Forest-Cover Increase Does Not Trigger Forest-Fragmentation Decrease: Case Study from the Polish Carpathians
Abstract
:1. Introduction
- How has forest fragmentation changed in the study region since the 1860s (rates, trajectories)? What are regional differences and why did they occur?
- What is the relation between changes in forest fragmentation and rates of forest-cover change?
- Which structural elements of forest cover (patches, branches, corridors, perforations) have the strongest influence on forest fragmentation and its changes?
2. Materials and Methods
2.1. Study Area and Forest Data
2.2. Landscape Hypsometric Curve and Forest-Fragmentation Index
2.3. Quantifying Forest Fragmentation and Its Changes
2.4. Quantifying Potential Determinants of Forest Fragmentation
3. Results
3.1. Patterns of Forest Fragmentation and Its Relation to Forest Area
3.2. Forest-Fragmentation Trends
3.3. Dynamics of Forest Fragmentation and Structural Components
4. Discussion
5. Conclusions
Author Contributions
Acknowledgments
Conflicts of Interest
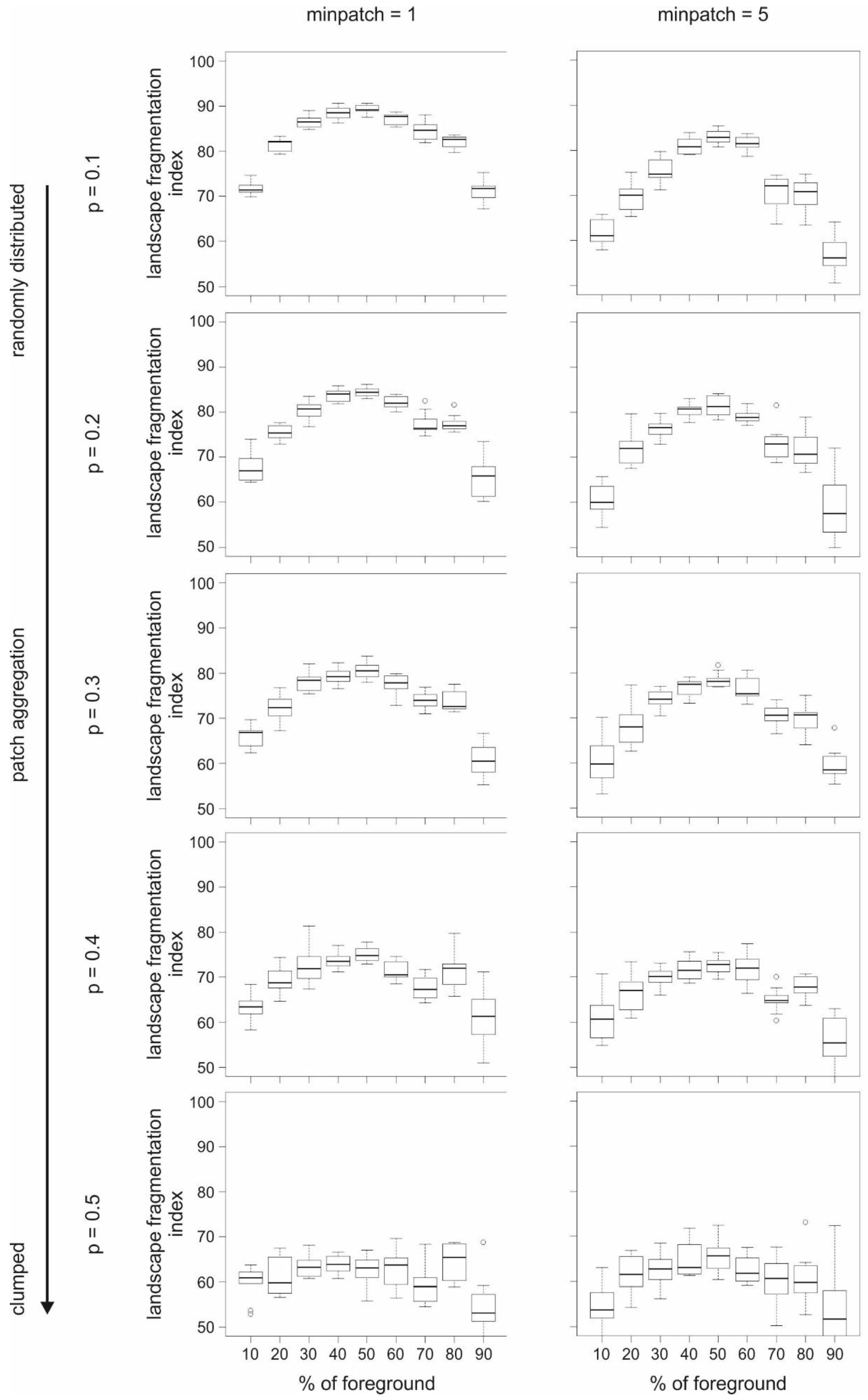
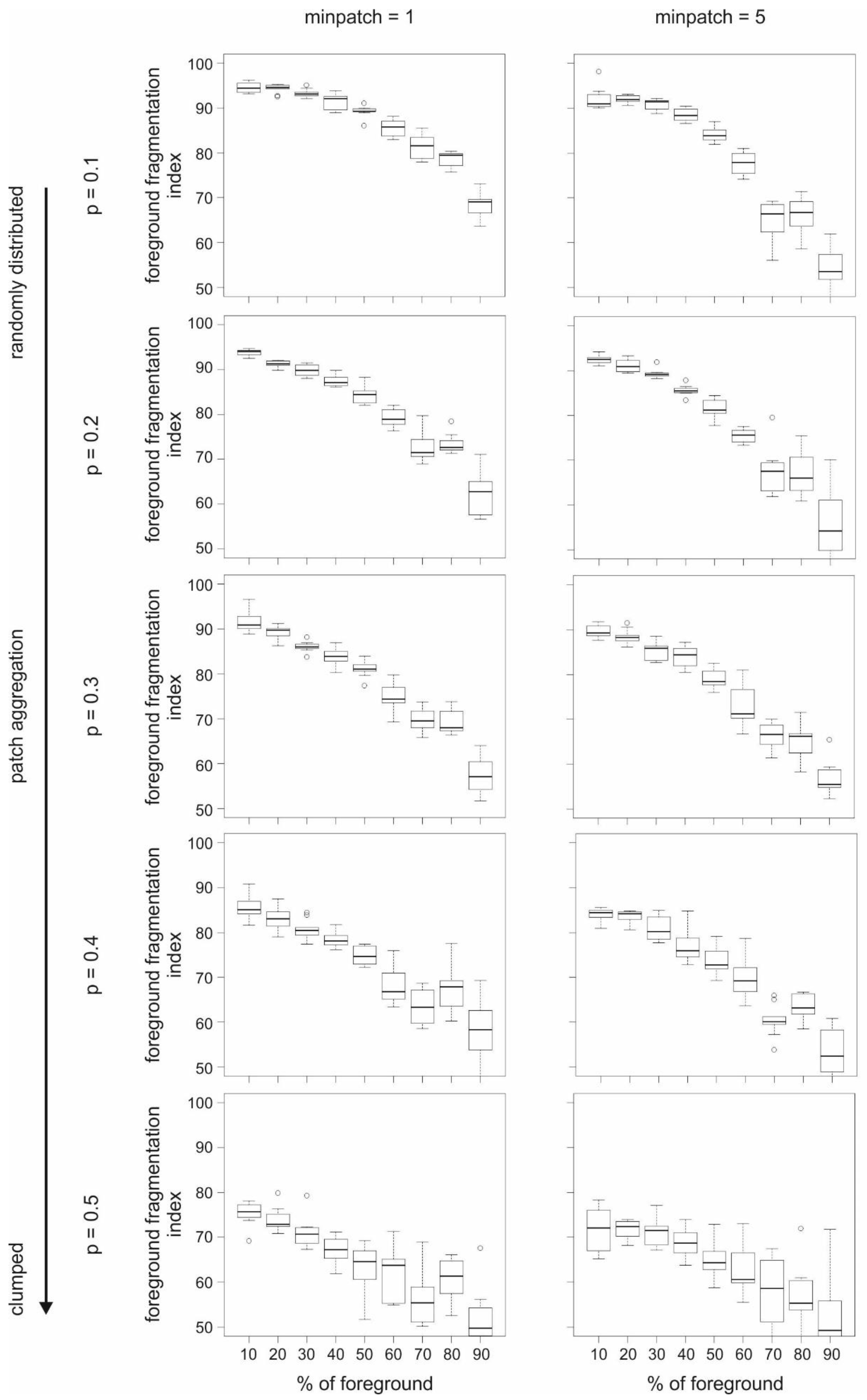
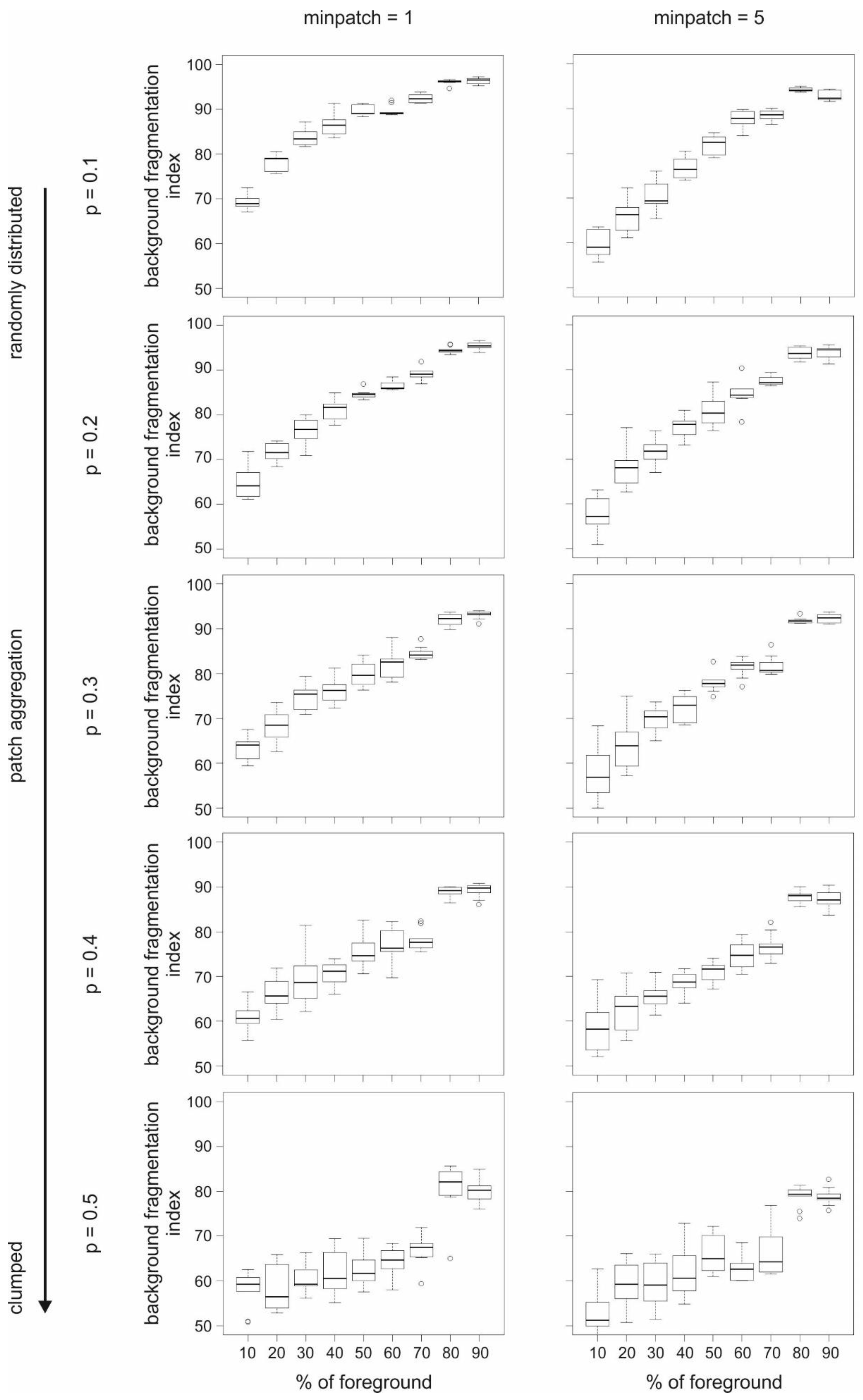
Appendix A. Description of a New Fragmentation Index Based on a Landscape Hypsometric Curve


- Class abundance distribution (A) being the proportion of the whole landscape area occupied by the foreground class; with 9 values ranging from 10% to 90%, with a 10% step;
- Patch aggregation/clumpiness (p), i.e., spatial distribution patterns of patches; with 5 values ranging from 0.1 (randomly distributed) to 0.5 (clumped), with a step of 0.1;
- Minimum patch size (minpatch) with 2 values: 1 or 5.


| minpatch = 1 | ||||
| p | frag | frag_FG | frag_BG | |
| 0.1 | (a) (+) 0.85 | (−) 0.89 | (+) 0.90 | |
| (b) (−) 0.86 | ||||
| 0.2 | (a) (+) 0.91 | (−) 0.94 | (+) 0.97 | |
| (b) (−) 0.84 | ||||
| 0.3 | (a) (+) 0.88 | (−) 0.96 | (+) 0.98 | |
| (b) (−) 0.83 | ||||
| 0.4 | (a) (+) 0.88 | (−) 0.94 | (+) 0.95 | |
| (b) (−) 0.67 | ||||
| 0.5 | (a) (+) 0.62 | (−) 0.93 | (+) 0.80 | |
| (b) (−) 0.31 | ||||
| minpatch = 5 | ||||
| 0.1 | (+) 0.97 | (−) 0.90 | (+) 0.96 | |
| (−) 0.91 | ||||
| 0.2 | (+) 0.87 | (−) 0.95 | (+) 0.97 | |
| (−) 0.89 | ||||
| 0.3 | (+) 0.92 | (−) 0.96 | (+) 0.98 | |
| (−) 0.91 | ||||
| 0.4 | (+) 0.89 | (−) 0.94 | (+) 0.96 | |
| (−) 0.76 | ||||
| 0.5 | (+) 0.83 | (−) 0.93 | (+) 0.86 | |
| (−) 0.82 | ||||


References
- Fardila, D.; Kelly, L.T.; Moore, J.L.; McCarthy, M.A. A systematic review reveals changes in where and how we have studied habitat loss and fragmentation over 20 years. Biol. Conserv. 2017, 212, 130–138. [Google Scholar] [CrossRef]
- Fischer, J.; Lindenmayer, D.B. Landscape modification and habitat fragmentation: A synthesis. Glob. Ecol. Biogeogr. 2007, 16, 265–280. [Google Scholar] [CrossRef]
- Haddad, N.M.; Brudvig, L.A.; Clobert, J.; Davies, K.F.; Gonzalez, A.; Holt, R.D.; Lovejoy, T.E.; Sexton, J.O.; Austin, M.P.; Collins, C.D.; et al. Habitat fragmentation and its lasting impact on Earth’s ecosystems. Sci. Adv. 2015, 1, e1500052. [Google Scholar] [CrossRef] [PubMed]
- Pfeifer, M.; Lefebvre, V.; Peres, C.A.; Banks-Leite, C.; Wearn, O.R.; Marsh, C.J.; Butchart, S.H.M.; Arroyo-Rodríguez, V.; Barlow, J.; Cerezo, A.; et al. Creation of forest edges has a global impact on forest vertebrates. Nature 2017, 551, 187–191. [Google Scholar] [CrossRef] [PubMed]
- Abdullah, S.A.; Nakagoshi, N. Forest fragmentation and its correlation to human land use change in the state of Selangor, peninsular Malaysia. For. Ecol. Manag. 2007, 241, 39–48. [Google Scholar] [CrossRef]
- Harper, G.J.; Steininger, M.K.; Tucker, C.J.; Juhn, D.; Hawkins, F. Fifty years of deforestation and forest fragmentation in Madagascar. Environ. Conserv. 2007, 34, 325–333. [Google Scholar] [CrossRef]
- Li, M.; Zhu, Z.; Vogelmann, J.E.; Xu, D.; Wen, W.; Liu, A. Characterizing fragmentation of the collective forests in southern China from multitemporal Landsat imagery: A case study from Kecheng district of Zhejiang province. Appl. Geogr. 2011, 31, 1026–1035. [Google Scholar] [CrossRef]
- Reddy, C.S.; Sreelekshmi, S.; Jha, C.S.; Dadhwal, V.K. National assessment of forest fragmentation in India: Landscape indices as measures of the effects of fragmentation and forest cover change. Ecol. Eng. 2013, 60, 453–464. [Google Scholar] [CrossRef]
- Ahmed, S.E.; Lees, A.C.; Moura, N.G.; Gardner, T.A.; Barlow, J.; Ferreira, J.; Ewers, R.M. Road networks predict human influence on Amazonian bird communities. Proc. R. Soc. B Biol. Sci. 2014, 281. [Google Scholar] [CrossRef] [PubMed]
- Molinario, G.; Hansen, M.C.; Potapov, P.V. Forest cover dynamics of shifting cultivation in the Democratic Republic of Congo: A remote sensing-based assessment for 2000–2010. Environ. Res. Lett. 2015, 10. [Google Scholar] [CrossRef]
- Tapia-Armijos, M.F.; Homeier, J.; Espinosa, C.I.; Leuschner, C.; de la Cruz, M. Deforestation and Forest Fragmentation in South Ecuador since the 1970s—Losing a Hotspot of Biodiversity. PLoS ONE 2015, 10, e0133701. [Google Scholar] [CrossRef] [PubMed]
- Liu, Y.; Feng, Y.; Zhao, Z.; Zhang, Q.; Su, S. Socioeconomic drivers of forest loss and fragmentation: A comparison between different land use planning schemes and policy implications. Land Use Policy 2016, 54, 58–68. [Google Scholar] [CrossRef]
- Sharma, M.; Areendran, G.; Raj, K.; Sharma, A.; Joshi, P.K. Multitemporal analysis of forest fragmentation in Hindu Kush Himalaya—A case study from Khangchendzonga Biosphere Reserve, Sikkim, India. Environ. Monit. Assess. 2016, 188. [Google Scholar] [CrossRef] [PubMed]
- Chakraborty, A.; Ghosh, A.; Sachdeva, K.; Joshi, P.K. Characterizing fragmentation trends of the Himalayan forests in the Kumaon region of Uttarakhand, India. Ecol. Inform. 2017, 38, 95–109. [Google Scholar] [CrossRef]
- Reddy, C.S.; Vazeed Pasha, S.; Satish, K.V.; Saranya, K.R.L.; Jha, C.S.; Krishna Murthy, Y.V.N. Quantifying nationwide land cover and historical changes in forests of Nepal (1930–2014): Implications on forest fragmentation. Biodivers. Conserv. 2017, 27, 91–107. [Google Scholar] [CrossRef]
- Rosa, I.M.D.; Gabriel, C.; Carreiras, J.M.B. Spatial and temporal dimensions of landscape fragmentation across the Brazilian Amazon. Reg. Environ. Chang. 2017, 17, 1687–1699. [Google Scholar] [CrossRef] [PubMed]
- Sharma, M.; Chakraborty, A.; Garg, J.K.; Joshi, P.K. Assessing forest fragmentation in north-western Himalaya: A case study from Ranikhet forest range, Uttarakhand, India. J. For. Res. 2017, 28, 319–327. [Google Scholar] [CrossRef]
- Ramachandran, R.M.; Roy, P.S.; Chakravarthi, V.; Sanjay, J.; Joshi, P.K. Long-term land use and land cover changes (1920–2015) in Eastern Ghats, India: Pattern of dynamics and challenges in plant species conservation. Ecol. Indic. 2018, 85, 21–36. [Google Scholar] [CrossRef]
- Kozak, J.; Estreguil, C.; Vogt, P. Forest cover and pattern changes in the Carpathians over the last decades. Eur. J. For. Res. 2007, 126, 77–90. [Google Scholar] [CrossRef]
- Zhou, W.; Huang, G.; Pickett, S.T.A.; Cadenasso, M.L. 90 Years of Forest Cover Change in an Urbanizing Watershed: Spatial and Temporal Dynamics. Landsc. Ecol. 2011, 26, 645–659. [Google Scholar] [CrossRef]
- Gong, C.; Yu, S.; Joesting, H.; Chen, J. Determining socioeconomic drivers of urban forest fragmentation with historical remote sensing images. Landsc. Urban Plan. 2013, 117, 57–65. [Google Scholar] [CrossRef]
- Gao, Q.; Yu, M. Discerning fragmentation dynamics of tropical forest and wetland during reforestation, Urban Sprawl, and policy shifts. PLoS ONE 2014, 9, e0113140. [Google Scholar] [CrossRef] [PubMed]
- Camarretta, N.; Puletti, N.; Chiavetta, U.; Corona, P. Quantitative changes of forest landscapes over the last century across Italy. Plant Biosyst. Int. J. Deal. All Asp. Plant Biol. 2017, 1–9. [Google Scholar] [CrossRef]
- Xie, H.; He, Y.; Zhang, N.; Lu, H. Spatiotemporal changes and fragmentation of forest land in Jiangxi Province, China. J. For. Econ. 2017, 29, 4–13. [Google Scholar] [CrossRef]
- Fahrig, L. Rethinking patch size and isolation effects: The habitat amount hypothesis. J. Biogeogr. 2013, 40, 1649–1663. [Google Scholar] [CrossRef]
- Meyfroidt, P.; Lambin, E.F. Global Forest Transition: Prospects for an End to Deforestation. Annu. Rev. Environ. Resour. 2011, 36, 343–371. [Google Scholar] [CrossRef]
- Mather, A.S. The forest transition. Area 1992, 24, 367–379. [Google Scholar]
- Grainger, A. The forest transition: An alternative approach. Area 1995, 27, 242–251. [Google Scholar]
- Rudel, T.K.; Coomes, O.T.; Moran, E.; Achard, F.; Angelsen, A.; Xu, J.; Lambin, E. Forest transitions: Towards a global understanding of land use change. Glob. Environ. Chang. 2005, 15, 23–31. [Google Scholar] [CrossRef]
- MacDonald, D.; Crabtree, J.R.; Wiesinger, G.; Dax, T.; Stamou, N.; Fleury, P.; Gutierrez Lazpita, J.; Gibon, A. Agricultural abandonment in mountain areas of Europe: Environmental consequences and policy response. J. Environ. Manag. 2000, 59, 47–69. [Google Scholar] [CrossRef]
- Price, B.; Kienast, F.; Seidl, I.; Ginzler, C.; Verburg, P.H.; Bolliger, J. Future landscapes of Switzerland: Risk areas for urbanisation and land abandonment. Appl. Geogr. 2015, 57, 32–41. [Google Scholar] [CrossRef]
- Pazúr, R.; Lieskovský, J.; Feranec, J.; Oťaheľ, J. Spatial determinants of abandonment of large-scale arable lands and managed grasslands in Slovakia during the periods of post-socialist transition and European Union accession. Appl. Geogr. 2014, 54, 118–128. [Google Scholar] [CrossRef]
- Kolecka, N.; Kozak, J.; Kaim, D.; Dobosz, M.; Ostafin, K.; Ostapowicz, K.; Wężyk, P.; Price, B. Understanding farmland abandonment in the Polish Carpathians. Appl. Geogr. 2017, 88, 62–72. [Google Scholar] [CrossRef]
- Baumann, M.; Kuemmerle, T.; Elbakidze, M.; Ozdogan, M.; Radeloff, V.C.; Keuler, N.S.; Prishchepov, A.V.; Kruhlov, I.; Hostert, P. Patterns and drivers of post-socialist farmland abandonment in Western Ukraine. Land Use Policy 2011, 28, 552–562. [Google Scholar] [CrossRef]
- Campagnaro, T.; Frate, L.; Carranza, M.L.; Sitzia, T. Multi-scale analysis of alpine landscapes with different intensities of abandonment reveals similar spatial pattern changes: Implications for habitat conservation. Ecol. Indic. 2017, 74, 147–159. [Google Scholar] [CrossRef]
- Terres, J.-M.; Scacchiafichi, L.N.; Wania, A.; Ambar, M.; Anguiano, E.; Buckwell, A.; Coppola, A.; Gocht, A.; Källström, H.N.; Pointereau, P.; et al. Farmland abandonment in Europe: Identification of drivers and indicators, and development of a composite indicator of risk. Land Use Policy 2015, 49, 20–34. [Google Scholar] [CrossRef]
- Munteanu, C.; Kuemmerle, T.; Keuler, N.S.; Müller, D.; Balázs, P.; Dobosz, M.; Griffiths, P.; Halada, L.; Kaim, D.; Király, G.; et al. Legacies of 19th century land use shape contemporary forest cover. Glob. Environ. Chang. 2015, 34, 83–94. [Google Scholar] [CrossRef]
- Munteanu, C.; Kuemmerle, T.; Boltiziar, M.; Lieskovský, J.; Mojses, M.; Kaim, D.; Konkoly-Gyuró, É.; Mackovčin, P.; Müller, D.; Ostapowicz, K.; et al. Nineteenth-century land-use legacies affect contemporary land abandonment in the Carpathians. Reg. Environ. Chang. 2017, 17, 2209–2222. [Google Scholar] [CrossRef]
- Lieskovský, J.; Bürgi, M. Persistence in cultural landscapes: A pan-European analysis. Reg. Environ. Chang. 2017, 18, 175–187. [Google Scholar] [CrossRef]
- Kozak, J.; Estreguil, C.; Troll, M. Forest cover changes in the northern Carpathians in the 20th century: A slow transition. J. Land Use Sci. 2007, 2, 127–146. [Google Scholar] [CrossRef]
- Bolliger, J.; Schmatz, D.; Pazúr, R.; Ostapowicz, K.; Psomas, A. Reconstructing forest-cover change in the Swiss Alps between 1880 and 2010 using ensemble modelling. Reg. Environ. Chang. 2017, 17, 2265–2277. [Google Scholar] [CrossRef]
- Loran, C.; Munteanu, C.; Verburg, P.H.; Schmatz, D.R.; Bürgi, M.; Zimmermann, N.E. Long-term change in drivers of forest cover expansion: An analysis for Switzerland (1850–2000). Reg. Environ. Chang. 2017, 17, 2223–2235. [Google Scholar] [CrossRef]
- Balon, J.; German, K.; Kozak, J.; Malara, H.; Widacki, W.; Ziaja, W. Regiony fizycznogeograficzne. In Karpaty Polskie; Warszyńska, J., Ed.; Uniwersytet Jagielloński: Kraków, Poland, 1995; pp. 117–130. ISBN 83-233-0852-7. [Google Scholar]
- Kozak, J. Forest Cover Changes and Their Drivers in the Polish Carpathian Mountains since 1800. In Reforesting Landscapes Linking Pattern and Process; Nagendra, H., Southworth, J., Eds.; Springer: Dordrecht, The Netherlands; Heidelberg, Germany; London, UK; New York, NY, USA, 2010; pp. 253–273. ISBN 978-1-4020-9655-6. [Google Scholar]
- Kozak, J.; Szwagrzyk, M. Have there been forest transitions? Forest transition theory revisited in the context of the Modifiable Areal Unit Problem. Area 2016, 48, 504–512. [Google Scholar] [CrossRef]
- Munteanu, C.; Radeloff, V.; Griffiths, P.; Halada, L.; Kaim, D.; Knorn, J.; Kozak, J.; Kuemmerle, T.; Lieskovsky, J.; Müller, D.; et al. Land change in the Carpathian region before and after major institutional changes. In Land-Cover and Land-Use Changes in Eastern Europe after the Collapse of the Soviet Union in 1991; Gutman, G., Radeloff, V., Eds.; Springer: Cham, Switzerland, 2017; pp. 57–90. ISBN 978-3-319-42636-5. [Google Scholar]
- Ślusarek, K. Rola gospodarcza lasów w dobrach ziemskich w Galicji w XIX w. Stud. Mater. Ośr. Kult. Leśne. 2014, 13, 357–374. [Google Scholar]
- Price, B.; Kaim, D.; Szwagrzyk, M.; Ostapowicz, K.; Kolecka, N.; Schmatz, D.R.; Wypych, A.; Kozak, J. Legacies, socio-economic and biophysical processes and drivers: The case of future forest cover expansion in the Polish Carpathians and Swiss Alps. Reg. Environ. Chang. 2017, 17, 2279–2291. [Google Scholar] [CrossRef]
- Ostafin, K.; Iwanowski, M.; Kozak, J.; Cacko, A.; Gimmi, U.; Kaim, D.; Psomas, A.; Ginzler, C.; Ostapowicz, K. Forest cover mask from historical topographic maps based on image processing. Geosci. Data J. 2017, 4, 29–39. [Google Scholar] [CrossRef]
- Vogt, P.; Riitters, K. GuidosToolbox: Universal digital image object analysis. Eur. J. Remote Sens. 2017, 50, 352–361. [Google Scholar] [CrossRef]
- Watts, R.D.; Compton, R.W.; McCammon, J.H.; Rich, C.L.; Wright, S.M.; Owen, T.; Ouren, D.S. Roadless space of the conterminous United States. Science 2007, 316, 736–738. [Google Scholar] [CrossRef] [PubMed]
- Nega, T.; Smith, C.; Bethune, J.; Fu, W.H. An analysis of landscape penetration by road infrastructure and traffic noise. Comput. Environ. Urban Syst. 2012, 36, 245–256. [Google Scholar] [CrossRef]
- Ibisch, P.L.; Hoffmann, M.T.; Kreft, S.; Pe’Er, G.; Kati, V.; Biber-Freudenberger, L.; DellaSala, D.A.; Vale, M.M.; Hobson, P.R.; Selva, N. A global map of roadless areas and their conservation status. Science 2016, 354, 1423–1427. [Google Scholar] [CrossRef] [PubMed]
- Soille, P.; Vogt, P. Morphological segmentation of binary patterns. Pattern Recognit. Lett. 2009, 30, 456–459. [Google Scholar] [CrossRef]
- Zhou, W.; Zhang, S.; Yu, W.; Wang, J.; Wang, W. Effects of Urban Expansion on Forest Loss and Fragmentation in Six Megaregions, China. Remote Sens. 2017, 9, 991. [Google Scholar] [CrossRef]
- Saura, S. Effects of remote sensor spatial resolution and data aggregation on selected fragmentation indices. Landsc. Ecol. 2004, 19, 197–209. [Google Scholar] [CrossRef]
- Townsend, P.A.; Lookingbill, T.R.; Kingdon, C.C.; Gardner, R.H. Spatial pattern analysis for monitoring protected areas. Remote Sens. Environ. 2009, 113, 1410–1420. [Google Scholar] [CrossRef]
- Kaim, D.; Kozak, J.; Ostafin, K.; Dobosz, M.; Ostapowicz, K.; Kolecka, N.; Gimmi, U. Uncertainty in historical land-use reconstructions with topographic maps. Quaest. Geogr. 2014, 33, 55–63. [Google Scholar] [CrossRef]
- Kaim, D.; Kozak, J.; Kolecka, N.; Ziółkowska, E.; Ostafin, K.; Ostapowicz, K.; Gimmi, U.; Munteanu, C.; Radeloff, V.C. Broad scale forest cover reconstruction from historical topographic maps. Appl. Geogr. 2016, 67, 39–48. [Google Scholar] [CrossRef]
- Feurdean, A.; Munteanu, C.; Kuemmerle, T.; Nielsen, A.B.; Hutchinson, S.M.; Ruprecht, E.; Parr, C.L.; Perşoiu, A.; Hickler, T. Long-term land-cover/use change in a traditional farming landscape in Romania inferred from pollen data, historical maps and satellite images. Reg. Environ. Chang. 2017, 17, 2193–2207. [Google Scholar] [CrossRef]
- Affek, A. Spatially explicit changes in land ownership through 3 socio-political systems: A case study from southeast Poland. Geogr. Pol. 2015, 88, 519–530. [Google Scholar] [CrossRef]
- Gardner, R.H.; Milne, B.T.; Turner, M.G.; O’Neill, R.V. Neutral models for the analysis of broad-scale landscape pattern. Landsc. Ecol. 1987, 1, 19–28. [Google Scholar] [CrossRef]
- De Oliveira Filho, F.J.B.; Metzger, J.P. Thresholds in landscape structure for three common deforestation patterns in the Brazilian Amazon. Landsc. Ecol. 2006, 21, 1061–1073. [Google Scholar] [CrossRef]
- Riitters, K.H.; Vogt, P.; Soille, P.; Kozak, J.; Estreguil, C. Neutral model analysis of landscape patterns from mathematical morphology. Landsc. Ecol. 2007, 22, 1033–1043. [Google Scholar] [CrossRef]
- Hanski, I. Habitat fragmentation and species richness. J. Biogeogr. 2015, 42, 989–994. [Google Scholar] [CrossRef]
- Kozak, J.; Troll, M.; Widacki, W. Semi-natural landscapes of the Western Beskidy Mts. Ekol. Bratislava 1999, 18, 53–62. [Google Scholar]
- Kaim, D. Land cover changes in the Polish Carpathians based on repeat photography. Carpathian J Earth Environ. Sci. 2017, 12, 485–498. [Google Scholar]
- Vallecillo, S.; Polce, C.; Barbosa, A.; Perpiña Castillo, C.; Vandecasteele, I.; Rusch, G.M.; Maes, J. Spatial alternatives for Green Infrastructure planning across the EU: An ecosystem service perspective. Landsc. Urban Plan. 2018, 174, 41–54. [Google Scholar] [CrossRef]
- Saura, S.; Martinez-Millan, J. Landscape patterns simulation with a modified random clusters method. Landsc. Ecol. 2000, 15, 661–677. [Google Scholar] [CrossRef]
- Density. Spatially Explicit Capture—Recapture. Available online: https://www.otago.ac.nz/density/ (accessed on 10 April 2018).









© 2018 by the authors. Licensee MDPI, Basel, Switzerland. This article is an open access article distributed under the terms and conditions of the Creative Commons Attribution (CC BY) license (http://creativecommons.org/licenses/by/4.0/).
Share and Cite
Kozak, J.; Ziółkowska, E.; Vogt, P.; Dobosz, M.; Kaim, D.; Kolecka, N.; Ostafin, K. Forest-Cover Increase Does Not Trigger Forest-Fragmentation Decrease: Case Study from the Polish Carpathians. Sustainability 2018, 10, 1472. https://doi.org/10.3390/su10051472
Kozak J, Ziółkowska E, Vogt P, Dobosz M, Kaim D, Kolecka N, Ostafin K. Forest-Cover Increase Does Not Trigger Forest-Fragmentation Decrease: Case Study from the Polish Carpathians. Sustainability. 2018; 10(5):1472. https://doi.org/10.3390/su10051472
Chicago/Turabian StyleKozak, Jacek, Elżbieta Ziółkowska, Peter Vogt, Monika Dobosz, Dominik Kaim, Natalia Kolecka, and Krzysztof Ostafin. 2018. "Forest-Cover Increase Does Not Trigger Forest-Fragmentation Decrease: Case Study from the Polish Carpathians" Sustainability 10, no. 5: 1472. https://doi.org/10.3390/su10051472
APA StyleKozak, J., Ziółkowska, E., Vogt, P., Dobosz, M., Kaim, D., Kolecka, N., & Ostafin, K. (2018). Forest-Cover Increase Does Not Trigger Forest-Fragmentation Decrease: Case Study from the Polish Carpathians. Sustainability, 10(5), 1472. https://doi.org/10.3390/su10051472

