Relative Age Effect in Physical Fitness during the Elementary School Years
Abstract
1. Introduction
2. Materials and Methods
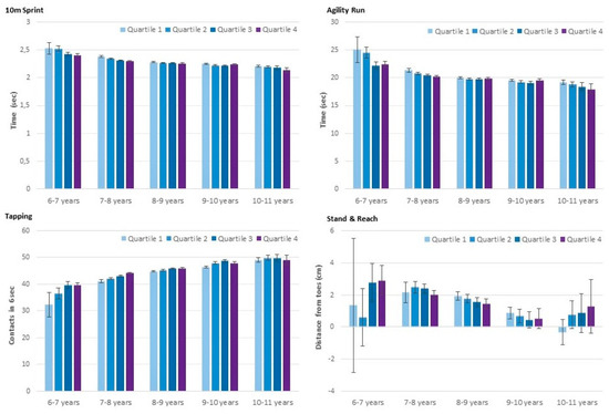
3. Results
4. Discussion

5. Conclusions
Author Contributions
Funding
Institutional Review Board Statement
Informed Consent Statement
Data Availability Statement
Conflicts of Interest
References
- Calsamiglia, C.; Loviglio, A. Maturity and school outcomes in an inflexible system: Evidence from Catalonia. SERIEs 2020, 11, 1–49. [Google Scholar] [CrossRef]
- Roberts, S.; Fairclough, S. The Influence of Relative Age Effect in the Assessment of High School Students in Physical Education. J. Teach. Phys. Educ. 2012, 31, 56–70. [Google Scholar] [CrossRef]
- Wattie, N.; Cobley, S.; Baker, J. Towards a unified understanding of relative age effects. J. Sports Sci. 2008, 26, 1403–1409. [Google Scholar] [CrossRef] [PubMed]
- Cobley, S.; Baker, J.; Wattie, N.; McKenna, J. Annual age-grouping and athlete development: A meta-analytical review of relative age effects in sport. Sports Med. 2009, 39, 235–256. [Google Scholar] [CrossRef] [PubMed]
- McPhillips, M.; Jordan-Black, J.A. The effect of month of birth on the attainments of primary and secondary school pupils. Br. J. Educ. Psychol. 2009, 79, 419–438. [Google Scholar] [CrossRef]
- Bell, J.; Daniels, S. Are summer-born children disadvantaged? The birthdate effect in education. Oxford Rev. Educ. 1990, 16, 67–80. [Google Scholar] [CrossRef]
- Jinks, P. An investigation into the effect of date of birth on subsequent school performance. Educ. Res. 1964, 6, 220–225. [Google Scholar] [CrossRef]
- Sharp, C. What’s age got to do with it? A study of patterns of school entry and the impact of season of birth on school attainment. Educ. Res. 1995, 37, 251–265. [Google Scholar] [CrossRef]
- Turnnidge, J.; Hancock, D.J.; Côté, J. The influence of birth date and place of development on youth sport participation. Scand. J. Med. Sci. Sports 2014, 24, 461–468. [Google Scholar] [CrossRef]
- Hancock, D.J.; Adler, A.L.; Côté, J. A proposed theoretical model to explain relative age effects in sport. Eur. J. Sport Sci. 2013, 13, 630–637. [Google Scholar] [CrossRef]
- Wattie, N.; Schorer, J.; Baker, J. The relative age effect in sport: A developmental systems model. Sports Med. 2015, 45, 83–94. [Google Scholar] [CrossRef]
- Musch, J.; Grondin, S. Unequal competition as an impediment to personal development: A review of the relative age effect in sport. Dev. Rev. 2001, 21, 147–167. [Google Scholar] [CrossRef]
- Veldhuizen, S.; Cairney, J.; Hay, J.; Faught, B. Relative age effects in fitness testing in a general school sample: How relative are they? J. Sports Sci. 2015, 33, 109–115. [Google Scholar] [CrossRef]
- Aune, T.K.; Ingvaldsen, R.P.; Vestheim, O.P.; Bjerkeset, O.; Dalen, T. Relative Age Effects and Gender Differences in the National Test of Numeracy: A Population Study of Norwegian Children. Front. Psychol. 2018, 9, 1091. [Google Scholar] [CrossRef]
- Navarro, J.J.; García-Rubio, J.; Olivares, P.R. The Relative Age Effect and Its Influence on Academic Performance. PLoS ONE 2015, 10, e0141895. [Google Scholar] [CrossRef]
- Sprietsma, M. Effect of relative age in the first grade of primary school on long-term scholastic results: International comparative evidence using PISA 2003. Educ. Econ. 2010, 18, 1–32. [Google Scholar] [CrossRef]
- Roberts, S.J.; Boddy, L.M.; Fairclough, S.J.; Stratton, G. The influence of relative age effects on the cardiorespiratory fitness levels of children age 9 to 10 and 11 to 12 years of age. Pediatr. Exerc. Sci. 2012, 24, 72–83. [Google Scholar] [CrossRef] [PubMed]
- Nakata, H.; Nakido, M.; Naruse, K.; Fujiwara, M. Relative Age Effect in Physical Fitness among Elementary and Junior High School Students. Percept. Mot. Skills 2017, 124, 900–911. [Google Scholar] [CrossRef]
- Cobley, S.; Abraham, C.; Baker, J. Relative age effects on physical education attainment and school sport representation. Phys. Educ. Sport Pedagog. 2008, 13, 267–276. [Google Scholar] [CrossRef]
- Smith, K.L.; Weir, P.L.; Till, K.; Romann, M.; Cobley, S. Relative Age Effects Across and Within Female Sport Contexts: A Systematic Review and Meta-Analysis. Sports Med. 2018, 48, 1451–1478. [Google Scholar] [CrossRef]
- Sierra-Díaz, M.J.; Gonzalez-Villora, S.; Pastor-Vicedo, J.P.; Serra-Olivares, J. Soccer and Relative Age Effect: A Walk among Elite Players and Young Players. Sports 2017, 5, 5. [Google Scholar] [CrossRef]
- Ek, S.; Wollmer, P.; Karlsson, M.K.; Peterson, T.; Thorsson, O.; Olsson, M.C.; Malmborg, J.S.; Dencker, M. Relative Age Effect of Sport Academy Adolescents, a Physiological Evaluation. Sports 2020, 8, 5. [Google Scholar] [CrossRef]
- Cobley, S.; McKenna, J.; Baker, J.; Wattie, N. How pervasive are relative age effects in secondary school education? J. Educ. Psychol. 2009, 101, 520–528. [Google Scholar] [CrossRef]
- Aune, T.; Pedersen, A.V.; Ingvaldsen, R.P.; Dalen, T. Relative age effect and gender differences in physical education attainment in Norwegian schoolchildren. Scand. J. Educ. Res. 2017, 61, 369–375. [Google Scholar] [CrossRef]
- Birch, S.; Cummings, L.; Oxford, S.; Duncan, M.S. Examining Relative Age Effects in Fundamental Skill Proficiency in British Children Aged 6–11 Years. J. Strength Cond. Res. 2016, 30, 2809–2815. [Google Scholar] [CrossRef]
- Gadžic, A.; Milojevic, A.; Stankovic, V.; Vuckovic, I. Relative age effects on motor performance of seventh-grade pupils. Eur. Phys. Educ. Rev. 2017, 23, 534–542. [Google Scholar] [CrossRef]
- Harter, S. Effectance motivation reconsidered: Toward a developmental model. Hum. Dev. 1978, 21, 34–64. [Google Scholar] [CrossRef]
- Cobley, S.; Till, K. Participation trends according to relative age across youth UK rugby league. Int. J. Sports Sci. Coach. 2017, 12, 339–343. [Google Scholar] [CrossRef]
- Delorme, N.; Raspaud, M. The relative age effect in young French basketball players: A study on the whole population. Scand. J. Med. Sci. Sports 2009, 19, 235–242. [Google Scholar] [CrossRef]
- Rosenthal, R. “Pygmalion” effects: Existence, magnitude and social importance. Educ. Res. 1987, 16, 37–41. [Google Scholar]
- Goodman, R.; Gledhill, J.; Ford, T. Child psychiatric disorder and relative age within school year: Cross sectional survey of large population sample. BMJ 2003, 327, 472. [Google Scholar] [CrossRef]
- Sharp, C.; George, N.; Sargent, C.; O’Donnell, S.; Heron, M. The Influence of Relative Age on Learner Attainment and Development; National Foundation for Education Research: Slough, UK, 2009. [Google Scholar]
- Wilson, G. The effects of season of birth, sex and cognitive abilities on the assessment of special educational needs. Educ. Psychol. 2000, 20, 153–156. [Google Scholar] [CrossRef]
- Britton, U.; Issartel, J.; Symonds, J.; Belton, S. What Keeps Them Physically Active? Predicting Physical Activity, Motor Competence, Health-Related Fitness, and Perceived Competence in Irish Adolescents after the Transition from Primary to Second-Level School. Int. J. Environ. Res. Public Health 2020, 17, 2874. [Google Scholar] [CrossRef]
- Hamer, M.; O’Donovan, G.; Batty, G.D.; Stamatakis, E. Estimated cardiorespiratory fitness in childhood and cardiometabolic health in adulthood: 1970 British Cohort Study. Scand. J. Med. Sci. Sports 2020, 30, 932–938. [Google Scholar] [CrossRef]
- Lang, J.J.; Belanger, K.; Poitras, V.; Janssen, I.; Tomkinson, G.R.; Tremblay, M.S. Systematic review of the relationship between 20 m shuttle run performance and health indicators among children and youth. J. Sci. Med. Sport 2018, 21, 383–397. [Google Scholar] [CrossRef]
- Ortega, F.B.; Ruiz, J.R.; Castillo, M.J.; Sjöström, M. Physical fitness in childhood and adolescence: A powerful marker of health. Int. J. Obes. (Lond.) 2008, 32, 1–11. [Google Scholar] [CrossRef]
- Raghuveer, G.; Hartz, J.; Lubans, D.R.; Takken, T.; Wiltz, J.L.; Mietus-Snyder, M.; Perak, A.M.; Baker-Smith, C.; Pietris, N.; Edwards, N.M.; et al. Cardiorespiratory Fitness in Youth: An Important Marker of Health: A Scientific Statement from the American Heart Association. Circulation 2020, 142, e101–e118. [Google Scholar] [CrossRef]
- Sandercock, G.R.; Taylor, M.J.; Voss, C.; Ogunleye, A.A.; Cohen, D.D.; Parry, D.A. Quantification of the relative age effect in three indices of physical performance. J. Strength Cond. Res. 2013, 27, 3293–3299. [Google Scholar] [CrossRef] [PubMed]
- Drenowatz, C.; Hinterkörner, F.; Greier, K. Physical fitness and motor competence in Upper Austrian elementary school children—study protocol and preliminary findings of a state-wide fitness testing program. Front. Sports Act. Living 2021, 3, 635478. [Google Scholar] [CrossRef] [PubMed]
- Kromeyer-Hauschild, K.; Wabitsch, M.; Kunze, D.; Geller, G.; Geiß, H.C.; Hesse, V.; von Hippel, A.; Jaeger, U.; Johnsen, D.; Korte, W.; et al. Perzentile für den Body-mass-Index für das Kindes- und Jugendalter unter Heranziehung verschiedener deutscher Stichproben. Monatsschr. Kinderheilkd. 2001, 149, 807–818. [Google Scholar] [CrossRef]
- Navarro-Patón, R.; Arufe-Giraldez, V.; Sanmiguel-Rodriguez, A.; Mecias-Calvo, M. Differences on Motor Competence in 4-Year-Old Boys and Girls Regarding the Quarter of Birth: Is There a Relative Age Effect? Children 2021, 8, 141. [Google Scholar] [CrossRef]
- Cupeiro, R.; Rojo-Tirado, M.A.; Cadenaz-Sanchez, C.; Artero, E.G.; Peinado, A.B.; Labayen, I.; Dorado, C.; Arias-Palencia, N.M.; Moliner-Urdiales, D.; Vidal-Conti, J.; et al. The relative age effect on physical fitness in preschool children. J. Sports Sci. 2020, 38, 1506–1515. [Google Scholar] [CrossRef]
- Jackson, R.C.; Comber, G. Hill on a mountaintop: A longitudinal and cross-sectional analysis of the relative age effect in competitive youth football. J. Sports Sci. 2020, 38, 1352–1358. [Google Scholar] [CrossRef] [PubMed]
- Navarro-Patón, R.; Mecias-Calvo, M.; Rodriguez Fernandez, J.E.; Arufe-Giraldez, V. Relative Age Effect on Motor Competence in Children Aged 4–5 Years. Children 2021, 8, 115. [Google Scholar] [CrossRef] [PubMed]
- Cobley, S.; Abbott, S.; Moulds, K.; Hogan, C.; Romann, M. Rebalancing the relative age effect scales: Meta-analytical trends, causes, and corrective adjustment procedures as a solution. In Relative Age Effects in Sport; Dixon, J.C., Horton, L.C., Chittle, L., Baker, J., Eds.; Routledge: New York, NY, USA, 2020; pp. 136–153. [Google Scholar]
- Hancock, D.J.; Ste-Marie, D.M.; Young, B.W. Coach selections and the relative age effect in male youth ice hockey. Res. Q. Exerc. Sport 2013, 84, 126–130. [Google Scholar] [CrossRef]
- Penney, D.; Brooker, R.; Hay, P.; Gillespie, L. Curriculum, pedagogy and assessment: Three message systems of schooling and dimensions of quality physical education. Sport Educ. Soc. 2009, 14, 421–442. [Google Scholar] [CrossRef]
- Dalen, T.; Ingvaldsen, R.P.; Roaas, T.V.; Pedersen, A.V.; Steen, I.; Aune, T.K. The impact of physical growth and relative age effect on assessment in physical education. Eur. J. Sport Sci. 2017, 17, 482–487. [Google Scholar] [CrossRef]
- Kawagata, Y.; Kamimura, A.; Oki, K.; Yamada, K.; Hirosawa, M. Relative age effect on psychological factors related to sports participation among Japanese elementary school children. In Advances in Human Factors in Sports and Outdoor Recreation; Salmon, P., Macquet, A., Eds.; Springer: Cham, Switzerland, 2017; pp. 199–211. [Google Scholar]
- Hardy, L.L.; Reinten-Reynolds, T.; Espinel, P.; Avigdor, Z.; Okely, A.D. Prevalence and correlates of low fundamental movement skill competency in children. Pediatrics 2012, 130, e390–e398. [Google Scholar] [CrossRef]
- Malina, R.M.; Cumming, S.P.; Rogol, A.D.; Coelho e Silva, M.J.; Figueiredo, A.J.; Konarski, J.M.; Kozieł, S.M. Bio-Banding in Youth Sports: Background, Concept, and Application. Sports Med. 2019, 49, 1671–1685. [Google Scholar] [CrossRef] [PubMed]
- Lee, J.; Zhang, T.; Chu, T.L.; Gu, X. Effects of a Need-Supportive Motor Skill Intervention on Children’s Motor Skill Competence and Physical Activity. Children 2020, 7, 21. [Google Scholar] [CrossRef] [PubMed]
- Herrmann, C.; Bund, A.; Gerlach, E.; Kurz, D.; Lindemann, U.; Rethorst, S.; Pühse, U. A review of the assessment of basic motor qualifications and competencies in school. Int. J. Phys. Educ. 2015, 52, 2–13. [Google Scholar]
- Gerlach, E.; Herrmann, C.; Dania, A.; Heim, C.; Jidovtseff, B.; Quitério, A.; Vrbas, J.; Kossyva, I.; Adamakis, M.; Zounhia, K.; et al. Basic motor competencies. In Changes in Childhood and Adolescence: Current Challenges for Physical Education; Bund, A., Scheuer, C., Eds.; Logos Verlag Berlin: Berlin, Germany, 2018; pp. 81–90. [Google Scholar]
- Bergeron, M.F.; Mountjoy, M.; Armstrong, N.; Chia, M.; Côté, J.; Emery, C.A.; Faigenbaum, A.; Hall, G.; Kriemler, S.; Léglise, M.; et al. International Olympic Committee consensus statement on youth athletic development. Br. J. Sports Med. 2015, 49, 843–851. [Google Scholar] [CrossRef]


| Quartile 1 N (% Boys) | Quartile 2 N (% Boys) | Quartile 3 N (% Boys) | Quartile 4 N (% Boys) | |
|---|---|---|---|---|
| 6–7 years | 9 (55.6%) | 49 (57.1%) | 111 (50.5%) | 183 (59.0%) |
| 7–8 years | 389 (51.4 %) | 1128 (46.6%) | 1850 (48.7%) | 2508 (49.9%) |
| 8–9 years | 2653 (49.3%) | 2242 (50.7%) | 1820 (52.6%) | 1441 (53.7%) |
| 9–10 years | 1233 (53.0%) | 900 (56.8%) | 600 (54.5%) | 411 (59.9%) |
| 10–11 years | 259 (54.4%) | 217 (48.4%) | 108 (50.0%) | 57 (64.9%) |
| Total Sample | 4543 (50.8%) | 4536 (50.9%) | 4489 (51.1%) | 4600 (52.5%) |
| Age | Quartile 1 | Quartile 2 | Quartile 3 | Quartile 4 | TOTAL | |
|---|---|---|---|---|---|---|
| 6–7 years | Height (cm) | 121.3 ± 7.3 | 121.4 ± 5.8 | 122.0 ± 5.0 | 123.6 ± 5.1 | 122.7 ± 5.3 |
| Weight (kg) | 23.4 ± 5.7 | 23.9 ± 4.9 | 24.2 ± 4.5 | 24.5 ± 4.5 | 24.3 ±4.6 | |
| BMIPCT | 48.3 ± 31.7 | 54.2 ± 25.6 | 53.5 ± 30.4 | 49.3 ± 30.4 | 51.3 ±29.8 | |
| 7–8 years | Height (cm) 1 | 125.7 ± 5.6 | 126.8 ± 5.4 | 128.4 ± 5.4 | 130.0 ± 5.5 | 128.6 ± 5.7 |
| Weight (kg) 1 | 25.7 ± 5.2 | 26.3 ± 5.3 | 27.0 ± 5.1 | 28.1 ± 5.5 | 27.2 ± 5.4 | |
| BMIPCT | 50.6 ± 28.5 | 50.0 ± 28.7 | 50.4 ± 28.5 | 51.4 ± 29.0 | 50.8 ± 28.7 | |
| 8–9 years | Height (cm) 1 | 130.9 ± 5.6 | 132.0 ± 5.6 | 133.4 ± 5.8 | 134.7 ± 6.2 | 132.5 ± 5.9 |
| Weight (kg) 1 | 28.6 ± 5.9 | 29.4 ± 6.2 | 30.5 ± 6.6 | 31.7 ± 7.5 | 29.8 ± 6.6 | |
| BMIPCT 1 | 50.3 ± 29.3 | 51.3 ± 29.3 | 52.5 ± 30.2 | 53.5 ± 30.2 | 51.6 ± 29.7 | |
| 9–10 years | Height (cm) 1 | 136.0 ± 6.2 | 137.2 ± 6.4 | 138.8 ± 6.5 | 139.7 ± 6.5 | 137.4 ± 6.5 |
| Weight (kg) 1 | 32.5 ± 7.7 | 33.4 ± 8.0 | 34.4 ± 8.2 | 36.1 ± 9.1 | 33.6 ± 8.2 | |
| BMIPCT 1 | 53.1 ± 31.0 | 53.6 ± 31.2 | 53.4 ± 31.4 | 58.0 ± 31.2 | 53.9 ± 31.2 | |
| 10–11 years | Height (cm) 1 | 141.0 ± 6.3 | 142.1 ± 6.5 | 143.8 ± 6.8 | 144.3 ± 6.7 | 142.1 ±6.6 |
| Weight (kg) 1 | 36.4 ± 9.4 | 36.7 ± 8.4 | 38.7 ± 9.0 | 39.2 ± 11.7 | 37.1 ± 9.3 | |
| BMIPCT | 53.6 ± 32.0 | 53.4 ± 31.5 | 55.1 ± 32.1 | 53.7 ± 32.4 | 53.8 ± 31.8 |
| Quartile 1 | Quartile 2 | Quartile 3 | Quartile 4 | TOTAL | ||
|---|---|---|---|---|---|---|
| 6–7 years | 6 Min Run (m) | 880 ± 129 | 920 ± 136 | 919 ± 127 | 946 ± 124 | 933 ± 127 |
| Ball Push (cm) 1 | 246 ± 49 | 249 ± 45 | 291 ± 47 | 291 ± 0.6 | 284 ± 57 | |
| Vertical Jump (cm) | 17.4 ± 5.2 | 17.0 ± 2.9 | 17.7 ± 3.3 | 17.4 ± 3.3 | 17.4 ± 3.3 | |
| Sprint (sec) 1 | 2.57 ± 0.28 | 2.50 ± 0.16 | 2.39 ± 0.15 | 2.40 ± 0.18 | 2.42 ± 0.17 | |
| Tapping (contacts) 2 | 32.8 ± 8.7 | 38.0 ± 5.1 | 40.9 ± 7.4 | 41.0 ± 7.0 | 40.4 ± 7.0 | |
| Agility (sec) 1 | 25.8 ± 7.4 | 24.4 ± 4.0 | 21.9 ± 3.3 | 22.5 ± 4.1 | 22.7 ± 4.1 | |
| Stand-Reach (cm) * | 2.8 ± 7.1 | 0.3 ± 5.6 | 1.8 ± 5.5 | 1.3 ± 5.2 | 1.4 ± 5.4 | |
| Throw & Catch (#) | 3.8 ± 6.9 | 4.6 ± 4.4 | 7.1 ± 5.9 | 7.6 ± 6.3 | 7.0 ± 6.0 | |
| 7–8 years | 6 Min Run (m) 2 | 966 ± 129 | 1002 ± 127 | 1004 ± 120 | 1015 ± 130 | 1006 ± 127 |
| Ball Push (cm) 2 | 316 ± 51 | 329 ± 54 | 338 ± 57 | 355 ± 59 | 342 ± 58 | |
| Vertical Jump (cm) 2 | 18.5 ± 3.3 | 19.4 ± 3.3 | 19.7 ± 3.4 | 20.0 ± 3.6 | 19.7 ± 3.5 | |
| Sprint (sec) 2 | 2.34 ± 0.16 | 2.30 ± 0.15 | 2.28 ± 0.15 | 2.27 ± 0.16 | 2.28 ± 0.16 | |
| Tapping (contacts) 2 | 42.8 ± 6.4 | 44.0 ± 6.3 | 45.0 ± 6.4 | 46.0 ± 6.5 | 45.1 ± 6.5 | |
| Agility (sec) 2 | 20.7 ± 3.2 | 20.2 ± 3.0 | 19.9 ± 3.2 | 19.7 ± 3.4 | 19.9 ± 3.3 | |
| Stand-Reach (cm) * | 1.0 ± 6.0 | 1.2 ± 5.7 | 0.9 ± 5.5 | 0.6 ± 6.2 | 0.8 ± 5.9 | |
| Throw & Catch (#) 2 | 10.7 ± 6.0 | 12.9 ± 69 | 13.5 ± 6.5 | 15.8 ± 6.4 | 14.2 ± 6.7 | |
| 8–9 years | 6 Min Run (m) | 1022 ± 138 | 1023 ± 132 | 1021 ± 131 | 1015 ± 144 | 1021 ± 136 |
| Ball Push (cm) 2 | 361 ± 60 | 372 ± 62 | 384 ± 65 | 395 ± 69 | 376 ± 65 | |
| Vertical Jump (cm) 1 | 20.3 ± 3.8 | 20.4 ± 3.8 | 20.8 ± 3.9 | 20.7 ± 3.9 | 20.5 ± 3.9 | |
| Sprint (sec) 2 | 2.25 ± 0.16 | 2.24 ± 0.16 | 2.23 ± 0.17 | 2.23 ± 0.16 | 2.24 ± 0.16 | |
| Tapping (contacts) 2 | 46.5 ± 6.4 | 47.0 ± 6.9 | 47.6 ± 7.3 | 47.4 ± 7.3 | 47.0 ± 6.9 | |
| Agility (sec) | 19.5 ± 3.5 | 19.2 ± 3.2 | 19.3 ± 3.8 | 19.6 ± 4.0 | 19.4 ± 3.6 | |
| Stand-Reach (cm) *,1 | 0.3 ± 6.1 | 0.4 ± 6.3 | 0.0 ± 6.4 | −0.2 ± 6.8 | 0.1 ± 6.4 | |
| Throw & Catch (#) 2 | 16.6 ± 6.5 | 17.4 ± 6.6 | 18.7 ± 6.6 | 19.2 ± 6.6 | 17.8 ± 6.7 | |
| 9–10 years | 6 Min Run (m) | 1012 ± 154 | 1024 ± 158 | 1028 ± 156 | 1017 ± 145 | 1019 ± 154 |
| Ball Push (cm) 2 | 404 ± 91 | 413 ± 70 | 434 ± 71 | 440 ± 66 | 417 ± 80 | |
| Vertical Jump (cm) 2 | 20.8 ± 4.3 | 21.4 ± 4.5 | 21.5 ± 4.1 | 21.6 ± 4.4 | 21.2 ± 4.3 | |
| Sprint (sec) 1 | 2.22 ± 0.17 | 2.20 ± 0.17 | 2.19 ± 0.16 | 2.20 ± 0.18 | 2.21 ± 0.17 | |
| Tapping (contacts) 2 | 48.0 ± 7.3 | 49.5 ± 7.3 | 50.5 ± 7.0 | 50.1 ± 7.8 | 49.2 ± 7.4 | |
| Agility (sec) | 19.1 ± 4.1 | 18.8 ± 3.9 | 18.7 ± 4.0 | 18.9 ± 4.2 | 18.9 ± 4.0 | |
| Stand-Reach (cm) * | −0.8 ± 6.7 | −1.3 ± 7.0 | −1.1 ± 7.2 | −0.5 ± 6.9 | −1.0 ± 7.0 | |
| Throw & Catch (#) 2 | 20.0 ± 6.7 | 21.5 ± 6.5 | 22.5 ± 6.3 | 23.1 ± 6.3 | 21.3 ± 6.6 | |
| 10–11 years | 6 Min Run (m) | 1009 ± 161 | 1039 ± 152 | 1028 ± 148 | 1050 ± 144 | 1026 ± 155 |
| Ball Push (cm) 1 | 444 ± 73 | 472 ± 81 | 464 ± 99 | 480 ± 84 | 460 ± 82 | |
| Vertical Jump (cm) 1 | 21.8 ± 4.6 | 21.9 ± 4.1 | 22.0 ± 4.9 | 23.8 ± 5.0 | 22.1 ± 4.6 | |
| Sprint (sec) 1 | 2.19 ± 0.19 | 2.16 ± 0.17 | 2.17 ± 0.17 | 2.12 ± 0.15 | 2.17 ± 0.18 | |
| Tapping (contacts) | 50.5 ± 8.7 | 51.8 ± 7.9 | 49.9 ± 9.0 | 50.7 ± 10.2 | 50.8 ± 8.7 | |
| Agility (sec) | 18.6 ± 3.5 | 18.1 ± 4.2 | 18.4 ± 4.1 | 17.3 ± 3.5 | 18.3 ± 3.8 | |
| Stand-Reach (cm) * | −1.9 ± 7.4 | −0.9 ± 7.6 | −1.9 ± 6.3 | −1.2 ± 7.9 | −1.5 ± 7.3 | |
| Throw & Catch (#) 1 | 22.7 ± 7.3 | 25.2 ± 6.7 | 24.2 ± 7.4 | 25.9 ± 6.4 | 24.1 ± 7.1 |
| Quartile 1 | Quartile 2 | Quartile 3 | Quartile 4 | TOTAL | ||
|---|---|---|---|---|---|---|
| 6–7 years | 6 Min Run (m) | 878 ± 91.8 | 887 ± 109 | 891 ± 124 | 924 ± 111 | 906 ± 115 |
| Ball Push (cm) | 245 ± 29 | 246 ± 36 | 251 ± 43 | 252 ± 46 | 251 ± 43 | |
| Vertical Jump (cm) 1 | 14.8 ± 2.5 | 16.2 ± 2.4 | 17.2 ± 3.5 | 17.9 ± 3.1 | 17.4 ± 3.2 | |
| Sprint (sec) | 2.47 ± 0.08 | 2.54 ± 0.17 | 2.46 ± 0.16 | 2.41 ± 0.16 | 2.45 ± 0.17 | |
| Tapping (contacts) | 32.0 ± 5.4 | 34.8 ± 5.4 | 38.2 ± 7.0 | 38.1 ± 740 | 37.5 ± 7.1 | |
| Agility (sec) | 24.0 ± 2.6 | 24.6 ± 4.7 | 22.6 ± 3.2 | 22.3 ± 3.2 | 22.8 ± 3.5 | |
| Stand-Reach (cm) *,1 | −0.8 ± 9.0 | 0.5 ± 6.2 | 3.8 ± 5.3 | 4.6 ± 6.9 | 3.6 ± 6.4 | |
| Throw & Catch (#) 1 | 0.0 ± 0.0 | 1.7 ± 1.9 | 4.6 ± 5.1 | 4.2 ± 4.7 | 3.9 ± 4.6 | |
| 7–8 years | 6 Min Run (m) 2 | 916 ± 113 | 923 ± 117 | 934 ± 114 | 946 ± 117 | 936 ± 116 |
| Ball Push (cm) 2 | 268 ± 49 | 283 ± 50 | 298 ± 53 | 306 ± 51 | 296 ± 53 | |
| Vertical Jump (cm) 2 | 18.1 ± 3.2 | 18.4 ± 3.3 | 18.8 ± 3.2 | 19.1 ± 3.4 | 18.8 ± 3.3 | |
| Sprint (sec) 2 | 2.42 ± 0.18 | 2.38 ± 0.16 | 2.34 ± 0.16 | 2.32 ± 0.15 | 2.35 ± 0.16 | |
| Tapping (contacts) 2 | 39.2 ± 6.7 | 40.1 ± 6.4 | 41.0 ± 6.5 | 42.1 ± 6.5 | 41.1 ± 6.6 | |
| Agility (sec) 2 | 22.0 ± 3.6 | 21.4 ± 3.1 | 20.9 ± 3.1 | 20.7 ± 3.3 | 21.0 ± 3.2 | |
| Stand-Reach (cm) * | 3.4 ± 5.5 | 3.9 ± 6.2 | 4.0 ± 6.2 | 3.5 ± 6.3 | 3.7 ± 6.2 | |
| Throw & Catch (#) 2 | 6.2 ± 5.9 | 7.6 ± 5.7 | 9.2 ± 6.1 | 10.5 ± 6.3 | 9.3 ± 6.2 | |
| 8–9 years | 6 Min Run (m) | 949 ± 116 | 954 ± 120 | 952 ± 120 | 955 ± 127 | 952 ± 129 |
| Ball Push (cm) 2 | 316 ± 54 | 326 ± 55 | 337 ± 59 | 346 ± 60 | 328 ± 58 | |
| Vertical Jump (cm) 2 | 19.2 ± 3.4 | 19.5 ± 3.6 | 19.6 ± 3.7 | 19.8 ± 3.8 | 19.5 ± 3.6 | |
| Sprint (sec) 2 | 2.31 ± 0.16 | 2.30 ± 0.16 | 2.29 ± 0.18 | 2.29 ± 0.18 | 2.30 ± 0.17 | |
| Tapping (contacts) 2 | 42.9 ± 6.9 | 43.2 ± 6.9 | 43.9 ± 7.4 | 44.5 ± 7.5 | 43.4 ± 7.2 | |
| Agility (sec) 1 | 20.5 ± 3.2 | 20.3 ± 3.4 | 20.3 ± 3.7 | 20.2 ± 3.8 | 20.3 ± 3.5 | |
| Stand-Reach (cm) * | 3.7 ± 6.5 | 3.2 ± 6.4 | 3.2 ± 6.6 | 3.2 ± 6.6 | 3.4 ± 6.5 | |
| Throw & Catch (#) 2 | 12.0 ± 6.3 | 13.4 ± 6.2 | 14.5 ± 6.6 | 15.8 ± 6.7 | 13.6 ± 6.5 | |
| 9–10 years | 6 Min Run (m) | 957 ± 122 | 973 ± 117 | 980 ± 127 | 951 ± 129 | 965 ± 123 |
| Ball Push (cm) 2 | 357 ± 63 | 373 ± 64 | 383 ± 70 | 382 ± 71 | 370 ± 66 | |
| Vertical Jump (cm) | 19.8 ± 4.0 | 20.4 ± 4.0 | 20.3 ± 4.2 | 19.8 ± 4.0 | 20.1 ± 4.0 | |
| Sprint (sec) | 2.28 ± 0.16 | 2.25 ± 0.16 | 2.24 ± 0.16 | 2.28 ± 0.18 | 2.26 ± 0.16 | |
| Tapping (contacts) | 44.5 ± 8.0 | 46.2 ± 7.3 | 46.7 ± 8.0 | 45.2 ± 8.3 | 45.5 ± 7.9 | |
| Agility (sec) | 19.9 ± 3.6 | 19.6 ± 3.9 | 19.4 ± 3.2 | 20.3 ± 3.9 | 19.8 ± 3.7 | |
| Stand-Reach (cm) *,1 | 2.6 ± 6.8 | 2.9 ± 7.2 | 2.1 ± 7.0 | 1.4 ± 7.0 | 2.5 ± 7.0 | |
| Throw & Catch (#) 2 | 16.9 ± 6.6 | 18.4 ± 6.6 | 19.4 ± 6.3 | 19.4 ± 6.6 | 18.1 ± 6.6 | |
| 10–11 years | 6 Min Run (m) | 978 ± 151 | 980 ± 137 | 1002 ± 136 | 963 ± 131 | 982 ± 142 |
| Ball Push (cm) 2 | 402 ± 62 | 406 ± 73 | 430 ± 66 | 466 ± 84 | 413 ± 70 | |
| Vertical Jump (cm) 1 | 20.8 ± 4.6 | 20.8 ± 4.4 | 22.1 ± 4.8 | 22.6 ± 5.2 | 21.2 ± 4.6 | |
| Sprint (sec) | 2.23 ± 0.16 | 2.23 ± 0.19 | 2.19 ± 0.16 | 2.16 ± 0.17 | 2.22 ± 0.19 | |
| Tapping (contacts) | 47.6 ± 8.3 | 47.8 ± 8.7 | 49.3 ± 8.4 | 47.2 ± 7.1 | 48.0 ± 8.4 | |
| Agility (sec) | 19.7 ± 5.4 | 19.5 ± 4.5 | 18.4 ± 3.2 | 18.9 ± 3.0 | 19.4 ± 4.6 | |
| Stand-Reach (cm) *,1 | 1.3 ± 6.4 | 2.5 ± 6.5 | 3.7 ± 6.4 | 4.7 ± 7.0 | 2.4 ± 6.5 | |
| Throw & Catch (#) 2 | 20.7 ± 6.2 | 21.0 ± 6.5 | 23.4 ± 25.8 | 25.8 ± 4.6 | 21.7 ± 6.3 |
Publisher’s Note: MDPI stays neutral with regard to jurisdictional claims in published maps and institutional affiliations. |
© 2021 by the authors. Licensee MDPI, Basel, Switzerland. This article is an open access article distributed under the terms and conditions of the Creative Commons Attribution (CC BY) license (https://creativecommons.org/licenses/by/4.0/).
Share and Cite
Drenowatz, C.; Ferrari, G.; Greier, K.; Hinterkörner, F. Relative Age Effect in Physical Fitness during the Elementary School Years. Pediatr. Rep. 2021, 13, 322-333. https://doi.org/10.3390/pediatric13020040
Drenowatz C, Ferrari G, Greier K, Hinterkörner F. Relative Age Effect in Physical Fitness during the Elementary School Years. Pediatric Reports. 2021; 13(2):322-333. https://doi.org/10.3390/pediatric13020040
Chicago/Turabian StyleDrenowatz, Clemens, Gerson Ferrari, Klaus Greier, and Franz Hinterkörner. 2021. "Relative Age Effect in Physical Fitness during the Elementary School Years" Pediatric Reports 13, no. 2: 322-333. https://doi.org/10.3390/pediatric13020040
APA StyleDrenowatz, C., Ferrari, G., Greier, K., & Hinterkörner, F. (2021). Relative Age Effect in Physical Fitness during the Elementary School Years. Pediatric Reports, 13(2), 322-333. https://doi.org/10.3390/pediatric13020040

