The Impact of Serum Albumin Levels on COVID-19 Mortality
Abstract
:1. Introduction
2. Materials and Methods
2.1. Study Design and Population
2.2. Data Collection
2.3. Study Endpoints
2.4. Study Outcomes
2.5. Data Analysis
3. Results
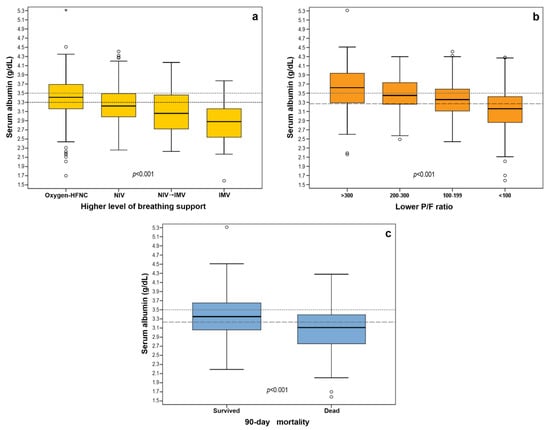
3.1. Albumin and Severity of Respiratory Failure
3.2. Albumin and Hospital LOS
3.3. Albumin and 90-Day Mortality
4. Discussion
5. Conclusions
Author Contributions
Funding
Institutional Review Board Statement
Informed Consent Statement
Data Availability Statement
Acknowledgments
Conflicts of Interest
References
- WHO Coronavirus Disease (COVID-19). Available online: www.covid19.who.int (accessed on 6 February 2022).
- Hu, B.; Guo, H.; Zhou, P.; Shi, Z.-L. Characteristics of SARS-CoV-2 and COVID-19. Nat. Rev. Microbiol. 2020, 19, 141–154. [Google Scholar] [CrossRef] [PubMed]
- Sambataro, G.; Giuffrè, M.; Sambataro, D.; Palermo, A.; Vignigni, G.; Cesareo, R.; Crimi, N.; Torrisi, S.E.; Vancheri, C.; Malatino, L.; et al. The Model for Early COvid-19 Recognition (MECOR) Score: A Proof-of-Concept for a Simple and Low-Cost Tool to Recognize a Possible Viral Etiology in Community-Acquired Pneumonia Patients during COVID-19 Outbreak. Diagnostics 2020, 10, 619. [Google Scholar] [CrossRef] [PubMed]
- Yin, M.; Si, L.; Qin, W.; Li, C.; Zhang, J.; Yang, H.; Han, H.; Zhang, F.; Ding, S.; Zhou, M.; et al. Predictive Value of Serum Albumin Level for the Prognosis of Severe Sepsis Without Exogenous Human Albumin Administration: A Prospective Cohort Study. J. Intensive Care Med. 2018, 33, 687–694. [Google Scholar] [CrossRef] [PubMed]
- Sung, J.; Bochicchio, G.V.; Joshi, M.; Bochicchio, K.; Costas, A.; Tracy, K.; Scalea, T.M. Admission Serum Albumin Is Predictive of Outcome in Critically Ill Trauma Patients. Am. Surg. 2004, 70, 1099–1102. [Google Scholar]
- Fanali, G.; di Masi, A.; Trezza, V.; Marino, M.; Fasano, M.; Ascenzi, P. Human Serum Albumin: From Bench to Bedside. Mol. Aspects Med. 2012, 33, 209–290. [Google Scholar] [CrossRef]
- Caironi, P.; Gattinoni, L. The Clinical Use of Albumin: The Point of View of a Specialist in Intensive Care. Blood Transfus. 2009, 7, 259. [Google Scholar] [CrossRef]
- Gounden, V.; Vashisht, R.; Jialal, I. Hypoalbuminemia. In StatPearls [Internet]; StatPearls Publishing: Treasure Island, FL, USA, 2021. [Google Scholar]
- Wiedermann, C.J. Hypoalbuminemia as Surrogate and Culprit of Infections. Int. J. Mol. Sci. 2021, 22, 4496. [Google Scholar] [CrossRef]
- Huang, J.; Cheng, A.; Kumar, R.; Fang, Y.; Chen, G.; Zhu, Y.; Lin, S. Hypoalbuminemia Predicts the Outcome of COVID-19 Independent of Age and Co-Morbidity. J. Med. Virol. 2020, 92, 2152–2158. [Google Scholar] [CrossRef]
- Kheir, M.; Saleem, F.; Wang, C.; Mann, A.; Chua, J. Higher Albumin Levels on Admission Predict Better Prognosis in Patients with Confirmed COVID-19. PLoS ONE 2021, 16, e0248358. [Google Scholar] [CrossRef]
- Soetedjo, N.N.M.; Iryaningrum, M.R.; Damara, F.A.; Permadhi, I.; Sutanto, L.B.; Hartono, H.; Rasyid, H. Prognostic Properties of Hypoalbuminemia in COVID-19 Patients: A Systematic Review and Diagnostic Meta-Analysis. Clin. Nutr. ESPEN 2021, 45, 120–126. [Google Scholar] [CrossRef]
- Dessie, Z.G.; Zewotir, T. Mortality-Related Risk Factors of COVID-19: A Systematic Review and Meta-Analysis of 42 Studies and 423,117 Patients. BMC Infect. Dis. 2021, 21, 855. [Google Scholar] [CrossRef] [PubMed]
- Qian, S.; Jin, D.; Chen, Z.; Ye, Y.; Xiang, W.; Ye, L.; Pan, J.-Y. Hypoalbuminemia, a Novel Prognostic Factor for Prediction of Long-Term Outcomes in Critically Ill Patients with Septic Shock. Int. J. Clin. Exp. Med. 2019, 12, 7401–7409. [Google Scholar]
- Bakker, J.; Horowitz, J.M.; Hagedorn, J.; Kozloff, S.; Kaufman, D.; Castro, R. Blood Volume and Albumin Transudation in Critically Ill COVID-19 Patients. Crit. Care 2021, 25, 1–4. [Google Scholar] [CrossRef] [PubMed]
- Wu, M.A.; Fossali, T.; Pandolfi, L.; Carsana, L.; Ottolina, D.; Frangipane, V.; Rech, R.; Tosoni, A.; Lopez, G.; Agarossi, A.; et al. Hypoalbuminemia in COVID-19: Assessing the Hypothesis for Underlying Pulmonary Capillary Leakage. J. Intern. Med. 2021, 289, 861–872. [Google Scholar] [CrossRef]
- Veras, F.P.; Pontelli, M.C.; Silva, C.M.; Toller-Kawahisa, J.E.; de Lima, M.; Nascimento, D.C.; Schneider, A.H.; Caetité, D.; Tavares, L.A.; Paiva, I.M.; et al. SARS-CoV-2-Triggered Neutrophil Extracellular Traps Mediate COVID-19 Pathology. J. Exp. Med. 2020, 217, e20201129. [Google Scholar] [CrossRef]
- Neubert, E.; Senger-Sander, S.N.; Manzke, V.S.; Busse, J.; Polo, E.; Scheidmann, S.E.F.; Schön, M.P.; Kruss, S.; Erpenbeck, L. Serum and Serum Albumin Inhibit in Vitro Formation of Neutrophil Extracellular Traps (NETs). Front. Immunol. 2019, 10, 12. [Google Scholar] [CrossRef]
- Paar, M.; Rossmann, C.; Nusshold, C.; Wagner, T.; Schlagenhauf, A.; Leschnik, B.; Oettl, K.; Koestenberger, M.; Cvirn, G.; Hallström, S. Anticoagulant Action of Low, Physiologic, and High Albumin Levels in Whole Blood. PLoS ONE 2017, 12, e0182997. [Google Scholar] [CrossRef]
- Menichelli, D.; Di Rocco, A.; del Sole, F.; Pignatelli, P.; Vestri, A.; Violi, F.; Pastori, D. Serum Albumin, Clotting Activation and COVID-19 Severity: A Systematic Review and Meta-Regression Analysis of 4579 Patients. Ital. J. Emerg Med. 2021, 10, 17–23. [Google Scholar] [CrossRef]
- Van Zyl, J.S.; Alam, A.; Felius, J.; Youssef, R.M.; Bhakta, D.; Jack, C.; Jamil, A.K.; Hall, S.A.; Klintmalm, G.B.; Spak, C.W.; et al. ALLY in Fighting COVID-19: Magnitude of Albumin Decline and Lymphopenia (ALLY) Predict Progression to Critical Disease. J. Investig. Med. 2021, 69, 710–718. [Google Scholar] [CrossRef]
- Feng, R.; Wang, B.; Ma, Z.; Guo, X.; Li, H.; Tang, Y.; Meng, H.; Yu, H.; Peng, C.; Chu, G.; et al. Dynamic Change of Serum Albumin Level Can Predict the Prognosis of COVID-19 Patients with Hypoalbuminemia. J. Med. Virol. 2021, 94, 844–846. [Google Scholar] [CrossRef]
- Su, C.; Hoffman, K.L.; Xu, Z.; Sanchez, E.; Siempos, I.I.; Harrington, J.S.; Racanelli, A.C.; Plataki, M.; Wang, F.; Schenck, E.J. Evaluation of Albumin Kinetics in Critically Ill Patients With Coronavirus Disease 2019 Compared to Those With Sepsis-Induced Acute Respiratory Distress Syndrome. Crit. Care Explor. 2021, 3, e0589. [Google Scholar] [CrossRef] [PubMed]
- Ali, K.M.; Ali, A.M.; Tawfeeq, H.M.; Figueredo, G.P.; Rostam, H.M. Hypoalbuminemia in Patients Following Their Recovery from Severe Coronavirus Disease 2019. J. Med. Virol. 2021, 93, 4532–4536. [Google Scholar] [CrossRef] [PubMed]


| Sex (n, male) | 584 (67.6%) |
| Age (years) | 66.0; 55.0–76.5 |
| Body Mass Index | 26.1; 23.9–29.4 |
| <20 kg/m2 | 32 (3.7%) |
| 20–29 kg/m2 | 633 (73.3%) |
| ≥30 kg/m2 | 199 (23.0%) |
| Laboratory tests | |
| Total white blood cells × 103/μL | 7.6; 5.4–10.5 |
| Neutrophils × 103/μL | 6.3; 4.2–9.1 |
| Monocytes × 103/μL | 0.4; 0.3–0.6 |
| Lymphocytes × 103/μL | 0.7; 0.5–1.0 |
| Eosinophils × 103/μL | 0.0; 0.0–0.0 |
| Platelets × 103/μL | 216.0; 164.0–288.0 |
| Serum C-reactive protein (mg/L) | 76.0; 31.0–130.0 |
| Serum d-dimer (ng/mL FEU) | 962.0; 625.0–1544.0 |
| Serum albumin (g/dL) | 3.3; 3.0–3.6 |
| Past medical history | |
| Hypertension (n) | 441 (51.0%) |
| Heart disease (n) | 229 (26.5%) |
| Diabetes (n) | 196 (22.7%) |
| Metastatic cancer (n) | 15 (1.7%) |
| Predictor | OR (95% CI); p-Value |
|---|---|
| Serum albumin < 3.27 g/dL | 3.013 (2.237–4.058); <0.001 |
| Age > 65 years | 1.730 (1.265–2.365); 0.001 |
| BMI ≥ 30 kg/m2 | 1.688 (1.188–2.400); 0.003 |
| Hypertension | 1.504 (1.105–2.046); 0.009 |
| Diabetes | 1.502 (1.058–2.132); 0.023 |
| Predictor | β-Value; p-Value |
|---|---|
| Serum albumin (g/dL) | −0.210; <0.001 |
| Diabetes | 0.127; <0.001 |
| Hypertension | 0.113; 0.001 |
| Age > 65 years | 0.098; 0.006 |
Publisher’s Note: MDPI stays neutral with regard to jurisdictional claims in published maps and institutional affiliations. |
© 2022 by the authors. Licensee MDPI, Basel, Switzerland. This article is an open access article distributed under the terms and conditions of the Creative Commons Attribution (CC BY) license (https://creativecommons.org/licenses/by/4.0/).
Share and Cite
Zerbato, V.; Sanson, G.; De Luca, M.; Di Bella, S.; di Masi, A.; Caironi, P.; Marini, B.; Ippodrino, R.; Luzzati, R. The Impact of Serum Albumin Levels on COVID-19 Mortality. Infect. Dis. Rep. 2022, 14, 278-286. https://doi.org/10.3390/idr14030034
Zerbato V, Sanson G, De Luca M, Di Bella S, di Masi A, Caironi P, Marini B, Ippodrino R, Luzzati R. The Impact of Serum Albumin Levels on COVID-19 Mortality. Infectious Disease Reports. 2022; 14(3):278-286. https://doi.org/10.3390/idr14030034
Chicago/Turabian StyleZerbato, Verena, Gianfranco Sanson, Marina De Luca, Stefano Di Bella, Alessandra di Masi, Pietro Caironi, Bruna Marini, Rudy Ippodrino, and Roberto Luzzati. 2022. "The Impact of Serum Albumin Levels on COVID-19 Mortality" Infectious Disease Reports 14, no. 3: 278-286. https://doi.org/10.3390/idr14030034
APA StyleZerbato, V., Sanson, G., De Luca, M., Di Bella, S., di Masi, A., Caironi, P., Marini, B., Ippodrino, R., & Luzzati, R. (2022). The Impact of Serum Albumin Levels on COVID-19 Mortality. Infectious Disease Reports, 14(3), 278-286. https://doi.org/10.3390/idr14030034

