
- Narangajavana, Y.; Fiol, L.J.C.; Tena, M.Á.M.; Artola, R.M.R.; García, J.S. The influence of social media in creating expectations. An empirical study for a tourist destination. Ann. Tour. Res. 2017, 65, 60–70. [Google Scholar]
- Wise, N.; Farzin, F. “See you in iran” on facebook: Assessing user-generated authenticity. Emerald Publ. Ltd. 2018, 24, 33–52. [Google Scholar]
- Hu, F.; Li, Z.; Yang, C.; Jiang, Y. A graph-based approach to detecting tourist movement patterns using social media data. Cartogr. Geogr. Inf. Sci. 2018, 46, 1–15. [Google Scholar]
- Ahani, A.; Nilashi, M.; Ibrahim, O.; Sanzogni, L.; Weaven, S. Market segmentation and travel choice prediction in spa hotels through tripadvisor’s online reviews. Int. J. Hosp. Manag. 2019, 80, 52–77. [Google Scholar]
- Jin, C.; Cheng, J.; Xu, J. Using user-generated content to explore the temporal heterogeneity in tourist mobility. J. Travel Res. 2018, 57, 779–791. [Google Scholar]
- Chung, H.C.; Chung, N.; Nam, Y. A social network analysis of tourist movement patterns in blogs: Korean backpackers in Europe. Sustainability 2017, 9, 2251. [Google Scholar]
- Yang, L.; Wu, L.; Liu, Y.; Kang, C. Quantifying tourist behavior patterns by travel motifs and geo-tagged photos from flickr. ISPRS Int. J. Geo-Inf. 2017, 6, 345. [Google Scholar]
- Wu, X.; Huang, Z.; Peng, X.; Chen, Y.; Liu, Y. Building a spatially-embedded network of tourism hotspots from geotagged social media data. IEEE Access 2018, 6, 21945–21955. [Google Scholar]
- Min, W.; Bao, B.-K.; Xu, C. Multimodal spatio-temporal theme modeling for landmark analysis. IEEE Multimed. 2014, 21, 20–29. [Google Scholar]
- Kou, N.M.; Yang, Y.; Gong, Z. Travel topic analysis: A mutually reinforcing method for geo-tagged photos. GeoInformatica 2015, 19, 693–721. [Google Scholar]
- Padilla, J.J.; Kavak, H.; Lynch, C.J.; Gore, R.J.; Diallo, S.Y. Temporal and spatiotemporal investigation of tourist attraction visit sentiment on twitter. PLoS ONE 2018, 13, e0198857. [Google Scholar]
- Hao, Q.; Cai, R.; Wang, C.; Xiao, R.; Yang, J.-M.; Pang, Y.; Zhang, L. Equip tourists with knowledge mined from travelogues. In Proceedings of the 19th International Conference on World Wide Web, Raleigh, NC, USA, 26–30 April 2010; pp. 401–410. [Google Scholar]
- Liu, Y.; Liu, X.; Gao, S.; Gong, L.; Kang, C.; Zhi, Y.; Chi, G.; Shi, L. Social sensing: A new approach to understanding our socioeconomic environments. Ann. Assoc. Am. Geogr. 2015, 105, 512–530. [Google Scholar]
- Csáji, B.C.; Browet, A.; Traag, V.A.; Delvenne, J.-C.; Huens, E.; Van Dooren, P.; Smoreda, Z.; Blondel, V.D. Exploring the mobility of mobile phone users. Phys. A Stat. Mech. Appl. 2013, 392, 1459–1473. [Google Scholar]
- Wang, L.; Wang, Q.; Jing, Y.; Yu, H. Enhancing complex network synchronization based on the node betweenness. IFAC Proc. Vol. 2008, 41, 13282–13286. [Google Scholar]
- de Vries, J.J.; Nijkamp, P.; Rietveld, P. Alonso’s theory of movements: developments in spatial interaction modeling. J. Geogr. Syst. 2001, 3, 233–256. [Google Scholar] [CrossRef]
- Hawelka, B.; Sitko, I.; Beinat, E.; Sobolevsky, S.; Kazakopoulos, P.; Ratti, C. Geo-located twitter as proxy for global mobility patterns. Cartogr. Geogr. Inf. Sci. 2014, 14, 260–271. [Google Scholar]
- Dorogovtsev, S.N.; Goltsev, A.G.; Mendes, J.F.F. Pseudofractal scale-free web. Phys. Rev. E 2002, 65, 066122. [Google Scholar] [CrossRef]
- Reichardt, J.; Bornholdt, S. Statistical mechanics of community detection. Phys. Rev. E 2006, 74, 016110. [Google Scholar]
- Erlander, S.; Stewart, N.F. The Gravity Model in Transportation Analysis: Theory and Extensions; VSP Publishing: Wakefield, UK, 1990; Volume 3. [Google Scholar]
- Gonzalez, M.C.; Hidalgo, C.A.; Barabasi, A.-L. Understanding individual human mobility patterns. Nature 2008, 453, 779. [Google Scholar]
- Brockmann, D.; Hufnagel, L.; Geisel, T. The scaling laws of human travel. Nature 2006, 439, 462. [Google Scholar] [CrossRef]
- Cheng, Z.; Caverlee, J.; Lee, K.; Sui, D.Z. Exploring millions of footprints in location sharing services. ICWSM 2011, 2011, 81–88. [Google Scholar]
- Xiao, Y.; Wang, F.; Liu, Y.; Wang, J. Reconstructing gravitational attractions of major cities in china from air passenger flow data, 2001–2008: A particle swarm optimization approach. Prof. Geogr. 2013, 65, 265–282. [Google Scholar]














| Metrics | Values |
|---|---|
| number of nodes | 259 |
| number of edges | 9283 |
| average degree | 71.7 |
| network diameter D | 2 |
| average path length L | 1.72 |
| aggregation coefficient C | 0.812 |
| degree distribution index | 0.016 |
| assortativity coefficient | −0.432 |
| Rank | Degree Centrality | Betweenness Centrality | Closeness Centrality |
|---|---|---|---|
| 1 | Beijing | Beijing | Beijing |
| 2 | Shanghai | Shanghai | Shanghai |
| 3 | Guangzhou | Guangzhou | Guangzhou |
| 4 | Shenzhen | Shenzhen | Shenzhen |
| 5 | Hangzhou | Hangzhou | Hangzhou |
| 6 | Xi’an | Chengdu | Xi’an |
| 7 | Chengdu | Xi’an | Chengdu |
| 8 | Wuhan | Wuhan | Wuhan |
| 9 | Tianjin | Tianjin | Tianjin |
| 10 | Nanjing | Nanjing | Nanjing |
| 11 | Suzhou | Suzhou | Suzhou |
| 12 | Qingdao | Dali | Qingdao |
| 13 | Dali | Qingdao | Dali |
| 14 | Zhengzhou | Chongqing | Zhengzhou |
| 15 | Chongqing | Changsha | Chongqing |
| 16 | Changsha | Zhengzhou | Changsha |
| 17 | Kunming | Kunming | Kunming |
| 18 | Xiamen | Xiamen | Xiamen |
| 19 | Jinan | Dalian | Jinan |
| 20 | Jiaxing | Shenyang | Jiaxing |
© 2019 by the authors. Licensee MDPI, Basel, Switzerland. This article is an open access article distributed under the terms and conditions of the Creative Commons Attribution (CC BY) license (http://creativecommons.org/licenses/by/4.0/).
Share and Cite
Gao, Y.; Ye, C.; Zhong, X.; Wu, L.; Liu, Y. Extracting Spatial Patterns of Intercity Tourist Movements from Online Travel Blogs. Sustainability 2019, 11, 3526. https://doi.org/10.3390/su11133526
Gao Y, Ye C, Zhong X, Wu L, Liu Y. Extracting Spatial Patterns of Intercity Tourist Movements from Online Travel Blogs. Sustainability. 2019; 11(13):3526. https://doi.org/10.3390/su11133526
Chicago/Turabian StyleGao, Yong, Chao Ye, Xiang Zhong, Lun Wu, and Yu Liu. 2019. "Extracting Spatial Patterns of Intercity Tourist Movements from Online Travel Blogs" Sustainability 11, no. 13: 3526. https://doi.org/10.3390/su11133526
APA StyleGao, Y., Ye, C., Zhong, X., Wu, L., & Liu, Y. (2019). Extracting Spatial Patterns of Intercity Tourist Movements from Online Travel Blogs. Sustainability, 11(13), 3526. https://doi.org/10.3390/su11133526

