Neurodevelopmental Profile of a 4.5-Year-Old Girl with Tetrasomy X
Abstract
1. Introduction
2. Case Presentation
2.1. Case Report
2.2. Data Collection
3. Results
3.1. General Observation
3.2. Test Results
3.2.1. Cognitive Profile
3.2.2. Speech and Language Profile
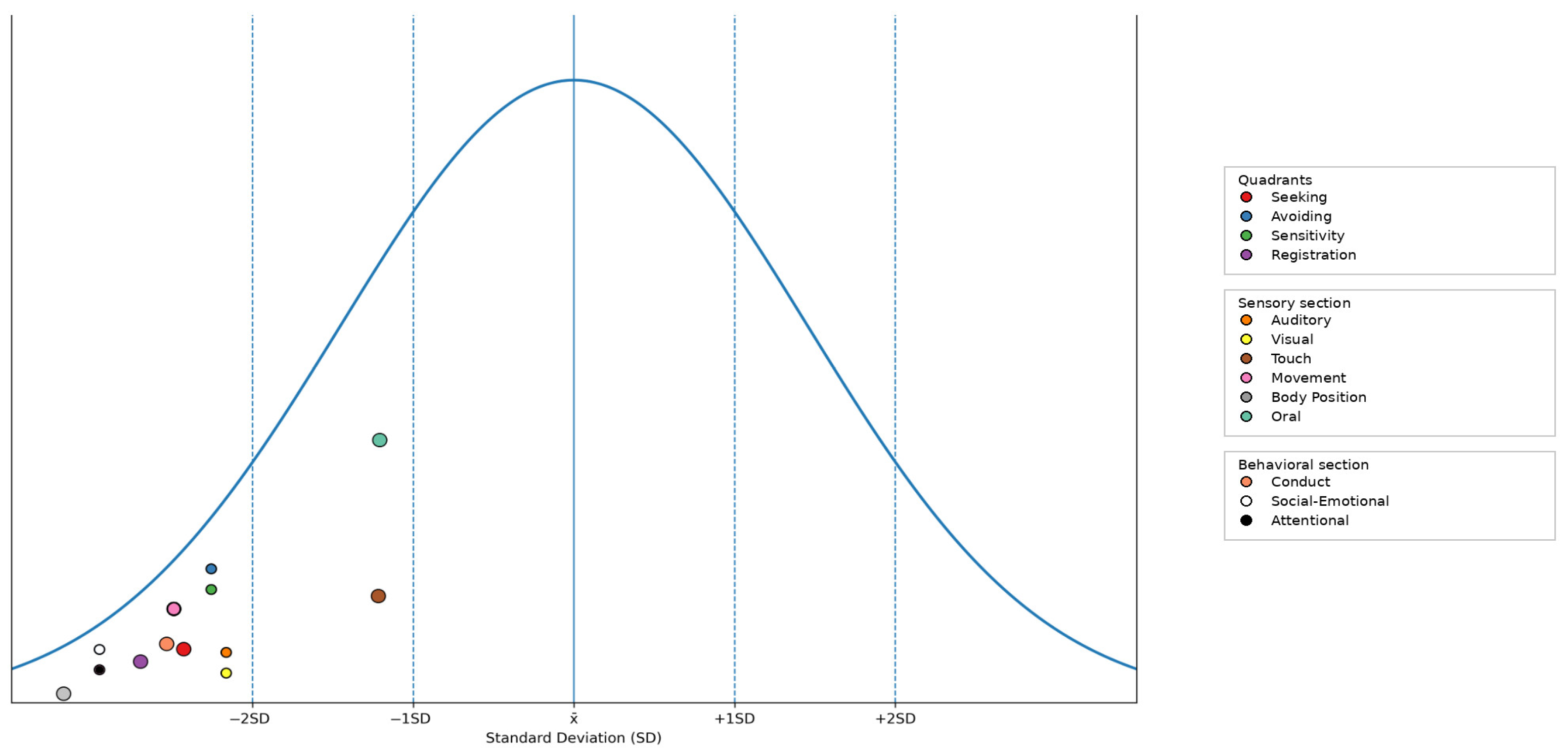
3.2.3. Sensory Profile
3.2.4. Profile of Adaptive Functioning
4. Discussion
5. Strengths and Limitations
6. Conclusions
Supplementary Materials
Author Contributions
Funding
Institutional Review Board Statement
Informed Consent Statement
Data Availability Statement
Acknowledgments
Conflicts of Interest
Abbreviations
| SCA | Sex chromosome aneuploidy |
| ASD | Autism spectrum disorder |
| TEOAEs | Transient Evoked Otoacoustic Emissions |
| BERA | Brainstem Evoked Response Audiometry |
| DMSA | Dimercaptosuccinic acid scan |
| IEPSP | Institute for Experimental Phonetics and Speech Pathology |
| KSAFA | Kostić’s Selective Auditory Filter Amplifier |
| NBBS | New Belgrade Binet–Simon Scale |
| RTČ-P | Čuturić Developmental Test |
| PPVT-III-HR | Peabody Picture Vocabulary Test, third edition—Croatian version |
| NRDLS-SR | New Reynell Developmental Language Scales, Serbian version |
| GAT | Global Articulation Test |
| CCC-2 | Children’s Communication Checklist—Second Edition |
| SLI | Specific language impairment |
| GCC | General Communication Composite |
| SIDC | Social Interaction Deviance Composite |
| SP-2 | Sensory Profile 2 |
| VABS-II | Vineland Adaptive Behavior Scales, second edition: parent/caregiver rating form |
| GARS-3 | Gilliam Autism Rating Scale, third edition |
| AI | Autism Index |
References
- Bilge, S.; Mert, G.; Özcan, N.; Özcanyüz, D.; Hergüner, M.; Incecik, F.; Altunbasak, S. Tetrasomy X, a Rare Cause of Epilepsy and Behavior Disorder. Acta Sci. Neurol. 2020, 3, 56–58. [Google Scholar]
- Rooman, R.; Van Driessche, K.; Du Caju, M.V. Growth and Ovarian Function in Girls with 48, XXXX Karyotype-Patient Report and Review of the Literature. J. Pediatr. Endocrinol. Metab. 2002, 15, 1051. [Google Scholar] [CrossRef] [PubMed]
- Skuse, D.; Printzlau, F.; Wolstencroft, J. Sex chromosome aneuploidies. Handb. Clin. Neurol. 2018, 147, 355–376. [Google Scholar] [PubMed]
- Schoubben, E.; Decaestecker, K.; Quaegebeur, K.; Danneels, L.; Mortier, G.; Cornette, L. Tetrasomy and pentasomy of the X chromosome. Eur. J. Pediatr. 2011, 170, 1325–1327. [Google Scholar] [CrossRef] [PubMed]
- Linden, M.C.; Bender, B.G.; Robinson, A. Sex chromosome tetrasomy and pentasomy. Pediatrics 1995, 96, 672–682. [Google Scholar] [CrossRef]
- Xiong, W.Y.; Jiang, Z.; Zou, C. Tetrasomy X in a Child with Multiple Abnormalities: Case Report and Literature Review from China. Hong Kong J. Paediatr. 2014, 19, 37–40. [Google Scholar]
- Anupam, K.; Pandhi, M.; Singh, J. 48, XXXX, A rare aneuploidy. Balk. J. Med. Genet. 2009, 12, 65–68. [Google Scholar] [CrossRef][Green Version]
- Halikowski, B.; Kleczkowska, A.; Gościńska, Z.; Knaus, A. ‘Superfemale syndrome’ in a 12-year-old girl (XXXX sex chromosome arrangement) associated with a combination of congenital abnormalities. Pediatr. Pol. 1969, 44, 1147–1154. [Google Scholar]
- Keane, J.F.; McLennan, J.E.; Chi, J.G.; Monedjikova, V.; Vawter, G.F.; Gilles, F.H.; Van Praagh, R. Congenital heart disease in a tetra-X woman. Chest 1974, 66, 726–729. [Google Scholar] [CrossRef]
- Alvaro-Gracia, J.; Humbria, A.; García-Vicuña, R.; Ariza, A.; García-Vadillo, A.; Laffón, A. Systemic lupus erythematosus and tetrasomy-X. J. Rheumatol. 1989, 16, 1486–1488. [Google Scholar]
- Kristesashvili, J.; Asanidze, E.; Sigua, N.; Chipashvili, M.; Kurua, E. Premature ovarian insufficiency in an adolescent girl with 48, XXXX karyotype: Case presentation and literature review. GREM Gynecol. Reprod. Endocrinol. Metab. 2023, 4, 024–028. [Google Scholar]
- Cammarata, M.; Di Simone, P.; Graziano, L.; Giuffrè, M.; Corsello, G.; Garofalo, G. Rare sex chromosome aneuploidies in humans: Report of six patients with 48, XXYY, 49, XXXXY, and 48, XXXX karyotypes. Am. J. Med. Genet. 1999, 85, 86–87. [Google Scholar] [CrossRef]
- Kara, C.; Üstyol, A.; Yılmaz, A.; Altundağ, E.; Oğur, G. Premature ovarian failure due to tetrasomy X in an adolescent girl. Eur. J. Pediatr. 2014, 173, 1627–1630. [Google Scholar] [CrossRef]
- Samango-Sprouse, C.; Keen, C.; Mitchell, F.; Sadeghin, T.; Gropman, A. Neurodevelopmental variability in three young girls with a rare chromosomal disorder, 48, XXXX. Am. J. Med. Genet. Part A 2015, 167, 2251–2259. [Google Scholar] [CrossRef] [PubMed]
- Davis, S.M.; Bloy, L.; Roberts, T.P.; Kowal, K.; Alston, A.; Tahsin, A.; Truxon, A.; Ross, J.L. Testicular function in boys with 47, XYY and relationship to phenotype. Am. J. Med. Genet. Part C Semin. Med. Genet. 2020, 184, 371–385. [Google Scholar] [CrossRef]
- Wigby, K.; D’Epagnier, C.; Howell, S.; Reicks, A.; Wilson, R.; Cordeiro, L.; Tartaglia, N. Expanding the phenotype of Triple X syndrome: A comparison of prenatal versus postnatal diagnosis. Am. J. Med. Genet. Part A 2016, 170, 2870–2881. [Google Scholar] [CrossRef]
- Martin, S.; Cordeiro, L.; Richardson, P.; Davis, S.; Tartaglia, N. The association of motor skills and adaptive functioning in XXY/Klinefelter and XXYY syndromes. Phys. Occup. Ther. Pediatr. 2019, 39, 446–459. [Google Scholar] [CrossRef]
- Salbenblatt, J.A.; Meyers, D.C.; Bender, B.G.; Linden, M.G.; Robinson, A. Gross and fine motor development in 47, XXY and 47, XYY males. Pediatrics 1987, 80, 240–244. [Google Scholar] [CrossRef]
- Salbenblatt, J.A.; Meyers, D.C.; Bender, B.G.; Linden, M.G.; Robinson, A. Gross and fine motor development in 45, X and 47, XXX girls. Pediatrics 1989, 84, 678–682. [Google Scholar] [CrossRef]
- Anderton, L.; McLendon, W.; Ford, E.; Hall, L. Two extra X-chromosomes found in a teenage girl. Hosp Trib. 1968, 2, 30–32. [Google Scholar]
- Berkeley, M.; Faed, M. A female with the 48, XXXX karyotype. J. Med. Genet. 1970, 7, 83. [Google Scholar] [CrossRef][Green Version]
- Hanicka, M.; Kleczkowska, A.; Makowska, J.; Sokolowski, J.; Jarczyk, K. [Iridoschisis in a girl with karyotype 48 XXXX]. Pol. Tyg. Lek. 1969, 24, 1164–1166. [Google Scholar] [PubMed]
- Hara, S.; Haywood, B.; Davis, K.; Sherrill, M.; Blackshear, A.; Crump, E. A black female with the 48, XXXX chromosome constitution. Am. J. Ment. Defic. 1975, 79, 464–466. [Google Scholar] [PubMed]
- Konishi, S.; Yanagisawa, S. A case of an XXXX sex chromosome complex. Off. J. Congeital Anom. Res. Assoc. Jpn. 1968, 8, 211–218. [Google Scholar]
- Gardner, R.M.; Sutherland, G.R.; Shaffer, L.G. Chromosome Abnormalities and Genetic Counseling; OUP: Cary, NC, USA, 2012. [Google Scholar]
- Tartaglia, N.; Ayari, N.; Howell, S.; D’Epagnier, C.; Zeitler, P. 48, XXYY, 48, XXXY and 49, XXXXY syndromes: Not just variants of Klinefelter syndrome. Acta Paediatr. 2011, 100, 851–860. [Google Scholar] [CrossRef]
- Bender, B.; Fry, E.; Pennington, B.; Puck, M.; Salbenblatt, J.; Robinson, A. Speech and language development in 41 children with sex chromosome anomalies. Pediatrics 1983, 71, 262–267. [Google Scholar] [CrossRef]
- Blackston, R.; Chen, A. A case of 48, XXXX female with normal intelligence. J. Med. Genet. 1972, 9, 230. [Google Scholar] [CrossRef] [PubMed][Green Version]
- Duncan, B.; Nicholl, J.O.; Downes, R. An XXXX sex chromosome complement in a female with mild mental retardation. Can. Med. Assoc. J. 1970, 102, 969. [Google Scholar]
- Padeniya, P.M.; Godapitiya, I.; Pathirana, D.R.; Jayasekara, R.W.; Dissanayake, V.H. A Sri Lankan child with 48, XXXX syndrome. Indian J. Pediatr. 2014, 81, 201–202. [Google Scholar] [CrossRef]
- Plauchu, H.; Ollagnon-Roman, E.; Armand, J.; Robert, J. The 48, XXXX syndrome: Study of psychomotor development from birth to 11 years of age and review of the literature. Ann. Genet. 1988, 31, 105–110. [Google Scholar]
- Robinson, A.; Bender, B.; Borelli, J.; Puck, M.; Salbenblatt, J.; Webber, M. Sex chromosomal abnormalities (SCA): A prospective and longitudinal study of newborns identified in an unbiased manner. Birth Defects Orig. Artic. Ser. 1982, 18, 7–39. [Google Scholar]
- Rodado, M.J.; Trives, I.M.; Bosch, B.L.; Sánchez, F.G. X tetrasomy (48, XXXX karyotype) in a girl with altered behaviour. Rev. Psiquiatr. Salud Ment. (Engl. Ed.) 2010, 3, 102–105. [Google Scholar] [CrossRef] [PubMed]
- Tartaglia, N.; Howell, S.; Davis, S.; Kowal, K.; Tanda, T.; Brown, M.; Boada, C.; Alston, A.; Crawford, L.; Thompson, T. Early neurodevelopmental and medical profile in children with sex chromosome trisomies: Background for the prospective eXtraordinarY babies study to identify early risk factors and targets for intervention. Am. J. Med. Genet. Part C Semin. Med. Genet. 2020, 184, 428–443. [Google Scholar] [CrossRef] [PubMed]
- Udhnani, M.; Maiman, M.; Blumenthal, J.D.; Clasen, L.S.; Wallace, G.L.; Giedd, J.N.; Raznahan, A.; Lee, N.R. Phonemic and semantic verbal fluency in sex chromosome aneuploidy: Contrasting the effects of supernumerary X versus Y chromosomes on performance. J. Int. Neuropsychol. Soc. 2018, 24, 917–927. [Google Scholar] [CrossRef] [PubMed]
- Alvarez-Vázquez, P.; Rivera, A.; Figueroa, I.; Páramo, C.; García-Mayor, R.V. Acromegaloidism with normal growth hormone secretion associated with X-tetrasomy. Pituitary 2006, 9, 145–149. [Google Scholar] [CrossRef]
- Nielsen, J.; Homma, A.; Christiansen, F.; Rasmussen, K. Women with tetra-X (48, XXXX). Hereditas 1977, 85, 151–156. [Google Scholar] [CrossRef]
- Gropman, A.; Samango-Sprouse, C.A. Neurocognitive variance and neurological underpinnings of the X and Y chromosomal variations. Am. J. Med. Genet. Part C Semin. Med. Genet. 2013, 163, 35–43. [Google Scholar] [CrossRef]
- Ricciardi, G.A.-O.; Cammisa, L.; Bove, R.; Picchiotti, G.; Spaziani, M.; Isidori, A.M.; Aceti, F.; Giacchetti, N.; Romani, M.; Sogos, C.A.-O. Clinical, Cognitive and Neurodevelopmental Profile in Tetrasomies and Pentasomies: A Systematic Review. Children 2022, 9, 1719. [Google Scholar] [CrossRef]
- Tartaglia, N.R.; Wilson, R.; Miller, J.S.; Rafalko, J.; Cordeiro, L.; Davis, S.; Hessl, D.; Ross, J. Autism Spectrum Disorder in Males with Sex Chromosome Aneuploidy: XXY/Klinefelter Syndrome, XYY, and XXYY. J. Dev. Behav. Pediatr. 2017, 38, 197–207. [Google Scholar] [CrossRef]
- Urbanus, E.A.-O.; van Rijn, S.; Swaab, H. A review of neurocognitive functioning of children with sex chromosome trisomies: Identifying targets for early intervention. Clin. Genet. 2020, 97, 156–167. [Google Scholar] [CrossRef]
- Jayaraman, D.A.-O.; Carvalho, K.S.; Hasbani, D.M. A case report of hypersomnia in tetrasomy X improved with medical therapy. Clin. Case Rep. 2018, 6, 893–895. [Google Scholar] [CrossRef] [PubMed]
- O’Connor, M.J.; Sherman, J. Case Study Schizophrenia in a 48, XXXX Child. J. Am. Acad. Child Adolesc. Psychiatry 1988, 27, 474–478. [Google Scholar] [CrossRef]
- DeLisi, L.E.; Friedrich, U.; Wahlstrom, J.; Boccio-Smith, A.; Forsman, A.; Eklund, K.; Crow, T.J. Schizophrenia and Sex Chromosome Anomalies. Schizophr. Bull. 1994, 20, 495–505. [Google Scholar] [CrossRef] [PubMed]
- Ćirović, M.; Jeličić, L.; Maksimović, S.; Fatić, S.; Marisavljević, M.; Bošković Matić, T.; Subotić, M. EEG Correlates of Cognitive Functions in a Child with ASD and White Matter Signal Abnormalities: A Case Report with Two-and-a-Half-Year Follow-Up. Diagnostics 2023, 13, 2878. [Google Scholar] [CrossRef] [PubMed]
- Maksimović, S.; Jeličić, L.; Marisavljević, M.; Fatić, S.; Gavrilović, A.; Subotić, M. Can EEG Correlates Predict Treatment Efficacy in Children with Overlapping ASD and SLI Symptoms: A Case Report. Diagnostics 2022, 12, 1110. [Google Scholar] [CrossRef]
- Bogavac, I.; Jeličić, L.; Marisavljević, M.; Bošković Matić, T.; Subotić, M. Arterial Presumed Perinatal Ischemic Stroke: A Mini Review and Case Report of Cognitive and Speech-Language Profiles in a 5-Year-Old Girl. Children 2023, 11, 33. [Google Scholar] [CrossRef]
- Ivić, I.; Milinković, M.; Rosandić, R.; Smiljanić, V. Nova Beogradska Bine-Simon Skala: Priručnik za Primenu i Interpretaciju; Institute for Psychology: Belgrade, Serbia, 1985. [Google Scholar]
- Čuturić, R. Razvojni Test; Zavod za Udžbenike i Nastavna Sredstva: Belgrade, Serbia, 1996. [Google Scholar]
- Sparrow, S.; Cicchetti, D.; Balla, D. Vineland Adaptive Behavior Scales—2nd Edition Manual; NCS Pearson Inc.: Minneapolis, MN, USA, 2005. [Google Scholar]
- Dunn, L.M.; Dunn, L.M.; Kovačević, M.; Padovan, N.; Hržica, G.; Kuvač Kraljević, J.; Mustapić, M.; Dobravac, G.; Palmović, M. Peabody Slikovni Test Rječnika, PPVT-IIIHR; Naklada Slap: Zagreb, Croatia, 2010. [Google Scholar]
- Edwards, S.; Letts, C.; Sinka, I.; Kuvač Kraljević, J.; Kologranić Belić, L.; Hržica, G.; Kovačević, M. Nove Reynell Razvojne Jezičke Skale: NRDLS-SR: Priručnik; Sinapsa Edicije: Belgrade, Serbia, 2022. [Google Scholar]
- Kostić, Đ.; Vladisavljević, S. Tests for Speech and Language Assessment—In Serbian; ZUNS: Bolton, UK, 1983. [Google Scholar]
- Dunn, W. Sensory Profile 2: User’s Manual; Psych Corporation: Chicago, IL, USA, 2014. [Google Scholar]
- Gilliam, J. Gilliam Autism Rating Scale, 3rd ed.; Pro-Ed: Austin, TX, USA, 2014. [Google Scholar]
- Bishop, D.V. The Children’s Communication Checklist—Second Edition (CCC-2); Pearson: San Antonio, TX, USA, 2006. [Google Scholar]
- Walzer, S.; Bashir, A.S.; Silbert, A.R. Cognitive and behavioral factors in the learning disabilities of 47, XXY and 47, XYY boys. Birth Defects Orig. Artic. Ser. 1990, 26, 45–58. [Google Scholar]
- Walzer, S.; Graham, J., Jr.; Bashir, A.; Silbert, A. Preliminary observations on language and learning in XXY boys. Birth Defects Orig. Artic. Ser. 1982, 18, 185–192. [Google Scholar]






| Correct | Types of Articulation Errors | ||||
|---|---|---|---|---|---|
| Mild Distortions | Severe Distortions | Substitutions | Omissions | ||
| Vowels | /a/, /u/ | /e/, /o/ | /i/ | ||
| Plosives | /p/, /t/ | /b/, /d/ | /k/, /g/ | ||
| Affricates | /ts/, /dʑ/, | /tɕ/, /tʃ/, /dʒ/ | |||
| Fricatives | /s/, /ʂ/, f/, /v/ | /z/, /ʑ/, /h/ | |||
| Aproximants | /j/ | ||||
| Nasals | /m/, /n/, /ɲ/ | ||||
| Laterals | /ɬ/, /ɮ/ | ||||
| Trill | /r/ | ||||
Disclaimer/Publisher’s Note: The statements, opinions and data contained in all publications are solely those of the individual author(s) and contributor(s) and not of MDPI and/or the editor(s). MDPI and/or the editor(s) disclaim responsibility for any injury to people or property resulting from any ideas, methods, instructions or products referred to in the content. |
© 2026 by the authors. Licensee MDPI, Basel, Switzerland. This article is an open access article distributed under the terms and conditions of the Creative Commons Attribution (CC BY) license.
Share and Cite
Marisavljević, M.; Stanojević, N.; Bogavac, I.; Milanović, I.; Maksimović, S.; Punišić, S.; Đorđević, J. Neurodevelopmental Profile of a 4.5-Year-Old Girl with Tetrasomy X. Pediatr. Rep. 2026, 18, 40. https://doi.org/10.3390/pediatric18020040
Marisavljević M, Stanojević N, Bogavac I, Milanović I, Maksimović S, Punišić S, Đorđević J. Neurodevelopmental Profile of a 4.5-Year-Old Girl with Tetrasomy X. Pediatric Reports. 2026; 18(2):40. https://doi.org/10.3390/pediatric18020040
Chicago/Turabian StyleMarisavljević, Maša, Nina Stanojević, Ivana Bogavac, Ivana Milanović, Slavica Maksimović, Silvana Punišić, and Jelena Đorđević. 2026. "Neurodevelopmental Profile of a 4.5-Year-Old Girl with Tetrasomy X" Pediatric Reports 18, no. 2: 40. https://doi.org/10.3390/pediatric18020040
APA StyleMarisavljević, M., Stanojević, N., Bogavac, I., Milanović, I., Maksimović, S., Punišić, S., & Đorđević, J. (2026). Neurodevelopmental Profile of a 4.5-Year-Old Girl with Tetrasomy X. Pediatric Reports, 18(2), 40. https://doi.org/10.3390/pediatric18020040

