Abstract
As an important part of industrialized society, manufacturing consumes a large amount of raw materials and energy, which motivates decision-makers to tackle this problem in different manners. Process planning is an important optimization method to realize the object, and energy consumption, carbon emission, or sustainability evaluation is the basis for the optimization stage. Although the evaluation research has drawn a great deal of attention, most of it neglects the influence of state control of machine tools on the energy consumption of machining processes. To address the above issue, a sustainability evaluation method of process planning for single computer numerical control (CNC) machine tool considering energy-efficient control strategies has been developed. First, four energy-efficient control strategies of CNC machine tools are constructed to reduce their energy consumption. Second, a bi-level energy-efficient decision-making mechanism using random forests is established to select appropriate control strategies for different occasions. Then, three indicators are adopted to evaluate the sustainability of process planning under the consideration of energy-efficient control strategies, i.e., energy consumption, relative delay time, and machining costs. Finally, a pedestal part machined by a 3-axis vertical milling machine tool is used to verify the proposed methods. The results show that the reduction in energy consumption considering energy-efficient control strategies reaches 25%.
1. Introduction
Manufacturing is an important part of industrialized society and uses trillions of dollars’ worth of commodities and services as inputs [1], but it is also obvious that manufacturing shows a huge impact on the environment. In Europe, manufacturing processes in factories, in which motors, compressors, and machine systems need to be powered, and adequate heating, ventilation, and air conditioning equipment need to be maintained, contribute to over 24% of total European energy consumption [2]. The energy problem being experienced by the manufacturing industry has aroused social concerns [3]. On the other hand, the survey on electric energy consumption has shown that up to 54% of electric energy is used in production processes, which are mainly on production machines. So energy conservation of machine tools can significantly reduce the carbon emission of manufacturing. To realize the energy consumption reduction of machine tools, many methods have been proposed by researchers, such as machining parameter optimization [4], state control of machines [5], process planning [6], and production scheduling [7].
Process planning is a good method, and a lot of researches have been conducted to improve the manufacturing sustainability. The milling experiments show that the energy consumption of interchangeable machining processes can differ significantly, by at least 6% of the total energy consumption of a machine in low loads and is likely to grow to 40% at higher loads [8]. On the other hand, another method for saving energy is the implementation of control strategies that reduce energy consumption during the idle periods of machine tools. It was also reported that the energy saving potential is 10 to 25% through the reduction of the time used waiting or in the start-up mode [9]. However, most of the current process planning neglects control strategies, especially in the setup planning and usually assumes the cutting power is constant in machining processes. In addition, the current control strategies are simple and impractical. Most of them focus on the problem of “how to reduce energy consumption”, while few have studied the problem of determining “when to implement one certain control strategy” automatically. In the actual production, the decision-making process of control strategies is randomly caused by operators’ subjectivity and experience.
To address the above issues, a sustainability evaluation method of process planning considering energy-efficient control strategies has been developed. The approach focuses on single computer numerical control (CNC) machine tool, and addresses dynamics in machining processes from the following two aspects: (1) For the process planning, the control strategies will be considered at the setup periods, and an energy-efficient decision-making mechanism is introduced by using random forests; (2) sustainability is evaluated through considering the control strategies. The innovations of the approach are summarized as (1) a bi-level energy-efficient decision-making mechanism is established by using random forests and modified teaching–learning-based optimization (TLBO) algorithm to select a proper control strategy for specific requirements; (2) the sustainability of process planning considering different energy-efficient control strategies is evaluated.
The rest of the study is organized as follows. In Section 2, the literature on energy-efficient process planning and energy-efficient control strategies of machine tools are reviewed. Then, four energy-efficient control strategies of single CNC machine tool are proposed to reduce the energy consumption of machining processes in Section 3. In Section 4, a bi-level energy-efficient decision-making mechanism is established by using Random Forests to select the appropriate control strategies in different occasions. Based on the energy-efficient control strategies, sustainability evaluation of process planning is presented in Section 5. A case study and some discussions are described in Section 6. Finally, the conclusions and future work are shown in Section 7.
2. Literature Review
2.1. Process Planning for Energy Conservation
Process planning is a manufacturing system function that translates design data into the best method to manufacture a part. To reduce the energy consumption of machining processes, different researchers studied energy-efficient process planning from different aspects. The work of Dahmus and Gutowski has a major influence on process planning, and they presented a system-level environmental analysis of machining processes [10]. The energy analysis showed that the energy requirement of actual material removal can be smaller compared with the total energy of machine tool operation. Based on time and energy consumption in an industrial process planning problem, a novel energy analysis method integrating fuzzy simulation, neural network, and the genetic algorithm was proposed to solve it [11]. Since performing machining processes with better energy efficiency will significantly reduce the total industrial consumption of energy, many researchers introduced energy consumption in process planning. Newman et al. presented a theoretical framework to validate the introduction of energy consumption in the objectives of process planning for CNC machining [8]. Zhang and Ge proposed a machine tool oriented energy assessment approach to simplify the calculation of energy consumption of process planning [12]. And Shojaeipour developed an automated evaluation tool based on environmental standards to quantify the environmental impacts of a set of feasible manufacturing process plans [13]. A holistic production planning approach in a reconfigurable manufacturing system with energy consumption and environmental effects was developed [14].
Except for the above researches, some researchers realized energy conservation through integrating process planning and some other production methods, such as machine tool selection and scheduling. An energy-saving optimization method that considers machine tool selection and operation sequence for flexible job shops was proposed [15], and a Nested Partitions algorithm is utilized to solve the model. An energy-aware mathematical model for job shops that integrates process planning and scheduling was proposed by Dai et al. [16]. In addition, Wang et al. developed an innovative and systematic approach for milling process planning and scheduling optimization [17]. Although many methods about process planning have been established to achieve energy conservation, most of the existing process planning methods neglect the influence of state control of machine tools on the energy consumption of machining processes.
2.2. Energy-Efficient Control Methods of Machine Tools
Energy consumption of manufacturing processes is mainly from machine tools, so it is an effective approach of energy conservation to realize the energy-efficient control of them. Through characterizing the energy consumption of a mill, lathe, and injection molding machine by analyzing the background runtime operations of machining (i.e. spindle, jog, coolant pump, computers, and fans, etc.), it is observed that over 30% of the energy input into the system during machining is consumed by these background processes. Therefore, one of the measures for saving energy is the implementation of control strategies that reduce energy consumption during the idle periods of a machine. Newman et al. suggested a theoretical framework for energy-efficient process planning, which includes redesigning CNC machines and controllers from the aspect of control software [8]. The specific research about control strategies of machine tools comes from Mouzon et al. [18]. They developed several dispatching rules for the minimization of the energy consumption of manufacturing equipment. Then, some researchers studied the problem from more complex aspects, such as closed-loop flow shop plant [19], and stochastic arrival of jobs [5]. Recently, Yoon et al. gave a comprehensive review of the state-of-the-art technologies for machine tools, mainly for the machining process, and they concluded that control improvement of machine tools would effectively contribute to the overall energy efficiency [20].
Considering the relevance of the production processes in a workshop, some researchers have integrated control strategies of machine tools with the production scheduling from the aspect of single machine tool or the whole flow-shop scheduling. For example, Yildirim and Mouzon proposed a mathematical model to minimize energy consumption and reduce the total completion time of a single machine with deterministic job arrival and service time, and the turning OFF/ON operation will be conducted when the machine tool remains idle for a long period before the next job arrives [21]. Then, considering variable energy prices during one day, Shrouf et al. proposed a mathematical model of making decisions at the machine level to determine the launch times for job processing, idle time, when the machine must be shut down, “turning on” time, and “turning off” time [22]. Their model can enable the operations manager to implement the least expensive production scheduling during a production shift. In the aspect of flow-shop scheduling, an integrated model for processing parameter optimization and flow-shop scheduling was developed, and three carbon-footprint reduction strategies were employed to optimize the scheduling results, i.e., postponing strategy, setup strategy, and processing parameter preliminary optimization strategy [23].
In conclusion, many researchers have proposed different methods to realize the energy-efficient control of machine tools. However, most of the existing approaches focused on “how to reduce the energy consumption”, and the problems of “when to control” and “which strategy to adopt” received little attention. In addition, the setup processes of process planning may lead to the idle state of a machine tool, so it is also a noteworthy problem of how to integrate the control strategies with process planning.
3. Energy-Efficient Control Strategies of Single CNC Machine Tool
3.1. The State Switching Methods of a CNC Machine Tool
According to the energy consumption curve of a CNC machine tool in Figure 1, it mainly contains six states: downtime, standby, warm up, idle, air cutting, and cutting. At first, the machine tool is in downtime state, and its power is 0. After its power on, it will be in the standby state. In this state, i.e., the off-working state, some modules of the machine tool are not ready, and only emergency services are active. The machine tool cannot process a job in this kind of “sleeping” mode [5]. The power in the standby state is denoted with , which is generally lower than that of other states. Then, in an idle state, i.e., the on-working state, the machine tool is ready to process a job once it has been clamped. The power in idle state, denoted with , is due to the activation of all its modules, which have to be ready for processing a job. From the off-working state to the on-working state, the machine tool needs to pass through the warm-up state, i.e., a transitory state in which a procedure is executed to make all the modules suitable for processing. The duration and energy consumption of the warm-up procedure are and . is generally greater than that of other states. For a certain CNC machine tool, the duration and energy consumption of the warm-up procedure are constant. In the cutting state, the machine tool is processing a job, and the requested power changes with different processes. Before cutting a job, the machine tool usually goes through the air cutting process.
Figure 1.
The energy consumption curve of a computer numerical control machine tool.
The energy consumption of a CNC machine tool in different states is different. To reduce the total energy consumption, the machine can be switched off or even shut down during the waiting interval. The state switching procedure of a machine tool is illustrated in Figure 2. The transition between two states can be triggered by some events, such as the setup process, and the arrival of the next batch. When it completes a process and is waiting for the next process or the next job, it is not necessary to keep all the modules active. The machine tool can be moved, with proper control, into the standby state or even shutdown characterized by lower power. Nevertheless, the transition between different states needs a period because the machine tool needs a certain reaction process.
Figure 2.
The state switching procedure of a CNC machine tool.
As mentioned above, a machine tool needs to wait during the setup process of a job, and the state of a CNC machine tool can be changed to reduce the total energy consumption. Since different setup planning of a job will generate different waiting time in various scenarios, there are two state switching methods:
- Switching method: When the waiting interval for a machine tool is short, it can be switched from the idle state to the standby state. The power will be reduced from to . We assume that the basic duration for completing the switching off and switching on is . Since the warm-up procedure needs energy consumption , it is assumed that the shortest time for saving is . So the critical time point is . Assume that the waiting interval is . If , the machining time of the machining process will not be influenced by the switching method.
- Switching–shutdown method: If the waiting interval is long, the machine tool can be switched from the idle state to standby state, and then shut down to reduce the energy consumption. The power will be reduced from to . Here the machine tool will be shut down only when the waiting interval is long enough, so it will not cause side effects for the machine tool. Assume that the shortest duration for completing the shutdown and power on is . Since the warm-up procedure needs energy consumption , it is assumed that the shortest time for saving is . So the critical time point is . If , the machining time of the machining process will be not influenced by the switching–shutdown method.
3.2. The Energy-Efficient Control Strategies for Single CNC Machine Tool
As described in Section 2.1, most of the existing process planning methods neglect the influence of state control of machine tools on the energy consumption of machining processes. The selection of state switching methods is related to the setup time, and random forests are adopted to carry out the decision making in Section 4. Although the increase in machine flexibility and setup in relationship with idle consumptions is the clear trend [10], the setup process is still inescapable for large and complex parts. Moreover, different setup planning of a job will generate different waiting intervals. So four different control strategies are proposed to deal with various scenarios, as summarized in Table 1.
Table 1.
Different control strategies of a computer numerical control machining tool.
Different control strategies have different effects on machining time and energy consumption. It is obvious that the “no controller” strategy will not affect the total machining time and energy consumption. The Strategy of switching (STSW) and Strategy of shutdown (STSH) will reduce energy consumption, but they may affect the machining time. STSW and STSH are two extreme strategies. The strategy of switching/shutdown 1 (STSS1) is a compromise solution, which has no effect on the total machining time and will reduce the total energy consumption. In STSS1, and are critical time points, but sometimes we want to lower these two critical time points and extend the waiting interval to achieve a larger reduction of energy consumption, so two parameters and are introduced into the time constraint, i.e., the Strategy of switching/shutdown 2 (STSS2). But STSS2 may have a larger effect on the machining time. In a different situation or for different requirements, different strategies will be adopted to control the machining time and energy consumption. The decision making mechanism of different control strategies will be discussed in Section 4.
4. Bi-Level Energy-Efficient Decision-Making Mechanism Using Random Forests
Since four control strategies are proposed in Section 3.2, some other problems need to be studied, such as, whether to control or not, when to control and which control strategy to adopt. Therefore, a bi-level energy-efficient decision-making mechanism is proposed by using random forests to address the above problems. And the framework of the decision-making mechanism is illustrated in Figure 3. The energy-efficient decision-making mechanism mainly contains two parts: control strategy selection and the control parameter ( and ) optimization. The upper-level is about decision-making of control strategies using random forests. Random forests, introduced by Breiman [24], have been applied successfully in various biological problems [25], image classification, [26], etc. The random forests algorithm is an ensemble method which uses recursive partitioning to generate many trees and then aggregates the results. Compared with the decision tree classifier, random forests have better classification accuracy, and are more tolerant to noise and less dependent on the training datasets [25]. The lower-level is about parameter optimization based on a modified teaching–learning-based optimization (TLBO) algorithm to obtain the optimal control parameter and if the STSS2 strategy is chosen.
Figure 3.
Bi-level low-carbon decision-making mechanism by using random forests.
The main components of the energy-efficient decision-making mechanism are described in detail as follows.
4.1. Control Strategy Selection Using Random Forests
For the control strategy selection problem, there are many factors which will affect the selection results, such as the weight of each indicator, setup time, and parameters of a machine tool. In summary, the factors can be classified into three types: human factors, process factors, and machine factors. For the first type, it mainly includes the weight of each indicator, i.e., , as shown in Equation (26). The process factors come from the number of setup and the setup time. For the convenience of describing the setup time uniformly, the maximum, the minimum, and the average of the setup time are regarded as the feature factors of the setup time, which are represented by , , and . The machine factors are the inherent parameters of a machine tool, i.e., the critical time points and , the standby power , idle power , and the energy consumption of the warm-up procedure . These factors will be considered for the control strategy selection, and be treated as the feature parameters to train Random Forests, as shown in the following:
where means the th setup time which can be obtained through the history data.
The random forests algorithm is an ensemble method, and each tree is independently constructed using a bootstrap sample of the training data. For each tree, two-thirds of the training samples are used for tree construction, and the remaining one-third of the samples are used to test the tree. This left out data, named “Out of Bag (OOB)”, is used to calibrate the performance of each tree. The construction of the random forests contains three steps, i.e., data sampling, construction of decision trees, and formation of the forest.
4.1.1. Data Sampling to Generate Training Dataset
In random forests, the bagging method is used for data sampling in tandem with random feature selection [24]. There are two reasons for using the bagging method. The first is that the use of bagging seems to enhance accuracy when random features are used. The second is that bagging can be used to give ongoing performance estimates of the combined ensemble of trees, as well as estimates for the strength and correlation. Each new training set is drawn, with replacement, from the original training set. Then a tree is grown on the new training set using random feature selection, and the trees grown are not pruned. In each bootstrap training set, about of the instances are left out, where is the number of the total original training sets.
4.1.2. Construction of Decision Trees
The random forests with random features are formed by selecting at random, at each node, a small group of input variables to split on. Grow the tree using the classification and regression tree (CART) methodology to maximum size and do not prune. Denote this procedure by Forest-RI [24]. Here, the number of randomly selected feature factors, , is a parameter of the algorithm that is constant and a priori fixed. The Forest-RI decision tree induction procedure can be summarized as below:
- Let be the size of the original training sets. instances are randomly drawn with replacement, to form the bootstrap sample, which is then used to build a tree.
- Let be the dimensionality of the original feature factor space, and in the energy-efficient decision-making problem. Set a number for each node of the tree, so that a subset of features is randomly drawn without replacement, among which the best split is then selected.
- Randomly select features. The tree is thus built to reach its maximum size. No pruning is performed.
For the random forests, the CART methodology is used to grow the decision-making tree. The CART monograph focuses most of its discussion on the rule [27], which is similar to the better known entropy or information-gain criterion. The energy-efficient decision-making problem mentioned above is a classification problem, and the “Gini measure of impurity” of a classification sample can be derived from Equation (7). The Gini measure of impurity of this split can be obtained through Equation (8). The split with the lowest Gini measure of impurity will be adopted, and the parent node will be divided into left and right children nodes.
where is the probability of the samples belonging to the strategy in . means the number of strategies in sample and . represents the parent sample.
4.1.3. Formation of the Forests
Through integrating all the above classifiers, the random forests can be formed to conduct the energy-efficient decision-making process. The final decision-making result can be obtained via the majority voting procedure:
where represents the assemble classification model, and is the indicative function. means the th prediction tree, and donates the output strategy, i.e., STSW, STSH, STSS1, and STSS2.
4.1.4. Performance Indicators of Random Forests
To evaluate the classification effectiveness of random forests, the out-of-bag error estimate is used, and three performance indicators are developed, i.e., accuracy, misclassification error, geometric mean. The out-of-bag estimate is based on combining only about one-third as many classifiers as in the ongoing main combination. It has been proved that the out-of-bag estimates are near-optimal in terms of the classification accuracy of the corresponding ensembles [28]. The performance indicators of the Random Forests are shown as follows:
Accuracy (ACC): the total percentage of correct classification strategies:
where and represent the correct and false classification number of the th control strategies, respectively. ACC is used to reflect the overall classification accuracy, and the higher the accuracy is, the better the algorithm is.
Misclassification Error (ME): the maximal percentage of the misclassification error of the four strategies:
ME can embody the classification accuracy of each control strategy.
Geometric mean (G-mean): the geometric mean of the accuracies of the four control strategies:
can reflect the classification capacity of imbalance dataset of the four strategies.
4.2. Control Parameter Optimization of STSS2 Based on a Modified TLBO Algorithm
If the STSS2 strategy is chosen, there are also two parameters ( and ) which need to be optimized. To obtain the optimal control parameters, a modified TLBO algorithm which combines the TLBO algorithm with mutation operation is proposed. The objective is the relative sustainability index, and the input parameters are and . The TLBO algorithm, proposed by RaoSavsani and Vakharia [29], was inspired from the philosophy of teaching and learning. TLBO has emerged as one of the simple and efficient techniques for solving single-objective benchmark problems and real life application problems in which it has been empirically shown to perform well on many optimization problems. The TLBO algorithm is based on the effect of the influence of a teacher on the output of leaners in a class which is evaluated in terms of results or grades. Like other nature-inspired algorithms, the TLBO algorithm is also a population based method which uses a population of solutions to proceed to the global solution. The mutation operator is applied with an assigned probability . The pseudo-code for TLBO algorithm for the control parameter optimization is shown in Figure 4.
Figure 4.
The pseudo-code of the modified TLBO algorithm.
5. Sustainability Evaluation of Process Planning Considering Energy-Efficient Control Strategies
Process planning is an important manufacturing system function, which determines the optimal process plan (i.e., operations and their sequence, within the precedence relationship constraints) and manufacturing resources (machine tool configuration and cutting tool). For process planning of a single machine tool, the machining processes of parts are carried out on a CNC machine tool. Since the proposed control strategies will affect the energy consumption and machining time, the sustainability of process planning considering energy-efficient control strategies needs to be evaluated. The energy consumption, relative delay time, and machining cost of process planning will be taken into consideration. Then the sustainability evaluation is carried out according to these three indicators. Since the computation process of energy consumption has been described in our previous work [30], the same will not be repeated here.
5.1. Relative Delay Rate and Machining Cost Evaluation of Process Planning
When a control strategy is adopted, the total machining time may be postponed if the job needs to wait for the machine tool to be ready from downtime state or standby state. Then the relative delay time (RDT) is used to evaluate the influence of control strategies on the machining time:
where , represent the number of setups and the number of processes of the th setup. , mean the start time considering control strategies and no controler of the th setup, respectively. and denote the End process time and Start machining time of the th process of the th setup.
According to the RDT calculation method, the influence of each control strategy will be different. For STSS1, the delay time is zero. For STSW and STSH, the delay time can be obtained through Equations (14) and (15), respectively. For the STSS2 strategy, if , the delay time can be calculated by using Equation (14). And if , Equation (15) can be used to obtain the delay time.
Except for energy consumption, there are many factors which will influence the machining cost, such as machine use cost, tool use cost, and setup cost [31]. The cost evaluation per part of process planning is listed in Table 2. This cost model includes setup cost, tool use cost (function of cutting parameters), and amortization of machinery which are associated with the volume of production and productivity.
Table 2.
Machining cost evaluation per part of process planning.
5.2. Sustainability Evaluation of Process Planning
For process planning considering the energy-efficient control strategies, its energy consumption, relative delay time, and total machining cost are different. To obtain a comprehensive evaluation, the sustainability of process planning is presented. Since the above indicators have different magnitudes, normalization of them is primary. A suitable normalization schema that normalizes the objective functions by the differences of them in the Nadir and Utopia points is employed [33]. The Utopia point provides the lower bound of the th indicator and can be obtained individually.
The upper bound is obtained from the Nadir point .
where is the total number of indicators.
Then, the three indicators can be normalized individually as follows:
The relative sustainability index (RSI) of process planning can be obtained through integrating the three indicators, which is a weighted sum of , , and , and is a weight defined by operators
6. A Case Study
To verify the proposed method, a CNC 3-axis vertical milling machine tool is chosen as an illustrative example. The information of the machine tool is listed in Table 3, which includes , , , , , , , and . The information of the available cutting tools is also listed in Table 3, and there are nine types of cutting tools. In addition, a pedestal part is used to conduct the process planning and control strategy selection. The features of the part are illustrated in Figure 5, which contains eleven features. The details of each feature are shown in Table 4.
Table 3.
The information of the CNC machine tool and the available cutting tools.
Figure 5.
Features of the pedestal part.
Table 4.
Operations and candidate machining resources of the part.
In different scenarios, different planning will be adopted. Based on the above features and their constraints, three different operation plannings can be obtained:
Planning 1: ->->->->->->->->->->->->->->;
Planning 2: ->->->->->->->->->->->->->->;
Planning 3: ->->->->->->->->->->->->->->.
For each planning, the information is listed in Table 5, which includes the weights of each indicator, the setup number, and the features of the setup time. The weight of each indicator is determined according to the energy consumption requirement, processing urgency, and machining cost requirement. Under different processing conditions, the weight of each indicator is different. For each planning, the energy-efficient decision-making mechanism is conducted to choose a proper strategy. In addition, the energy consumption, relative delay time, and cost of each process planning and its sustainability is also analyzed and compared in the following sections to verify the proposed method.
Table 5.
The information about each planning.
6.1. Control Strategy Decision-Making Using Random Forests
To conduct the control strategy selection, 200 sample data are collected from an actual workshop, which are partly listed in Table 6. The proposed energy-efficient control strategies are represented by numbers, and 1–4 represent STSS1, STSS2, STSW, and STSH, respectively.
Table 6.
Sample data for the control strategy selection.
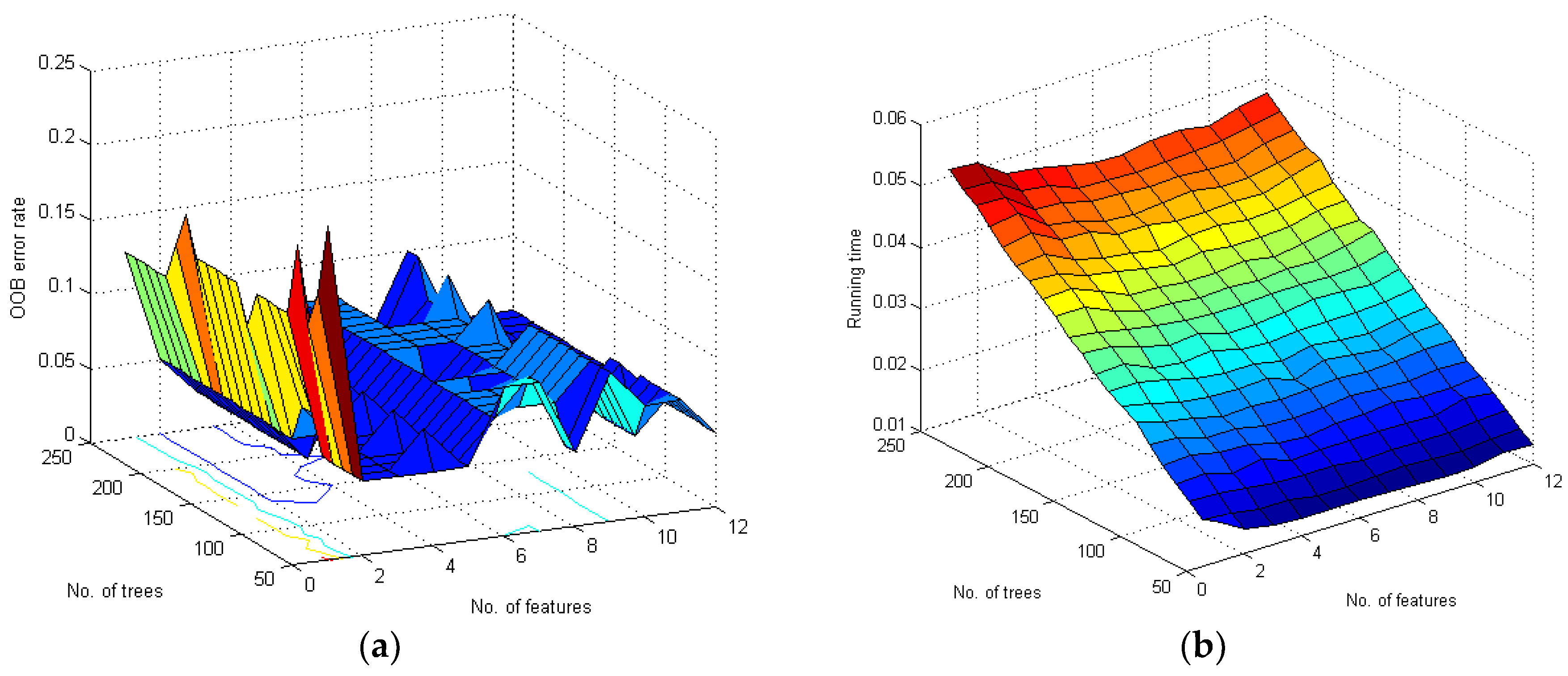
Since the accuracy of random forests is related to some control parameters, such as the number of trees and the number of selected features, these parameters are tuned by using the above sampling data. The range of the number of trees is set 50 to 250, and the number of selected features is 1 to 12. The OOB error rate is used to evaluate the accuracy of different parameter combinations, which is shown in Figure 6. From the results, it can be clearly seen that the best number of trees is 150, and the best number of selected features is three. The classification accuracy of the sampling data will be worse when the number of features increases. Moreover, the change in accuracy is very small when the number of trees exceeds 150. However, the running time will increase with the rise in the number of trees.
Figure 6.
Out of Bag (OOB) error rate and running time of different parameter combination. (a) OOB error rate of different parameters; (b) Running time of different parameters.
To verify the efficiency of random forests for the proposed problem, artificial neural network (ANN) and support vector machine (SVM) are compared with random forests from four aspects, i.e., ACC, ME, G-mean, and running time. The running experiments are conducted 10 times, and the results (ACC, ME, and G-mean) are the averages of the ten experiments. But the running time is the total time of running 10 experiments. The comparison of these three algorithms for the same sampling data is shown in Figure 7. It can be seen that the ACC of random forests is the best, which reaches 0.975, while that of ANN and SVM are 0.9475 and 0.95, respectively. The result of the G-mean is almost the same with the ACC, and that of random forests is 0.9672. For ME, the results of random forests and SVM are the same, which means that their classification accuracies change little for different strategies. In terms of running time, the best algorithm is SVM, which can reach 0.0305. Random forests rank second to SVM, and its running time is 0.334 for 10 experiments. ANN is not suitable for the proposed problem, because its running time is 11.2s. In conclusion, the operational efficiency of SVM is the best for the proposed problems, while the best accuracy is from random forests. And the running time of random forests is also acceptable, which proves that the random forests algorithm is an efficient method for the proposed decision-making problem.
Figure 7.
The comparison of the performances among random forests, artificial neural network (ANN), and support vector machine (SVM).
For the three process planning methods mentioned above, the proposed bi-level energy-efficient decision-making mechanism is used to obtain the strategy and control parameters. The proper strategies for the three planning are STSW, STSS1, and STSS2, respectively. For Planning 3, the modified TLBO algorithm is used to obtain the optimal strategy parameters: and .
6.2. Sustainability Evaluation of Process Planning and Comparison
Through the proposed method, the energy consumption, relative delay time, and machining cost of different process planning have been obtained, as shown in Table 7. In addition, the existing research methods, which usually assumed that the power of machine tools is constant, are used to make a comparison, i.e., “No strategy”. It can be seen that the energy consumption of process planning considering control strategies decreases obviously. The decline proportion of energy consumption reaches 25%, which proves that the control strategies are efficient for energy conservation. In terms of the delay time, some strategies will postpone the machining time, such as STSW and STSS2. But the delay time is not obvious compared with the total processing time. For the machining cost, the changes in different plannings are not obvious. And the total cost has a reverse relationship with RDT because RDT is directly related to the machining time. In a word, energy-efficient control strategies are efficient for energy conservation. Although STSW and STSS2 may lead to the machining postponement, their effects are small. For urgent machining tasks, STSS1 can be used to reduce energy consumption and will not change the makespan.
Table 7.
Sustainability evaluation of different process planning.
Moreover, the influence of different strategies is disparate, especially for energy consumption. The largest reduction of energy consumption is from Planning 2, which reaches 6448.8 kJ (26.2%). In addition, the control strategy will change our decision-making of process planning. If control strategies are not adopted, Planning 3 is the best choice under the consideration of energy consumption and machining cost, and Planning 1 ranks second. However, when using the control strategies, Planning 2 is second from the comparison of .
In addition, the original energy consumption and saving energy consumption of different setup processes can be obtained, as shown in Figure 8. For Planning 1, the energy consumption of Setup 2 is the largest, and energy conservation is also the largest considering the STSW strategy. The energy saving proportions of Setup 1, Setup 2, and Setup 3 are similar, which are 36%, 50%, and 43%, respectively. The results also show that a larger setup time will generate more energy saving for the STSW strategy, because it causes a longer waiting time of the machine tool. For Planning 2, the largest energy consumption is mainly from Setup 2, and its energy conservation is also the largest, which reaches 81%. Since the setup time of Setup 1, 5, 6 are too short, no strategy will be applied. For Planning 3, the largest energy consumption comes from Setup 2, and its energy-saving proportion can reach 77%. Energy conservation of Setup 5 ranks second to that of Setup 2, which is 37%. In terms of the total energy saving proportions, Planning 1 is the best, which can verify that the STSW is better than STSS1 and STSS2 in the aspect of energy saving.
Figure 8.
Original energy consumption and energy conservation for the three plannings. (a) Energy consumption of Planning 1; (b) Energy consumption of Planning 2; (c) Energy consumption of Planning 3.
6.3. Discussions
In this study, three indicators are adopted to evaluate the sustainability of process planning considering energy-efficient control strategies of single CNC machine tool. The case study shows that the reduction in energy consumption reaches 25%, compared with traditional process planning, which proves that the control strategies are efficient for the reduction of energy consumption. Moreover, a bi-level energy-efficient decision-making mechanism is proposed by using random forests to address the selection of control strategies. The accuracy of the classification results reaches 97.5% and is better than some common algorithms, such as ANN and SVM. The running time of ten experiments is 0.334 s, which shows that random forests can also be suitable for the classification problems in the mechanical engineering field.
Furthermore, the proposed sustainability evaluation method can be used in the computer-aided process planning (CAPP), and the control strategies can be integrated into numerical control (NC) codes of CNC machine tools. Then the energy consumption of machine tools can be reduced automatically, which has a certain application value for energy consumption reduction of manufacturing processes. Furthermore, the proposed energy-efficient control methods can be used in some other production processes, such as production scheduling and logistics management.
In addition, there are also some drawbacks in our approach. On the one hand, it is not practical for operators to provide the weights of indicators directly as the input of the energy-efficient decision-making mechanism. In the actual production, many factors will influence decision-making, such as policies and regulations, delivery date, production budget, and production quality. It is vital to establish the relationship between the weights and production factors. On the other hand, there are many factors which are used as the inputs of random forests, and the importance degrees of different factors need to be analyzed to reveal the relationship between the factors and the decision-making results in the future research.
7. Concluding Remarks
In this study, a sustainability evaluation method of process planning considering energy-efficient control strategies has been developed. First, according to the energy consumption curve of machining processes, four energy-efficient control strategies of a single CNC machine tool are proposed. Then, a bi-level energy-efficient decision-making mechanism by using the integration of random forests and the TLBO algorithm is established to select the appropriate control strategy on different occasions. Third, sustainability evaluation of process planning is established. Finally, a pedestal part machined by a CNC 3-axis vertical milling machine tool is used to verify the proposed methods. The results show that the decline proportion of energy consumption reaches 25%, which proves that the control strategies are efficient for energy consumption reduction. Through using the random forests, the accuracy of the classification results reaches 97.5%, which is better than some common algorithms, such as ANN and SVM. The running time of ten experiments is 0.334 s, which shows that random forests can also be suitable for the classification problems in the manufacturing engineering field.
The proposed approach in this study combines the energy-efficient control strategies with process planning of single CNC machine tools, which can improve the energy saving effectiveness of the whole machining processes. The proposed sustainability evaluation method can be embedded into CAPP, and the control strategies can be integrated into the NC codes of a CNC machine tool. Then the energy consumption of machine tools can be reduced automatically, which has a certain application value for energy consumption reduction of manufacturing processes. In addition, the proposed energy-efficient control methods can be used in other production processes, such as production scheduling and logistics management.
Future work includes the application research of the control strategies in CAPP and NC code generation process to realize the energy-efficient control of CNC machine tools, which has a good application prospect. Moreover, many factors influence the control strategy selection and application, such as inertia, warmup, sequential setups, or safety issues, but the importance degree of each factor is different. The importance analysis should be conducted to remove unimportant factors.
Author Contributions
Conceptualization, P.J.; methodology, C.Z.; formal analysis, C.Z.; data curation, P.J.; writing—original draft preparation, C.Z.; writing—review and editing, C.Z.
Acknowledgments
This research was funded by the National Natural Science Foundation of China (No. 51275396) and the Natural Science Foundation of Jiangsu Province (No. BK20170190), China.
Conflicts of Interest
The authors declare no conflict of interest.
References
- Koren, Y. Globalization and Manufacturing Paradigms; John Wiley & Sons, Inc.: Hoboken, NJ, USA, 2010. [Google Scholar]
- O’Driscoll, E.; O’Donnell, G.E. Industrial power and energy metering-a state-of-the-art review. J. Clean. Prod. 2013, 41, 53–64. [Google Scholar] [CrossRef]
- Sun, W.; Hou, Y.; Guo, L. Analyzing and forecasting energy consumption in China’s manufacturing industry and its subindustries. Sustainability 2019, 11, 99. [Google Scholar] [CrossRef]
- Zhou, G.; Lu, Q.; Xiao, Z.; Zhou, C.; Tian, C. Cutting parameter optimization for machining operations considering carbon emissions. J. Clean. Prod. 2019, 208, 937–950. [Google Scholar] [CrossRef]
- Frigerio, N.; Matta, A. Energy-efficient control strategies for machine tools with stochastic arrivals. Ieee Trans. Automat. Sci. Eng. 2015, 12, 50–61. [Google Scholar] [CrossRef]
- Li, L.; Li, C.; Tang, Y.; Li, L. An integrated approach of process planning and cutting parameter optimization for energy-aware CNC machining. J. Clean. Prod. 2017, 162, 458–473. [Google Scholar] [CrossRef]
- Zhang, C.; Gu, P.; Jiang, P. Low-carbon scheduling and estimating for a flexible job shop based on carbon footprint and carbon efficiency of multi-job processing. Proc. I. Mech. Eng. B-J. Eng. 2015, 229, 328–342. [Google Scholar] [CrossRef]
- Newman, S.T.; Nassehi, A.; Imani-Asrai, R.; Dhokia, V. Energy efficient process planning for CNC machining. Cirp J. Manuf. Sci. Technol. 2012, 5, 127–136. [Google Scholar] [CrossRef]
- Bladh, I. Energy Efficiency in Manufacturing; European Commission: Berlin, German, 2009. [Google Scholar]
- Dahmus, J.B.; Gutowski, T. An environmental analysis of machining. In ASME 2004 International Mechanical Engineering Congress and Exposition; American Society of Mechanical Engineers: Anaheim, CA, USA, 2004. [Google Scholar]
- Tian, G.; Chu, J.; Liu, Y.; Ke, H.; Zhao, X.; Xu, G. Expected energy analysis for industrial process planning problem with fuzzy time parameters. Comput. Chem. Eng. 2011, 35, 2905–2912. [Google Scholar] [CrossRef]
- Zhang, Y.; Ge, L. Method for process planning optimization with energy efficiency consideration. Int. J. Adv. Manuf. Technol. 2015, 77, 2197–2207. [Google Scholar] [CrossRef]
- Shojaeipour, S. Sustainable manufacturing process planning. Int. J. Adv. Manuf. Technol. 2015, 78, 1347–1360. [Google Scholar] [CrossRef]
- Choi, Y.; Xirouchakis, P. A holistic production planning approach in a reconfigurable manufacturing system with energy consumption and environmental effects. Int. J. Comput. Integr. Manuf. 2015, 28, 379–394. [Google Scholar] [CrossRef]
- He, Y.; Li, Y.; Wu, T.; Sutherland, J.W. An energy-responsive optimization method for machine tool selection and operation sequence in flexible machining job shops. J. Clean. Prod. 2015, 87, 245–254. [Google Scholar] [CrossRef]
- Dai, M.; Tang, D.; Xu, Y.; Li, W. Energy-aware integrated process planning and scheduling for job shops. Proc. I. Mech. Eng. B-J. Eng. 2015, 229, 13–26. [Google Scholar] [CrossRef]
- Wang, S.; Lu, X.; Li, X.X.; Li, W.D. A systematic approach of process planning and scheduling optimization for sustainable machining. J. Clean. Prod. 2015, 87, 914–929. [Google Scholar] [CrossRef]
- Mouzon, G.; Yildirim, M.B.; Twomey, J. Operational methods for minimization of energy consumption of manufacturing equipment. Int. J. Prod. Res. 2007, 45, 4247–4271. [Google Scholar] [CrossRef]
- Mashaei, M.; Lennartson, B. Energy reduction in a pallet-constrained flow shop through on–off control of idle machines. IEEE Trans. Automat. Sci. Eng. 2013, 10, 45–56. [Google Scholar] [CrossRef]
- Yoon, H.; Kim, E.; Kim, M.; Lee, J.; Lee, G.; Ahn, S. Towards greener machine tools-A review on energy saving strategies and technologies. Renew. Sust. Energ. Rev. 2015, 48, 870–891. [Google Scholar] [CrossRef]
- Yildirim, M.B.; Mouzon, G. Single-machine sustainable production planning to minimize total energy consumption and total completion time using a multiple objective genetic algorithm. IEEE Trans. Eng. Manag. 2012, 59, 585–597. [Google Scholar] [CrossRef]
- Shrouf, F.; Ordieres-Meré, J.; García-Sánchez, A.; Ortega-Mier, M. Optimizing the production scheduling of a single machine to minimize total energy consumption costs. J. Clean. Prod. 2014, 67, 197–207. [Google Scholar] [CrossRef]
- Lin, W.; Yu, D.Y.; Zhang, C.; Liu, X.; Zhang, S.; Tian, Y.; Liu, S.; Xie, Z. A multi-objective teaching−learning-based optimization algorithm to scheduling in turning processes for minimizing makespan and carbon footprint. J. Clean. Prod. 2015, 101, 337–347. [Google Scholar] [CrossRef]
- Breiman, L. Random forests. Mach. Learn. 2001, 45, 5–32. [Google Scholar] [CrossRef]
- Kandaswamy, K.K.; Chou, K.; Martinetz, T.; Möller, S.; Suganthan, P.N.; Sridharan, S.; Pugalenthi, G. AFP-Pred: A random forest approach for predicting antifreeze proteins from sequence-derived properties. J. Theor. Biol. 2011, 270, 56–62. [Google Scholar] [CrossRef]
- Ristin, M.; Guillaumin, M.; Gall, J.; Van Gool, L. Incremental learning of random forests for large-scale image classification. IEEE T. Pattern Anal. 2016, 38, 490–503. [Google Scholar] [CrossRef]
- Kavitha, K.; Sarojamma, M. Monitoring of diabetes with data mining via CART Method. Int. J. Emerg. Technol. Adv. Eng. 2012, 2, 157–162. [Google Scholar]
- Martínez-Muñoz, G.; Suárez, A. Out-of-bag estimation of the optimal sample size in bagging. Pattern Recogn. 2010, 43, 143–152. [Google Scholar] [CrossRef]
- Rao, R.V.; Savsani, V.J.; Vakharia, D.P. Teaching-learning-based optimization: A novel method for constrained mechanical design optimization problems. Comput. Aided Des. 2011, 43, 303–315. [Google Scholar] [CrossRef]
- Zhang, C.; Jiang, P.; Zhang, L.; Gu, P. Energy-aware integration of process planning and scheduling of advanced machining workshop. Proc. I. Mech. Eng. B-J. Eng. 2017, 231, 2040–2055. [Google Scholar] [CrossRef]
- Pascoal, F.; Silveira, J. Sustainable machining-correlation of the optimization by minimum energy, minimum manufacturing time and cost of production. In Proceedings of the 11th International Conference on Manufacturing Research, Cranfield, Bedfordshire, UK, 19–20 September 2013. [Google Scholar]
- Esawi, A.M.K.; Ashby, M.F. Cost estimates to guide pre-selection of processes. Mater. Des. 2003, 24, 605–616. [Google Scholar] [CrossRef]
- Grodzevich, O.; Romanko, O. Normalization and other topics in multi-objective optimization. In Proceedings of the Fields-MITACS Industrial Problems Workshop, Toronto, ON, Canada, 14–18 August 2006. [Google Scholar]
© 2019 by the authors. Licensee MDPI, Basel, Switzerland. This article is an open access article distributed under the terms and conditions of the Creative Commons Attribution (CC BY) license (http://creativecommons.org/licenses/by/4.0/).







