Abstract
The objectives of improving the efficiency, and integration, of renewable sources by 2030–2050 are complex in practice and should be linked to an increase of demand-side flexibility. The main challenges to achieving this flexibility are the lack of incentives and an adequate framework. For instance, customers’ revenue is usually low, the volatility of prices is high and there is not any practical feedback to customers from smart meters. The possibility of increasing customer revenue could reduce the uncertainty with respect to economic concerns, improving investments in efficiency, enabling technology and thus, engaging more customers in these policies. This objective could be achieved by the participation of customers in several markets. Moreover, Demand Response and Energy Efficiency can share ICT technologies but this participation needs to perform an aggregation of demand. The idea of this paper is to present some methodologies for facilitating the definition and evaluation of energy versus cost curves; and subsequently to estimate potential revenues due to Demand Response. This can be accomplished by models that estimate: demand and energy aggregation; economic opportunities and benefits; impacts on customer convenience; customer feedback and price analysis. By doing so, we would have comprehensive information that can help customers and aggregators to define energy packages and their monetary value with the objective of fostering their market participation.
1. Introduction
Small customer segments (residential and commercial consumers) are important vectors that will drive and explain future energy demand (specifically, electricity demand) and its associated emissions. For this reason, the European Union (EU) and other advanced countries, consider that future markets should promote a higher engagement of customers and other “new” participants (energy aggregators), which would benefit the efficiency and sustainability of markets and hence of energy. On the other hand, the consumer can also obtain interesting benefits from their participation in electricity markets, basically in cooperation with other consumers through “energy aggregators”. For instance: Demand Response (DR) to Price, Demand Response to Power System Events, the provision of resources (including Energy Efficiency policies, EE) in Capacity Markets, or the contribution to reserves in Ancillary Service Markets. The main problems for customers are educational (the complexity of the markets and a lack of experience due to the scarce participation in markets in the past), legislative (minimum size of offers, forcing the same ICT requirements for supply and demand sides, the possibility to aggregate resources, the participation as Direct Customers in Markets) and economic barriers (for example, the expected income for certain DR policies is low and this response usually needs the use of enabling technologies and these ICT requirements sometimes involve important capital costs for small customers).
The point of view of the European Commission (EC) (see [1]) is that the future electricity market should have at its core an active consumer taking advantage of new technologies (enabling technologies such as ICT) to reduce their costs and allowing that customers to fully participate in the energy transition. From the economic point of view, the Energy Commissioner of the EC stated in 2015 [2] that, “... the business case for more active participation of demand is clear-demand side response alone could save our economy up to 100,000 Million Euros per year ...” The EC also reported that the potential of DR on a European Union scale is enormous: peak demand could be reduced by 60 GW, approximately 10% of the EU peak demand. In short, such potential, if tapped, can lead to a number of direct benefits: a better use of power system resources (capacity factors) while deferring investments, lower electricity costs (through elasticity in peak periods), greater system reliability and greater indirect benefits such as lower CO₂ emissions and the contribution to a greater penetration of renewable sources. The situation in other countries is similar. For instance, in the USA, Demand Response potential reaches up to 11% of peak demand in some systems (see Table 1, for example MISO) whereas in the EU this potential ranges 5% in average.
Table 1.
Estimated DR potential as a percent of System Peak in three US ISO (2015).
However, despite this considerable potential for DR&EE, electricity markets remain primarily driven by supply-side characteristics (for example, minimum level of energy offers and bids, or the requirements for monitoring and reporting energy changes). The idea being presented in this paper is that customers can benefit from future market opportunities and increased participation in retail (price-response with dynamic or critical price pricing tariffs [3]) and wholesale markets (incentive based DR and EE through, for instance, availability payments [4]) through aggregation while contributing to energy policies, market competitiveness and social welfare. The hypothesis is that demand resources should participate in the market on an equal footing as supply resources. This involves the possibility of participation in several markets and services to maximize their benefits and make the necessary investments to develop EE and DR cost-effective. The problem is that this participation is complex and it requires a detailed analysis of the value and possibilities of complex products in one or several markets. To overcome these barriers, some tools and methodologies will be presented, revisited and some other tools should be specifically developed. Customers and also energy aggregators, need to be aware of the potential benefits of DR and EE and this can be realized with the help of technology (the society usually claims for hardware technology but some software tools are also needed). This is particularly the case for small/medium customer segments and some interesting DR policies (price-based DR).
The aim of the paper is to illustrate how the integration of several tools is carried out (economic and demand models) and how synergies can be established among them to help small/medium size consumers (specially the residential segments, through aggregators) to participate and maximize benefits in Electricity Markets. Firstly, in Section 2, customer participation in Energy and Capacity markets is revisited to establish methodology requirements. In Section 3, Price-Response Policies are analysed and an economic model based on end-uses is presented. Then, in Section 4, a model for Capacity markets is revisited and the pros and cons of some complex DR&EE policies are discussed. In Section 5, results of price and event DR policies, with the help of some necessary feedback from other DR methodologies, are illustrated throughout some simulations. Finally, in Section 6, some conclusions are stated.
2. Requirements for Demand Response Participation in Markets
The participation of small/medium customers in the markets is limited (e.g., direct access to wholesale markets), constrained to certain specific conditions or framework (e.g., participation if power system events are declared) or, in some cases, it is non-existent (this is the case of some EU countries, such as Spain and Portugal according to recent literature surveys [5]). In this section, the framework for DR is explored but also some interesting tools that have been used in the literature are reviewed.
2.1. Small Customers and Aggregation
The deployment of DR resources for small/medium customers has some important drawbacks: educational and regulatory barriers, technical complexity, low revenue and the aggregation of different loads or customers. For instance, reference [5] in its analysis throughout EU-28 countries, lists some regulatory barrier and reports that “major sections of the market are still closed off and they lack a viable regulatory framework for Demand Response overall.” The complexity of DR is also recognized by retailers, distributors and System Operators [6]; for example, the requirements for aggregation, monitoring, evaluation of customer response (baselines) or the communication with DR buyers. These technical concerns can be facilitated with automation or by delegating the DR process from the consumer to a company (i.e., the aggregator) [7]. Educational barriers are also important. The Smart Grid Investment Grant (SGIG) program aims to accelerate the modernization of the electric transmission and distribution systems in the USA [8]. This initiative specifically considers “the progress in advancing customer capabilities, including information and education for understanding and managing demand and costs”. Customer need to learn and develop new skills and capacities in using new technologies to engage and develop DR&EE policies in a successful way. Experimentation through pilots is also critical to adapt new tools and technologies to existing regulations but also to explore the societal impacts of these “new” solutions [9]. A good example in the EU is Finland, with a government which pledges to introduce a culture of experimentation, specifically in the use Distributed Energy Resources (DER). Some examples, conclusions and customer feedback related with Finish pilots are reported in [9]. As a complement to pilots (experimentation and feedback) and the initiatives to change regulatory barriers, users, aggregators and technology developers needs technology tools to anticipate cost-effectiveness of DR&EE policies and the flexibility attributable to them. The methodologies proposed in this paper contribute to the achievement of this last objective from three points of view: training (experimentation with DR&EE), planning (of additional DR resources in short and medium term) and the operation of these resources.
On the other hand, small/medium segments also have some important advantages: different kinds of ability and availability; geographical distribution of the load resource and an overlooked capacity with respect to the supply-side: its reliability (a large amount of resources). To overcome those drawbacks, some problems need to be solved and some tools need to be developed. For instance: the selection of demand-side resources (identification of demand patterns or segmentation of demand); the validation of the flexibility of those resources (modelling, validation and control of loads); or in the medium term, the conversion of the consumer into “prosumer”.
This change in traditional roles due to a continuous rise in energy costs, the increasing availability of ICT at affordable costs and the political incentive of renewable sources explains the fact that some segments such as institutional buildings, commercial buildings, factories and also households are becoming energy actors who consume, produce, store and control their energy use (the so called “prosumer”). In this way, one of the biggest areas of opportunity to trim operating costs is self-generation. But this option is not free of risks because the volatility of renewable generation makes more difficult the management of energy (for instance, energy flows to or from distribution networks). A potential solution is that demand is able to follow renewable supply, i.e., the implementation of demand flexibility options such are the policies analysed in this paper. Notice the growth of photovoltaic generation which is appearing in some countries such are the USA or Germany, making the prediction of demand and generation necessary but also their effective management to make this integration credible and possible [10].
Moreover, other concerns arise: the provision of some feedback to customers; to guarantee the security of that information (education and cyber-security concerns [11]); the way to build demand packages, enabling the performance of aggregators; their relationship with Curtailment Service Providers (CSP), Balance Responsible Parties (BRP) or Load Serving Entities (LSE) [12]; and, finally, the improvement of DR cost-effectiveness (response optimization, ICT management, price prediction, market synergies between DR and Energy Efficiency, ...). Due to the aforesaid arguments, DR is so complex that it is difficult to achieve an optimal solution. This complexity is recognized by different actors in energy markets [6]. It is necessary to develop incremental solutions to solve this complexity and encourage a willingness from consumers to make demand resources available. This is the idea and main concern of this paper.
Figure 1 shows an overview of the problems dealing with Demand Response and Distributed Energy Resources for residential segments proposed by REDYD 2050 Spanish research network [11], which are developed in this paper through an approach focused on the concerns faced by aggregator and customers. As it has already mentioned customer and aggregators need methodologies to anticipate cost-effectiveness of DR&EE policies and the flexibility of demand attributable to them. The problem is that these methodologies usually have considered socio-economic models but the demand of a customer must be explained through the consideration of physical mechanisms (and limits) of devices and appliances and of course, some boundary conditions (for instance, climate conditions). In this way, some feedback is necessary from load and economic models (see Figure 1). Some of these problems (Figure 1) have been presented in the literature but some integration and feedback could improve the portfolio of DR&EE methods and tools.
Figure 1.
Working areas and technical concerns for energy demand aggregators.
From the point of view of load aggregation, customers with similar characteristics must be selected (the same segment, a similar behaviour, the same geographical area, a similar income level, the enforcement of specific tariffs or the availability of enabling technology).
This problem is usually solved through the use of segmentation (clustering) methodologies taking into account boundary conditions, i.e., the basic information available from the customer: daily or monthly load curves (in the literature, customer grouping on the basis of demand pattern similarity is likely to provide effective results, see [13]). For DR evaluation, the customer needs an assessment of end-uses (percentage) and the time of use of these loads, i.e., their behaviour (for example, in Emergency Demand Response programs the time periods for response are specified [4]). Non-Intrusive Load Monitoring (NILM) is well-suited for this task [14] but it is limited due to the availability of data (ICT requirements) in residential segments [15]. Lack of information about the current purposes for which energy is used at different times of the day makes any modelling more difficult and reduces the ability to change load/use patterns. This fact may risk the achievement of foreseen benefits of DR&EE (see [6]).
The efficient use of DR is based on an economic choice between the value of consumption and the market value of electricity [7]. This choice arises when the consumer is exposed to variable prices through Price-based Demand Response (PDR). It is noticeable that energy prices change throughout the day and it is necessary to establish price profiles in advance to provide the necessary time to commit DR resources [16] and recover end-use service after DR commitment (i.e., dwelling temperature, hot water availability). Finally, the response depends on load behaviour (and its environment, that’s to say, household dwellings for thermostatically controlled loads, TLC). An interesting way to evaluate this response is through Physically Based Load Models (PBLM), a methodology first proposed to solve cold load pickup in [17]. This is the same idea proposed in thermal design software such as EnergyPlus or eQuest [18] but this approach is too complex to evaluate load response (EnergyPlus works high order state-space models, e.g., model order around 30–40) and it needs some simplification to make costs affordable and efforts feasible to engage DR. Some software, for example the toolbox BRCM is proposed in the VIRGIL platform, to simplify thermal models from EnergyPlus software, see [19].
Another concern is load aggregation of elemental models. As mentioned previously, the aggregation process involves selecting individual loads with similar weather characteristics (the so called quasi-homogeneous control group [20]). Right now, the first alternative for the aggregation problem is to solve the elemental model for each load in the selected group and obtain an average demand (and service characteristics of such loads, i.e., internal temperature for space heating, or water temperature for water heaters) of the aggregated load (for example through Monte Carlo simulation). This procedure needs the simulation of large numbers of loads (1000–10,000) and a lot of computation time [21] (this time could be an important concern in some markets, for example from the point of view of Ancillary Services [11,22]).
Different proposals for aggregation have been proposed by Callaway [23], Perfumo [24], Mathieu [25], Alvarez [20] and Gomes [21]. The diversity in the approaches is related not only to the aggregation processes but to the modelling approach selected to characterize elemental loads. With respect to elemental models, the main difference is the physical phenomena being considered: [24,25,26,27] follow a model that only reproduce a simplified and inaccurate heat balance (heat losses/gains due to temperature gradient and electrical power conversion) or discard important inputs (solar radiation), whereas [20] and specially [21] take into account the main changes in sensible and latent heat that affects the behaviour of the load: i.e., solar radiation, internal sources (inhabitants, appliances), the losses/gains from other dwellings, the renewal of indoor air, or bidirectional heat fluxes [28]. The problem is that solar radiation through windows and walls are not a negligible factor in the modelling process of TCL. The balance response accuracy versus load modelling complexity should be considered but PBLM models without physical sense or tested in steady-state conditions for verification of results should be avoided [24,27]. Some examples will be considered in the following sections to exemplify these problems.
Other relevant problems for DR are performance and scoring (i.e., customer feedback and income levels). With respect to DR performance, NILM appears interesting if enabling technology has been deployed. At the elemental level, the application of integral transforms can help to evaluate DR performance [15] whilst a statistical sample of customers is equipped with Smart Meters (SM). In the last decade SM deployment reached about 33% of customers in the USA [29] and similar trends can be found in other countries. For example, in Spain, with a deployment of 14.5 million SM at the end of 2015, which constituted over 50% of customers, a considerable investment but without any possibility for a broad use of data [30] or for carrying out aggregation [5].
The evaluation of Customer Baseline (CBL) is another option available when feedback from accurate measurement sources (SM with 1 to 5 min pacer) is difficult to obtain from the customer. For example, ISO and CSP usually work with “dynamic” baselines. CBL are usually based on previous daily demand and the use of adjustment factors [31,32]. In other cases, they include the temperature as a factor in the adjustment process but without any link to load behaviour (i.e., it lacks some bidirectional feedback with respect to other DR tools, such as PBLM models, or demand database).
Finally, it is necessary to consider the risks associated with DR for these customers in the short and medium term. Price forecasting but also price volatility tools [33] should be considered to some extend to properly drive DR investments, especially when renewable sources become more and more important in the generation mix [10].
2.2. Characteristics of the Customers: End-Uses
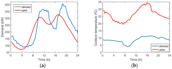
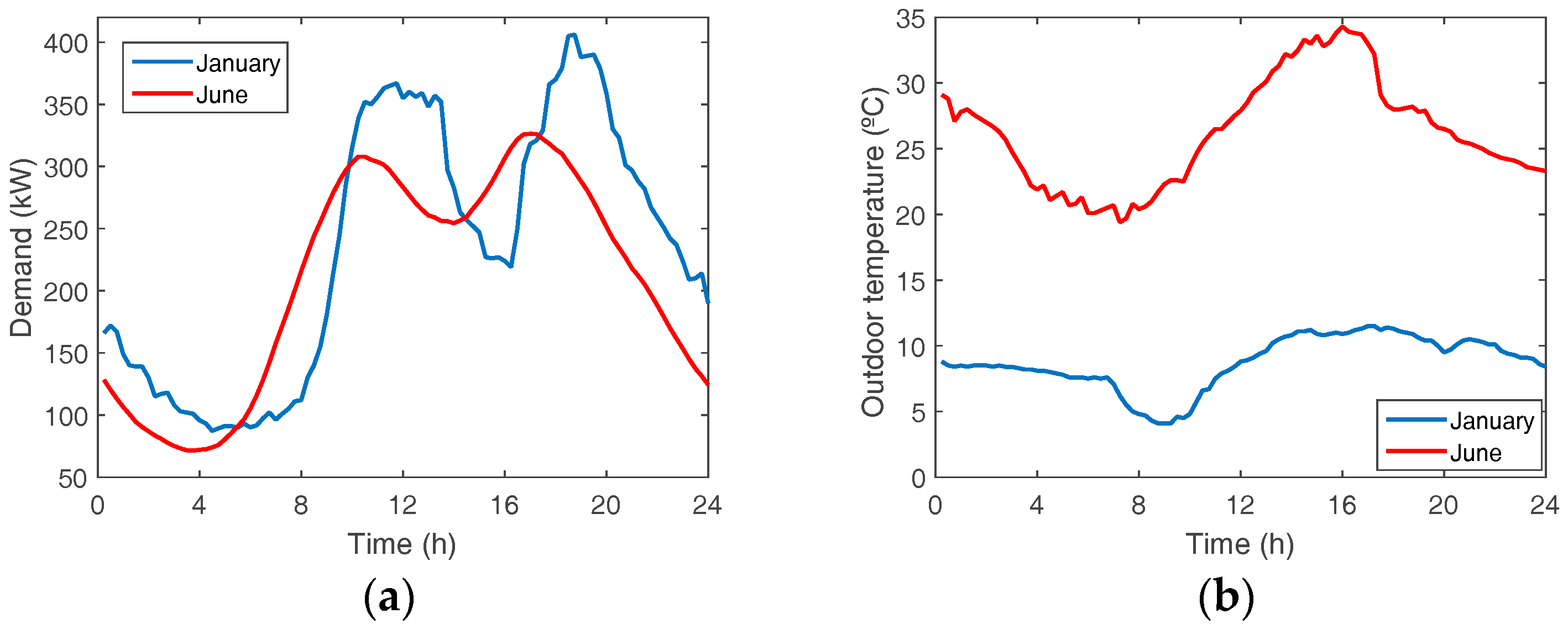
A group of residential customers in Spain have been selected for simulation purposes. This group corresponds to real residential customers in Europe, with a rated power per customer ranging from 3 to 8 kW. Winter temperatures range from 0 to 15 °C and in summer from 20 to 40 °C. Figure 2a shows the winter and summer loads for two selected workdays monitored at the distribution transformer (CT) that supplies power at 400 V to the group of customers (basically residential and some small commercial supply). Figure 2b shows the outside temperature.
Figure 2.
Load and Temperature profiles: (a) Winter and Summer Load Curves in the selected CT (winter/summer); (b) Winter and Summer temperature behaviour.
The evaluation of DR potential must be based on the knowledge of end-uses. A first approach, presented in the literature to investigate energy conservation potential, is to obtain activity patterns of customers, at the aggregate level, to identify customer activities (the so called “functional model” defined in [17]), for instance, customers requesting high amounts of energy and thus might have a significantly potential market for efficiency [34]. An alternative is the use ICT and NILM technologies, see for example [15]. This last approach involves exploiting available technology for home automation and from the broad deployment of SM in industrialized countries, whose real potential is underutilized (a concern already reported in the literature [30]).
In some cases, and, from a practical point of view, it is quite possible that customers in small segments do not have any SM, or the aggregator does not have access to detailed meter data. There may be some concerns with respect to data confidentiality between the retailer/commercializer of energy and the aggregator, because the assumption of several roles can be problematic with regard to market competition legislation in some countries, for example in the EU [35]. In this way, an alternative access to demand data should be considered by aggregators for the evaluation of DR potential from their customers.
This second alternative is based on periodic surveys performed by National Energy Agencies. For example, end-uses for a residential “average” EU customer can be estimated according to European Union EU-28 data (The Institute for Energy and Transport of the Joint Research Centre, Ispra, Italy, see [36]), or in the Spanish case (the simulation scenario in Section 4) through the data available in reports from IDAE (Institute for Energy Diversification and Energy Savings, Madrid, Spain) and Spanish Government [37]. Main end uses according to annual energy consumption are: Electrical Heating (42.9%), Cooking (7.69%), Lighting (4.85%), Water heaters (17.96%), Air Conditioning (0.98%) and other appliances (25.5%), see Table 2 (i.e., typical targets for DR programs in small/medium segments). A similar share can be established for other countries, such are Canada or the USA, see [38]. Notice that in European Mediterranean regions, the Air Conditioning load represents a higher percent (66% of households have this appliance and the trend is quite solid in this decade: 713,000 new units in Spain, 80% in the residential sector [39], a 12% of the EU market) and the assumption of those percentages [37] could be a critical error for simulation purposes (summer periods) because this picture sometimes represents an average continental climate. Due to this fact, the winter period has been selected for simulation purposes in the following paragraphs.
Table 2.
Main End-Uses and consumption in the residential sector according to Spanish Government Estimates [37] and proposed flexibility of demand by authors.
To obtain some representative end-use profiles, it seems necessary to study load dynamics and the service the customer obtains from them. Figure 3a,b show some end-use load profiles for a household belonging to the aggregate residential demand, previously shown in Figure 2. It can be seen that the pattern for fridges is “constant” whereas WH demand is bounded to some hours throughout the day. This behaviour has been taken into account together with overall demand to define approximate end-use profiles (notice that it is important to give customers and aggregators a broad portfolio of options, ranging from simple DR&EE options to more complex options). In this case, feedback from everyday activities [34] of the customer is important to refine profiles, improve DR&EE success and gain customer interest in energy concerns. Figure 4 shows the proposed end-use profiles for an average customer.
Figure 3.
Daily end-uses; (a) Fridge; (b) Water Heater.
Figure 4.
Daily profiles for main end-uses (winter), acronyms. EH: Electric Heating, WH: Water Heating; CO: cooking; LIG: lighting; FR: fridges; WM: washing machines; DW: dishwasher; OV: Oven; PC: computers; DRY: dryers; OT: Others; and CUST: overall customer demand.
2.3. Physically Based Load Modelling (PBLM) for End-Uses
The method proposed for the evaluation of response levels (flexibility in kW, kWh) and its economic value (currency/kWh), i.e., offer curves, involves the use of several tools and methods from different areas but especially the use of load simulation models. The methodology is based on PBLM philosophy and the objective is to obtain load behaviour, achievable flexibility and energy payback (rebound effects) after change of pattern has been applied. This approach was proposed by Ihara and Schweppe [17]. A more detailed information about formulation and the physical meaning of the parameters of this kind of model can be found in [20,21,28,40] with simulation examples, coefficient values and data for EH, HVAC and WH loads. Summarizing, these models apply physical laws on loads and their environment (e.g., heat gains, heat losses, heat generation, heat storage, water or process flows), to determine the load behaviour according to the change of inputs in the system (in our case, electricity supply). The model is adapted (through real data measurements or NILM, including control response) to cover actual or future energy response. The advantage of these models is that they are “white box” or “grey box” [41] models and can evaluate the effect of a non-electrical input/parameter/variable (e.g., the effects of roof and floor insulation, window glazing envelope replacement, change of insulation materials, or solar radiation levels) to estimate demand and energy savings in new construction projects.
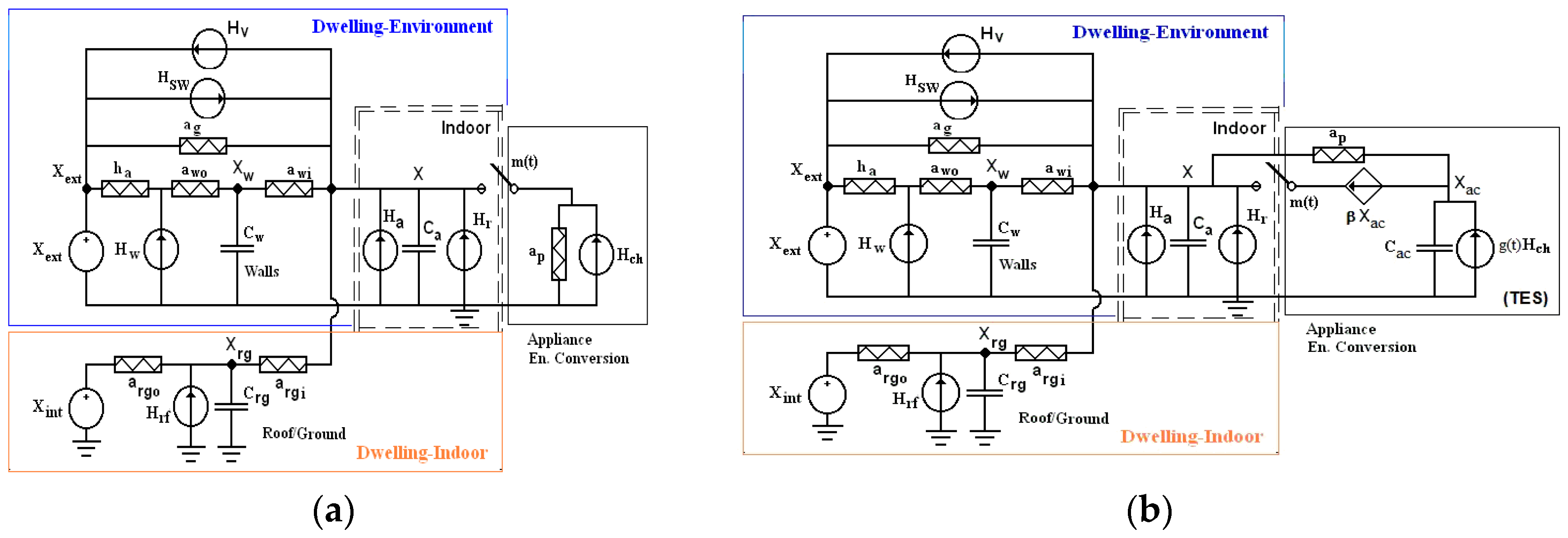
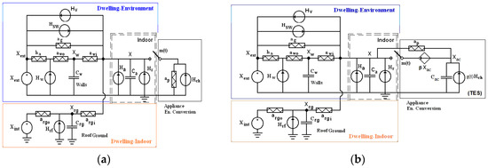
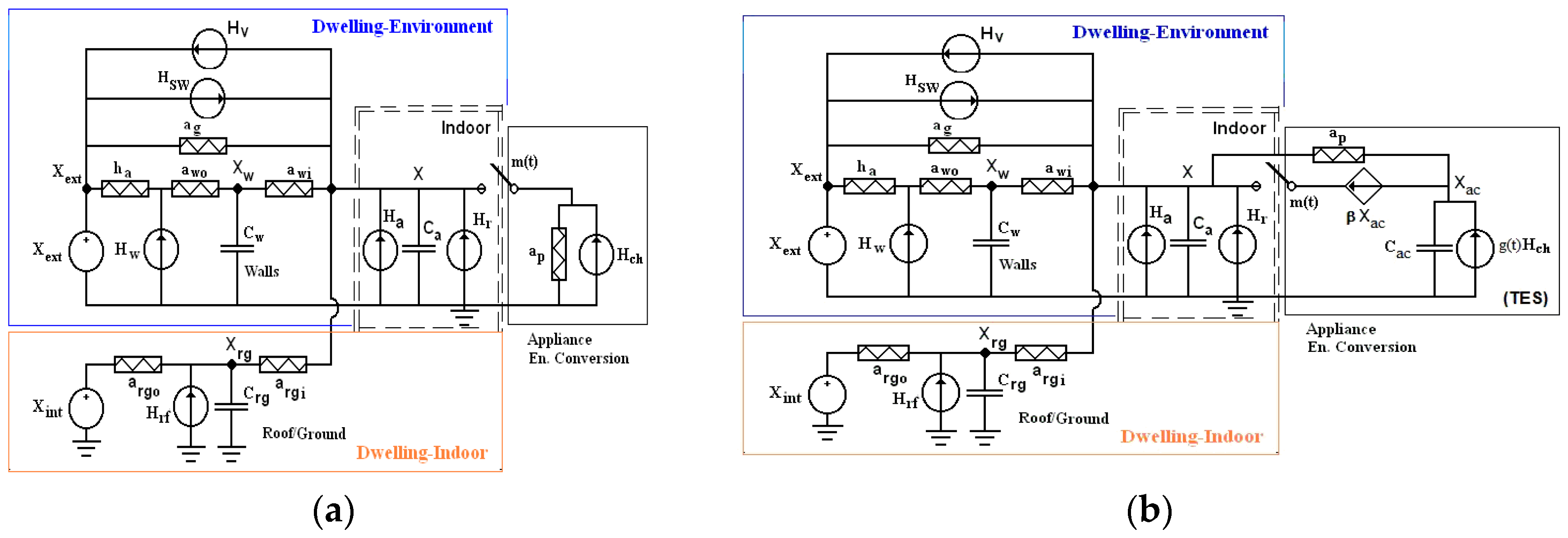
This section presents two PBLM elemental models for residential heating (cooling) devices with and without thermal storage (e.g., ceramic bricks) that involves the development of an equivalent model (a) lumped RC network, usually called 3R2C, 2R2C, 2R1C or 1R1C depending on the number of lumped RC parameters that have been chosen to reproduce the admittance or transmittance of each wall for the overall model: 3, 2 or 1 [41]), very close to [18,19] but simplified in complexity (the order of state space Equations) to suit DR requirements and make possible a further aggregation of elemental models [40], a condition “sine qua non” for small segments. RC networks (2R1C model is chosen for the walls, ceiling and ground) in Figure 5a,b represent the energy balance between an appliance/load, the dwelling where the load renders the service (indoor) and the environment. All of these PBLM are made up of several components (sub-models) to allow an optimal flexibility in modelling. PBLM uses thermal-electrical analogies, for example:
Figure 5.
Example of PBLM for the living room of a household. (a) Appliance: EH, Heat Pump or Air Conditioning load; (b) Appliance: Thermal Energy Storage (TES) load (ceramic bricks). Adapted from previous works by authors [20,40].
- -
- Dwelling/environment submodels (indoor, environment): parameters that represent heat losses/gains (conduction/convection through walls: ha, aw; the floor: arg; windows, (ag), ventilation losses/gains (HV); as well as heat gains: solar radiation (Hsw, Hw); internal gains due to inhabitants (Hr) or appliances (H(a). Also, the model takes into account heat storage from the specific heat of external walls (Cw), indoor mass (C(a) or roof/ground (Crg).
- -
- Energy conversion submodel (the appliance): electrical energy conversion into heat (space heating), “cold” (air conditioning), or hot water. This is represented by a current source (Hch) and is independent of the dwelling submodels, see Figure 5a,b, where the same dwelling model can “host” different appliances with the same or similar service (heating/cooling).
- -
The state variables are usually temperatures: indoor (X), walls (Xw) and roof/ground (Xrg). In the case of TES appliances, a fourth state variable is of interest: the state of charge of storage, in this case the temperature of ceramic bricks (Xac). In WH is the temperature of water. Inputs are external/internal sources (other appliances, loads, inhabitants) and are labelled with “H”.
An example of EE policy for simulation purposes through PBLM is the effect of improving the thermal transmittance of windows. In the base case, the efficiency gains due to the replacement of the glazing envelopes through the thermal transmittance coefficient (also called U-value) with a new window (usually a change from 2.3 W/m2K to 1.3–1.4 W/m2K) can be evaluated for the customer. This parameter (thermal losses or gains through glazing envelope) is represented by “ag” conductance in Figure 5a,b. The cost-effectiveness of a change of appliance through the use of storage (Hch) and the size of its reservoir (Cac) are also options available for customers and aggregators through PBLM.
3. Demand Response to Price (PDR): Energy Markets
Current tariff structures usually fail to reflect the real costs of electricity supply and this uncoupling between wholesale and retail markets inhibits price-response in customers and consequently reduces demand flexibility. This lack of flexibility has serious drawbacks in electricity markets (volatility in energy prices, use of peak power plants, or the optimal integration of renewable sources).
A research on market data (see for example PJM [4]) shows that customer activity in price response options is very low, both in terms of capacity of response and in revenue. For example, in 2016 the estimated revenue for Load Management in Capacity Market was around $640 million in the PJM system, whereas price-response revenue was around $3 million (and this participation shows a significant decrease since Capacity Market was established in 2007). The main reason is that an adequate price response needs the support of enabling technology for an appropriate response to market prices (customers cannot be expected to be continually looking for price signal and react accordingly). The problem is that “enabling” technology (e.g., Smart Meter, communications and data infrastructure, installation and maintenance) can be expensive for a small customer (from $100 to $600) with respect to revenue. For instance, in the same period, 2016, PJM enrolled 2560 MW in Economic Programs (but only 146 MW were used [22]). If the customer is fully active and competitive in the markets, reaching the clearing for all its offers, the estimated revenue is around $2000/MW-year ($2/kW-year). Usually, the commitment of load resource is very limited.
Capacity Payments can reach $120/MW-day and $160/MW-day (i.e., $45,000/MW-year), with a minimum level of $4/kW-year, excluding additional energy payments. So, it is pretty obvious that price-response DR is less interesting (from an economic point of view), more complex and involves a higher risk than incentive-based options. Another side of the problem is market efficiency and the benefits for society that involve the availability of some price responsive demand (e.g., the mitigation of the power market or a better use of power infrastructures). Good examples of a successful customer participation in price responsiveness policies are a variety of capital intensive industries and services such as airlines, railways, hotels or rental car firms. Or, in other economic segments, such as sport or variety, tickets price-response applies. Table 3 shows the benefits attributable to these price-response policies in the capacity utilization index amongst these economic segments.
Table 3.
Some examples of Capacity Factors (Utilization) in capital intensive industries and services with respect to Power Systems.
For these reasons, many organizations worldwide (for example, the European Network of Transmission System Operators, ENTSO-E [7], or PJM in the USA [22]) are concerned with the task of promoting customer flexibility to prices through several methods, for example, by linking retail and wholesale markets, a problem that requires a knowledge of customer demand and its potential flexibility. Another problem to be considered is that price spread should be considerable and that aggregators (or customers) need some tools to perform price forecasting in the short/medium term (two day-ahead horizons in Day-Ahead markets, see for instance Reference [42]).
3.1. Evaluation of PDR: An Economic Model to Evaluate the Size of Demand Packages
The ability of customers to react to prices is evaluated through the concept of elasticity. Several kinds of elasticity can be defined (own, substitution, cross) but usually, the models are focused on own and, sometimes, on substitution elasticity.
Own price elasticity Eii: the percentage of change in demand (Di) at time t = i as a result of a percentage of price change (Pi) at the same time t = i (remark: own elasticity should be a negative number):
Elasticity of substitution Eik: is a measure of the percentage of change in the ratio of the peak (hour i) to peak-off (hour k) demand, as a result of a percentage of change in the ratio of the peak to the off-peak prices (this coefficient should be a positive number).
It is important to highlight some considerations with respect to these concepts. Firstly, price elasticity of demand is non-linear (i.e., it needs some threshold to achieve a change in the customer pattern and the magnitude of change in demand varies with the price incentive and the time period). Second, the responsiveness to price changes is not symmetrical, i.e., Eik ≠ Eki.
Over the last few decades, many studies and pilots have been developed to analyse customer elasticity. Table 4 presents a detailed review of data from these studies for relevant customer segments. Perhaps, the main conclusions from these studies are qualitative: customer response is alive, DRP has its own “black legend” (these legends always stand in the way but they are far from the reality) and response has persisted in long-lived periods [43], for example in France. The main problem that research faces with these values, is that results of studies do not converge in values and this is a problem for the development of an economic model of response without the deployment of a PDR pilot (it is interesting to remark that the majority of these studies were based on customers that did not have any possibility, or experience, to react to prices due to tariffs or regulation concerns, i.e., direct access to markets. For example, in the USA, only 1% of customers are on time-based rates [43]. In some cases, DR was unknown).
Table 4.
Price Elasticity of Electricity Demand by segments (R: Residential; C: Commercial; I: Industrial).
The proposed model for PDR is based on previous works in the literature but modified, fixed in some details and, in general, the model has been improved with real data for prices. The main differences with other models are: First, the proposed model considers now the load disaggregated by end-uses (the models in literature usually consider the overall load but the flexibility of loads is not a homogeneous pattern and depends on their service and control mechanisms). Second, real elasticity values from pilots designed to evaluate dynamic pricing in residential segments have been considered. And finally (perhaps it is the most important difference), the proposed model considers some relevant feedback from PBLM models (for instance, the available rates for demand change, the change of service driven by the application of DR policies, the effectiveness of a load reduction), giving a comprehensive view of technical aspects of DR (see Figure 1) and a necessary feedback for the customers and aggregators.
Different models for PDR have been proposed in the literature. In the model proposed in [51] there is not any consideration about energy recovery and the load is deducted from some periods and shifted to other period without any technical restriction. A peak reduction of 0.23% is achieved as results and peak-to-valley is only decreased by 0.31%. These results do not match well with the results obtained in several pilots with Time-of-Use (ToU) and Critical-Peak Price (CPP) tariffs (about 6% in ToU and up to 20% in CPP, see [3]). In [52] a limit is considered for the so called “deferrable loads.” The maximum potential for these loads during peak hours is considered 10% of total load and the customers engaged in DR options are limited to 10% in PDR is limited to 10%. There is not any justification for those limits (i.e., a classification of load end-uses or the segmentation of customer demand). As a result, the shift of demand from peak to off-peak periods is irrespective of time-of-use. Reference [53] considers an economic model that allows the consumer to take decisions based on their own maximum benefits while satisfying the budget constraints. This is an interesting approach from an economic point of view because it accounts for monetary constraints. Authors present several simulations changing a high amount of load from peak to early hours in the day without the consideration of any kind of storage (i.e., the peak demand is smaller than base-load demand. Any physical model of loads is considered. In [54] authors consider competition between budget and the consumption when the price changes and evaluate these scenarios. From the natural structure of living in every society, they conclude that there is an asymmetry between peak and off-peak consumption due to different services achieved from end-uses, i.e., they consider to some extent (a qualitative assessment) the different loads and appliances that explain the overall demand. Finally, for the residential customers, authors state that it is acceptable to say that the night time load is almost inelastic. This is not true when the residential customer is aware of dynamic pricing tariffs (for example in France due to the contribution of nuclear power plants a high percent of users have a peak demand during the night period).
Economic models for DRP are based on classical optimization procedures and the objective is to maximize customer benefit. It is necessary to consider that the benefit, B, is the income (economic in the case of commercial and industrial segments and/or load service value in the case of residential customers) during hour i from the use of Di kWh. Indeed, there is some additional income that should be considered, for example incentives (INC, when response is effective) and penalties (PEN, when response fails over demand service level, DSL, agreed with markets’ agent. In practice Firm Service Level, FSL or Load Guaranteed Drop, LGD) for participating in some DR program (both problems can be reported in energy and capacity markets, see for example [4,22]). This response is done through a change in customer demand (∆Di), i.e., demand flexibility. Mathematically, the overall benefit OB is done by the formula:
This expression takes into account not only the benefit (service) obtained from the use of energy but the changes in the customer bill due to savings in energy due to DR policies (), incentives for changes in demand (), or penalties if DR objectives are not reached .
The benefit function B is the quadratic benefit function previously proposed by Schweppe in [55]:
where D0i and Di are demands before and after a price-response is cleared at time i. B0i is the base benefit at time i, without any DRP policy, i.e., the economic value of the service provided by load (the service or energy conversion, i.e., heat, cool, processing, mass transport, …). By maximizing the above benefit B in the Equation with respect to new demand at time i (Di) if a demand policy is accomplished, we obtain [55,56]:
It is important to take into account that this expression explains that both INC and PEN act like a price through elasticity, in the same way Pi does. Moreover, new customer demand due to a change in the energy price from P0i (average price at t = i) to Pi (forecasted high price at t = i) through PDR is evaluated by:
If a potential change of demand from peak price periods (time i) to off peak price periods (time k) is feasible (depending on customer, appliance/load characteristics, service effectiveness of this pattern change and ICT availability), the modified customer demand should take into account the change of load from peak to off-peak price (valley/shoulder) hours. For example, for PDR policies, considering the substitution elasticity Eik, the load shifting from time i to time k (k ← i) is:
And consequently, the load reduction at time i due to load shifting to time k (k ← i) is:
Whereas the load in t = k increases in the same quantity:
Considering again Equations (5)–(8) for DRP, the reader can obtain a conventional economic response model:
Table 5 summarizes the variables involved in Equations (3)–(9). Different variations on Equation (10) can be found in the literature [56,57] but they present some problems. For example: they do not consider some constraints in end-use flexibility due to electrical or service characteristics irrespective of energy price (it is not possible to switch-off or reduce demand for all the loads, for instance in the case of non-dimmable lights or washing machines, i.e., a change on switching times is possible but not a modulation of demand); load patterns or service requirements are not the same throughout the day (see Figure 3, or references [15,34]); some loads need a certain recovery period (to restore steady state service after control or to recover production schedule in the case of the industrial segment but this process is usually misunderstand and oversimplified [25,27]); the customer can apply some response previous to price peak periods but not during all the periods (for example precooling or preheating options are effective but only in periods near to peak-price response periods, i.e., Eik do not exists for none or many time periods); or the fact that changes in demand, due to substitution elasticity, involve an additional use of energy (i.e., thermal losses due to the switching of WH from service periods to 8–10 h before use). For these reasons, it seems more accurate (and complex) to apply a model for the evaluation of demand changes on each specific end-use (eu), linked with PBLM models that gives some feedback to model. The proposed model is driven by the expression:
where LReu, is the load recovery (payback, buyback, rebound effect) for a specific end-use (eu) and LSeu, are the load “losses” attributable to change of time of use for each end-use (eu) and price-based DR policy. PBLM simulation outputs can support aggregators and customers through the model given by Equations (11) and (12) in DR evaluation. Thus, the overall consumer demand at each time k, is done by:
Table 5.
Variables and parameters being considered for the evaluation of demand flexibility.
3.2. Linkage between PDR Economic Model and PBLM
The disaggregation of customer response demand in different end-uses solves some practical concerns and it also provides some insight on the DRP problem. The idea of the model driven by Equation (11) is to take into account flexibility trends and report the aggregator a portfolio of DRP scenarios rather than provide accurate values of demand flexibility (as it has been stated before, it is difficult to select of exact values of elasticity without carrying out some pilot in the customer aggregation under study). Some facts support the necessity to have these trends. Firstly, the literature reports some problems in the case of manual control of demand by customers [58]. Secondly, enabling technology improves response and flexibility [29,35]. Thirdly, ICT is becoming more and more widespread and ICT costs are also falling. In this way, flexibility should be provided by smart appliances to obtain larger and more predictable demand shifts [58,59]. This enabling technology needs some inputs from these observed trends of flexible demand.
The first problem is the classification of loads according to the flexibility and the possibilities of substituting their service. Table 2 and Table 6 show the authors’ perspective based in their experience in field and laboratory tests with ICT, NILM feedback and household monitoring [40].
Table 6.
Consumption structure in the Electrical Appliances End-Use according to Spanish Government Estimates [37] and their proposed flexibility.
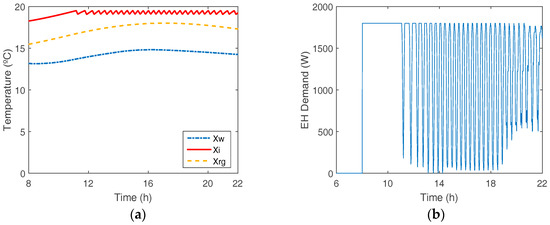
The second problem to be solved is to define E (elasticity matrix) and its coefficients. The evaluation of non-zero values outside the diagonal (i.e., substitution elasticity Eik) is based on PBLM simulations. To illustrate the procedure, an EH load (rated power 1800 W), working for conditioning (heating) a living room (30 m2) of a household is used for simulation purposes. For the sake of simplicity, Figure 6 only shows two out of twenty simulations: steady state in winter (aggregated daily profile already shown in Figure 2b and a preheating policy followed by a three-hour control period with 25% of a forced duty cycle (and the energy payback period due to this control). Other preheating times and forced duty cycles (from 10 to 50%) have been simulated, taking into account the values of Xi state variable (see Figure 6a,c) to maintain a minimum level of comfort in the dwelling being conditioned. The conclusion is that Eik values are only effective in the two immediate hours prior to PDR control period (from 16 to 19 h, see Figure 6) and in the two hours following the end of the control period. Otherwise, preheating does not have any positive result (more comfort during the control period, more flexibility in the control period, indirect energy storage in walls). The simulation also establishes and fixes LReu and LSeu values (eu = EH) in Equation (11) (Figure 6d).

Figure 6.
Example of two PBLM simulations for E matrix filling process. (a) State variables/temperatures without control (Xw: external walls; Xi: indoor; Xrg: roof/ground); (b) Demand of an average uncontrolled load [36]; (c) State variables/temperatures with preheating of the dwelling (14.30–16 h) and a control period (16–19 h); (d) Demand of an average controlled load being preheated (14.30–16 h) and controlled (16–19 h).
4. Demand Response to System Events (EDR): Capacity Markets
The qualification of DR&EE resources and bidding rules in Energy and Capacity Markets (CM) were initially proposed for supply-side resources only. However, the decision of regulators to allow the participation of demand resources [1] means the necessity to adapt future markets (in some EU countries) to the different characteristics of each resource. For example, customer and aggregator should consider:
- -
- Typical time period for events: time of the day (and season) considered as peak periods by ISO. For example, some ISOs (e.g., NE-ISO) define peak periods on summer and winter weekdays, whereas other ISOs (e.g., PJM) focused only on summer peak periods. The future trend will be to consider all the seasons and broader peak periods.
- -
- The types of DR&EE policies that can participate: almost any policy that generates savings at the time of interest for the ISO. According to some ISO manuals [4], some policies do not meet the CM definition if new devices do not improve present baselines, the demand is reduced by a change of behaviour, or the user switches an appliance or process from electricity to gas.
- -
- The operational lifetime of DR&EE policies (in markets): This item is a cumbersome for customer participation in CM, because the future income largely depends on the decision whether new investments in EE and DR are engaged or not. The framework is quite different in each specific market. From four years in PJM to twenty in other markets.
- -
- The aggregation of demand: A minimum resource size is usually required in markets. In the UK, the minimum proposed size is 2 MW whereas US markets usually allow a minimum size of 100 kW for bidding.
- -
- Resource qualification: the sponsors of DR&EE projects should submit documentation to ISO to justify the policies being used for energy and demand savings. The DR/EE “supplier” must demonstrate that their resource is reliable and will accomplish savings at the times considered as critical periods by ISO. For these M&V plans, it is necessary to know a customer baseline and then to propose a method that involves the analysis of the impact of a measure.
- -
- Credit requirements, payments and penalties: resources cleared in the market are paid at the clearing price for the year in question. The pacer of payments can be monthly or weekly. In some representative US markets, CM prices per kW and month are around $4/kW-year.
4.1. Evaluation of DR&EE in CM: An Economic Model to Evaluate and Build Demand Packages
It is necessary, in order to fully define the offers resulting from EE&DR (for the participation in CM markets but also in energy markets), to determine the related costs and revenues, so that the price for these offers can be set up (the change in energy patterns has been presented in Section 3.1). The value of each kW package (€/kW-year) to be offered in CM markets can be obtained for a pre-feasibility study (without taking into account escalation rates, for simplicity) by the Equation (13):
The parameters of model (13) are presented in Table 7.
Table 7.
Items being considered for the evaluation of energy packages, revisited from [60].
5. Results and Discussion
Simulations of residential DR&EE policies through an aggregator, both in energy and capacity markets, have been performed and are described in this section. This theoretical aggregator manages a number of residential users (see customer characteristics in Section 2.2) high enough (up to 10 CT with loads very closed to the load shown in Figure 2a to obtain a minimum level of response of 100 kW (minimum size for energy packages. Moreover, it is assumed that around 20–30% of customers are engaged in DR).
The average price for winter 2015 has been selected. Taking into account that the Spanish Market does not allow DR policies for small segments, a Capacity Market does not exist (capacity payments are limited to price-based mechanism to reward supply-side investments) and aggregation is not allowed [5], PJM prices [4] in CM and Day-Ahead markets are used as a reference for price changes (see Figure 7a,b. So, they have been used for the proposed models described in Section 3 and Section 4.
Figure 7.
PJM Day-Ahead Prices: (a) February 2015; (b) Peak days and average value.
5.1. Effects of Elasticity: Feedback from PBLM Simulation
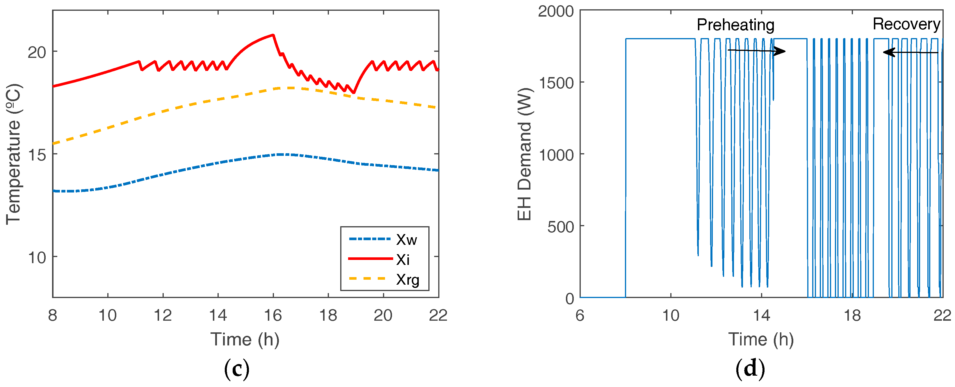
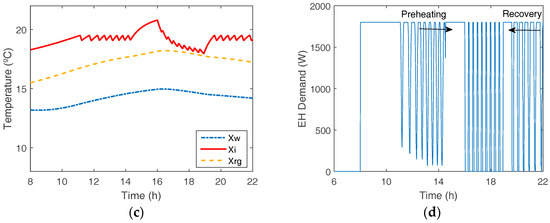
Electric heating (EH) loads managed by the aggregator are split in twenty quasi-homogeneous control groups (q-hcg), with similar sizes and demand. The aggregator energy-management system is programmed to apply a preheating policy (one and a half hours before peak price period), then ON/OFF control policies are fitted during the high price periods, taking into account energy paybacks after control of EHs. The time period selected for control starts at 16 h. Figure 8a,b present some detailed results in preheating, control and payback periods (assumed baseline profiles in steady-state and temperature, for simulation purposes, are the curves previously displayed in Figure 2a,b. It can be seen that preheating has some advantages with regards to conventional control during the control period (from 16 to 19 h:), that’s to say, increased customer comfort (see Xi in Figure 8a, a lower energy buyback (see PP-ctr dynamics in Figure 8b and a small increase of indirect storage in building envelope materials (see Xw in Figure 8a.
Figure 8.
Example of three PBLM simulations: steady state (ss), control from 16 to 19 h (ctr), preheating from 14–16 h (preh) and a further control (16 a 19 h). Duty cycle 25%. (a) State variables/temperatures with and under DR control (Xw: external walls; Xi: indoor; Xrg: roof/ground); (b) Demand or an EH average load (1800 W) in steady state and under two control scenarios.
From a practical point of view, q-hcg aggregations of EH end-uses need to be lagging with different intervals to achieve a “flat profile” during the control period. Figure 9 presents some simulation results and Table 8 shows in detail outputs from PBLM and load aggregation tools [40].
Figure 9.
PBLM simulations for twenty q-hcg groups: (a) EH aggregated demand without and under DR control (DR: control from 16 to 19; DR&preh: preheating + control); (b) Effects of control in CT curve in steady state (see Figure 2a and under two control scenarios: preheating and conventional control.
Table 8.
Customer load-service state evaluated by the simulation of PBLMs, with several policies. The load service was the temperature inside living room Xi (°C).
5.2. Effects of Elasticity: PRD Simulation
All the data obtained from PBLM simulations are ready to feed PDR and CM models as input vectors. The model presented in Section 3.1 has been implemented in Matlab. Several values for elasticity have been tested. Figure 10 presents values for own elasticity applied to EH end-use and areas with non-zero values in E matrix in the case of substitution elasticity (for Eik, values from 0.01 to 0.05 have been selected). Remember that this model also takes into account preheating and energy recovery periods.
Figure 10.
Own and substitution elasticity values for EH end-use (for peak price days shown in Figure 7b.
With these values, the model presented in Section 3.1 gives the output shown in Figure 11a,b. Figure 11a shows the performance of the model for the specific end-use EH (eu = EH) given by Equation (10). It is important to note that Equation (10) for eu = EH presents coherent results from the point of view of load flexibility behaviour obtained from PBLM models (see Figure 9 and Figure 11 in the time interval from 14 to 21 h). Figure 11b shows results for the overall demand of the customer group (the results for an average customer representative of the aggregation of residential households in CT load, see Figure 2a.
Figure 11.
DRP model simulations at end-use and global demand levels due to different terms in Equations (10) and (11): own and substitution elasticity effects and LR and LS terms: (a) EH demand; (b) Overall demand of an average residential customer.
It is interesting to evaluate PDR results from an economic point of view to assess the interest of price-based response for the customer. For this evaluation, a ToU tariff was selected for the customer. For simplicity, this tariff has two periods: off peak, from 10 p.m. to 12 a.m. and on peak from 12 a.m. to 10 p.m. During Off-Peak hours, energy would cost a low €0.10 per kilowatt-hour. Between the Peak hours of 5 p.m. to 8 p.m., the price would be $0.18 per kWh. The energy price in the markets follows the price shown in Figure 7 but in euros (for simplicity). Table 9 and the data used in Figure 11b give the changes in demand attributable to PDR. In this table, the reader can assess the overall revenue for an average customer. This revenue is due to the benefit from energy bids in the energy market, the change in tariff costs due to the change of demand from on-peak to off-peak and in some case (preheating) the cost due to the increase in demand or rebound effects (after DR periods as shown in Table 9). The PJM energy prices in winter from 2014 to 2016 [4] have been used for simulation purposes, if and only if the prices in the energy market are greater than customer retail price.
Table 9.
Conditions during (control period) and after (payback period) DR policies applied to EH (HVAC) end-use. Notice m(t) is the ratio (avg) on time vs. on + off switching times for EH [40].
As can be seen in Table 10, the savings due to DR are of limited interest from the point of view of the customer and the aggregator. The change of revenue due to the flexibility in EH only or in the overall demand does not justify the complexity in the management of all the customer load. Obviously, for the energy market, the flexibility and the elasticity of demand-side are an important concern to improve efficiency, reduce volatility [22,30,43] and to avoid market power from supply-side. Assuming 20 days per season in which the customer (aggregator) can offer DR and also considering these offers are cleared in the market, the revenue due to DPR (taking into account data in Table 10) reaches around €15 per season (winter/summer periods). This revenue alone, does not justify the necessary investments in enabling technology to perform PDR (load monitoring, control and communication). This fact explains the decrease in PDR revenue in several markets during the last decade [22].
Table 10.
Economic results for the customer PDR (data: 23 February 2015. Offer period from 16 to 19 h).
5.3. Assignation of an Economic Value to DR&EE in Energy Offer Curves
For simulation purposes and to test the model proposed in Section 4.1, four EE&DR policies have been considered. The labels correspond to EE1: the improvement of window insulation (U factor); EE2: replacement of two CFL lamps; EE3: the change of a conventional WH with a more efficient Heat Pump Water Heater (HPWH) and DR1: the management of EH end-use (in a similar way to the one described in Section 5.1). To determine the size of packages, it is considered that the aggregator manages 2000 residential customers in Spain (10 CT groups, see Figure 2a). Incentives, subsidies, ICT costs and CM clearing prices and Day-Ahead prices in the USA and UE have been considered in some cases [61,62,63,64] to improve the significance of results. The substitution of technology is considered (change of lighting to LED lamps and WH to Heat Pump WH) because it offers an opportunity for DR (the establishment of synergies between DR and EE). Table 11 and Table 12 show some values of coefficients in Equation (13) for the four DR&EE policies being considered.
Table 11.
Example of enabling technology costs: ICT coefficient in Equation (12).
Table 12.
Example of different coefficients in Equation (13).
Results from Equation (13), after consideration of the values of coefficients in Table 11 and Table 12, energy market prices and in the case of a market operational lifetime (mlife in Equation (13)) of four years, are shown in Table 13. The economic model driven by Equation (13) allows analysis of the sensitivity of energy offers with respect to relevant parameters such as market price, market lifetime and especially ICT/enabling technology investments.
Table 13.
Value of energy offers from Equation (12).
It is interesting to note that DR1 policy is a candidate to be cleared in the market. To improve the possibilities of market clearing in the capacity market and to improve the potential in PDR, the use of Thermal Storage loads is considered (TES), in this case through the use of ceramic bricks as the heat reservoir. This load is well known in the EU (continental climate areas in Spain, Germany and UK) and also in the USA. It is an interesting option to EE from an economic point of view and it is also interesting to deploy mixed policies (EE&DR). Several reports in the literature discuss barriers to the coordination of energy efficiency and demand response programs [65]. Different residential TES have been considered from a reputed EU manufacturer [66]. The power of TES loads range from 800 W to 3200 W (with a storage capacity from 6.4 to 25.6 kWh). The PBLM load model (see Figure 5b has been used to select the TES demand and the size of the reservoir and for evaluating load response and customer comfort. Some results are shown in Figure 12. Figure 12a corresponds to the simulation of a 3.2 kW TES load that only stores in the off-peak period. Figure 12b corresponds to the simulation of a 2 kW load with two storage policies: in “bid 1” policy the load stores heat only during the night whereas in “bid 2” strategy the load stores heat during two periods (off-peak and on-peak periods). In the last case, TES load covers partially the service and support the principal heating load (for instance a heat pump load, this can be justified because during cold periods heap pumps suffer from a loss of performance due to low outdoor temperatures during winter season and need an auxiliary source of heat).
Figure 12.
A simulation of the main TES State variables (see Figure 5b: (a) TES for full storage. Rated power 3.2 kW, storage capacity 25.6 kWh (b) TES for partial storage. Rated power 2 kW, storage capacity 16 kWh. The main characteristics of load can be found in [66]. Note that, for the sake of clarity, the graphic for Xac state (temperature of ceramic bricks, i.e., the heat reservoir) is made to a scale of 1:100.
Table 14 shows five DR policies to evaluate offers (OFP) in the capacity markets through Equation (13). It has been considered the initial state (conventional EH load), the change of this load by TES loads and the change of the load by a heat pump and TES load to profit from the ToU tariff. All the possibilities are cost-effective for the customer because it can reduce both demand charges (the shift of the customer demand from peak to off-peak hours that shaves peaks in daily load curve) and energy terms (through the higher efficiency of the heat pump, or by the change of consumption, from peak to off-peak ToU periods, in the case of TES). In this case, the net benefit obtained from the participation in the CM ranges from 12 to 24 €/year (demand and energy savings make cost-effective the deployment of ICT, see these costs in Table 11). The participation in both markets means a net benefit that reaches 40 €/year without regard to energy savings due to tariffs and other “benefits” for the customer: the information of cost of each energy use and their management, the contribution to the sustainability of the power system or the improvement of the service rendered by loads and appliances.
Table 14.
Coefficients in Equation (13) for DR policies.
6. Conclusions
The improvement of the efficiency in Electricity Markets and the correct operation of Power Systems can be partially achieved from a more active participation of the demand-side, such as recognized by regulators worldwide. Moreover, the integration of new renewable resources needs an increase of the flexibility in the demand-side and small and medium customer segments must develop a more important role in the future according to their share in the system demand. The engagement of these segments in DR&EE can benefit from ICT and new tools that make easier the birth, development and consolidation of new customer skills to answer to markets opportunities and fulfil with power systems requirements, while managing their energy costs. The flexibility of demand depends on: the capability of technology to implement DR&EE, the electrical behaviour of loads (i.e., the dynamic behaviour of loads that explain its demand) and the functional model of load (i.e., the use the consumers make of loads and their willingness to change their patterns of consumption in response to prices, incentives or penalties).
A revisited methodology which allows considering customer response to prices through demand elasticity, customer energy patterns (daily end uses) and elemental and aggregated load dynamics (trough PBLM models) has been presented in this work to evaluate demand flexibility ranges. The main advantage of this methodology it that it considers and integrates customer and load behaviours and not only one of these aspects. Moreover, the method considers the advantages of the disaggregation of overall demand into elemental end-uses and, in this way, taking into account the boundary conditions of each appliance/load to provide response. Finally, the model integrates interesting possibilities such are preheating/precooling policies, demand recovery (energy buyback) or additional demand (demand losses) explained as a consequence of loss or change of service due to the implementation of demand response. Summarizing, PBLM provides feedback to customers/aggregators and improve their right response.
Another concern for customers and aggregators is to determine the value of the energy. Supply-side has deployed along the years a strong methodology to fix and optimize costs. This is not an easy task for small size segments, because energy is not the main concern for these users. The paper proposes a relatively simple model that takes into account the main factors that explain the costs of demand flexibility and the cost-effectiveness of DR policies. This method also makes possible to perform a sensitivity analysis of the main parameters that explain DR&EE cost to evaluate potential risks attributable to those policies: incentives, market prices, capital investments or ICT costs.
The proposed methodology is applied to the case of a group of residential customers in Spain and focused to the most important and flexible end-use: electric heating/conditioning. Due to regulatory barriers, the paper also assumes the hypothesis that customer has access to advanced DR policies and aggregation is allowed at low levels, i.e., one hundred of kW (threshold being used in several US markets) and uses price of energy and capacity markets which allow aggregation. The simulations performed are oriented both to define demand offers as well as to simulate the results of its implementation. Also, some examples of EE policies are considered to test the flexibility of the methodology.
Medium term objectives of authors in future works are: First the integration of ICT models, with the support of REDYD2050 Spanish research network, to take into account the requirements of these technologies in the load response. Second, to refine PBLM models to take into account more loads in the models, specially WH, including heat pumps WH. Third, to consider the possibility to include renewable generation in the demand-side (i.e., prosumers) and finally to adapt the model to consider new markets and specifically Ancillary Services Markets, where faster and automated models are required to aggregate and provide response requirements.
Acknowledgments
This work was supported by the Ministerio de Economía, Industria y Competitividad (Spanish Government) under research projects ENE2015-70032-REDT, ENE-2016-78509-C3-1-P&2-P and EU FEDER funds. Authors have also received funds from these grants for covering the costs to publish in open access.
Author Contributions
Antonio Gabaldón and María del Carmen Ruiz-Abellón conceived and designed the experiments. Sergio Valero-Verdú and Antonio Guillamón and Ana García-Garre programmed the algorithms, developed and wrote the section concerning the elasticity of demand. Carlos Álvarez and Roque Molina collected the data, developed and wrote the section concerning the energy market. Antonio Gabaldón developed and wrote the section concerning PBLM and Demand Response policies in Capacity Markets. All authors have approved the final manuscript.
Conflicts of Interest
The authors declare no conflict of interest.
References
- Directive of the European Parliament and of the Council on Common Rules for the Internal Market in Electricity (Recast). COM (2016) 864 Final/2. Available online: https://ec.europa.eu/energy/sites/ener/files/documents/1_en_act_part1_v7_864.pdf (accessed on 31 December 2017).
- Arias, M. A modern Energy Union for competitive, secure and sustainable energy for the European Industry. In Proceedings of the 2015 Euro Economic Congress, Katowice, Poland, 20–22 April 2015. [Google Scholar]
- Faruqui, A.; Sergici, S. Household response to dynamic pricing of electricity: A survey of 15 experiments. J. Regul. Econ. 2010, 38, 193–225. [Google Scholar] [CrossRef]
- PJM. Demand Response. Available online: http://www.pjm.com/markets-and-operations (accessed on 28 August 2017).
- Smart Energy Demand Coalition (SEDC). Explicit Demand Response in Europe. Mapping the Markets. Available online: http://www.smarten.eu/ (accessed on 19 December 2017).
- Energy Networks Association (UK). Smart Demand Response: A Discussion Paper. Available online: http://www.energynetworks.org/news/publications/reports.html (accessed on 29 January 2018).
- ENTSOE. Market Design for Demand Side Response. Policy Paper. November 2015. Available online: https://www.entsoe.eu/Documents/Publications (accessed on 19 December 2017).
- Smart Grid Investment Grant Program. Progress Report II. 2013. Available online: https://www.smartgrid.gov/recovery_act/overview/smart_grid_investment_grant_program.html (accessed on 29 January 2018).
- Heiskanen, E.; Hyvönen, K.; Laakso, S.; Laitila, P.; Matschoss, K.; Mikkonen, I. Adoption and Use of Low-Carbon Technologies: Lessons from 100 Finnish Pilot Studies, Field Experiments and Demonstrations. Sustainability 2017, 9, 847. [Google Scholar] [CrossRef]
- Denholm, P.; O’Connell, M.; Brinkman, G.; Jorgenson, J. Overgeneration from Solar Energy in California: A Field Guide to the Duck Chart, NREL Report. NREL/TP-6A20-65023; 2015. Available online: http://www.nrel.gov/publications (accessed on 19 December 2017).
- Álvarez, C.; Moreno, J.I.; López, G.; Carrillo, C.; Ramírez, I.J.; Matanza, J.; Valero-Verdu, S.; Gabaldón, A.; Ruiz, M. Methodologies and proposals to facilitate the integration of small and medium consumers in smart grids. CIRED Open Access Proc. J. 2017, 2017, 1895–1898. [Google Scholar] [CrossRef]
- Council of European Energy Regulators (CEER). CEER advice on Ensuring Market and Regulatory Arrangements Help Deliver Demand-Side Flexibility. Ref: C14-SDE-40-03. June 2014. Available online: http://www.ceer.eu/ (accessed on 19 December 2017).
- Chicco, G. Overview and performance assessment of the clustering methods for electrical load pattern grouping. Energy 2012, 42, 68–80. [Google Scholar] [CrossRef]
- Zeifman, M.; Roth, K. Nonintrusive Appliance Load Monitoring: Review and Outlook. IEEE Trans. Consum. Electron. 2011, 57, 76–84. [Google Scholar] [CrossRef]
- Gabaldon, A.; Molina, R.; Marin-Parra, A.; Valero-Verdu, S.; Álvarez, C. Residential End-Uses Disaggregation and Demand Response Evaluation Using Integral Transforms. J. Mod. Power Syst. Clean Energy 2017, 5, 91–104. [Google Scholar] [CrossRef]
- Gabaldon, A.; Guillamon, A.; Ruiz, M.C.; Valero, S.; Alvarez, C.; Ortiz, M.; Senabre, C. Development of a methodology for clustering electricity-price series to improve customer response initiatives. IET Gener. Trans. Distrib. 2010, 4, 706–715. [Google Scholar] [CrossRef]
- Ihara, S.; Schweppe, F.C. Physically Based Modeling of Cold Load Pickup. IEEE Power Eng. Rev. 1981, 1, 27–28. [Google Scholar] [CrossRef]
- US Department of Energy (DoE). eQUEST. The Quick Energy Simulation Tool. Available online: http://doe2.com/equest/ (accessed on 28 August 2017).
- Chatzivasileiadis, S.; Bonvini, M.; Matanza, J.; Yin, R.; Nouidui, T.S.; Kara, E.C.; Parmar, R.; Lorenzetti, D.; Wetter, M.; Kiliccote, S. Cyber physical modeling of distributed resources for distribution system operations. IEEE Proc. 2015, 104, 789–806. [Google Scholar] [CrossRef]
- Alvarez, C.; Gabaldón, A. Assessment and Simulation of the Responsive Demand Potential in End-User Facilities: Application to a University Customer. IEEE Trans. PWRS 2004, 19, 1223–1231. [Google Scholar]
- Gomes, A.; Henggeler, C.; Martinho, J. A physically-based model for simulating inverter type air conditioners/heat pumps. Energy 2013, 50, 110–119. [Google Scholar] [CrossRef]
- PJM Interconnection. Demand Response Strategy. Report. June 2017. Available online: http://www.pjm.com/~/media/library/reports-notices/demand-response/20170628-pjm-demand-response-strategy.ashx (accessed on 28 December 2017).
- Callaway, D.S. Tapping the energy storage potential in electric loads to deliver load following and regulation, with application to wind energy. Energy Convers. Manag. 2009, 50, 1389–1400. [Google Scholar] [CrossRef]
- Perfumo, C.; Kofman, E.; Braslavsky, J.H.; Ward, J.K. Load Management: Model-based control of aggregate power for populations of thermostatically Controlled Loads. Energy Convers. Manag. 2012, 55, 36–48. [Google Scholar] [CrossRef]
- Mathieu, J.L.; Dyson, M.; Callaway, D. Using Residential Electric Loads for Fast Demand Response: The Potential Resource and Revenues, the Costs and Policy Recommendations. In Proceedings of the 2012 ACEEE Summer Study on Energy Efficiency in Buildings, Pacific Grove, CA, USA, 12–17 August 2012. [Google Scholar]
- Zhang, W.; Lian, J.; Chang, C.; Kalsi, K. Aggregated Modeling and Control of Air Conditioning Loads for Demand Response. IEEE Trans. Power Syst. 2013, 28, 4655–4664. [Google Scholar] [CrossRef]
- Shao, S.; Pipattanasomporn, M.; Rahman, S. Development of physical-based demand response-enabled residential load models. IEEE Trans. Power Syst. 2013, 28, 607–614. [Google Scholar] [CrossRef]
- Vrettos, E.; Koch, S.; Andersson, G. Load frequency control by aggregations of thermally stratified electric water heaters. In Proceedings of the 3rd IEEE PES International Conference and Exhibition on Innovative Smart Grid Technologies (ISGT Europe), Berlin, Germany, 14–17 October 2012; pp. 1–8. [Google Scholar]
- Federal Energy Regulatory Commission (FERC) USA. “Assessment of Demand Response and Advanced Metering: Staff Report”. December 2016. Available online: https://www.ferc.gov/legal/staff-reports/2016/DR-AM-Report2016.pdf (accessed on 19 December 2017).
- Faruqui, A.; Harris, D.; Hledick, R. Unlocking the €53 Billion Savings from Smart Meters in the EU: How increasing the adoption of dynamic tariffs could make or break the EU’s smart grid investment. Energy Policy 2010, 38, 6222–6231. [Google Scholar] [CrossRef]
- KEMA Inc. PJM Empirical Analysis of Demand Response Baseline Methods; KEMA Inc.: Arnhem, The Netherlands, 2011; Available online: https://www.pjm.com/~/media/markets-ops/dsr/pjm-analysis-of-dr-baseline-methods-full-report.ashx (accessed on 31 October 2017).
- NYISO Paper. Demand Response Operations. Emergency Demand Response Program Manual. June 2016. Available online: http://www.nyiso.com/public/webdocs/markets_operations/documents/Manuals_and_Guides/Manuals/Operations/edrp_mnl.pdf (accessed on 31 October 2017).
- Ruiz, M.D.C.; Guillamón, A.; Gabaldón, A. A new approach to measure volatility in energy markets. Entropy 2012, 14, 74–91. [Google Scholar] [CrossRef]
- Ellegård, K.; Palm, J. Visualizing energy consumption activities as a tool for making everyday life more sustainable. Appl. Energy 2011, 88, 1920–1926. [Google Scholar] [CrossRef]
- Bertoldi, P.; Zancanella, P.; Boza-Kiss, B. Demand Response Status in EU Member States; Eur. 27998 EN; EU Science Hub: Brussels, Belgium, 2016. [Google Scholar] [CrossRef]
- Bertoldi, P.; López-Lorente, J.; Labanca, N. Energy Consumption and Energy Efficiency Trends in the EU-28 2000–2014; EUR 27972 EN; EU Science Hub: Ispra, Italy, 2016. [Google Scholar] [CrossRef]
- Instituto Para la Diversificación y Ahorro de la Energía (IDAE). Consumo por Usos y Energías del Sector Residencial (2010–2015). Available online: http://www.idae.es/informacion-y-publicaciones/estudios-informes-y-estadisticas (accessed on 28 August 2017).
- US Energy Information Administration. Residential Energy Consumption Survey (2015 RECS Survey Data); US Energy Information Administration: Washington, DC, USA, 2015. Available online: https://www.eia.gov/consumption/residential/data/2015/ (accessed on 19 December 2017).
- The Japan Refrigeration and Air Conditioning Industry Association. World Air Conditioner Demand by Region; The Japan Refrigeration and Air Conditioning Industry Association: Minato-ku, Tokyo, 2017. [Google Scholar]
- Demand Response Web Page. Available online: http://www.demandresponse.eu (accessed on 29 December 2017).
- Li, X.; Wen, J. Review of building energy modelling for control and operation. Renew. Sustain. Energy Rev. 2014, 37, 517–537. [Google Scholar] [CrossRef]
- Ruiz-Abellón, M.C.; Guillamón, A.; Gabaldón, A. Dependency-aware clustering of time series and its application on energy markets. Energies 2016, 9, 809. [Google Scholar] [CrossRef]
- Faruqui, A.; Sergici, S. Dynamic Pricing & Demand Response. IPU’s Annual Regulatory Studies Program. University of Michigan, 2016. Available online: http://www.brattle.com/news-and-knowledge/publications/archive/2016 (accessed on 29 December 2017).
- Labandeira, X.; Labeaga, J.M.; López-Otero, X. Estimation of Elasticity Price of Electricity with Incomplete Information. Energy Econ. 2012, 34, 627–633. [Google Scholar] [CrossRef]
- Rai, A.; Reedman, L.; Graham, P. Price and income elasticities of residential electricity demand: The Australian evidence. In Proceedings of the Australian Conference of Economists, Hobart, Australia, 1–4 July 2014. [Google Scholar]
- Bernstein, M.A.; Griffin, J. Regional Differences in the Price-Elasticity of Demand for Energy; RAND Corporation: Santa Monica, CA, USA, 2005; Available online: https://www.rand.org/pubs/technical_reports/TR292.html (accessed on 29 October 2017).
- Neenan, B.; Eom, J. Price Elasticity of Demand for Electricity: A Primer and Synthesis; Electric Power Research Institute (EPRI) Report; Electric Power Research Institute: Palo Alto, CA, USA, 2008. [Google Scholar]
- Ros, A.J. An Econometric Assessment of Electricity Demand in the United States Using Utility-Specific Panel Data and the Impact of Retail Competition on Prices. Energy J. 2017, 38, 73–99. [Google Scholar] [CrossRef]
- Fan, S.; Hyndman, R.J. The price elasticity of electricity demand in South Australia. Energy Policy 2011, 39, 3709–3719. [Google Scholar] [CrossRef]
- Burnett, C. American Electric Power 2016 Price Elasticity Study. In Proceedings of the Itron’s 15th Energy Forecasting Meeting, Chicago, IL, USA, 26–28 April 2017; Available online: http://capabilities.itron.com/efg/2017/12_ChadBurnett.pdf (accessed on 19 December 2017).
- Hosseini Imani, M.; Niknejad, P.; Barzegaran, M.R. The impact of customers’ participation level and various incentive values on implementing emergency demand response program in microgrid operation. Int. J. Electr. Power Energy Syst. 2018, 96, 114–125. [Google Scholar] [CrossRef]
- Moghaddam, M.P.; Abdollahi, A.; Rashidinejad, M. Flexible demand response programs modelling in competitive electricity markets. Appl. Energy 2011, 88, 3257–3269. [Google Scholar] [CrossRef]
- Sharifi, R.; Anvari-Moghaddam, A.; Fathi, S.H.; Guerrero, J.M.; Vahidinasab, V. Economic demand response model in liberalised electricity markets with respect to flexibility of consumers. IET Gener. Transm. Distrib. 2017, 11, 4291–4298. [Google Scholar] [CrossRef]
- Mohajeryami, S.; Moghaddam, I.; Doostan, M.; Vatani, B.; Schwarz, P. A novel economic model for price-based demand response. Electr. Power Syst. Res. 2016, 135. [Google Scholar] [CrossRef]
- Schweppe, F.C.; Caramanis, M.C.; Tabors, R.D.; Bohn, R.E. Spot Pricing of Electricity; Kluwer Ltd.: Boston, MA, USA, 1998. [Google Scholar]
- Aalami, H.A.; Parsa, M.; Yousefi, G.R. Demand response modeling considering interruptible/curtailable loads and capacity markets programs. Appl. Energy 2010, 87, 243–250. [Google Scholar] [CrossRef]
- Aalami, H.A. Khatibzadeh, A. Regulation of market clearing price based on nonlinear models of demand bidding and emergency demand response programs. COM (2015) 339 final: Communication from the EC on a New Deal for Energy Consumers. Int. Trans. Electr. Energ. Syst. 2016, 26, 2463–2478. [Google Scholar] [CrossRef]
- Kessels, K.; Kraan, C.; Karg, L.; Maggiore, S.; Valkering, P.; Laes, E. Fostering Residential Demand Response through Dynamic Pricing Schemes: A Behavioural Review of Smart Grid Pilots in Europe. Sustainability 2016, 8, 929. [Google Scholar] [CrossRef]
- Medina, A.; Cámara, A.; Monrobel, J.R. Measuring the Socieconomic and Environmental Effects of Energy Efficiency Investments for a More Sustainable Spanish Economy. Sustainability 2016, 8, 1029. [Google Scholar] [CrossRef]
- Gabaldón, A.; Alvarez, C.; Marín-Parra, A.; Guillamón, A.; Valero, S.; Senabre, C.; López, M. A Methodology for the Design of Offer Curves in the Future Capacity Markets through Energy Efficiency. In Proceedings of the EEDAL Conference, Lucerne, Switzerland, 26–28 August 2015. [Google Scholar]
- Potter, J.; Cappers, P. Demand Response Advanced Controls Framework and Assessment of Enabling Technology Costs; LBNL Report; UC Open Access Publications: Berkeley, CA, USA, 2017. [Google Scholar]
- Sustainable Energy Authority of Ireland (SEAI). Energy Efficiency Obligation Scheme-Ireland. 2014. Available online: http://www.seai.ie/EEOS/EEOS-Guidance-Document.pdf (accessed on 29 December 2017).
- General Electric. GeoSprint™ Hybrid Water Heater. Available online: http://www.geappliances.com/heat-pump-hot-water-heater/ (accessed on 29 December 2017).
- Pacific Gas and Electric Co., USA. Lighting Rebate Catalog. Available online: http://pge.com/businessrebates (accessed on 29 December 2017).
- National Action Plan for Energy Efficiency. Coordination of Energy Efficiency and Demand Response. Prepared by Charles Goldman Michael Reid (E Source), Roger Levy and Alison Silverstein. 2010. Available online: https://eetd.lbl.gov/sites/all/files/publications/report-lbnl-3044e.pdf (accessed on 29 January 2018).
- Gabarron (ELNUR SA). Manufacturers of Electrical Heating Solutions: Storage Heaters. Available online: http://www.elnur.es/productos/acumulad/iacum.htm (accessed on 29 January 2018).
© 2018 by the authors. Licensee MDPI, Basel, Switzerland. This article is an open access article distributed under the terms and conditions of the Creative Commons Attribution (CC BY) license (http://creativecommons.org/licenses/by/4.0/).












