Sustainable Intensification with Cereal-Legume Intercropping in Eastern and Southern Africa
Abstract
1. Introduction
2. Materials and Methods
2.1. Study Areas and Treatments
2.2. Study Design
2.3. Statistical Analysis
2.3.1. Crop Yield
2.3.2. Indicators Production Risk
2.3.3. Indicators of Input Efficiency
2.3.4. Indicators of Agricultural Income
3. Results
3.1. Cereal Yields, Variability and Risk
3.2. Pigeonpea Yields and Variability
3.3. Input Use Efficiency
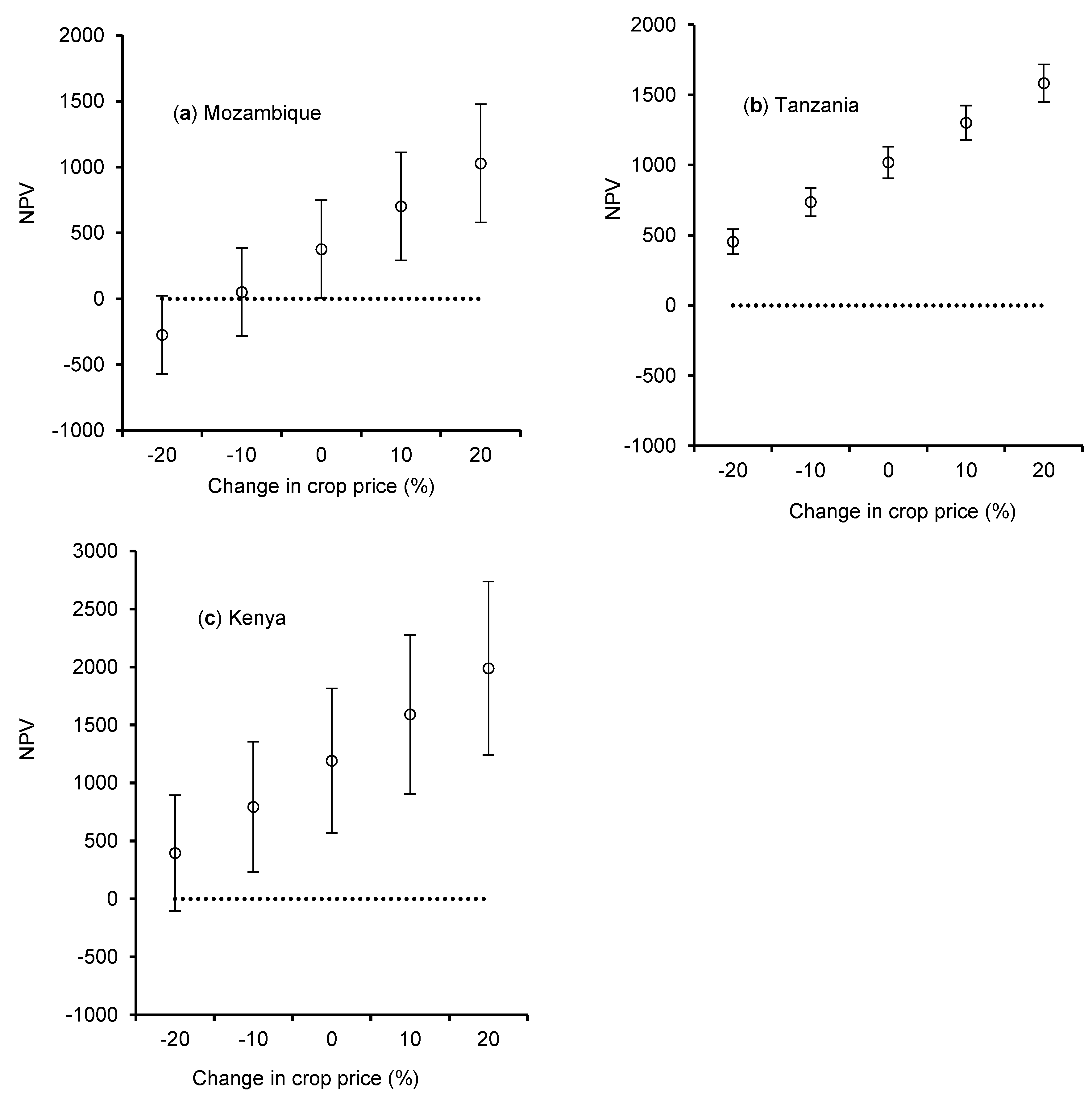
3.4. Profitability of Fertilizer Use
4. Discussion
5. Conclusions
Author Contributions
Funding
Acknowledgments
Conflicts of Interest
References
- Panel, M. Sustainable Intensification: A New Paradigm for African Agriculture; Imperial College: London, UK, 2013; p. 36. [Google Scholar]
- Sánchez, P.A. En route to plentiful food production in Africa. Nat. Plants 2015, 1, 1–2. [Google Scholar] [CrossRef]
- Vanlauwe, B.; Coyne, D.; Gockowski, J.; Hauser, S.; Huising, J.; Masso, C.; Nziguheba, G.; Schut, M.; Van Asten, P. Sustainable intensification and the African smallholder farmer. Curr. Opin. Environ. Sustain. 2014, 8, 15–22. [Google Scholar] [CrossRef]
- Lobell, D.B.; Bänziger, M.; Magorokosho, M.C.; Vivek, B. Nonlinear heat effects on African maize as evidenced by historical yield trials. Nat. Clim. Chang. 2011, 1, 42–45. [Google Scholar] [CrossRef]
- Adhikari, U.; Nejadhashemi, A.P.; Woznicki, S.A. Climate change and eastern Africa: A review of impact on major crops. Food Energy Secur. 2015, 4, 110–132. [Google Scholar] [CrossRef]
- Shi, W.; Tao, F. Vulnerability of African maize yield to climate change and variability during 1961–2010. Food Secur. 2014, 6, 471–481. [Google Scholar] [CrossRef]
- Nkonya, E.; Anderson, W.; Kato, E.; Koo, J.; Mirzabaev, A.; von Braun, J.; Meyer, S. Global Cost of Land Degradation. In Economics of Land Degradation and Improvement; Nkonya, E., Mirzabaev, A., von Braun, J., Eds.; Springer International: Cham, Switzerland, 2016; pp. 215–259. [Google Scholar]
- Snapp, S.S.; Blackie, M.J.; Gilbert, R.A.; Bezner-Kerr, R.; Kanyama-Phiri, G.Y. Biodiversity can support a greener revolution in Africa. Proc. Natl. Acad. Sci. USA 2010, 107, 20840–20845. [Google Scholar] [CrossRef]
- Pretty, J.; Toulmin, C.; Williams, S. Sustainable intensification in African agriculture. Int. J. Agric. Sustain. 2011, 9, 5–24. [Google Scholar] [CrossRef]
- Pretty, J.N. The sustainable intensification of agriculture. Natl. Res. Forum 1997, 21, 247–256. [Google Scholar] [CrossRef]
- Campbell, B.M.; Thornton, P.; Zougmoré, R.; van Asten, P.; Lipper, L. Sustainable intensification: What is its role in climate smart agriculture? Curr. Opin. Environ. Sustain. 2014, 8, 39–43. [Google Scholar] [CrossRef]
- Himmelstein, J.; Ares, A.; Gallagher, D.; Myers, J. A Meta-Analysis of intercropping in Africa: Impacts on crop yield, farmer income, and integrated pest management effects. Int. J. Agric. Sustain. 2017, 15, 1–10. [Google Scholar] [CrossRef]
- Machado, S. Does intercropping have a role in modern agriculture? J. Soil Wat. Conserv. 2009, 64, 55A–57A. [Google Scholar] [CrossRef]
- Westphal, E. Pulses in Ethiopia, Their Taxonomy and Agricultural Significance; Centre for Agricultural Publishing and Documentation: Wageningen, The Netherlands, 1974; p. 275. [Google Scholar]
- Rogé, P.; Snapp, S.; Kakwera, M.N.; Mungai, L.; Jambo, I.; Peter, B. Ratooning and perennial staple crops in Malawi. A review. Agron. Sustain. Dev. 2016, 36, 50. [Google Scholar] [CrossRef]
- Odeny, D.A. The potential of pigeonpea (Cajanus cajan (L.) Millsp.) in Africa. Natl. Res. Forum 2007, 31, 297–305. [Google Scholar] [CrossRef]
- Rusinamhodzi, L.; Corbeels, M.; Nyamangara, J.; Giller, K.E. Maize–grain legume intercropping is an attractive option for ecological intensification that reduces climatic risk for smallholder farmers in central Mozambique. Field Crops Res. 2012, 136, 12–22. [Google Scholar] [CrossRef]
- Myaka, F.M.; Sakala, W.D.; Adu-Gyamfi, J.J.; Kamalongo, D.; Ngwira, N.; Odgaard, R.; Nielsen, N.E.; Høgh-Jensen, H. Yields and accumulation of N and P in farmer-managed intercrops of maize-pigeonpea in semi-arid Africa. Plant Soil 2006, 285, 207–220. [Google Scholar] [CrossRef]
- Adu-Gyamfi, J.J.; Myaka, F.A.; Sakala, W.D.; Odgaard, R.; Vesterager, J.M.; Høgh-Jensen, H. Biological nitrogen fixation and nitrogen and phosphorus budgets in farmer-managed intercrops of maize–pigeonpea in semi-arid southern and eastern Africa. Plant Soil 2007, 295, 127–136. [Google Scholar] [CrossRef]
- Kimaro, A.A.; Timmer, V.R.; Chamshama, S.O.A.; Ngaga, Y.N.; Kimaro, D.A. Competition between maize and pigeonpea in semi-arid Tanzania: Effect on yields and nutrition of crops. Agric. Ecosyst. Environ. 2009, 134, 115–125. [Google Scholar] [CrossRef]
- Orr, A.; Kabombo, B.; Roth, C.; Harris, D.; Doyle, C. Adoption of integrated food-energy systems: Improved cookstoves and pigeonpea in southern Malawi. Exp. Agric. 2015, 51, 191–209. [Google Scholar] [CrossRef]
- Monaco, G.L. Competitiveness of African pigeonpea exports in international markets. SAT Ej. 2006, 2, 3–24. [Google Scholar]
- Shiferaw, B.; Okello, J.; Muricho, G.; Omiti, J.; Silim, S.; Jones, R. Unlocking the Potential of High-Value Legumes in the Semi-Arid Regions: Analyses of the Pigeonpea Value chains in Kenya; Research Report No. 1; International Crops Research Institute for the Semi-Arid Tropics: Telangana, India, 2008; 52p. [Google Scholar]
- Kundy, A.C.; Mponda, O.; Mkandawile, C.; Mkamilo, G. Yield evaluation of eighteen pigeon pea (Cajanus cajan (L.) Millsp.) genotypes in south eastern Tanzania. Eur. J. Phys. Agric. Sci. 2015, 3, 9–14. [Google Scholar]
- Sogbedji, J.M.; Van, H.M.; Agbeko, K.J. Cover cropping and nutrient management strategies for maize production in Western Africa. Agron. J. 2005, 98, 883–889. [Google Scholar] [CrossRef]
- Waddington, S.R.; Mekuria, M.; Siziba, S.; Karigwindi, J. Long-term yield sustainability and financial returns from grain legume-maize intercrops on a sandy soil in subhumid north central Zimbabwe. Exp. Agric. 2007, 43, 489–503. [Google Scholar] [CrossRef]
- Mungai, L.M.; Snapp, S.; Messina, J.P.; Chikowo, R.; Smith, A.; Anders, E.; Richardson, R.B.; Li, G. Smallholder farms and the potential for sustainable intensification. Front. Plant Sci. 2016, 17, 1720. [Google Scholar] [CrossRef]
- Snapp, S.; Kanyama-Phiri, G.; Kamanga, B.; Gilbert, R.; Wellard, K. Farmer and researcher partnership in Malawi: Developing soil fertility technologies for near-term and far-term. Exp. Agric. 2002, 2, 411–431. [Google Scholar] [CrossRef]
- Smith, A.; Snapp, S.; Chikowo, R.; Thorne, P.; Bekunda, M.; Glover, J. Measuring sustainable intensification in smallholder agroecosystems: A review. Glob. Food Secur. 2017, 12, 127–138. [Google Scholar] [CrossRef]
- Kelly, V.A. Factors Affecting Demand for Fertilizer in Sub-Saharan Africa; Agriculture and Rural Development Discussion Paper 23; The World Bank: Washington, DC, USA, 2006; 72p. [Google Scholar]
- World Bank. Lending Interest Rate (%) for 2015. Available online: http://data.worldbank.org/indicator/FR.INR.LEND/countries (accessed on 25 June 2017).
- Chikowo, R.; Mapfumo, P.; Nyamugafata, P.; Giller, K.E. Woody legume fallow productivity, biological N2-fixation and residual benefits to two successive maize crops in Zimbabwe. Plant Soil 2004, 262, 303–315. [Google Scholar] [CrossRef]
- Isaac, M.E.; Kimaro, A.A. Diagnosis of nutrient imbalances with vector analysis in agroforestry systems. J. Environ. Qual. 2011, 40, 860–866. [Google Scholar] [CrossRef]
- Vanlauwe, B.; Wendt, J.; Giller, K.E.; Corbeels, M.; Gerard, B.; Nolte, C. A fourth principle is required to define Conservation Agriculture in sub-Saharan Africa: The appropriate use of fertilizer to enhance crop productivity. Field Crops Res. 2014, 155, 10–13. [Google Scholar] [CrossRef]
- Leakey, R.R.B. Multifunctional Agriculture: Achieving Sustainable Development in Africa; Elsevier: San Diego, CA, USA, 2017; 480p. [Google Scholar]
- Phiri, A.T.; Msaky, J.J.; Mrema, J.; Kanyama-Phiri, G.Y.; Harawa, R. Assessment of nutrient and biomass yield of medium and long duration pigeon pea in a pigeon pea-groundnut intercropping system in Malawi. J. Sustain. Soc. 2013, 2, 36–48. [Google Scholar]
- Kihara, J.; Huising, J.; Nziguheba, G.; Waswa, B.S.; Njoroge, S.; Kabambe, V.; Iwuafor, E.; Kibunja, C.; Esilaba, A.O.; Coulibaly, A. Maize response to macronutrients and potential for profitability in sub-Saharan Africa. Nutr. Cycl. Agroecosyst. 2015, 105, 171–181. [Google Scholar] [CrossRef]
- Kamanga, B.C.G.; Waddington, S.R.; Robertson, M.J.; Giller, K.E. Risk analysis of maize-legume crop combinations with smallholder farmers varying in resource endowment in central Malawi. Exp. Agric. 2010, 46, 1–21. [Google Scholar] [CrossRef]
- Sirrine, D.; Shennan, C.; Snapp, S.; Kanyama-Phiri, G.; Kamanga, B.; Sirrine, J.R. Improving recommendations resulting from on-farm research: Agroforestry, risk, profitability and vulnerability in southern Malawi. Int. J. Agric. Sustain. 2010, 8, 290–304. [Google Scholar] [CrossRef]
- Snapp, S.; Kerr, R.B.; Smith, A.; Ollenburger, M.; Mhango, W.; Shumba, L.; Gondwe, T.; Kanyama-Phiri, G. Modeling and participatory, farmer-led approaches to food security in a changing world: A case study from Malawi. Sécheresse 2014, 24, 350–358. [Google Scholar]
- Snapp, S.; Grabowski, P.; Chikowo, R.; Smith, A.; Anders, E.; Sirrine, D.; Chimonyo, V.; Bekunda, M. Maize yield and profitability tradeoffs with social, human and environmental performance: Is sustainable intensification feasible? Agric. Syst. 2018, 162, 77–88. [Google Scholar] [CrossRef]





| Country | District/County | Agro-Ecology | Dominant Soils ‡ | Fertilizer Dose † | N Rate (kg ha−1) | P Rate (kg ha−1) |
|---|---|---|---|---|---|---|
| Mozambique | Barue | Sub-humid | Ferralsols | Full | 73, 145 | 30 |
| Half | 15 | 30 | ||||
| Gorongosa | Sub-humid | Lixisols | Full | 73 | 30 | |
| Half | 15 | 30 | ||||
| Moatize | Sub-humid | Lixisols | Full | 80 | 20 | |
| Half | 17 | 10 | ||||
| Tsangano | Sub-humid | Lixisols | Full | 80 | 20 | |
| Half | 34 | 17 | ||||
| Angonia | Sub-humid | Lixisols | Full | 68 | 35 | |
| Half | 34 | 17 | ||||
| Vanduzi | Sub-humid | Lixisol | Full | 73 | 30 | |
| Half | 15 | 30 | ||||
| Susundenga | Semi-arid | Lixisol | Full | 73 | 30 | |
| Half | 15 | 30 | ||||
| Manica | Semi-arid | Phaeozems | Full | 73 | 30 | |
| Half | 15 | 30 | ||||
| Tanzania | Arumeru | Sub-humid | Leptosols | Full | 60 | 20 |
| Hai | Sub-humid | Nitisols | Full | 60 | 20 | |
| Kondoa | Semi-arid | Leptosols | Full | 60 | 20 | |
| Moshi | Sub-humid | Nitisols | Full | 60 | 20 | |
| Siha | Sub-humid | Nitisols | Full | 60 | 20 | |
| Kenya | Makueni | Semi-arid | Ferralsols | Full | 60 | 20 |
| Half | 30 | 10 |
| Crop | Country | Treatment | Mean Yield | CV (%) | % Change in CV |
|---|---|---|---|---|---|
| Maize | Mozambique | Intercrop-Unfertilized | 829 | 107.9 | |
| Intercrop + Full | 3165 (282.1) * | 47.6 | −55.9 | ||
| Intercrop + Half | 2623 (216.6) | 57.6 | −46.7 | ||
| Sole maize + Full | 3267 (294.3) | 55.8 | −48.3 | ||
| Tanzania | Intercrop-Unfertilized | 1625 | 45.6 | ||
| Intercrop + Full | 3130 (92.6) | 22.2 | −51.4 | ||
| Sole maize + Full | 3021 (85.9) | 24.2 | −47.0 | ||
| Kenya | Intercrop-Unfertilized | 1230 | 59.6 | ||
| Intercrop + Full | 2102 (71.0) | 35.6 | −40.2 | ||
| Intercrop + Half | 1917 (55.9) | 32.7 | −45.1 | ||
| Pigeonpea | Mozambique | Intercrop-Unfertilized | 252 | 93.2 | |
| Intercrop + Full | 1384 (449.5) | 77.7 | −16.6 | ||
| Intercrop + Half | 1307 (419.1) | 88.0 | −5.5 | ||
| Sole Pigeonpea + Full | 3187 (1164.7) | 43.4 | −53.4 | ||
| Tanzania | Intercrop-Unfertilized | 346 | 71.4 | ||
| Intercrop + Full | 994 (187.2) | 62.1 | −13.0 | ||
| Kenya | Intercrop-Unfertilized | 904 | 60.6 | ||
| Intercrop + Full | 1191 (31.7) | 29.0 | −52.2 | ||
| Intercrop + Half | 970 (7.3) | 38.3 | −36.8 |
| Nutrient | Country | Treatment | Partial Factor Productivity * | Agronomic Efficiency ** |
|---|---|---|---|---|
| Nitrogen | Mozambique | Intercrop + Half | 148.3 (137.7–158.9) | 47.1 (38.0–56.2) |
| Intercrop + Full | 42.9 (26.1–59.7) | 16.6 (0.4–56.2) | ||
| Sole maize + Full | 34.6 (26.7–42.5) | 14.4 (7.6–21.2) | ||
| Tanzania | Intercrop + Full | 52.3 (51.2–53.5) | 25.5 (24.0–26.9) | |
| Sole maize + Full | 50.4 (48.4–52.3) | 25.1 (22.4–27.8) | ||
| Kenya | Intercrop + Half | 63.9 (54.2–73.6) | 22.9 (13.3–32.5) | |
| Intercrop + Full | 35.0 (25.3–44.8) | 14.5 (5.0–24.1) | ||
| Phosphorus | Mozambique | Intercrop + Half | 145.7 (130.9–160.4) | 61.4 (46.7–76.1) |
| Intercrop + Full | 123.9 (100.4–147.4) | 48.7 (22.5–75.0) | ||
| Sole maize + Full | 84.8 (73.7–95.8) | 35.7 (24.7–46.7) | ||
| Tanzania | Intercrop + Full | 157.0 (153.6–160.4) | 76.4 (72.1–80.7) | |
| Sole maize + Full | 151.1 (145.2–157.0) | 75.3 (67.3–83.3) | ||
| Kenya | Intercrop + Half | 191.7 (162.5–220.9) | 68.7 (39.9–97.4) | |
| Intercrop + Full | 105.1 (75.9–134.3) | 43.6 (14.9–72.3) |
| Country | Treatment | BCR | MRR | NPV-5 Year |
|---|---|---|---|---|
| Mozambique | Intercrop-Unfertilized | 0.7 (0.3–1.2) * | NA | −301.1 (−796.3–194.1) |
| Intercrop + Full | 1.1 (1.0–1.3) * | 38.7 § | 377.3 (−6.7–761.2) | |
| Intercrop + Half | 1.4 (1.2–1.5) | 145.2 | 733.5 (338.2–1128.8) | |
| Sole maize + Full | 0.7 (0.6–0.8) * | 33.7 § | −937.7 (−1092.7–−782.6) | |
| Tanzania | Intercrop-Unfertilized | 1.1 (1.0–1.1) * | NA | 67.2 (−55.5–189.9) |
| Intercrop + Full | 1.5 (1.4–1.6) | 177.7 | 1018.9 (906.9–1130.9) | |
| Sole maize + Full | 1.4 (1.3–1.4) | 290.2 | 574.4 (488.8–659.9) | |
| Kenya | Intercrop-Unfertilized | 1.3 (0.9–1.6) * | NA | 593.3 (−156.1–1342.6) |
| Intercrop + Full | 1.4 (1.2–1.7) | 82.1 | 1192.3 (491.8–1892.9) | |
| Intercrop + Half | 1.4 (1.1–1.7) | 116.5 | 1019.7 (350.6–1688.8) |
© 2019 by the authors. Licensee MDPI, Basel, Switzerland. This article is an open access article distributed under the terms and conditions of the Creative Commons Attribution (CC BY) license (http://creativecommons.org/licenses/by/4.0/).
Share and Cite
Kiwia, A.; Kimani, D.; Harawa, R.; Jama, B.; Sileshi, G.W. Sustainable Intensification with Cereal-Legume Intercropping in Eastern and Southern Africa. Sustainability 2019, 11, 2891. https://doi.org/10.3390/su11102891
Kiwia A, Kimani D, Harawa R, Jama B, Sileshi GW. Sustainable Intensification with Cereal-Legume Intercropping in Eastern and Southern Africa. Sustainability. 2019; 11(10):2891. https://doi.org/10.3390/su11102891
Chicago/Turabian StyleKiwia, Abednego, David Kimani, Rebbie Harawa, Bashir Jama, and Gudeta W. Sileshi. 2019. "Sustainable Intensification with Cereal-Legume Intercropping in Eastern and Southern Africa" Sustainability 11, no. 10: 2891. https://doi.org/10.3390/su11102891
APA StyleKiwia, A., Kimani, D., Harawa, R., Jama, B., & Sileshi, G. W. (2019). Sustainable Intensification with Cereal-Legume Intercropping in Eastern and Southern Africa. Sustainability, 11(10), 2891. https://doi.org/10.3390/su11102891

